Abstract
Elastic emission machining (EEM) is a finishing process for the surface of parts. In the EEM of ceramic parts, the part is submerged into a liquid interface that contains abrasive particles, and then a spindle rotates a spheric tool rapidly, forcing the abrasive particles into contact with the ceramic surface part. Due to the fact that it is a finishing process, the part that goes through EEM has a high aggregated value compared to previous machining processes. Thus, with the monitoring of this process, failures that would cause the parts to be discarded can be detected. One of the most preeminent non-intrusive methods of machining-process monitoring is the digital processing of in situ acquired acoustic emission (AE) signals. In recent published papers, a low-cost piezoelectric transducer has shown great results as an alternative to traditional AE sensors when applied in the monitoring of other machining processes such as grinding and dressing. Among the methods of evaluating a sensor’s response, the pencil lead break (PLB) method has shown to be effective when applied to different workpieces and low-cost transducers. The present work aims to evaluate the submerged influence on the low-cost piezoelectric transducer response by means of the PLB method for EEM monitoring. The results obtained show that there is great influence on the signal obtained when the piezoelectric transducer is in contact with the liquid interface. The results also show that the influence is more preeminent on certain frequency values.
1. Introduction
Elastic emission machining (EEM) is a numerically controlled ultra-precision machining process, which can effortlessly finish a workpiece into a desired outline, employing elastic fracture of an atomic size order [1]. In EEM, the workpiece is submerged into a liquid interface that contains abrasive particles, and then a spindle rotates a spheric tool rapidly, forcing the abrasive particles into contact with the part surface [2]. Due to the fact that it is a finishing process, the part that goes through EEM has a high aggregated value compared to previous machining processes. Thus, with monitoring of this process, failures that would cause the parts to be discarded can be detected.
One of the most preeminent non-intrusive methods of machining-process monitoring is the digital processing of in situ acquired acoustic emission (AE) signals [3,4]. In the work developed by [3], a grinding process with oxide aluminum grinding wheel was successfully monitored regarding the tool condition with the use of the digital signal processing of in situ acquired AE signals. The digital signal processing of in situ acquired AE signals was also utilized in the work developed by [4] with the goal of monitoring the grinding process for the occurrence of the burn phenomena.
In recent published papers, a low-cost piezoelectric transducer has shown great results as an alternative to traditional AE sensors when applied in the monitoring of other machining processes such as grinding and dressing [5,6,7]. In the work developed by [5], a low-cost piezoelectric transducer was evaluated for the monitoring of a ceramic grinding process. On the other hand, in the work developed by [6], the frequency spectra of signals obtained through a low-cost piezoelectric diaphragm in a grinding process were analyzed with the goal of detecting the burn phenomena. In situ data acquired through a low-cost piezoelectric transducer were also utilized in the work developed by [7] in order to evaluate the surface conditions of a metal workpiece that underwent the grinding process.
Among the methods of evaluating sensor’s response, the pencil lead break (PLB) method has been shown to be effective when applied to different workpieces and low-cost transducers [8,9,10]. The PLB method was utilized in the work developed by [8] in order to evaluate the response of a low-cost electret microphone under different temperature values. The PLB was also the method chosen to evaluate the temperature influence in the work developed by [9], where the response of a low-cost piezoelectric diaphragm was evaluated for temperature values utilized in the 3D printing process. In the work developed by [10], the PLB method exhibited great effectiveness when evaluating the temperature influence on a traditional AE sensor.
The present work aims to evaluate the submerged influence on the low-cost piezoelectric transducer response by means of the PLB method for EEM monitoring.
2. Material and Methods
2.1. Experimental Setup
This work is based on experimental procedures to investigate the influence of a liquid water interface on piezoelectric diaphragm response for EEM process monitoring. The experimental setup constituted two test conditions. The dry-test condition was conducted with the test specimen placed in an ordinary desk with only air as an interface. On the other hand, the tests performed on the submerged condition were conducted with the test specimen placed in vessel which could hold the liquid interface.
