Next Article in Journal
An Approach to the Assessment of the Physical Stability of Mayonnaises
Previous Article in Journal
Statement of Peer Review
 
 
Font Type:
Arial Georgia Verdana
Font Size:
Aa Aa Aa
Line Spacing:
Column Width:
Background:
Proceeding Paper

Statistical Analysis of a Questionnaire-Based Survey for Assessing the Impact of Tai Ji on the World Health Organization Definitions Regarding Quality of Life (QoL) †

by
Dimitris Tsolakidis
1,*,
Despina Kakatsaki
2 and
Dimitris Glotsos
3
1
Flow Taiji Center, Kritis 18, Argyroupoli, 16451 Athens, Greece
2
Psychiatrist in Private Practice, Sisini 5, 11528 Athens, Greece
3
Department of Biomedical Engineering, University of West Attica, 12210 Athens, Greece
*
Author to whom correspondence should be addressed.
Presented at the Advances in Biomedical Sciences, Engineering and Technology (ABSET) Conference, Athens, Greece, 10–11 June 2023.
Eng. Proc. 2023, 50(1), 14; https://doi.org/10.3390/engproc2023050014
Published: 16 November 2023

Abstract

In this study, the aim was to evaluate the impact of Tai Ji on perceived quality of life (QoL). To this end, an anonymous online questionnaire was designed, compatible with the guidelines of the WHO for the definition of QoL, on the Microsoft Forms platform, using multiple-choice questions, short text answers, and Likert-based scales. The questionnaire was made public to practitioners of the Flow Tai Ji Center in Greece. The results showed that Tai Ji greatly improved the overall QoL for most participants, with more than 80% positive opinions.

1. Introduction

Quality of life (QoL) is a difficult term to define since it is subjectively perceived. One of the most important QoL indicators is health-related quality of life (HRQoL), which involves physical, functional, emotional, and social wellbeing. The 2020 Healthy People initiative [1] of the U.S. Center for Disease Control and Prevention (CDC) has launched an effort towards public policies that will result in increasing the number of people reporting good or improved levels of HRQoL.
There are several factors that affect QoL. For example, physical and/or mental illnesses have been shown to reduce QoL. Chronic diseases, in particular, have been identified as the leading cause for reduction in QoL [2,3]. Currently available preventive strategies have proven ineffective in reducing the negative impact of chronic diseases on affected individuals. Patients may live longer; however, the living conditions may involve partial/full mechanical support, reduced consciousness, and suffering.
Another factor that affects QoL is ageing. Older adults suffer from common health conditions, such as hearing loss, vision impairments, osteoarthritis, chronic diseases, and self-inflected injuries, such as falls. These conditions have been shown to degrade overall QoL. According to the World Health Organization, falls are responsible for 684,000 deaths each year [4]. More than 37,000,000 falls require medical attention each year. Most of these falls involve adults aged over 60 [5]. Besides being dangerous, falls may result in mobility loss, reducing the functional capacity of affected individuals and overall QoL [6].
Another factor that affects QoL is the modern lifestyle. The modern lifestyle involves prolonged sitting behaviors. Slouching for hours in front of a computer and smartphone results in significant spinal stresses due to bad posture. Bad posture is the leading cause of chronic back, spinal, and neck pain and significantly reduces QoL [7,8].
Moreover, the modern lifestyle induces daily stressful situations, which is another factor that affects QoL. Daily conditions in the workplace and family and significant life events (i.e., death, loss, divorce, disease) are only a few of the factors that may cause acute and chronic physiological stress and may invoke disease-triggering and disease-worsening conditions. Many research studies have linked permanent stressful conditions with chronic diseases, such as cardiovascular diseases, high blood pressure, diabetes, chronic obstructive pulmonary diseases, immunological disorders, and even cancer. The combination of chronic diseases, ageing, and stress is considered as among the most dangerous health risk factors, especially for populations inhabiting modern, metropolitan cities [9,10].
Traditional, complementary, and alternative medicine (TCAM) has become increasingly popular in Europe over the past 30 years. Acupuncture, herbal medicine, chiropractic, yoga, qigong, and Tai Ji (Tai Chi) comprise some of the most widespread examples of TCAM practices in the West. The efficacy of such methods has been extensively investigated by numerous research studies, with positive outcomes [11,12,13,14,15]. Identifying the promising results of TCAM practices, the World Health Organization (WHO) has established a new strategy for the utilization of traditional medicine for the period of 2014–2023 [16]. The EU has also shown an increasing interest in the application of TCAM for improving health care conditions of the increasingly elderly European population. Additionally, the United States of America’s National Institute of Health has allocated millions of dollars for investigating the effects of TCAM on various diseases and has established a dedicated office that coordinates the scientific research of complementary and integrative health (National Center for Complementary and Integrative Health) [17].
In this study, the aim was to evaluate the impact of Tai Ji on the perceived QoL of Tai Ji practitioners by means of a survey questionnaire designed following the guidelines of the WHO about the definition of QoL [18].

