An Enhanced Automation Analysis for Structural Algorithm in Agro-Industries Using IoT †
Abstract
:1. Introduction
- Increased agricultural efficiency: Automation in agriculture can reduce the time and labor required monitoring crops. This increases the efficiency of farming and reduces the amount of errors and omissions due to human labor.
- Improved output quality and accuracy: automation can increase accuracy in the harvesting process, leading to better quality produce.
- Reduced water and pesticide use: automation can help reduce water and pesticide use, leading to a lower environmental impact on the land.
2. Materials and Methods
Proposed Model
3. Results
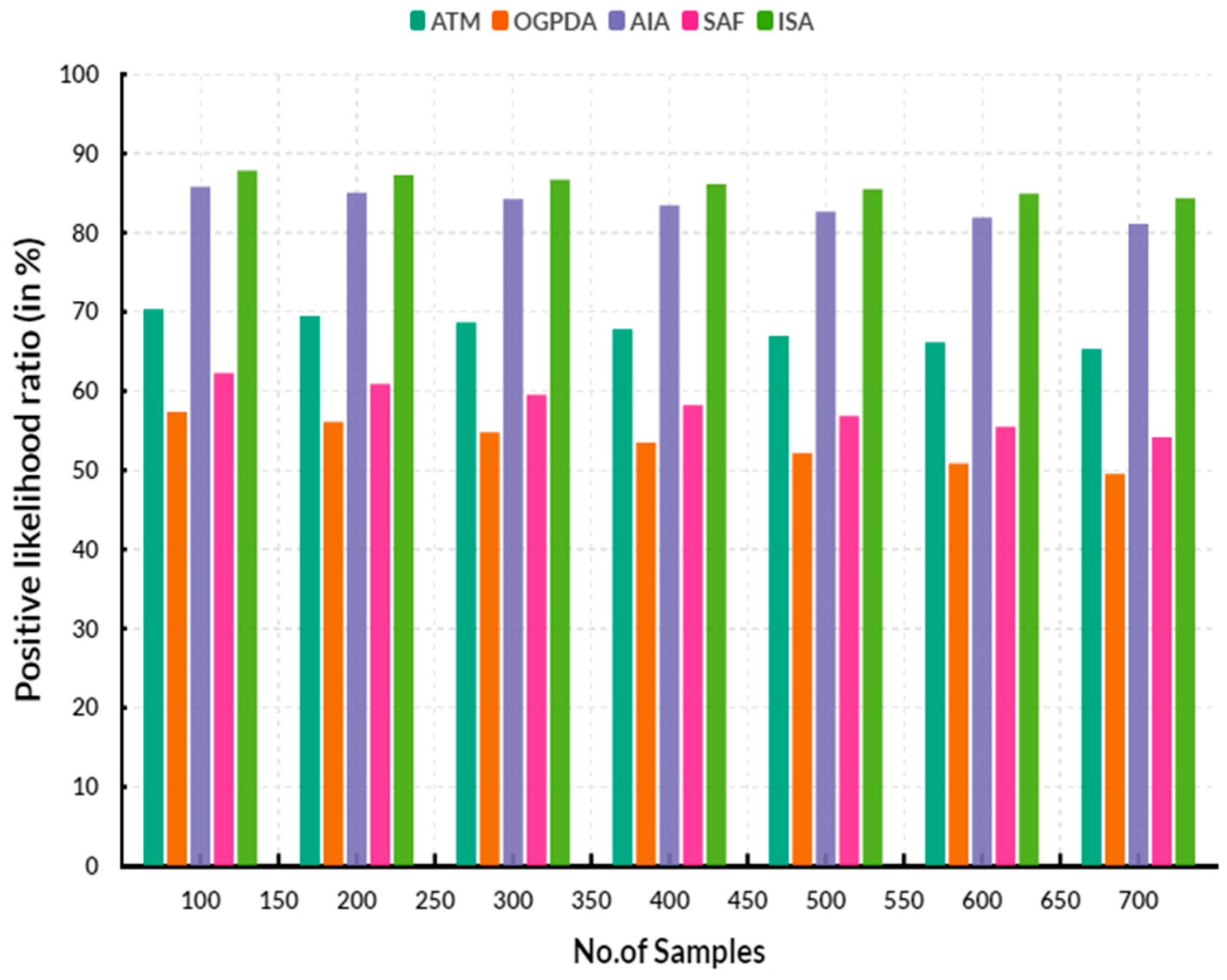
3.1. Computation of Positive Likelihood Ratio
3.2. Computation of Negative Likelihood Ratio
3.3. Computation of Specificity
4. Conclusions
Author Contributions
Funding
Institutional Review Board Statement
Informed Consent Statement
Data Availability Statement
Conflicts of Interest
References
- Ferrández-Pastor, F.J.; Mora-Pascual, J.; Díaz-Lajara, D. Agricultural traceability model based on IoT and Blockchain: Application in industrial hemp production. J. Ind. Inf. Integr. 2022, 29, 100381. [Google Scholar] [CrossRef]
- Yang, Y.; Li, Y.; Wen, X.; Zhang, G.; Ma, Q.; Cheng, S.; Chen, L. An optimal goal point determination algorithm for automatic navigation of agricultural machinery: Improving the tracking accuracy of the Pure Pursuit algorithm. Comput. Electron. Agric. 2022, 194, 106760. [Google Scholar] [CrossRef]
- Tangwannawit, S.; Tangwannawit, P. An optimization clustering and classification based on artificial intelligence approach for internet of things in agriculture. IAES Int. J. Artif. Intell. 2022, 11, 201–209. [Google Scholar] [CrossRef]
- Xu, J.; Gu, B.; Tian, G. Review of agricultural IoT technology. Artif. Intell. Agric. 2022, 6, 10–22. [Google Scholar] [CrossRef]
- Xie, D.; Chen, L.; Liu, L.; Chen, L.; Wang, H. Actuators and sensors for application in agricultural robots: A review. Machines 2022, 10, 913. [Google Scholar] [CrossRef]
- Muhammad, K.B.; Soomro, T.R.; Butt, J.; Saleem, H.; Khan, M.A.; Saleem, S. Iot and cloud based smart agriculture framework to improve crop yield meeting world’s food needs. IJCSNS 2022, 22, 7–14. [Google Scholar]
