In Situ FBG Monitoring of a Henequen-Epoxy Biocomposite: From Manufacturing to Performance
Abstract
:1. Introduction
2. Materials and Methods
2.1. Henequen Fiber
2.2. Biobased Resin
2.3. FBG Sensor and Interrogator
2.4. Vacuum Assited Resin Infusion Process (VARI)
2.5. Mechanical Characterization by Bending
3. Results
3.1. VARI Tracking for a FBG Instrumented Biocomposite
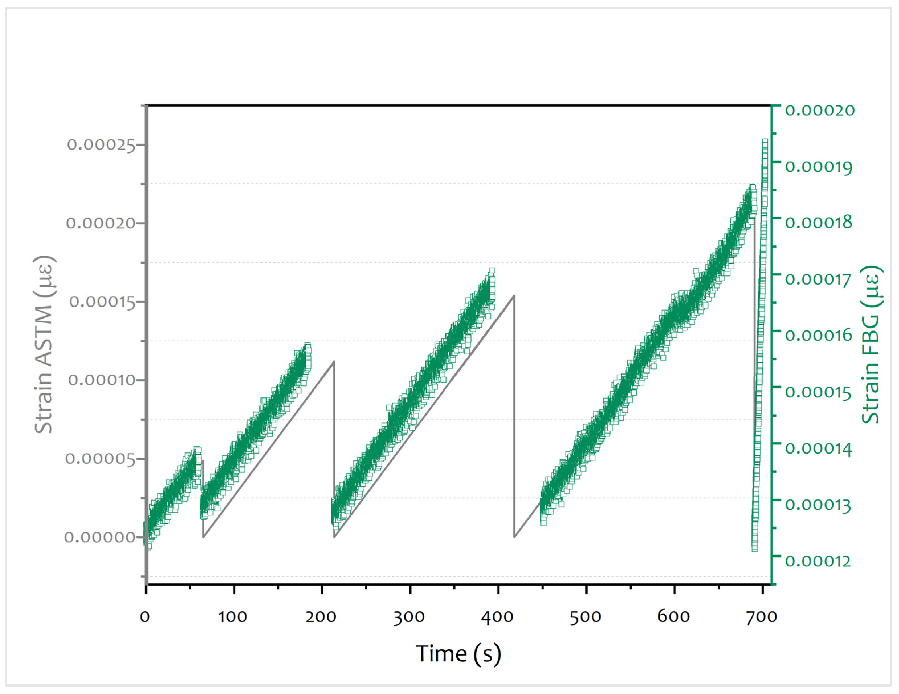
3.2. Mechanical Characterization Tracking for a FBG Instrumented Biocomposite
4. Discussion
5. Conclusions
6. Patents
Author Contributions
Funding
Institutional Review Board Statement
Informed Consent Statement
Data Availability Statement
Acknowledgments
Conflicts of Interest
References
- Thyavihalli-Girijappa, Y.G.; Rangappa, S.M.; Parameswaranpillai, J.; Siengchin, S. Natural fibers as sustainable and renewable resource for development of eco-friendly composites: A comprehensive review. Front. Mater. 2019, 6, 226–240. [Google Scholar] [CrossRef]
- Ramesh, M.; Palanikumar, K.; Reddy, K.H. Comparative Evaluation on Properties of Hybrid Glass Fiber-Sisal/Jute Reinforced Epoxy Composites. Procedia Eng. 2013, 51, 745–750. [Google Scholar] [CrossRef] [Green Version]
- Torres, M. Parameters’ monitoring and in-situ instrumentation for resin transfer moulding: A review. Compos. Part A Appl. Sci. Manuf. 2019, 124, 105500. [Google Scholar] [CrossRef]
- Parbin, S.; Waghmare, N.K.; Singh, S.K.; Khan, S. Mechanical properties of natural fiber reinforced epoxy composites: A review. Procedia Comput. Sci. 2019, 152, 375–379. [Google Scholar] [CrossRef]
- Torres, M.; Rentería, A.V.; Alcántara, P.I.; Franco-Urquiza, E. Mechanical properties and fracture behaviour of agave fibers bio-based epoxy laminates reinforced with zinc oxide. J. Ind. Text. 2020, 1–22. [Google Scholar] [CrossRef]
- Binoj, J.S.; Bibin, J.S. Failure analysis of discarded agave tequilana fiber polymer composites. Eng. Fail. Anal. 2019, 95, 379–391. [Google Scholar] [CrossRef]
- Santulli, C.; Sarasini, F.; Tirillo, J.; Valente, T.; Valente, M.; Caruso, A.P.; Infantino, M.; Nisini, E.; Minak, G. Mechanical behaviour of jute cloth/wool felts hybrid laminates. Mater. Des. 2013, 50, 309–321. [Google Scholar] [CrossRef]
- Salman, S.D. Effects of jute fibre content on the mechanical and dynamic mechanical properties of the composites in structural applications. Def. Technol. 2020, 16, 1098–1106. [Google Scholar] [CrossRef]
- Mahesh, V.; Joladarashi, S.; Kulkarni, S.M. Influence of laminate thickness and impactor shape on low velocity impact response of jute-epoxy composite: FE study. Mater. Today Proc. 2020, 28, 545–550. [Google Scholar] [CrossRef]
- Torres, M.; Rentería, A.V.; Franco-Urquiza, E. Mechanical properties of natural-fiber-reinforced biobased epoxy resins manufactured by resin infusion process. Polymers 2020, 12, 2841. [Google Scholar] [CrossRef] [PubMed]
- Kuo, P.Y.; Sain, M.; Yan, N. Synthesis and characterization of an extractive-based bio-epoxy resin from beetle infested Pinus contorta bark. Green Chem. 2014, 16, 3483–3493. [Google Scholar] [CrossRef]
