Impact of Female Gender on Acute and Mid-Term Mortality in Patients with ST-Segment Elevation Myocardial Infarction during the Pandemic Era
Abstract
:1. Introduction
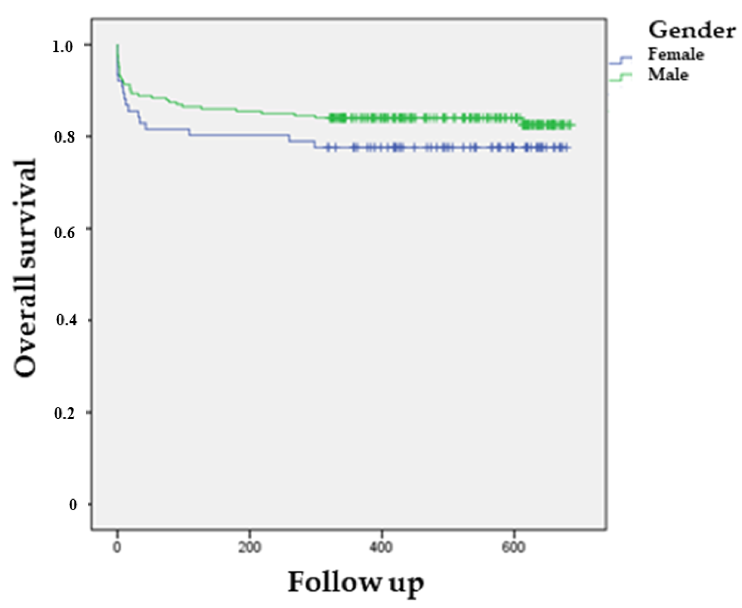
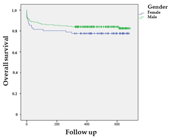
2. Results
3. Discussion
4. Materials and Methods
5. Limitations
6. Conclusions
Author Contributions
Funding
Institutional Review Board Statement
Informed Consent Statement
Data Availability Statement
Conflicts of Interest
References
- Hartley, A.; Marshall, D.C.; Salciccioli, J.D.; Sikkel, M.B.; Maruthappu, M.; Shalhoub, J. Trends in mortality from ischemic heart disease and cerebrovascular disease in Europe: 1980 to 2009. Circulation 2016, 133, 1916–1926. [Google Scholar] [CrossRef] [PubMed] [Green Version]
- McManus, D.D.; Gore, J.; Yarzebski, J.; Spencer, F.; Lessard, D.; Goldberg, R.J. Recent Trends in the Incidence, Treatment, and Outcomes of Patients with ST and Non-ST-Segment Acute Myocardial Infarction. Am. J. Med. 2011, 124, 40–47. [Google Scholar] [CrossRef] [PubMed] [Green Version]
- Khera, S.; Kolte, D.; Gupta, T.; Subramanian, K.S.; Khanna, N.; Aronow, W.S.; Ahn, C.; Timmermans, R.J.; Cooper, H.A.; Fonarow, G.C.; et al. Temporal trends and sex differences in revascularization and outcomes of ST-segment elevation myocardial infarction in younger adults in the United States. J. Am. Coll. Cardiol. 2015, 66, 1961–1972. [Google Scholar] [CrossRef] [Green Version]
- The EUGenMed; Cardiovascular Clinical Study Group; Regitz-Zagrosek, V.; Oertelt-Prigione, S.; Prescott, E.; Franconi, F.; Gerdts, E.; Foryst-Ludwig, A.; Maas, A.H.; Kautzky-Willer, A.; et al. Gender in cardiovascular diseases: Impact on clinical manifestations, management, and outcomes. Eur. Heart J. 2016, 37, 24–34. [Google Scholar] [CrossRef] [Green Version]
- Brieger, D.; Eagle, K.A.; Goodman, S.G.; Steg, P.G.; Budaj, A.; White, K.; Montalescot, G. Acute coronary syndromes without chest pain, an underdiagnosed and undertreated high-risk group: Insights from the Global Registry of Acute Coronary Events. Chest 2004, 126, 461–469. [Google Scholar] [CrossRef] [PubMed] [Green Version]
- Ibanez, B.; James, S.; Agewall, S.; Antunes, M.J.; Bucciarelli-Ducci, C.; Bueno, H.; Caforio, A.L.P.; Crea, F.; Goudevenos, J.A.; Halvorsen, S.; et al. 2017 ESC Guidelines for the management of acute myocardial infarction in patients presenting with ST-segment elevation: The Task Force for the management of acute myocardial infarction in patients presenting with ST-segment elevation of the European Society of Cardiology (ESC). Eur. Heart J. 2018, 39, 119–177. [Google Scholar] [CrossRef] [PubMed] [Green Version]
- Dey, S.; Flather, M.D.; Devlin, G.; Brieger, D.; Gurfinkel, E.P.; Steg, P.G.; Fitzgerald, G.; Jackson, E.; Eagle, K.A.; GRACE Investigators. Sex-related differences in the presentation, treatment and outcomes among patients with acute coronary syndromes: The Global Registry of Acute Coronary Events. Heart 2009, 95, 20–26. [Google Scholar] [CrossRef]