2. Methods

An anonymous online questionnaire was designed to investigate the effect of Tai Ji on QoL in terms of body health, body function, social life, emotional status, and stress. The questions were formed based on the guidelines of the WHO regarding the definition of QoL [18]. The study was approved by the Research Ethics and Ethics Committee of the University of West Attica, Greece: Protocol ID:108318-07/11/2022.
The questionnaire was implemented on the Microsoft Forms platform, using multiple-choice questions, short text answers, and Likert-based scales. The questionnaire was made available to Tai Ji practitioners of the Flow Tai Ji Center in Greece. Forty-six (46) responses were collected.
Besides demographics (gender, age, marital status, family status, and educational status), the survey included questions focusing to 5 main domains of QoL, each investigating a different factor, namely physical body health, social well-being, emotional well-being, ability to function satisfactorily in daily life, and perceived stress. These 5 main QoL factors were assessed in terms of a three-step Likert scale with the options ‘negative effect’, ‘neutral effect’, and ‘positive effect’.
The physical body health domain included questions regarding the impact of Tai Ji on back pain, head and neck pain, joint pain, muscle pain, spinal pain, cardiovascular adjustment (pressure, heart rate), sleep cycle, memory performance, and body weight. The social well-being domain included questions regarding the impact of Tai Ji on personal relationships, social relationships, work relationships, communication effectiveness, and ability to expand social contacts. The emotional well-being domain included questions regarding the impact of Tai Ji on wellness, vitality, happiness, confidence, self-acceptance, self-awareness, determination, ability to solve problems, and optimism. The ability to function satisfactorily in daily life domain included questions regarding the impact of Tai Ji on balance, gaiting, endurance, strength, flexibility, movement coordination, and ability to perform daily activities. Finally, the stress domain included questions regarding the impact of Tai Ji on nervousness, agitation, disorganization, and feeling of being under pressure.
The following methods were used to analyze the survey questionnaire. First, descriptive statistics were used to summarize the key features of the questionnaire. Second, frequency analysis was implemented to list the frequency of responses for all questions in the survey. Third, the chi-squared test [19] was applied to investigate whether there were important statistical differences between the categorical variables of the survey. Fourth, the results were organized in the form of frequency graphs for visual identification of potential trends.