- Ozer, E.; Feng, M.Q. Start-Up Creation; Woodhead Publishing Series in Civil and Structural Engineering; Woodhead Publishing: Thorston, UK, 2020; pp. 345–367. [Google Scholar]
- Collombet, F.; Torres, M.; Douchin, B.; Crouzeix, L.; Grunevald, Y.H.; Lubin, J.; Camps, T.; Jacob, X.; Luyckx, G.; Wu, K.T. Multi-instrumentation monitoring for the curing process of a composite structure. Measurement 2020, 157, 107635. [Google Scholar] [CrossRef]
- Matsuzaki, R.; Kobayashi, S.; Todoroki, A.; Mizutani, Y. Cross-sectional monitoring of resin impregnation using an area-sensor array in an RTM process. Compos. Part A Appl. Sci. Manuf. 2012, 43, 695–702. [Google Scholar] [CrossRef]
- Yenilmez, B.; Sozer, E.M. A grid of dielectric sensors to monitor mold filling and resin cure in resin transfer molding. Compos. Part A Appl. Sci. Manuf. 2009, 40, 476–489. [Google Scholar] [CrossRef]
- Tuncol, G.; Danisman, M.; Kaynar, A.; Sozer, E.M. Constraints on monitoring resin flow in the resin transfer molding (RTM) process by using thermocouple sensors. Compos. Part A Appl. Sci. Manuf. 2007, 38, 1363–1386. [Google Scholar] [CrossRef]
- Di Fratta, C.; Klunker, F.; Ermanni, P. A methodology for flow-front estimation in LCM processes based on pressure sensor. Compos. Part A Appl. Sci. Manuf. 2013, 47, 1–11. [Google Scholar] [CrossRef]
- Kobayashi, M.; Jen, C.K. Piezoelectric thick bismuth titanate/PZT composite film transducers for smart NDE of metals. Smart Mater. Struct. 2004, 13, 951–956. [Google Scholar] [CrossRef]
- Boll, D.; Schubert, K.; Brauner, C.; Lang, W. Miniaturized flexible interdigital sensor for In situ dielectric cure monitoring of composite materials. IEEE Sens. J. 2014, 14, 2193–2197. [Google Scholar] [CrossRef]
- Lekakou, C.; Cooka, S.; Denga, Y.; Angb, T.W.; Reed, G.T. Optical fibre sensor for monitoring flow and resin curing in composites manufacturing. Compos. Part A Appl. Sci. Manuf. 2006, 37, 934–938. [Google Scholar] [CrossRef]
- Grande, A.M.; Di Landro, L.; Bettini, P.; Baldi, A.; Sala, G. RTM process monitoring and strain acquisition by fibre optics. Proc. Eng. 2011, 10, 3497–3502. [Google Scholar] [CrossRef] [Green Version]
- Baker, W.; McKenzie, I.; Jones, R. Development of life extension strategies for Australian military aircrafts using structural health monitoring of composite repair joints. Compos Struct 2004, 66, 133–143. [Google Scholar] [CrossRef]
- Hernández, H.; Collombet, F.; Douchin, B.; Choqueuse, D.; Davies, P.; González, J.L. Entire life-time monitoring of filament wound composite cylinders using Bragg grating sensors: I. Adapted tooling and instrumented specimen. Appl. Compos. Mater. 2009, 16, 173–182. [Google Scholar] [CrossRef]
- Hernández, H.; Collombet, F.; Douchin, B.; Choqueuse, D.; Davies, P.; González, J.L. Entire life-time monitoring of filament wound composite cylinders using Bragg grating sensors: II. Process Monitoring. Appl. Compos. Mater. 2009, 16, 197–209. [Google Scholar] [CrossRef] [Green Version]