The submerged tests were performed in an ordinary bucket 29 cm high with a maximum and minimum diameter of 28 cm and 18 cm, respectively, with a water column of 19 cm, in which the specimen was submerged. A 98 mm × 24 mm × 8 mm ground alumina test specimen was fixed in the center of the bottom of the bucket. In addition, a 15 mm diameter and 0.42 mm thickness piezoelectric diaphragm (PZT) was fixed with cyanoacrylate glue and a silicone-based adhesive to the test specimen. A representation of the submerged condition testbench can be observed on Figure 1.
Figure 1.
Setup Schematic.
An DL850 model oscillograph, manufactured from Yokogawa, was used for data collection and temporary storage. An active 30 dB gain amplifier was used to amplify the signal collected by the piezoelectric diaphragm. Lastly, the graphite used in the PLB method had a 2H hardness and measured 0.5 mm in diameter. The graphite length and the mechanical pencil positioning angle were established in accordance with ASTM E976. In the PLB tests, five pencil lead breaks were performed for each test condition, submerged and dry, while keeping a 45° angle between the graphite and the test specimen. The oscillograph stored the acoustic signals collected at a sampling rate of 5 MHz. The stored data were later transferred to a computer and digitally processed with Matlab® software (version R2022a, MathWorks Inc., Natick, MA, USA).
2.2. Signal Processing
The obtained signals were pre-processed by separating the PLB period from the rest of the signal in order to decrease the file size. The obtained separated signals were analyzed in both time and frequency domains.
In the time domain, a comparison between the separated signals was made by overlaying three signals from the same test condition, submerged or dry, to evaluate the repeatability of the PLB tests. In sequence, a submerged signal and a dry signal were overlaid to analyze the effect of the submerging on the sensor response.
Fast Fourier transform (FFT) can be applied in order to obtain the frequency spectrum of a determined signal [11]. In the present work, the FFT was calculated for each separated signal in order to obtain the signals’ content in the frequency domain. The obtained frequency spectra of the two test conditions were compared in order to identify frequency bands where major overlaps in amplitude were observed and frequency bands where there were few to no overlaps in amplitude. These band-selection criteria were based on the criteria utilized in the work developed by [9].
The root mean square (RMSD) damage index represents the variation in amplitude between two frequency spectra in a defined frequency band [12]. The RMSD was calculated for each selected frequency band. The RMSD analysis was performed in four frequency bands selected with the amplitude criteria previously described.
3. Results and Discussion
3.1. Raw Signal Analysis
The separate raw PLB signals are shown in Figure 2. As shown in Figure 2, the orange-colored signals correspond to the PLB obtained in the dry-test condition and the blue-colored signals correspond to the PLB obtained in the submerged-test condition. A first analysis reveals that the dry signals present an impulse response that is very similar in shape and behavior as the one obtained in the work developed by [9]. A second analysis reveals that the amplitude of the three dry signals also is very close to one another. This result indicates that the PLB method presents repeatability when used to evaluate sensors’ response in a ground alumina specimen.
Figure 2.
Raw PLB signals.
Further analysis of Figure 2 reveals that the amplitude behavior of the submerged signals is very different. The submerged signals appear to have a specific low-frequency wave modulating the amplitude.
The raw signal analysis result indicates that the liquid interface has a severe influence on the low-cost piezoelectric diaphragm response in the time domain.
3.2. Frequency Spectrum Analysis
The separate frequency contents of the PLB signals are shown in Figure 3. A first analysis in Figure 3a reveals that the frequency amplitudes of the three dry signals are also very close to one another. This result further reinforces the indication that the PLB method presents repeatability when used to evaluate sensors’ response in a ground alumina specimen. Further analysis reveals that the dry signals spectra present very clear amplitude peaks in certain frequency values. This result indicates that the sensor mounted on the ground alumina specimen presented a more prominent response for specific frequency bands.
Figure 3.
Frequency spectra. (a) Dry signals, (b) Submerged signals.