3. Results

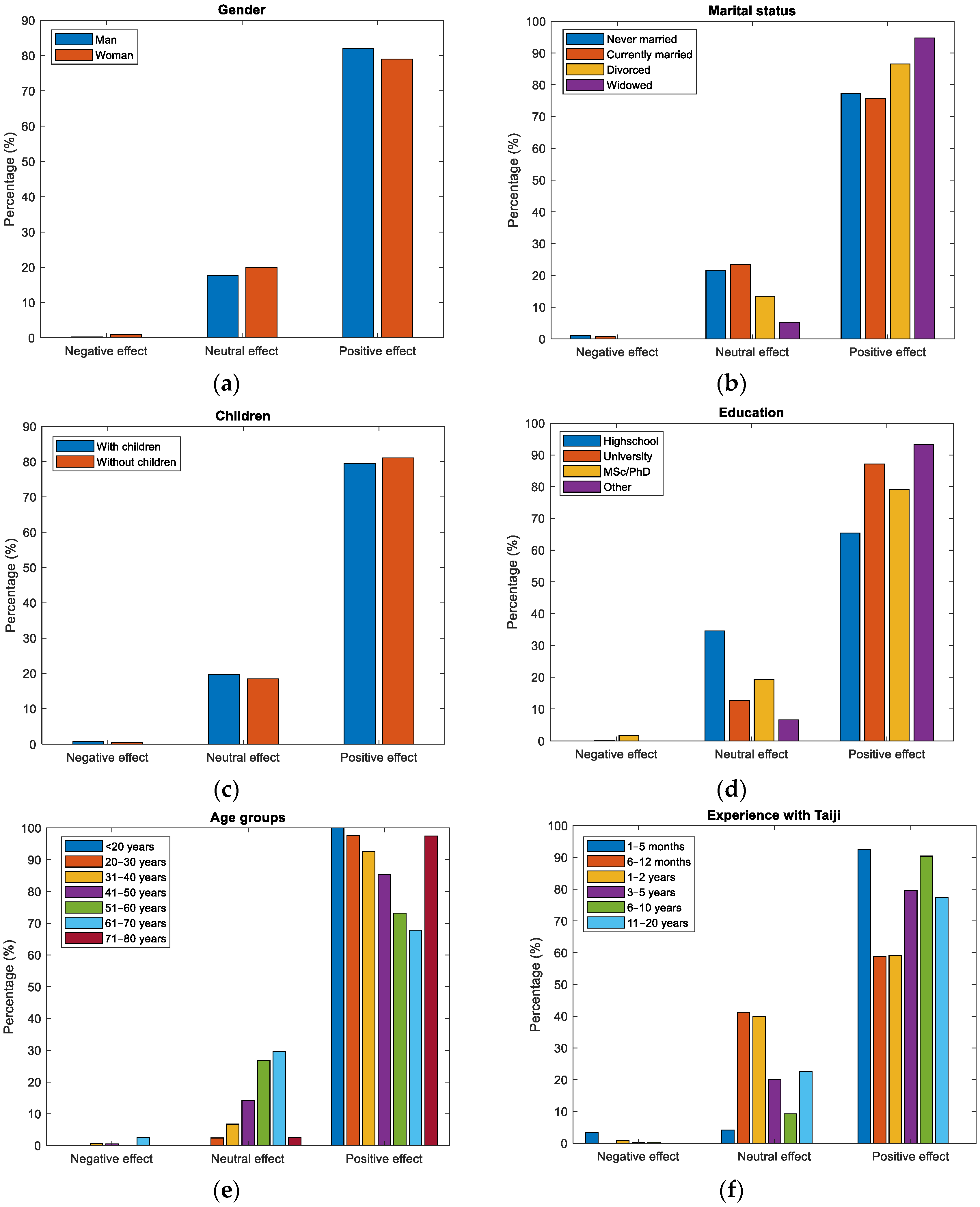
From the 46 collected responses, 63% of the participants were women and 37% men, 50% were married, and 63% had children. Most participants (74%) declared that they had a university degree. Most participants (69.5%) belonged to the 41–70 years age group. The participants’ median experience with Tai Ji was 3–5 years.
The results of the survey analysis are presented in Figure 1 and Table 1. Figure 1 illustrates the impact of Tai Ji in all five QoL domains investigated in terms of gender (a), marital status (b), children status (c), educational status (d), age group (e), and experience with Tai Ji (f). Table 1 lists the QoL subdomain that attained the maximum number of positive opinions for each subgroup of the above-mentioned populations.

