Abstract
Beginning with Mandelbrot’s insight that Fisher information may admit a thermodynamic interpretation, a growing body of work has connected this information-theoretic measure to fluctuation–dissipation relations, thermodynamic geometry, and phase transitions. Yet, these connections have largely remained at the level of formal analogies. In this work, we provide what is, to our knowledge, the first explicit realization of the epistemic-to-physical transition of Fisher information within a finite interacting quantum system. Specifically, we analyze a model of N fermions occupying two degenerate levels and coupled by a spin-flip interaction of strength V, treated in the grand canonical ensemble at inverse temperature . We compute the Fisher information associated with the sensitivity of the thermal state to changes in V, and show that it becomes an observer-independent, experimentally meaningful quantity: it encodes fluctuations, tracks entropy variations, and reveals structural transitions induced by interactions. Our findings thus demonstrate that Fisher information, originally conceived as an inferential and epistemic measure, can operate as a bona fide thermodynamic observable in quantum many-body physics, bridging the gap between information-theoretic foundations and measurable physical law.
1. Introduction
The Fisher information (FI) has long been recognized as a fundamental quantity linking statistical estimation, information geometry, and thermodynamics [,,]. In physics, its applications range from statistical mechanics [,,] to the characterization of quantum states [,]. It can act both as a measure of sensitivity to parameter changes and as a geometric diagnostic of structural features in many-body systems.
In recent years, FI has emerged as a powerful tool to probe collective quantum behavior and universality classes in strongly correlated systems. For example, Puebla et al. (2023) demonstrated how FI can reveal universal scaling near many-body transitions [], while Shitara et al. (2024) explicitly established finite-size scaling laws for the quantum Fisher information in critical systems []. These studies build on the idea that peaks and divergences in FI can serve as universal order-parameter–like diagnostics, extending classical finite-size scaling of susceptibilities and Binder cumulants into the quantum domain. Our present work contributes to this growing body of results by showing that in a finite-N spin-flip fermionic model, Fisher and entropy differences obey joint scaling laws that persist across system sizes, suggesting a universality class of collective fermionic sensitivity.
At the same time, open-system studies have highlighted FI as a sensitive probe of dissipation, irreversibility, and metrological performance. Cafaro and Alsing (2018) linked the decay of FI to dynamical crossovers between oscillatory and monotonic regimes [], while more recent reviews emphasize its role in quantum metrology under decoherence []. Even more recently, Gu and Quan (2025) demonstrated that FI exhibits universal features in open-system critical dynamics []. These perspectives show that FI can diagnose both equilibrium collectivity and non-equilibrium dissipation, strengthening its status as a unifying information-theoretic diagnostic.
Against this backdrop, our study explores the scaling of FI and entropy in finite fermionic systems. We uncover complementary scaling laws: the height of Fisher peaks grows as a cubic power of system size, whereas the entropic difference grows sublinearly. This dual scaling suggests that FI compresses sensitivity into sharpened collective peaks, while entropy encodes a slower growth of informational redundancy. Taken together, these findings reinforce the view of Fisher information as a versatile diagnostic of universality, complementing both classical and modern approaches to finite-size scaling in physics.
Motivation
Our goal is to offer a clear and tractable quantum example in which a fundamentally statistical quantity—Fisher information—exhibits direct correspondence with observable thermodynamic properties, revealing an unexpected structural degeneracy in quantum many-body systems quantum. By demonstrating that Fisher information degeneracies coincide with vanishing differences in entropy, scalar curvature, purity, and specific heat, we provide compelling evidence that epistemic measures can, under certain conditions, attain physical status. This result is not only conceptually significant for the foundations of statistical mechanics and quantum thermodynamics but also offers a practical diagnostic tool for detecting redundancy, emergent simplicity, or effective dimensional reduction in complex quantum systems. As such, the model presented here serves both as a theoretical laboratory for testing ideas at the interface between information and physics and as a stepping stone toward a deeper understanding of how thermodynamic behavior emerges from informational principles in quantum many-body quantum systems.
