Abstract
Fused-bicyclic heteroaromatic cores are a common framework in drugs and other biologically active compounds. Those containing azine rings are widely used in drug discovery campaigns. Although these cores are very common, C–H functionalization of their azine moieties remains challenging, especially in annulation reactions. Therefore, this review highlights the progress made over the years in C–H annulation reactions that have produced these essential 6,5-fused bicyclic heteroaromatic cores for drug discovery. For that, the review was divided according to the five-membered rings moiety (pyrrole, pyrazole, imidazole, furan, thiophen, and thiazole) fused to different azines (pyridine, pyrazine, pyridazine, pyrimidine, and triazine). Although some important advances have been made over the years, there remains a need for research in synthetic methodology to expand the use of these heteroaromatic cores in biologically active compounds.
1. Introduction
The majority of bioactive compounds have at least one ring system as a core structural element, which contributes to the shape of the molecule, its physicochemical properties, and even its interaction with the molecular target [1]. Over time, heterocycles have become a key fragment in drug discovery and medicinal chemistry, particularly the nitrogen-containing ones [2,3].
Ward and O’Boyle recently reported that, among the 380 new medicines approved by the European Medicines Agency (EMA) between 2014 and 2023, 164 were new active substances containing at least one heterocycle [4]. Among these, 96 (59%) contained at least one fused-heterocycle, and 23 (14%) contained 5,6-fused-bicyclic N-heteroaromatic cores [4]. In addition, among small-molecule drugs listed in the FDA Orange Book before 2020, only 3 of the 100 most common ring systems were 5,6-fused-bicyclic N-heteroaromatics. Still, among small-molecule medicines in clinical trials, this number rises to 20 [5].
This data highlights the increasing interest in using these cores for drug discovery (Figure 1) [6,7,8,9,10,11,12,13,14]. The nitrogen atoms in azines are attractive because they can form additional hydrogen bonds with molecular targets [2]. However, due to the electron-deficient nature of these azine rings, synthetic strategies can be challenging [15].
Figure 1.
Examples of bioactive compounds, drugs, and drug candidates containing 6,5-fused bicyclic cores [6,7,8,9,10,11,12,13,14].
In this scenario, direct C–H annulation strategies can be useful. This type of reaction is especially attractive because it eliminates the need to install activating groups such as halides on the starting material, thereby expanding the range of readily accessible precursors [16]. Therefore, this review summarizes current reactions of C–H annulation in azines aiming at 6,5-fused-bicyclic cores, highlighting the potential applications of these strategies in drug discovery.
2. Pyrrole-Fused to Azines
Most strategies for C–H annulation in azines involve the formation of pyrrole-fused cores. These heterocycles, especially azaindoles (pyrrole-fused to a pyridine), have become increasingly important scaffolds to drug discovery, being present in several biologically active compounds and FDA-approved drugs [17]. Kinase inhibition, antiviral, and antitumor activities are among its applications [18].
One of the first reports on this methodology involves the deprotonation of a methyl or methylene group by lithium diisopropylamide (LDA), followed by functionalization with nitriles that undergo an intramolecular Chichibabin-type reaction [19]. According to the authors, the success of this reaction was due to the excess of the strong base, which facilitated the cyclization step. Using this approach, they obtained 5- and 7-azaindoles, pyrrolo-pyrimidines, and pyrazines with yields ranging from low to high (Scheme 1). The presence of an electron-withdrawing group on the nitrile resulted in lower yields. The pyrimidine analogues showed the lowest yields.
Scheme 1.
Synthesis of 5- and 7-azaindoles, pyrrolo[2,3-b]pyrazines, and pyrrolo[2,3-d]pyrimidines via reaction of β-(lithiomethyl)azines with nitriles [19].
Another strategy to obtain pyrrole-fused azines is the Bartoli cyclization, a classical reaction first developed for the synthesis of indoles that involves nitrobenzene and a vinylmagnesium halide, followed by acid work-up [20]. In recent decades, it has also been extensively applied to the synthesis of azaindoles by various authors (Scheme 2) [21,22,23]. Zhang and co-workers first reported this application in 2002, using nitropyridines and vinylmagnesium bromide to obtain 4- and 6-azaindoles [21]. They achieved low to moderate yields, as is often observed in indole preparations. Larger substituents directly adjacent to the nitro group improved the yield, and the presence of a halogen in the α- or 4- position of the pyridine ring led to even better yields. This was attributed to the substrate’s enhanced electrophilicity. More recently, this reaction was used to synthesize compounds with anti-HIV [22] and anticancer activities [23]. No reports were found of the application of this methodology to the synthesis of 5- and 7-azaindoles.
Scheme 2.
Synthesis of 4- and 6-azaindoles via Bartoli cyclization [21,22,23]. Reaction conditions: [a] 3 equiv of vinylmagnesium bromide, 8 h, −20 °C. [b] 4 equiv of vinylmagnesium bromide, 1 h, −40 °C to −50 °C.
For the synthesis of 7-azaindoles, in 2015, Kim and Hong described a method of C—H annulation between 2-aminopyridines and alkynes catalyzed by rhodium(III) [15]. The optimized conditions provided moderate to high yields (Scheme 3). The proposed mechanism involves the coordination of the catalytic system with the carbonyl group, coordination and migratory insertion with the alkyne, rearrangement of the eight-membered rhodacycle intermediate, and reductive elimination (Scheme 3).
Scheme 3.
Synthesis of 7-azaindoles via Rh(III)-catalyzed C–H activation/annulation coupling of aminopyridines with alkynes [15].