- Hernández, H.; Collombet, F.; Douchin, B.; Choqueuse, D.; Davies, P.; González, J.L. Entire life-time monitoring of filament wound composite cylinders using Bragg grating sensors: III. In-service external pressure loading. Appl. Compos. Mater. 2009, 16, 135–147. [Google Scholar] [CrossRef] [Green Version]
- Khoun, L.; de Oliveira, R.D.; Michaud, V.; Hubert, P. Investigation of process-induced strains development by fibre Bragg grating sensors in resin transfer moulded composites. Compos. Part A Appl. Sci. Manuf. 2011, 42, 274–282. [Google Scholar] [CrossRef]
- Pospori, A.; Marques, C.A.F.; Bang, O.; Webb, D.J.; André, P. Polymer optical fiber Bragg grating inscription with a single UV laser pulse. Opt. Express 2017, 25, 9028–9038. [Google Scholar] [CrossRef] [PubMed] [Green Version]
- Marques, C.A.F.; Min, R.; Leal-Junior, A.; Antunes, P.; Fasano, A.; Woyessa, G.; Nielsen, K.; Rasmussen, H.K.; Ortega, B.; Bang, O. Fast and stable gratings inscription in POFs made of different materials with pulsed 248 nm KrF laser. Opt. Express 2018, 6, 2013–2022. [Google Scholar] [CrossRef] [PubMed] [Green Version]
- Lascano, D.; Quiles-Carrillo, L.; Torres-Giner, S.; Boronat, T.; Montanes, N. Optimization of the curing and post-curing conditions for the manufacturing of partially bio-based epoxy resins with improved toughness. Polymers 2019, 11, 1354. [Google Scholar] [CrossRef] [Green Version]
- Moller, J.C.; Berry, R.J.; Foster, H.A. On the nature of epoxy resin post-curing. Polymers 2020, 12, 466. [Google Scholar] [CrossRef] [Green Version]














Publisher’s Note: MDPI stays neutral with regard to jurisdictional claims in published maps and institutional affiliations. |
© 2022 by the authors. Licensee MDPI, Basel, Switzerland. This article is an open access article distributed under the terms and conditions of the Creative Commons Attribution (CC BY) license (https://creativecommons.org/licenses/by/4.0/).
Share and Cite
Torres, M.; Rentería-Rodríguez, A.V.; Franco-Urquiza, E.A. In Situ FBG Monitoring of a Henequen-Epoxy Biocomposite: From Manufacturing to Performance. Chemistry 2022, 4, 380-392. https://doi.org/10.3390/chemistry4020028
Torres M, Rentería-Rodríguez AV, Franco-Urquiza EA. In Situ FBG Monitoring of a Henequen-Epoxy Biocomposite: From Manufacturing to Performance. Chemistry. 2022; 4(2):380-392. https://doi.org/10.3390/chemistry4020028
Chicago/Turabian StyleTorres, Mauricio, Ana V. Rentería-Rodríguez, and Edgar A. Franco-Urquiza. 2022. "In Situ FBG Monitoring of a Henequen-Epoxy Biocomposite: From Manufacturing to Performance" Chemistry 4, no. 2: 380-392. https://doi.org/10.3390/chemistry4020028
APA StyleTorres, M., Rentería-Rodríguez, A. V., & Franco-Urquiza, E. A. (2022). In Situ FBG Monitoring of a Henequen-Epoxy Biocomposite: From Manufacturing to Performance. Chemistry, 4(2), 380-392. https://doi.org/10.3390/chemistry4020028