4. Discussion

Tai Ji may be considered as one of the most popular TCAM practices in China. In the West, it has become increasingly popular over the last three decades. Tai Ji is very friendly even for elderly and unhealthy populations, since most of its practices are slow, smooth, and safe [20,21,22]. Tai Ji is a mind–body exercise, which means that it aims at both body and mind regulation. Some of the benefits of body regulation comprise the enhancement of muscle strength, increasing flexibility, the improvement of balance, and the provision of soft aerobic exercise. Some of the benefits of the mind regulation that may be considered include reducing stress, anxiety, and depression. The combination of mind and body exercise may provoke health benefits, such as a) prevention of diseases and b) health improvement of affected patients. The above claims have been supported by an important number of observational research studies [23,24,25,26]. According to a relatively recent review, 507 studies were found for the period between 1958 and 2013, 94.1% of which reported positive health effects because of the Tai Ji practice [27].
Stress, smoking, dietary habits, and physical inactivity are characteristics of the modern lifestyle, which is fast, with a lot of stress, nutrient-poor fast food, smoking, a polluted atmosphere, and physical inactivity. These are all risk factors for chronic diseases [28,29] and thus for reduction in QoL. The need for preventive strategies is urgent for the increasingly elderly population, since old people are highly likely to manifest one of the major chronic diseases at some point in their lives and/or suffer from self-inflected injuries, such as falls. One such strategy may be found in the widespread dissemination of the Tai Ji practice.
In this study, we have attempted to quantify the perceived QoL of Tai Ji practitioners by means of a survey that was conducted using an online questionnaire constructed following the guidelines of the WHO for measuring QoL. The main findings of the study were the following:
First, the survey revealed that most participants declared that Tai Ji practice has improved their overall QoL for the all the five domains investigated, namely physical body health, social well-being, emotional well-being, ability to function satisfactory in daily life, and perceived stress, with more than 80% positive opinions.
Second, the chi-squared test was applied to investigate whether there were any statistically significant differences between Tai Ji’s impact and the different categorical populations investigated (gender, marital status, children status, educational status, age groups, and experience with Tai Ji). The chi-squared test analysis showed no statistically significant differences, indicating that the benefits of Tai Ji were perceived positively by both men and women, young and old, educated and non-educated, less experienced with Tai Ji and more experienced with Tai Ji.
Third, although without any statistically important differences, the following interesting observations could be identified: (a) men believe that Tai Ji has mostly helped them in the improvement of their ability to function in daily life, whereas women declared that Tai Ji has mostly helped them to reduce stress; (b) people with family and children identified Tai Ji as mostly contributing to the improvement of their ability to function in daily life, whereas people without children experienced a greater improvement in their social life; (c) people with less experience with Tai Ji (starters/beginners with 1 month to 2 years of experience) have mostly benefited by means of stress reduction, whereas more experienced practitioners (3 years to 20 years) by means of improved daily life function; and (d) younger practitioners (20–40 years) seem to benefit from Tai Ji mostly in terms of stress reduction, middle-aged practitioners in terms of social life (41–50 years) and ability to function in daily life (51–60 years), and older participants in terms of body health (71–80 years).

Author Contributions

Conceptualization, D.T., D.K. and D.G.; methodology, D.T., D.K. and D.G.; software, D.G.; validation, D.T., D.K. and D.G.; formal analysis, D.T., D.K. and D.G.; investigation, D.T., D.K. and D.G.; resources, D.T., D.K. and D.G.; data curation, D.G.; writing—original draft preparation, D.T., D.K. and D.G.; writing—review and editing, D.T., D.K. and D.G.; visualization, D.G.; supervision, D.G.; project administration, D.G. All authors have read and agreed to the published version of the manuscript.

Funding

This research received no external funding.

Institutional Review Board Statement

This study was approved by the Research Ethics and Ethics Committee of the University of West Attica, Greece: Protocol ID:108318-07/11/2022.

Informed Consent Statement

Not applicable.

Data Availability Statement

These data are not publicly available due to ongoing research.

Conflicts of Interest

The authors declare no conflict of interest.