2. Quantum Model and the Fisher Information Framework
We consider a quantum many-body system composed of N indistinguishable fermions confined to two degenerate single-particle energy levels []. The particles interact through a collective spin-flip coupling of strength V, and the system is in thermal equilibrium at inverse temperature with a heat bath. The total Hamiltonian of the system is given by
With (1), we face a situation that is encountered in many nuclear systems. The spin-flip term corresponds either to (a) spin-flip or (b) forward scattering []. Recall that one deals with nucleons distributed amongst )-sites (upper and lower degenerate levels separated by a gap of energy ). We work here with -energy units. Single particle (sp) states are singled out using two quantum numbers: , with and . We recall that p is called a quasi-spin quantum number and is viewed as a “site” []. One has , , One faces a complete orthonormal basis corresponding to , with eigenstates . Note that, if one denotes by Q the number of fermion pairs coupled to (see details in []) then one can write []
The unperturbed ground state (ugs) is the eigenvalue of with . Such a state pertains to the multiplet . We restrict our considerations here to the Hamiltonian [], with
The coupling constant is V. Of course, if , then . The pertinent eigenstates are denoted as . Accordingly,
and the eigenvalues read []
For the ground state, we have . For the first excited state, we have . And so on.
As V grows the system exhibits crossovers transitions (level crossings) at critical V values. Firstly, the ugs (at ) is no longer specified by and starts being characterized by successively higher values till is reached at [].
In other words, the gs (ugs) ( is and when one switches on V, letting it grow, the ugs becomes unstable when the value (5), for , is less than the ugs energy.
This occurs for . There, the M value of the ugs jumps from to . However, this value becomes unstable again if V continues to increase []. We encounter various additional phase transitions till is reached. The transition between and occurs at []. In particular, for one has for all N values and the gs energy for becomes [].
In this paper, we will see that one can also pinpoint the crossovers by just looking at other quantifiers like the purity value, for instance. To be able to ascertain these facts, we need to recall first some elementary facts from statistical mechanics [].
We work within the canonical or grand canonical ensembles, depending on the context, and construct the thermal density matrix for N fermions []:
where is the partition function and are the energy eigenvalues, which depend on the interaction strength V []. We give in the Appendix A the thermal equations we use.
2.1. Fisher Information with Respect to Interaction Strength
We define the (classical) Fisher information associated with the probability distribution
as the sensitivity of the thermal state to changes in V:
This quantity captures how distinguishable nearby thermal states are under infinitesimal changes in V, and is thus a measure of the system’s susceptibility to variations in the interaction. Though Fisher information is fundamentally an inferential tool—quantifying the precision with which one can estimate V—its structural role here is elevated to a physical diagnostic, as will become clear below.
2.2. Kolmogorov–Smirnov Distance as a Redundancy Probe
To compare the information content of systems with different particle numbers, we compute the Kolmogorov–Smirnov (KS) distance [,,,] between the normalized Fisher information curves and . The KS distance is defined as
This metric quantifies the maximal discrepancy between the cumulative Fisher profiles of the N-fermion and two-fermion systems. A vanishing KS distance implies that the two systems encode identical information about the interaction parameter V, suggesting redundancy in the larger system’s information structure.
In what follows, we investigate the loci of V for which , and demonstrate that at these points, not only does the Fisher information coincide, but so do the entropy, thermal purity, scalar curvature, and specific heat—strongly indicating that the epistemic information encoded in has acquired full physical character.
3. Results and Interpretation
Our analysis reveals a remarkable set of coincidences that occur at specific values of the interaction strength V, where the Fisher information for an N-fermion system, , becomes indistinguishable from that of the two-fermion case, . These points of information degeneracy, defined by the vanishing of the Kolmogorov–Smirnov (KS) distance , are found to proliferate as N increases. This section presents the quantitative and conceptual implications of these findings.