- De Boer, S.P.; Roos-Hesselink, J.W.; van Leeuwen, M.A.; Lenzen, M.J.; van Geuns, R.-J.; Regar, E.; van Mieghem, N.M.; van Domburg, R.; Zijlstra, F.; Serruys, P.W.; et al. Excess mortality in women compared to men after PCI in STEMI: An analysis of 11,931 patients during 2000–2009. Int. J. Cardiol. 2014, 176, 456–463. [Google Scholar] [CrossRef]
- Nguyen, J.T.; Berger, A.K.; Duval, S.; Luepker, R.V. Gender disparity in cardiac procedures and medication use for acute myocardial infarction. Am. Heart J. 2008, 155, 862–868. [Google Scholar] [CrossRef] [Green Version]
- Hvelplund, A.; Galatius, S.; Madsen, M.; Rasmussen, J.N.; Rasmussen, S.; Madsen, J.K.; Sand, N.P.; Tilsted, H.-H.; Thayssen, P.; Sindby, E.; et al. Women with acute coronary syndrome are less invasively examined and subsequently less treated than men. Eur. Heart J. 2010, 31, 684–690. [Google Scholar] [CrossRef] [Green Version]
- Amgalan, A.; Malinowski, A.K.; Othman, M. COVID-19 and Sex-/Gender-Specific Differences: Understanding the Discrimination. Semin. Thromb. Hemost. 2021, 47, 341–347. [Google Scholar] [CrossRef]
- Takahashi, T.; Ellingson, M.K.; Wong, P.; Israelow, B.; Lucas, C.; Klein, J.; Silva, J.; Mao, T.; Oh, J.E.; Tokuyama, M.; et al. Sex differences in immune responses that underlie COVID-19 disease outcomes. Nature 2020, 588, 315–320. [Google Scholar] [CrossRef]
- Foresta, C.; Rocca, M.S.; di Nisio, A. Gender susceptibility to COVID-19: A review of the putative role of sex hormones and X chromosome. J. Endocrinol. Investig. 2021, 44, 951–956. [Google Scholar] [CrossRef]
- Spiering, A.E.; de Vries, T.J. Why Females Do Better: The X Chromosomal TLR7 Gene-Dose Effect in COVID-19. Front. Immunol. 2021, 12, 4753. [Google Scholar] [CrossRef]
- Mohamed, M.S.; Moulin, T.C.; Schiöth, H.B. Sex differences in COVID-19: The role of androgens in disease severity and progression. Endocrine 2021, 71, 3–8. [Google Scholar] [CrossRef]
- Deng, Q.; Ur Rasool, R.; Russell, R.M.; Natesan, R.; Asangani, I.A. Targeting androgen regulation of TMPRSS2 and ACE2 as a therapeutic strategy to combat COVID-19. iScience 2021, 24, 102254. [Google Scholar] [CrossRef]
- Baratchian, M.; McManus, J.M.; Berk, M.P.; Nakamura, F.; Mukhopadhyay, S.; Xu, W.; Erzurum, S.; Drazba, J.; Peterson, J.; Klein, E.A.; et al. Androgen regulation of pulmonary AR, TMPRSS2 and ACE2 with implications for sex-discordant COVID-19 outcomes. Sci. Rep. 2021, 11, 11130. [Google Scholar] [CrossRef]
- Harding, A.T.; Heaton, N.S. The Impact of Estrogens and Their Receptors on Immunity and Inflammation during Infection. Cancers 2022, 14, 909. [Google Scholar] [CrossRef]
- Fidecicchi, T.; Fruzzetti, F.; Lete Lasa, L.I.; Calaf, J. COVID-19, gender and estroprogestins, what do we know? Reprod. Health Care 2021, 27, 67–74. [Google Scholar] [CrossRef]