- Farooqui, N.A.; Mishra, A.K.; Mehra, R. IOT based automated greenhouse using machine learning approach. Int. J. Intell. Syst. Appl. Eng. 2022, 10, 226–231. [Google Scholar]
- Zulkifli, C.Z.; Garfan, S.; Talal, M.; Alamoodi, A.H.; Alamleh, A.; Ahmaro, I.Y.; Chiang, H.H. IoT-based water monitoring systems: A systematic review. Water 2022, 14, 3621. [Google Scholar] [CrossRef]
- Shaikh, T.A.; Rasool, T.; Lone, F.R. Towards leveraging the role of machine learning and artificial intelligence in precision agriculture and smart farming. Comput. Electron. Agric. 2022, 198, 107119. [Google Scholar] [CrossRef]
- Zhou, J.; Hu, W.; Zou, A.; Zhai, S.; Liu, T.; Yang, W.; Jiang, P. Lightweight detection algorithm of kiwifruit based on improved YOLOX-s. Agriculture 2022, 12, 993. [Google Scholar] [CrossRef]
- Rahman, H.; Faruq, M.O.; Hai, T.B.A.; Rahman, W.; Hossain, M.M.; Hasan, M.; Azad, M.M. IoT enabled mushroom farm automation with Machine Learning to classify toxic mushrooms in Bangladesh. J. Agric. Food Res. 2022, 7, 100267. [Google Scholar] [CrossRef]
- Saadane, R.; Chehri, A.; Jeon, S. AI-based modeling and data-driven evaluation for smart farming-oriented big data architecture using IoT with energy harvesting capabilities. Sustain. Energy Technol. Assess. 2022, 52, 102093. [Google Scholar]
- Su, J.; Zhu, X.; Li, S.; Chen, W.H. AI meets UAVs: A survey on AI empowered UAV perception systems for precision agriculture. Neurocomputing 2022, 518, 242–270. [Google Scholar] [CrossRef]
- An, Z.; Wang, C.; Raj, B.; Eswaran, S.; Raffik, R.; Debnath, S.; Rahin, S.A. Application of new technology of intelligent robot plant protection in ecological agriculture. J. Food Qual. 2022, 2022, 1257015. [Google Scholar] [CrossRef]
- Sharma, V.; Tripathi, A.K. A systematic review of meta-heuristic algorithms in IoT based application. Array 2022, 14, 100164. [Google Scholar] [CrossRef]
- Yang, J.; Ni, J.; Li, Y.; Wen, J.; Chen, D. The intelligent path planning system of agricultural robot via reinforcement learning. Sensors 2022, 22, 4316. [Google Scholar] [CrossRef] [PubMed]
- Gao, S. The Application of Information Classification in Agricultural Production Based on Internet of Things and Deep Learning. IEEE Access 2022, 10, 22622–22630. [Google Scholar] [CrossRef]