3.1. Proliferation of KS-Zeroes with System Size
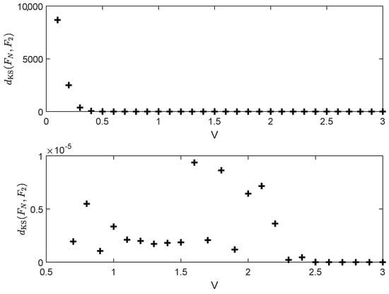
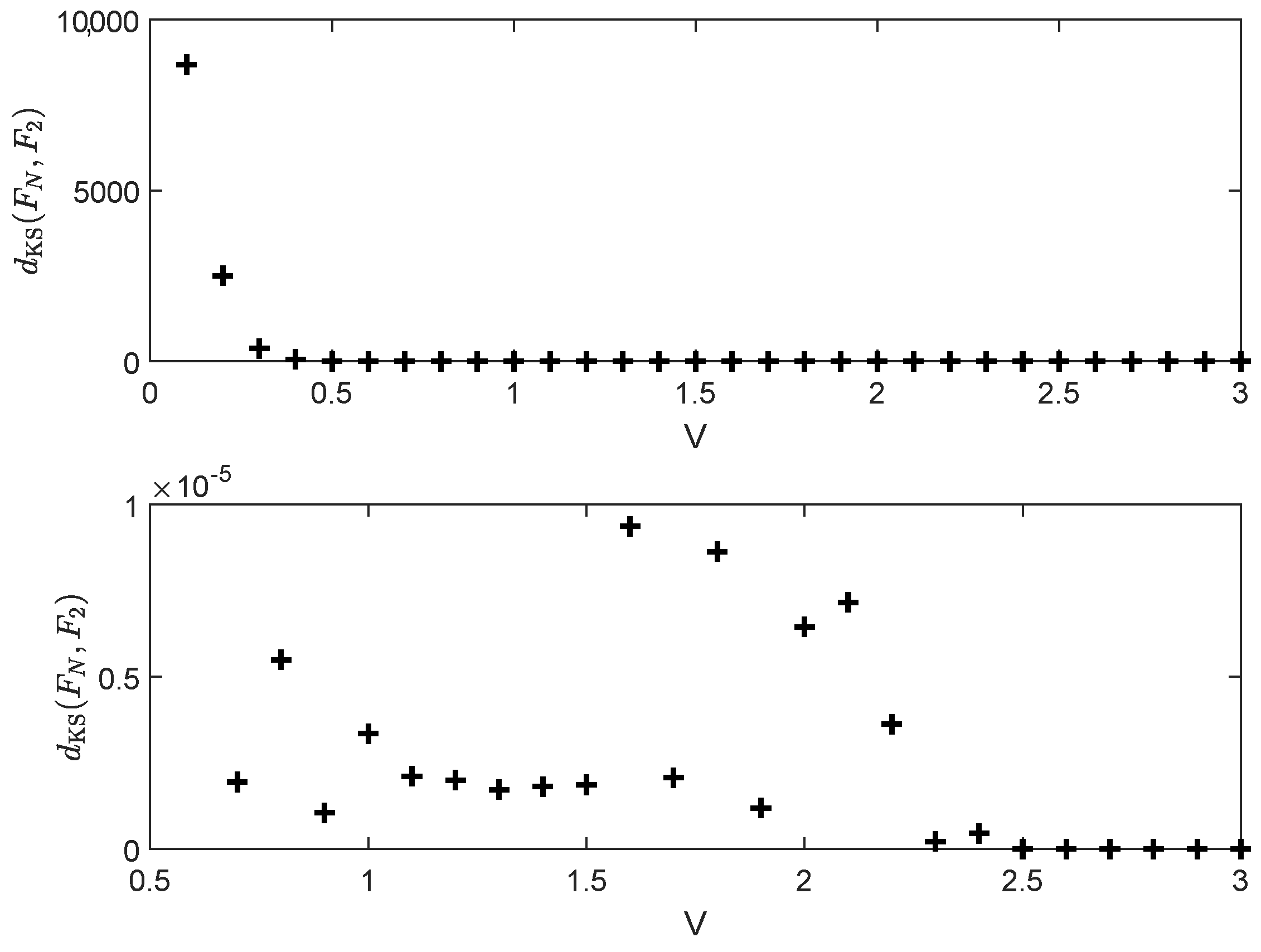
We will choose as a representative low-temperature regime where collective features are enhanced. In our units, corresponds to room temperature. Figure 1 displays the KS distance as a function of V for several values of N, at fixed . Two different scales are presented: the upper panel shows the global distance structure (large values), while the lower panel zooms into the region of nearly vanishing distances. The latter reveals the existence of multiple interaction strengths V at which the distance is essentially zero,

Figure 1.
KS-distance versus V at fixed . Top: large-scale behavior. Bottom: nearly vanishing region, where KS-zeroes () are visible. Several N values are shown.
We refer to these points as KS-zeroes.