References

  1. Centers for Disease Control and Prevention, Healthy People 2020. Available online: https://www.cdc.gov/nchs/healthy_people/hp2020.htm (accessed on 5 May 2023).
  2. Lam, C.L.; Lauder, I.J. The impact of chronic diseases on the health-related quality of life (HRQOL) of Chinese patients in primary care. Family Pract. 2000, 17, 159–166. [Google Scholar] [CrossRef]
  3. Donate-Martinez, A.; Rodenas, F.; Garces, J. Impact of a primary-based telemonitoring programme in HRQOL, satisfaction and usefulness in a sample of older adults with chronic diseases in Valencia (Spain). Arch. Gerontol. Geriatr. 2016, 62, 169–175. [Google Scholar] [CrossRef]
  4. WHO. Falls. Available online: https://www.who.int/news-room/fact-sheets/detail/falls (accessed on 5 May 2023).
  5. Gale, C.R.; Westbury, L.D.; Cooper, C.; Dennison, E.M. Risk factors for incident falls in older men and women: The English longitudinal study of ageing. BMC Geriatr. 2018, 18, 117. [Google Scholar] [CrossRef] [PubMed]
  6. Paiva, M.M.; Lima, M.G.; Barros, M.B.A. Falls and health-related quality of life: Influence of frequency and location type of falls. Cienc. Saude Coletiva 2021, 26 (Suppl. S3), 5099–5108. [Google Scholar] [CrossRef] [PubMed]
  7. Harvey, R.H.; Peper, E.; Mason, L.; Joy, M. Effect of Posture Feedback Training on Health. Appl. Psychophysiol. Biofeedback 2020, 45, 59–65. [Google Scholar] [CrossRef] [PubMed]
  8. Hasegawa, K.; Okamoto, M.; Hatsushikano, S.; Watanabe, K.; Ohashi, M.; Vital, J.M.; Dubousset, J. Compensation for standing posture by whole-body sagittal alignment in relation to health-related quality of life. Bone Jt. J. 2020, 102-B, 1359–1367. [Google Scholar] [CrossRef] [PubMed]
  9. Filaretova, L.; Morozova, O.; Laszlo, F.; Morschl, E.; Zelena, D. Does chronic stress enhance the risk of diseases? Endocr. Regul. 2013, 47, 177–188. [Google Scholar] [CrossRef] [PubMed]
  10. Kenny, G.P.; Yardley, J.; Brown, C.; Sigal, R.J.; Jay, O. Heat stress in older individuals and patients with common chronic diseases. CMAJ 2010, 182, 1053–1060. [Google Scholar] [CrossRef]
  11. Peltzer, K.; Pengpid, S.; Puckpinyo, A.; Yi, S.; Vu Anh, L. The utilization of traditional, complementary and alternative medicine for non-communicable diseases and mental disorders in health care patients in Cambodia, Thailand and Vietnam. BMC Complement. Altern. Med. 2016, 16, 92. [Google Scholar] [CrossRef]
  12. Isidoro, C.; Huang, C.C.; Sheen, L.Y. Report from the Second International Conference of Traditional and Complementary Medicine on Health 2015. J. Tradit. Complement. Med. 2016, 6, 5–9. [Google Scholar] [CrossRef][Green Version]
  13. Kew, Y.; Chia, Y.L.; Lai, S.M.; Chong, K.Y.; Ho, X.L.; Liew, D.W.; Moy, F.M.; Selvarajah, S. Traditional and Complementary Medicine (TCM) among Study Population with Cardiovascular Risk; use and Substitution for Conventional Medicine in Pahang, Malaysia. Med. J. Malays. 2015, 70, 86–92. [Google Scholar]
  14. Xiao, F.; Yan, B.; Chen, L.; Zhou, D. Review of the use of botanicals for epilepsy in complementary medical systems—Traditional Chinese Medicine. Epilepsy Behav. 2015, 52, 281–289. [Google Scholar] [CrossRef] [PubMed]
  15. Roberti di Sarsina, P.; Alivia, M.; Guadagni, P. Traditional, complementary and alternative medical systems and their contribution to personalisation, prediction and prevention in medicine-person-centred medicine. EPMA J. 2012, 3, 15. [Google Scholar] [CrossRef] [PubMed]
  16. WHO Traditional Medicine Strategy: 2014–2023. Available online: http://www.who.int/medicines/publications/traditional/trm_strategy14_23/en/ (accessed on 5 May 2023).
  17. National Center for Complementary and Integrative Health. Available online: https://www.nccih.nih.gov/ (accessed on 5 May 2023).
  18. The World Health Organization Quality of Life (WHOQOL). Available online: https://www.who.int/publications/i/item/WHO-HIS-HSI-Rev.2012.03 (accessed on 5 May 2023).
  19. Pearson, K. On the criterion that a given system of deviations from the probable in the case of a correlated system of variables is such that it can be reasonably supposed to have arisen from random sampling. Lond. Edinb. Dublin Philos. Mag. J. Sci. 1900, 5, 157–175. [Google Scholar] [CrossRef]
  20. Maciaszek, J.; Osinski, W. The effects of Tai Chi on body balance in elderly people—A review of studies from the early 21st century. Am. J. Chin. Med. 2010, 38, 219–229. [Google Scholar] [CrossRef]