- Wang, D.; Hu, B.; Hu, C.; Zhu, F.; Liu, X.; Zhang, J.; Wang, B.; Xiang, H.; Cheng, Z.; Xiong, Y.; et al. Clinical Characteristics of 138 Hospitalized Patients with 2019 Novel Coronavirus-Infected Pneumonia in Wuhan, China. JAMA 2020, 323, 1061–1069. [Google Scholar] [CrossRef]
- Xu, X.W.; Wu, X.X.; Jiang, X.G.; Xu, K.J.; Ying, L.J.; Ma, C.L. Clinical findings in a group of patients infected with the 2019 novel coronavirus (SARS-CoV-2) outside of Wuhan, China: Retrospective case series. BMJ 2020, 368, m606. [Google Scholar] [CrossRef] [PubMed] [Green Version]
- Abate, B.B.; Kassie, A.M.; Kassaw, M.W.; Aragie, T.G.; Masresha, S.A. Sex difference in coronavirus disease (COVID-19): A systematic review and meta-analysis. BMJ Open 2020, 10, e040129. [Google Scholar] [CrossRef]
- Gabriele, T.; Lucia, B.; Stefano, L.; Gentile, D.; Barbara, C.; Marco, C.; Mafrici, A.; Carugo, S. Impact of COVID-19 on STEMI: Second youth for fibrinolysis or time to centralized approach? IJC Heart Vasc. 2020, 30, 100600. [Google Scholar] [CrossRef]
- De Rosa, S.S.; Basso, C.; Calabro, C.; Curcio, M.P.; Filardi, A.; Mancone, P.P.; Mercuro, M.; Muscoli, G.; Nodari, S.; Pedrinelli, S.; et al. Reduction of hospitalizations for myocardial infarction in Italy in the COVID-19 era. Eur. Heart J. 2020, 41, 2083–2088. [Google Scholar] [CrossRef] [PubMed]
- De Filippo, O.; D’Ascenzo, F.; Angelini, F.; Bocchino, P.P.; Conrotto, F.; Saglietto, A.; Secco, G.G.; Campo, G.; Gallone, G.; Verardi, R.; et al. Reduced Rate of Hospital Admissions for ACS during COVID-19 Outbreak in Northern Italy. N. Engl. J. Med. 2020, 383, 88–89. [Google Scholar] [CrossRef] [PubMed]
- Townsend, N.; Wilson, L.; Bhatnagar, P.; Wickramasinghe, K.; Rayner, M.; Nichols, M. Cardiovascular disease in Europe: Epidemiological update 2016. Eur. Heart J. 2016, 37, 3232–3245. [Google Scholar] [CrossRef] [PubMed]
- Barbieri, L.; Tumminello, G.; Lucreziotti, S.; Gentile, D.; Centola, M.; Conconi, B.; Carlà, M.; Mafrici, A.; Carugo, S. Mortality in STEMI Patients During the COVID Era: Has the Pandemic Changed Our Clinical Practice? Cardiovasc. Revasc. Med. 2021, 22, 120–121. [Google Scholar] [CrossRef] [PubMed]
- Del Sole, F.; Farcomeni, A.; Loffredo, L.; Carnevale, R.; Menichelli, D.; Vicario, T.; Pignatelli, P.; Pastori, D. Features of severe COVID-19: A systematic review and meta-analysis. Eur. J. Clin. Investig. 2020, 50, e13378. [Google Scholar] [CrossRef]
- Di Lorenzo, G.; di Trolio, R. Coronavirus Disease (COVID-19) in Italy: Analysis of Risk Factors and Proposed Remedial Measures. Front. Med. 2020, 7, 140. [Google Scholar] [CrossRef] [Green Version]
- Tumminello, G.; Barbieri, L.; Toriello, F.; Lucreziotti, S.; Carlà, M.; Conconi, B.; Mafrici, A.; Carugo, S. Influence of different COVID-19 pandemic phases on STEMI: Experience from an Italian Hub centre. Cardiovasc. Revasc. Med. 2022, 37, 149–152. [Google Scholar] [CrossRef]
- Integrating WHO Sex-Disaggregated Data to the Tracker. 2021. Available online: https://covid19.who.int/ (accessed on 20 July 2022).