- Liu, Y.; Wang, J.; Shi, Y.; He, Z.; Liu, F.; Kong, W.; He, Y. Unmanned airboat technology and applications in environment and agriculture. Comput. Electron. Agric. 2022, 197, 106920. [Google Scholar] [CrossRef]
- Mitra, A.; Bera, B.; Das, A.K.; Jamal, S.S.; You, I. Impact on blockchain-based AI/ML-enabled big data analytics for Cognitive Internet of Things environment. Comput. Commun. 2023, 197, 173–185. [Google Scholar] [CrossRef]
- Aliahmadi, A.; Nozari, H.; Ghahremani-Nahr, J. A framework for IoT and Blockchain Based on Marketing Systems with an Emphasis on Big Data Analysis. Int. J. Innov. Mark. Elem. 2022, 2, 25–34. [Google Scholar] [CrossRef]




Disclaimer/Publisher’s Note: The statements, opinions and data contained in all publications are solely those of the individual author(s) and contributor(s) and not of MDPI and/or the editor(s). MDPI and/or the editor(s) disclaim responsibility for any injury to people or property resulting from any ideas, methods, instructions or products referred to in the content. |
© 2023 by the authors. Licensee MDPI, Basel, Switzerland. This article is an open access article distributed under the terms and conditions of the Creative Commons Attribution (CC BY) license (https://creativecommons.org/licenses/by/4.0/).
Share and Cite
R, V.K.; Bala, N.N.; Sudha, V.; Balakrishnan, D. An Enhanced Automation Analysis for Structural Algorithm in Agro-Industries Using IoT. Eng. Proc. 2023, 59, 118. https://doi.org/10.3390/engproc2023059118
R VK, Bala NN, Sudha V, Balakrishnan D. An Enhanced Automation Analysis for Structural Algorithm in Agro-Industries Using IoT. Engineering Proceedings. 2023; 59(1):118. https://doi.org/10.3390/engproc2023059118
Chicago/Turabian StyleR, Vineetha K, N. Nagadevi Bala, V. Sudha, and D. Balakrishnan. 2023. "An Enhanced Automation Analysis for Structural Algorithm in Agro-Industries Using IoT" Engineering Proceedings 59, no. 1: 118. https://doi.org/10.3390/engproc2023059118
APA StyleR, V. K., Bala, N. N., Sudha, V., & Balakrishnan, D. (2023). An Enhanced Automation Analysis for Structural Algorithm in Agro-Industries Using IoT. Engineering Proceedings, 59(1), 118. https://doi.org/10.3390/engproc2023059118