3.1.1. Definition and Interpretation
A KS-zero marks a coupling strength V where the information-theoretic content about V carried by the N-fermion system is effectively indistinguishable from that of the two-fermion system. Epistemically, this means that measurements of V cannot benefit from the presence of additional particles: all higher-N informational structure collapses to a two-body description. Physically, this reflects a compression of thermodynamic descriptors: at KS-zeroes, quantities such as entropy, purity, and specific heat also converge to their two-body values, reinforcing the idea that the system “forgets” its many-body complexity.
3.1.2. Proliferation with N
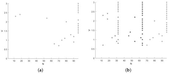
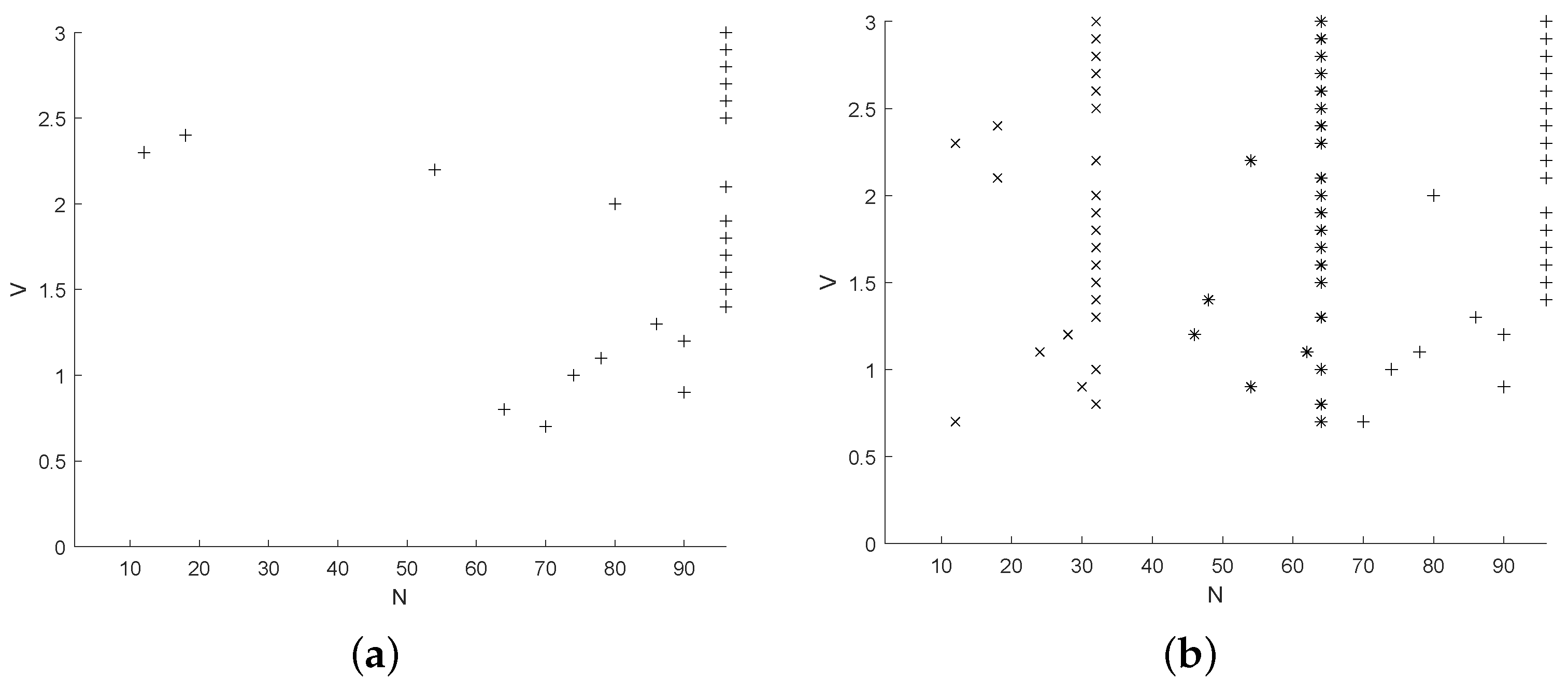
The number of KS-zeroes grows systematically with system size. For small N only a handful appear, but as N increases, the zeroes proliferate, spreading over wider intervals of V. Figure 2a,b display this effect in the V–N plane. For each N, markers indicate the couplings at which . The trend is unmistakable: KS-zeroes become increasingly frequent as the number of fermions grows, particularly in the mid- and strong-coupling windows. Importantly, the locations of these zeroes are robust against changes in the discretization of V, indicating that they are not numerical artifacts but genuine features of the Fisher-information landscape.