- Spadea, T.; Di Girolamo, C.; Landriscina, T.; Leoni, O.; Forni, S.; Colais, P.; Fanizza, C.; Allotta, C.; Onorati, R.; Gnavi, R.; et al. Indirect impact of COVID-19 on hospital care pathways in Italy. Sci. Rep. 2021, 11, 21526. [Google Scholar] [CrossRef]
- Kuehnemund, L.; Koeppe, J.; Feld, J.; Wiederhold, A.; Illner, J.; Makowski, L.; Reinecke, H.; Freisinger, E. Gender differences in acute myocardial infarction—A nationwide German real-life analysis from 2014 to 2017. Clin. Cardiol. 2021, 44, 890–898. [Google Scholar] [CrossRef]
- Figtree, G.A.; Vernon, S.T.; Hadziosmanovic, N.; Sundström, J.; Alfredsson, J.; Arnott, C.; Delatour, V.; Leósdóttir, M.; Hagström, E. Mortality in STEMI patients without standard modifiable risk factors: A sex-disaggregated analysis of SWEDEHEART registry data. Lancet 2021, 397, 1085–1094. [Google Scholar] [CrossRef]
- You, B.; Zhu, B.; Su, X.; Liu, F.; Wang, B. Gender differences among elderly patients with primary percutaneous coronary intervention. Aging Dis. 2018, 9, 852–860. [Google Scholar] [CrossRef] [Green Version]
- Ferrante, G.; Barbieri, L.; Sponzilli, C.; Lucreziotti, S.; Salerno Uriarte, D.; Centola, M.; Verdoia, M.; Carugo, S. Predictors of Mortality and Long-Term Outcome in Patients with Anterior STEMI: Results from a Single Center Study. J. Clin. Med. 2021, 10, 5634. [Google Scholar] [CrossRef]
- Park, D.W.; Clare, R.M.; Schulte, P.J.; Pieper, K.S.; Shaw, L.K.; Califf, R.M.; Ohman, E.M.; Van de Werf, F.; Hirji, S.; Harrington, R.A.; et al. Extent, location, and clinical significance of non-infarct-related coronary artery disease among patients with ST-elevation myocardial infarction. JAMA 2014, 312, 2019–2027. [Google Scholar] [CrossRef]
- Cenko, E.; Yoon, J.; Kedev, S.; Stankovic, G.; Vasiljevic, Z.; Krljanac, G.; Kalpak, O.; Bugiardini, R.; Ricci, B.; Miličić, D.; et al. Sex differences in outcomes after STEMI effect modification by treatment strategy and age. JAMA Intern. Med. 2018, 178, 632–639. [Google Scholar] [CrossRef]
- Murat, B.; Kivanc, E.; Dizman, R.; Mert, G.O.; Murat, S. Gender differences in clinical characteristics and in-hospital and one-year outcomes of young patients with ST-segment elevation myocardial infarction under the age of 40. J. Cardiovasc. Thorac. Res. 2021, 13, 116–124. [Google Scholar] [CrossRef]
- Tewelde, S.Z.; Liu, S.S.; Winters, M.E. Cardiogenic Shock. Cardiol. Clin. 2018, 36, 53–61. [Google Scholar] [CrossRef]


| Clinical Characteristics | TOT (283) | Female (76) | Male (207) | p |