  21. Kasai, J.Y.; Busse, A.L.; Magaldi, R.M.; Soci, M.A.; Rosa Pde, M.; Curiati, J.A.; Jacob Filho, W. Effects of Tai Chi Chuan on cognition of elderly women with mild cognitive impairment. Einstein 2010, 8, 40–45. [Google Scholar] [CrossRef]
  22. Chen, K.M.; Li, C.H.; Lin, J.N.; Chen, W.T.; Lin, H.S.; Wu, H.C. A feasible method to enhance and maintain the health of elderly living in long-term care facilities through long-term, simplified tai chi exercises. J. Nurs. Res. 2007, 15, 156–164. [Google Scholar] [CrossRef]
  23. Dogra, S.; Shah, S.; Patel, M.; Tamim, H. Effectiveness of a Tai Chi intervention for improving functional fitness and general health among ethnically diverse older adults with self-reported arthritis living in low-income neighborhoods: A cohort study. J. Geriatr. Phys. Ther. 2015, 38, 71–77. [Google Scholar] [CrossRef]
  24. Lan, C.; Wolf, S.L.; Tsang, W.W. Tai chi exercise in medicine and health promotion. Evid.-Based Complement. Altern. Med. 2013, 2013, 298768. [Google Scholar] [CrossRef]
  25. Tsai, P.F.; Chang, J.Y.; Beck, C.; Kuo, Y.F.; Keefe, F.J. A pilot cluster-randomized trial of a 20-week Tai Chi program in elders with cognitive impairment and osteoarthritic knee: Effects on pain and other health outcomes. J. Pain Symptom Manag. 2013, 45, 660–669. [Google Scholar] [CrossRef]
  26. Jahnke, R.; Larkey, L.; Rogers, C.; Etnier, J.; Lin, F. A comprehensive review of health benefits of qigong and tai chi. Am. J. Health Promot. 2010, 24, e1–e25. [Google Scholar] [CrossRef] [PubMed]
  27. Yang, G.Y.; Wang, L.Q.; Ren, J.; Zhang, Y.; Li, M.L.; Zhu, Y.T.; Luo, J.; Cheng, Y.J.; Li, W.Y.; Wayne, P.M.; et al. Evidence base of clinical studies on Tai Chi: A bibliometric analysis. PLoS ONE 2015, 10, e0120655. [Google Scholar] [CrossRef]
  28. Zhou, Q.P.; Remsburg, R.; Caufield, K.; Itote, E.W. Lifestyle behaviors, chronic diseases, and ratings of health between black and white adults with pre-diabetes. Diabetes Educ. 2012, 38, 219–228. [Google Scholar] [CrossRef] [PubMed]
  29. Steyn, K.; Damasceno, A. Lifestyle and Related Risk Factors for Chronic Diseases. In Disease and Mortality in Sub-Saharan Africa, 2nd ed.; Jamison, D.T., Feachem, R.G., Makgoba, M.W., Bos, E.R., Baingana, F.K., Hofman, K.J., Rogo, K.O., Eds.; World Bank Publications: Washington, DC, USA, 2006. [Google Scholar]
Figure 1. Positive, neutral, and negative opinions regarding the impact of Tai Ji in all five QoL domains investigated in terms of (a) gender, (b) marital status, (c) children status, (d) educational status, (e) age group, and (f) experience with Tai Ji.
Figure 1. Positive, neutral, and negative opinions regarding the impact of Tai Ji in all five QoL domains investigated in terms of (a) gender, (b) marital status, (c) children status, (d) educational status, (e) age group, and (f) experience with Tai Ji.
Engproc 50 00014 g001
Table 1. QoL subdomains that attained the maximum number of positive opinions for different population partitions.
Table 1. QoL subdomains that attained the maximum number of positive opinions for different population partitions.
CategorySubgroupsMaximum Positive Opinions
GenderMenImproves ability to function in daily life
WomenReduces stress
Marital statusMarriedImproves ability to function in daily life
Never marriedImproves ability to function in daily life
DivorcedImproves ability to function in daily life
WidowedReduces stress
ChildrenWith childrenImproves ability to function in daily life
Without childrenImproves social life and well-being
Age group20–30 yearsReduces stress
31–40 yearsReduces stress
41–50 yearsImproves social life and well-being
51–60 yearsImproves ability to function in daily life
61–70 yearsImproves ability to function in daily life
71–80 yearsImproves body health
EducationHighschool graduatesImproves ability to function in daily life
University graduatesImproves ability to function in daily life
MSc/PhD holdersImproves ability to function in daily life
OtherReduces stress
Experience with Tai Ji1–5 monthsReduces stress
6–12 monthsReduces stress
1–2 yearsReduces stress
3–5 yearsImproves ability to function in daily life
6–10 yearsImproves ability to function in daily life
11–20 yearsImproves ability to function in daily life
Disclaimer/Publisher’s Note: The statements, opinions and data contained in all publications are solely those of the individual author(s) and contributor(s) and not of MDPI and/or the editor(s). MDPI and/or the editor(s) disclaim responsibility for any injury to people or property resulting from any ideas, methods, instructions or products referred to in the content.