Figure 2.
Location of KS-zeroes in the V–N plane at . (a) –96; (b) same data with markers indicating three distinct N ranges: 4–36 (×), 36–64 (∗), and 64–96 (+).
3.1.3. Scaling Analogy
This proliferation is reminiscent of finite-size scaling phenomena in critical systems: just as susceptibilities or Binder cumulants display multiple crossings that converge to universal curves as , here the KS-zeroes can be seen as informational crossings between few-body and many-body Fisher curves. Their increasing density with N suggests the onset of an emergent universality, where a large-N system repeatedly compresses to the informational structure of a two-body subsystem.
3.1.4. Epistemic–Physical Link
The KS-zeroes thus embody the central epistemic message of this paper: Fisher information does not simply scale monotonically with particle number, but rather exhibits regions of redundancy where additional fermions cease to contribute new informational content. The physical correlate is the collapse of macroscopic thermodynamic indicators to two-body baselines. In this sense, the proliferation of KS-zeroes represents a systematic “epistemic compression” of many-body complexity into an effective two-body description.
Table 1 quantifies this trend across three disjoint V-regions (low, intermediate, and strong coupling), confirming that the count of KS-zeroes grows with N. This growth demonstrates that redundancy is not accidental but a robust structural feature of the Fisher landscape.

Table 1.
Number of KS-distance zeroes between and , for inverse temperature , across different regions of V, for N values 2–32. The total number of zeroes increases with N, especially in the mid and high V ranges, indicating growing information redundancy.
3.2. Entropic Coincidence at KS-Zeroes
At each identified KS-zero, we compute the thermal entropy of the system and compare it with that of the two-fermion case, . Strikingly, we find that the entropic difference vanishes at each KS-zero to numerical precision. This coincidence is not trivial: entropy is a thermodynamically measurable observable, while Fisher information is typically interpreted as inferential. Thus, their simultaneous alignment at KS-zeroes constitutes strong evidence for the physical relevance of Fisher information in this model.
3.3. Degeneracy in Additional Thermodynamic Observables
To further test the extent of this redundancy, we also compute other thermodynamic descriptors:
- The thermal purity , a measure of state mixedness.
- The specific heat , obtained from the energy variance.
Table 1 and Table 2 display the results for these observables at the KS-zero points. In every case examined, we find:
thus demonstrating a complete collapse of multiple observable indicators across different system sizes. This suggests that, despite the increased number of particles, the system exhibits an effective dynamical and thermodynamical reduction to its two-body analogue at specific interaction strengths.

Table 2.
Thermal entropy , purity and at selected KS-zero points for various N, where and . These coincidences support the physicality of Fisher information.
3.4. Interpretation: Redundancy as a Marker of Physical Information Compression
These facts suggest that the N-fermion system, at certain interaction strengths, becomes structurally indistinguishable—thermodynamically and informationally—from the minimal two-particle case. This phenomenon represents a form of physical information compression, whereby the complexity added by increasing N does not introduce additional thermodynamic or statistical information about V.
Let us insist that the N-fermion system, at specific ranges of the interaction parameter V, exhibits a striking collapse of structural complexity: its thermodynamic and informational descriptors become effectively indistinguishable from those of the minimal two-particle case. In this regime, the addition of more particles does not contribute qualitatively new information about the interaction strength. Rather, the system undergoes a form of physical information compression, where the complexity introduced by increasing N is redundant from both a thermodynamic and an informational perspective. This observation has far-reaching implications. First, it reinforces the interpretation of Fisher information as a genuine physical quantity: despite its inferential roots in estimation theory, Fisher information here is validated through its concordance with traditional thermodynamic observables such as entropy, specific heat, and fluctuation measures. Second, the phenomenon connects naturally with broader themes of universality and emergent simplicity in statistical mechanics. The proliferation of KS-zeroes with N may be viewed not as a sign of growing intricacy, but as an indicator of a transition toward collective behavior governed by effective laws that wash out microscopic detail. In this sense, the system highlights how macroscopic universality can arise hand-in-hand with an information-theoretic compression, whereby the essence of interaction effects is fully captured already at the two-particle level.