|---|---|---|---|---|
| Age (M ± SD) | 66.7 ± 12.7 | 72.1 ± 11.2 | 64.7 ± 12.6 | <0.001 |
| BMI kg/m2 (M ± SD) | 26.4 ± 4.3 | 26 ± 4.7 | 26.5 ± 4.2 | ns |
| Hypertension (%) | 55.2 | 64.5 | 54.1 | ns |
| Smoker (%) | 0.001 | |||
| Active smoker (%) | 33.4 | 26.3 | 37.6 | |
| Former smoker (%) | 10.7 | 2.6 | 14.1 | |
| Dyslipidemia (%) | 28.6 | 28.0 | 30.1 | ns |
| Diabetes (%) | 20.0 | 23.7 | 19.5 | ns |
| Overweight (%) | 20.0 | 23.7 | 19.5 | ns |
| Family history of CAD (%) | 13.4 | 13.2 | 14.1 | ns |
| Previous MI (%) | 13.4 | 9.2 | 15.5 | ns |
| Previous PCI (%) | 13.1 | 7.9 | 15.5 | ns |
| Previous CABG (%) | 2.8 | 1.3 | 3.4 | ns |
| COPD (%) | 9.0 | 10.5 | 8.8 | ns |
| Anemia (%) | 14.4 | 25.3 | 10.8 | <0.001 |
| MI localization | ||||
| Anterior MI (%) | 45.9 | 48.7 | 46.6 | 0.035 |
| Inferior MI (%) | 39.7 | 35.5 | 42.7 | |
| Lateral MI (%) | 9.0 | 15.8 | 6.8 | |
| Posterior MI (%) | 2.8 | 0 | 3.9 | |
| MI diagnosis site | ||||
| Out of hospital (%) | 61.0 | 65.8 | 59.2 | ns |
| Emergency department (%) | 33.3 | 27.6 | 35.4 | |
| Spoke centre (%) | 3.5 | 2.6 | 3.9 | |
| Hub centre (%) | 2.1 | 3.9 | 1.5 | |
| Out of the hospital cardiac arrest (%) | 7.2 | 10.5 | 6.3 | ns |
| Cardiogenic shock (%) | 7.9 | 10.5 | 7.2 | ns |
| Killip class > 2 (%) | 12.1 | 20.8 | 9.9 | 0.01 |
| LVEF (%) (M ± SD) | 48.3 ± 11.0 | 47.8 ± 11.3 | 48.6 ± 11 | ns |
| Blood tests | ||||
| Hemoglobin g/dL (M ± SD) | 13.7 ± 1.9 | 12.9 ± 2 | 14 ± 1.8 | 0.0001 |
| WBC 103/µL (M ± SD) | 11.4 ± 4.4 | 12.2 ± 5.6 | 11 ± 3.8 | 0.04 |
| Lymphocytes 103/µL (M ± SD) | 2.08 ± 1.12 | 2.1 ± 1.1 | 2 ± 1.1 | ns |
| Platelets 103/µL (M ± SD) | 247 ± 89 | 281 ± 119 | 234 ± 71 | 0.02 |
| eGFR mL/min × 1.73 m2 (M ± SD) | 83.1 ± 36.6 | 64.1 ± 24.7 | 90.1 ± 37.9 | 0.0001 |
| Glycemia mg/dL (M ± SD) | 155 ± 72 | 157 ± 70 | 154 ± 73 | ns |
| Total cholesterol mg/dL (M ± SD) | 171 ± 46 | 175 ± 46 | 169 ± 46 | ns |
| LDL cholesterol mg/dL (M ± SD) | 104 ± 41 | 107 ± 43 | 103 ± 41 | ns |
| Troponin T peak ng/L (M ± SD) | 6157 ± 3224 | 5603 ± 2923 | 6629 ± 3389 | ns |
| COVID-19 characterization | ||||
| COVID-19+ (%) | 8.6 | 9.2 | 8.8 | ns |
| Mechanical ventilation (%) | 7.2 | 9.6 | 10.2 | ns |
| Procedural features | ||||
| Radial access (%) | 73.8 | 67.1 | 79.1 | ns |
| Multivessel disease (%) | 54.5 | 51.3 | 57.8 | ns |
| Number of pathological vessels (M ± SD) | 1.78 ± 0.80 | 1.6 ± 0.7 | 1.8 ± 0.8 | 0.04 |
| IABP (%) | 4.8 | 5.3 | 4.8 | ns |
| Final TIMI flow ≥ 2 (%) | 96.1 | 94.7 | 96.6 | ns |