Share and Cite

MDPI and ACS Style

Tsolakidis, D.; Kakatsaki, D.; Glotsos, D. Statistical Analysis of a Questionnaire-Based Survey for Assessing the Impact of Tai Ji on the World Health Organization Definitions Regarding Quality of Life (QoL). Eng. Proc. 2023, 50, 14. https://doi.org/10.3390/engproc2023050014

AMA Style

Tsolakidis D, Kakatsaki D, Glotsos D. Statistical Analysis of a Questionnaire-Based Survey for Assessing the Impact of Tai Ji on the World Health Organization Definitions Regarding Quality of Life (QoL). Engineering Proceedings. 2023; 50(1):14. https://doi.org/10.3390/engproc2023050014

Chicago/Turabian Style

Tsolakidis, Dimitris, Despina Kakatsaki, and Dimitris Glotsos. 2023. "Statistical Analysis of a Questionnaire-Based Survey for Assessing the Impact of Tai Ji on the World Health Organization Definitions Regarding Quality of Life (QoL)" Engineering Proceedings 50, no. 1: 14. https://doi.org/10.3390/engproc2023050014

APA Style

Tsolakidis, D., Kakatsaki, D., & Glotsos, D. (2023). Statistical Analysis of a Questionnaire-Based Survey for Assessing the Impact of Tai Ji on the World Health Organization Definitions Regarding Quality of Life (QoL). Engineering Proceedings, 50(1), 14. https://doi.org/10.3390/engproc2023050014

Article Metrics

Back to TopTop