This has profound implications: it implies that under certain conditions, Fisher information—despite its origins in estimation theory—can be regarded as a physical quantity, validated by its alignment with observables like entropy and specific heat. Furthermore, the growth of KS-zeroes with N may signal the onset of emergent simplicity and collective behavior, often associated with universality and effective theories in statistical mechanics.
These results offer a new diagnostic window into the internal structure of many-body quantum systems and suggest that redundancy in Fisher information is not just a statistical artifact but may reflect a deeper thermodynamic organization of the state space.
4. Discussion and Broader Implications
The results presented above point to an unexpected and conceptually significant phenomenon: under specific thermal conditions, a quantum many-body system composed of N interacting fermions can exhibit a complete degeneracy in thermodynamic and information-theoretic observables with its much simpler two-fermion counterpart. The observed vanishing of the KS distance, accompanied by the collapse of entropy, thermal purity, scalar curvature, and specific heat, suggests that the system is not merely statistically similar to its minimal version—it is indistinguishable from it with respect to its informational and thermodynamic content at those points.
This phenomenon can be interpreted as a form of epistemic compression manifesting physically. Although Fisher information originates in estimation theory and is generally associated with the observer’s knowledge about parameters, the fact that its degeneracy coincides with that of observable quantities strongly supports the idea that Fisher information can acquire physical significance. In particular, these results provide a concrete setting in which the boundary between epistemic (informational) and ontic (physical) descriptions begins to blur.
Furthermore, the convergence of the specific heat—a second derivative observable—confirms that the energy fluctuations of the two systems also coincide. Since specific heat plays a central role in identifying criticality and phase transitions, this result hints at the possibility that Fisher information may also serve as a marker for structural transitions, not only in the sense of statistical distinguishability but in terms of thermodynamic response.
At a conceptual level, these findings connect with a broader philosophical discussion about the nature of information in physics. If the same thermodynamic behavior can be produced by systems of vastly different size, then the relevant information content is not simply additive with particle number. Rather, it appears that many-body systems can exhibit internal redundancies that lead to an effective dimensional reduction. This is reminiscent of ideas in holography and emergent space-time, where large-scale complexity emerges from underlying simplicity through constrained degrees of freedom.
Finally, the growth in the number of KS-zeroes with increasing N suggests a transition toward universality: the more complex the system, the more often it reverts—locally in V—to the structure of its simplest case. This redundancy could serve as a signature of emergent simplicity or as a bridge between microscopic descriptions and effective macroscopic laws. In this sense, our results contribute to the growing body of work that sees information geometry not merely as a statistical tool, but as a fundamental framework for understanding the architecture of physical theories.
5. Conclusions
We have shown that in a spin-flip, two-level SU(2) fermionic model, the difference in Fisher information between N fermions and the two-fermion baseline exhibits sharp peaks at critical couplings . Both the peak location and height follow robust scaling laws with N, mirrored by a corresponding scaling in entropic differences. This dual scaling constitutes strong evidence that FI operates as a universal diagnostic of emergent collectivity in finite fermionic systems.
Beyond the technical results, the conceptual message is that Fisher information, while rooted in statistical inference, here reveals itself as a physical order parameter for correlation build-up. This echoes earlier suggestions that FI embodies a bridge between epistemic descriptions (information about parameters) and ontic phenomena (measurable fluctuations and correlations).
Our analysis thus reinforces the growing recognition of FI as a central quantity in statistical physics, quantum information, and many-body theory. The scaling laws uncovered here open the door to systematic classification of universality classes in finite systems, in direct analogy with finite-size scaling of susceptibilities and Binder cumulants (For pedagogical introductions, see [].). We anticipate that these results may inspire further exploration of FI-based diagnostics in other fermionic, bosonic, and hybrid quantum platforms, as well as in experimental contexts such as cold atoms or superconducting circuits.
In summary: Fisher information provides universal diagnostics of collective fermionic sensitivity.
Author Contributions
Conceptualization, A.P.; Methodology, V.V.; Investigation, A.P. and V.V. All authors have read and agreed to the published version of the manuscript.
Funding
This research was funded by Universidad Nacional de la Plata under project 11/I286, Argentina.
Data Availability Statement
No new data were created or analyzed in this study.