On the other hand, the analysis of the submerged signals’ frequency contents represented in Figure 3b reinforces the understanding that the liquid interface has a severe influence on the low-cost piezoelectric diaphragm response. At first glance, it is possible to observe that the frequency amplitudes of the three submerged signals’ spectra were vastly superior to the ones observed for the dry signals’ spectra, presenting significative amplitude values between 1 Hz and 150 kHz frequency values.
3.3. RMSD Analysis
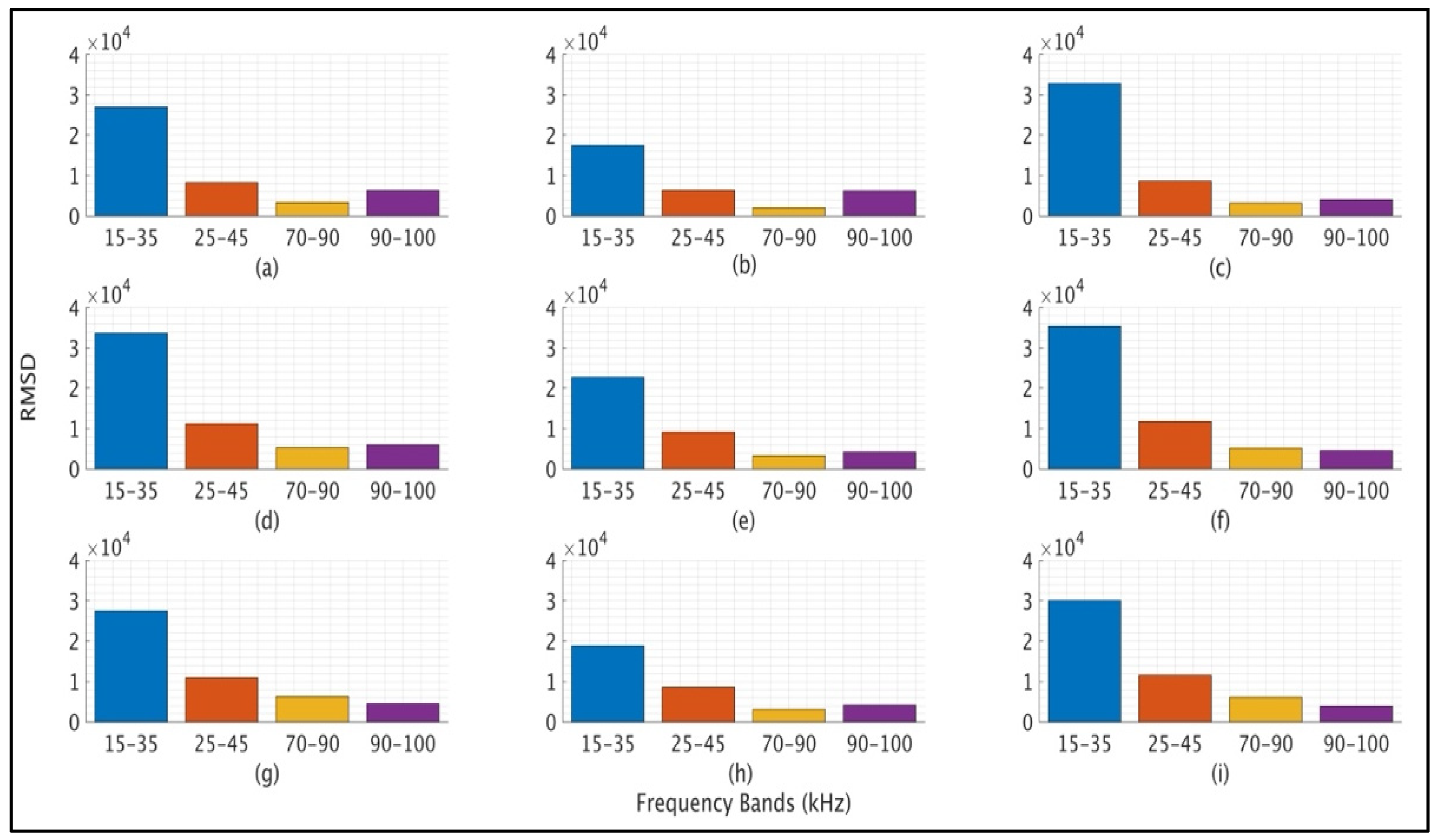
For the RMSD analysis, four 20 kHz-range frequency bands were selected from Figure 3. The RMSD analysis conducted for each repetition is represented on Figure 4. A first analysis of Figure 4 reveals that the obtained RMSD values were high for all of the evaluated frequency bands. Due to the fact that the RMSD value measures the difference between frequency spectra in a determined frequency band, the high values obtained further reinforce the understanding that the liquid interface vastly interferes with the piezoelectric diaphragm response when attached to a ground alumina specimen.