| Complete revascularization during index procedure (%) | 4.5 | 7.7 | 8.5 | ns |
| Staged in-hospital revascularization (%) | 33.8 | 59.0 | 63.6 | ns |
| Total ischemic time (M ± SD) | 273 ± 367 | 301 ± 316 | 262 ± 384 | ns |
| Discharge therapy | ||||
| Beta-blocker (%) | 88.2 | 91.3 | 87.0 | ns |
| ACE-inhibitors (%) | 71.0 | 65.2 | 73.1 | ns |
| ARB (%) | 9.2 | 10.1 | 8.8 | ns |
| Acetylsalicylic acid (%) | 98.9 | 100 | 98.5 | ns |
| Ticagrelor (%) | 72.7 | 72.5 | 72.8 | ns |
| Statin (%) | 97.0 | 97.1 | 96.9 | ns |
| DOAC (%) | 6.1 | 11.6 | 4.1 | 0.02 |
| Events | ||||
| In hospital adverse events (%) | 15.9 | 19.7 | 14.5 | ns |
| Respiratory complications (%) | 6.4 | 6.6 | 6.3 | ns |
| Cardiac death (%) | 7.9 | 11.8 | 6.8 | ns |
| In-hospital mortality (%) | 11.4 | 14.5 | 10.6 | ns |
| Hospitalization days (M ± SD) | 9.4 ± 7.3 | 10.8 ± 7.2 | 8.9 ± 7.2 | ns |
Publisher’s Note: MDPI stays neutral with regard to jurisdictional claims in published maps and institutional affiliations. |
© 2022 by the authors. Licensee MDPI, Basel, Switzerland. This article is an open access article distributed under the terms and conditions of the Creative Commons Attribution (CC BY) license (https://creativecommons.org/licenses/by/4.0/).
Share and Cite
Barbieri, L.; Avallone, C.; D’Errico, A.; Gentile, D.; Cigno Membo, D.; Tumminello, G.; Carugo, S. Impact of Female Gender on Acute and Mid-Term Mortality in Patients with ST-Segment Elevation Myocardial Infarction during the Pandemic Era. Women 2022, 2, 180-188. https://doi.org/10.3390/women2030019
Barbieri L, Avallone C, D’Errico A, Gentile D, Cigno Membo D, Tumminello G, Carugo S. Impact of Female Gender on Acute and Mid-Term Mortality in Patients with ST-Segment Elevation Myocardial Infarction during the Pandemic Era. Women. 2022; 2(3):180-188. https://doi.org/10.3390/women2030019
Chicago/Turabian StyleBarbieri, Lucia, Carlo Avallone, Andrea D’Errico, Domitilla Gentile, Dagnachew Cigno Membo, Gabriele Tumminello, and Stefano Carugo. 2022. "Impact of Female Gender on Acute and Mid-Term Mortality in Patients with ST-Segment Elevation Myocardial Infarction during the Pandemic Era" Women 2, no. 3: 180-188. https://doi.org/10.3390/women2030019
APA StyleBarbieri, L., Avallone, C., D’Errico, A., Gentile, D., Cigno Membo, D., Tumminello, G., & Carugo, S. (2022). Impact of Female Gender on Acute and Mid-Term Mortality in Patients with ST-Segment Elevation Myocardial Infarction during the Pandemic Era. Women, 2(3), 180-188. https://doi.org/10.3390/women2030019