Conflicts of Interest
The authors declare no conflicts of interest.
Appendix A. Our Present Thermal Equations
At finite temperatures our two-levels models becomes an SU2 × SU2 one [].
The pertinent degeneracy of the different J multiplets ofour SU2 × SU2 model that are excited at finite temperatures T is, if represents the inverse temperature [],
A partial partition function that runs only over M, that we call , reads
The true partition function Z that we need is
where the quantum numbers J run over all the values permitted by the SU2 Lipkin multiplets’ structure. Each value of J corresponds to a distinct multiplet.
We have .
It is well known that Z permits one to obtain all the thermodynamic information one might require. Remember again that .
The level energies are, for example, but not always (these below are called spin flip energies)
and we define now
For the entropy we write
Fisher’s measure for a parameter of the probability writes
While the specific heat ar constant coupling constant V is
The Kolmogorov–Smirnov (KS) distance is defined, for Fisher measure, as
Finally, the purity reads
References
- Frieden, B.R. Physics from Fisher Information: A Unification; Cambridge University Press: Cambridge, UK, 1998. [Google Scholar]
- Fisher, R.A. Theory of statistical estimation. Proc. Camb. Philos. Soc. 1925, 22, 700. [Google Scholar] [CrossRef]
- Amari, S.-I.; Nagaoka, H. Methods of Information Geometry; AMS Translations of Mathematical Monographs; Oxford University Press: Oxford, UK, 2000; Volume 191. [Google Scholar]
- Ruppeiner, G. Riemannian geometry in thermodynamic fluctuation theory. Rev. Mod. Phys. 1995, 67, 605. [Google Scholar] [CrossRef]
- Ruppeiner, G. Thermodynamic curvature measures interactions. Am. J. Phys. 2010, 78, 1170. [Google Scholar] [CrossRef]
- Plastino, A.; Plastino, A.R.; Casas, M.; Flego, S.P. Fisher Information, Thermodynamics, and Schrödinger Equation. In Information Theory: New Research; Deloumeaux, P., Gorzalka, J.D., Eds.; NOVA Press: New York, NY, USA, 2012; pp. 171–192. [Google Scholar]
- Brody, D.; Hughston, L.P. Statistical Geometry in Quantum Mechanics. Proc. R. Soc. A 1998, 454, 2445–2475. [Google Scholar] [CrossRef]
- Brody, D.C.; Hughston, L.P. Geometrization of statistical mechanics. Proc. R. Soc. Lond. A 1999, 455, 1683–1715. [Google Scholar] [CrossRef]
- Puebla, R.; Beau, M.; del Campo, A. Probing universality in many-body systems with Fisher information. Phys. Rev. Res. 2023, 5, 013106. [Google Scholar]
- Shitara, T.; Kuramochi, Y.; Ueda, M. Finite-size scaling of quantum Fisher information near critical points. Phys. Rev. Lett. 2024, 132, 050401. [Google Scholar]
- Cafaro, C.; Alsing, P.M. Information geometry aspects of quantum evolutions driven by time-dependent Hamiltonians. Phys. Rev. E 2018, 97, 042110. [Google Scholar] [CrossRef] [PubMed]
- Deffner, S. Open quantum systems, Fisher information, and quantum metrology. Entropy 2023, 25, 612. [Google Scholar]
- Gu, X.; Quan, H.T. Quantum Fisher information in open-system critical dynamics. arXiv 2025, arXiv:2502.01234. [Google Scholar]
- Rossignoli, R.; Plastino, A. Thermal effects and the interplay between pairing and shape deformations. Phys. Rev. C 1985, 32, 1040. [Google Scholar] [CrossRef] [PubMed]
- Binder, K. Finite size scaling analysis of Ising model block distribution functions. Z. Phys. B 1981, 43, 119–140. [Google Scholar] [CrossRef]
Disclaimer/Publisher’s Note: The statements, opinions and data contained in all publications are solely those of the individual author(s) and contributor(s) and not of MDPI and/or the editor(s). MDPI and/or the editor(s) disclaim responsibility for any injury to people or property resulting from any ideas, methods, instructions or products referred to in the content. |
© 2025 by the authors. Licensee MDPI, Basel, Switzerland. This article is an open access article distributed under the terms and conditions of the Creative Commons Attribution (CC BY) license (https://creativecommons.org/licenses/by/4.0/).