Figure 4.
RMSD evaluated between. (a) Dry Rep 2 and Submerged Rep1, (b) Dry Rep 2 and Submerged Rep 5, (c) Dry Rep 2 and Submerged Rep 4, (d) Dry Rep 4 and Submerged Rep 1, (e) Dry Rep and 4 Submerged Rep 5, (f) Dry Rep 4 and Submerged Rep 4, (g) Dry Rep 5 and Submerged Rep 1, (h) Dry Rep 5 and Submerged Rep 5, (i) Dry Rep 5 and Submerged Rep 4.
Further analysis of Figure 4 reveals that the frequency band between 15 kHz and 35 kHz contains the frequency values where the effect of the liquid interface on the piezoelectric diaphragm response is more prominent, as could be noticed on every pair of spectra evaluated. The frequency band between 25 kHz and 45 kHz also presented significative RMSD values for every pair of spectra evaluated. On the other hand, the two remaining frequency bands, 70 kHz to 90 kHz and 90 kHz and 110 kHz, presented lower RMSD values for every pair of spectra evaluated, indicating that the piezoelectric diaphragm responses in these frequency bands were less influenced by the liquid interface.
4. Conclusions
The elastic emission machining process deals with the finishing of parts by rotating a spheric tool through a spindle rapidly in an abrasive-particle-populated liquid interface, forcing abrasive particles into contact with the part’s surface. For the indirect monitoring of the process through acoustic emission, a sensor must be attached to the part under machining. Due to the fact that the sensor will be placed in a liquid interface, it is of interest to understand the effect of the liquid interface on the sensor response. Among the methods of evaluating sensor’s response, the pencil lead break method was successfully utilized to evaluate the response of piezoelectric transducers under various test conditions.
The present work sought out to analyze the response of a low-cost piezoelectric diaphragm in a liquid interface with the PLB method. Signals were obtained with the PLB conducted under a dry-test condition and a test under conditions of being submerged into the liquid interface. The obtained signals were analyzed in the time domain along with their frequency content in the frequency domain.
The obtained results indicated that the liquid interface vastly influences the piezoelectric diaphragm response in both time and frequency domains. Through the RMSD damage index, the analysis of the frequency domain also revealed that the influence of the liquid interface was more prominent in certain frequency bands.
Thus, it can be firstly concluded that the PLB method can be used to evaluate the response of sensors attached to ground alumina specimens. Likewise, it can be concluded that the liquid interface utilized for the EEM process influence the piezoelectric diaphragm response vastly.
Author Contributions
The authors contributed equally to this work. All authors have read and agreed to the published version of the manuscript.
Funding
This work was funded in part by the São Paulo Research Foundation (FAPESP) (grants #2016/22038-8 and #08/53641-5) and by the Brazilian National Council for Scientific and Technological Development (CNPq) (grant # 306774/2021-6).
Institutional Review Board Statement
Not applicable.
Informed Consent Statement
Not applicable.
Data Availability Statement
Not applicable.
Acknowledgments
Thanks go to São Paulo Research Foundation (FAPESP) and the Brazilian National Council for Scientific and Technological Development (CNPq).
Conflicts of Interest
The authors declare no conflict of interest.
References
- Mori, Y.; Yamauchi, K.; Endo, K. Elastic Emission Machining. Precis. Eng. 1987, 9, 123–128. [Google Scholar] [CrossRef]
- Hirata, T.; Takei, Y.; Mimura, H. Machining Property in Smoothing of Steeply Curved Surfaces by Elastic Emission Machining. Procedia CIRP 2014, 13, 198–202. [Google Scholar] [CrossRef]
- Alexandre, F.A.; Lopes, W.N.; Lofrano Dotto, F.R.; Ferreira, F.I.; Aguiar, P.R.; Bianchi, E.C.; Lopes, J.C. Tool Condition Monitoring of Aluminum Oxide Grinding Wheel Using AE and Fuzzy Model. Int. J. Adv. Manuf. Technol. 2018, 96, 67–79. [Google Scholar] [CrossRef]
- Neto, R.F.G.; Marchi, M.; Martins, C.; Aguiar, P.R.; Bianchi, E. Monitoring of Grinding Burn by AE and Vibration Signals. In Proceedings of the 6th International Conference on Agents and Artificial Intelligence, Angers, France, 6–8 March 2014; pp. 272–279. [Google Scholar] [CrossRef]
- Viera, M.A.A.; de Aguiar, P.R.; Junior, P.O.; da Silva, R.B.; Jackson, M.J.; Alexandre, F.A.; Bianchi, E.C. Low-Cost Piezoelectric Transducer for Ceramic Grinding Monitoring. IEEE Sens. J. 2019, 19, 7605–7612. [Google Scholar] [CrossRef]
- Ribeiro, D.M.S.S.; Aguiar, P.R.; Fabiano, L.F.G.G.; D’Addona, D.M.; Baptista, F.G.; Bianchi, E.C. Spectra Measurements Using Piezoelectric Diaphragms to Detect Burn in Grinding Process. IEEE Trans. Instrum. Meas. 2017, 66, 3052–3063. [Google Scholar] [CrossRef]
- Ribeiro, D.M.S.; Conceição JR, P.O.; Sodário, R.D.; Marchi, M.; Aguiar, P.R.; Bianchi, E.C. Low-Cost Piezoelectric Transducer Applied To Workpiece Surface Monitoring in Grinding Process. ABCM Int. Congr. Mech. Eng. COBEM 2015, 23, 1–10. [Google Scholar]
- Barbosa, L.; Lopes, T.G.; Aguiar, P.R.; de Oliveira Junior, R.G.; França, T.V. Evaluating Temperature Influence on Low-Cost Microphone Response for 3D Printing Process Monitoring. Eng. Proc. 2021, 10, 67. [Google Scholar] [CrossRef]
- Lopes, T.G.; Rocha, R.M.; Aguiar, P.R.; Alexandre, F.A.; França, T.V. Evaluating Temperature Influence on Low-Cost Piezoelectric Transducer Response for 3D Printing Process Monitoring. Multidiscip. Digit. Publ. Inst. Proc. 2019, 42, 26. [Google Scholar] [CrossRef]
- Lopes, B.G.; Alexandre, F.A.; Lopes, W.N.; de Aguiar, P.R.; Bianchi, E.C.; Viera, M.A.A. Study on the Effect of the Temperature in Acoustic Emission Sensor by the Pencil Lead Break Test. In Proceedings of the 2018 13th IEEE International Conference on Industry Applications (INDUSCON), São Paulo, Brazil, 11–14 November 2018; pp. 1226–1229. [Google Scholar]
- Brigham, E.O. The Fast Fourier Transform and Its Applications; Prentice Hall: Hoboken, NJ, USA, 1988. [Google Scholar]
- Bell, E.W.; Zhang, Y. DockRMSD: An Open-Source Tool for Atom Mapping and RMSD Calculation of Symmetric Molecules through Graph Isomorphism. J. Cheminform. 2019, 11, 40. [Google Scholar] [CrossRef] [PubMed]
Publisher’s Note: MDPI stays neutral with regard to jurisdictional claims in published maps and institutional affiliations. |
© 2022 by the authors. Licensee MDPI, Basel, Switzerland. This article is an open access article distributed under the terms and conditions of the Creative Commons Attribution (CC BY) license (https://creativecommons.org/licenses/by/4.0/).