It was also suggested that silver ions could coordinate to the pyridyl nitrogen, facilitating the cleavage of the C–H bond in the aminopyridine. Additionally, the adamantyl group appears to be much more effective than acetyl and pyridyl groups as the directing group and can be easily removed under mild conditions [24].
Regarding the aminopyridine scope, a variety of functional groups were tolerated, and even electron-withdrawing groups had minimal effect on reactivity. When the alkyne scope was evaluated, different diaryl-substituted alkynes were tested and gave the desired products. Considering unsymmetrical alkynes, the coordination of the aryl group with Rh(III) at the penultimate step favored its position proximal to the pyrrolic nitrogen [15] (Scheme 3).
Another method for the synthesis of indoles applied to azaindoles is the Hemetsberger–Knittel reaction. This method is based on thermal pyrolysis of azidoacrylates 12 [25] and has been used to synthesize 5-, 6-, and 7-azaindoles (Scheme 4). This reaction is highly temperature-dependent, which is critical for the formation of the desired product [26]. Higher yields were obtained for 5-azaindoles, except for the methoxychloro-substituted 15j [26].
Scheme 4.
Synthesis of substituted 5-, 6-, and 7-azaindoles via Hemetsberger–Knittel reaction [25,26,27]. Reaction conditions: [a] Mesitylene, 140 °C, 1 h. [b] Decalin, 190 °C, 10 min. [c] Xylene, 130 °C, 3 h. [d] Xylene, 140 °C, 2 h. [e] Fe(OTf)2 (10 mol%), THF, 85 °C, 24 h.
Using these conditions, compound 15a was synthesized as an intermediate of nicotinamide phosphoribosyltransferase (NAMPT) inhibitors with reduced CYP2C9 enzyme inhibition for cancer treatment [27].
Besides the tolerance of different functional groups and the applicability for generating various azaindole isomers, the high temperatures used in this reaction can be a downside. Although some metal complexes, such as Fe(OTf)2, can promote the nitrene formation necessary for the cyclization at lower temperatures [28], their application to azaindole synthesis gives a low yield (16%, 15k, Scheme 4), which may be due to the coordination of iron with the pyridine [25].
Yugandar, Konda, and Ila developed another metal-catalyzed reaction for the synthesis of indoles that was also applied for 7-azaindoles [29]. This strategy involves the intramolecular amination of pyridine enaminonitriles and enaminones catalyzed by palladium(II) (Scheme 5). The optimized conditions included the addition of cupric acetate or silver carbonate, pivalic acid, and an oxygen atmosphere, which improved the re-oxidation of Pd(0) and increased the yields.
Scheme 5.
Synthesis of 7-azaindoles via Pd(II)-catalyzed C–H activation-intramolecular amination of N-het(aryl)/acyl enaminonitriles and enaminones [29]. Reaction conditions: [a] Pd(OAc)2 (20 mol%), Cu(OAc)2 (1.0 equiv), DMSO, O2, 120 °C, 8–10 h. [b] Pd(OAc)2 (20 mol%), Ag2CO3 (1.0 equiv), PivOH (1.0 equiv), DMSO, O2, 120 °C, 10–12 h.
Three examples were obtained in good yields, and the condition using the copper salt as the re-oxidant presented slightly higher ones [29] (Scheme 5, condition [a]). Regarding scope, the tolerance for substituents on the pyridine portion and other groups on the pyrrole moiety can be further explored to obtain azaindoles and other aza-fused heterocycles.
Similarly, Ferretti and co-workers established another synthetic method for indoles, starting from β-nitrostyrenes (Scheme 6) [30].
Scheme 6.
Synthesis of 7-azaindoles via palladium-catalyzed reductive cyclization of β-nitrostyrenes [30].
The synthetic strategy described above is another palladium-catalyzed reaction, but it uses carbon monoxide as the reductant [30]. The mechanism involves an initial single-electron transfer from the metal to the nitroalkene, followed by the formation of a nitroso compound. This was proposed to be the amination species, which forms a hydroxyindole that is reduced by carbon monoxide to give the desired heterocycle (Scheme 6). Only one example of azaindole was synthesized, and a mixture of regioisomers was obtained (Scheme 6). From an electronic standpoint, the 2- position was the least favored for cyclization. However, the coordination of the pyridine nitrogen with the metal center may explain the observed regioselectivity.
Another reaction, the Gassman reaction [31], was developed for indoles and applied to azaindoles. This method involves monochlorination of an aniline, followed by the addition of a sulfide, yielding an azasulfonium salt. In the presence of base, this salt forms a sulfur ylide that undergoes a Sommelet-Hauser type rearrangement to give aniline derivatives which are substituted exclusively at the ortho- position. Then, the reaction between the amino and carbonyl groups leads to 2-hydroxyindolines, which are subsequently dehydrated to give the desired products. Recently, this strategy was applied to the synthesis of 22 (Scheme 7), to use this compound and its derivatives as inhibitors of lysyl oxidases [32].
Scheme 7.
Synthesis of 4-azaindole via Gassman reaction [32].
The Fischer reaction is another example of an indole synthesis method being applied to azaindole synthesis. The mechanism involves the formation of a phenylhydrazone between the hydrazine and a ketone or aldehyde, which isomerizes to the respective enamine [33]. After protonation, a [3,3]-sigmatropic rearrangement occurs, producing an imine that forms a cyclic aminoacetal (or aminal), which, under acid catalysis, eliminates NH3, resulting in the energetically favored aromatic indole.
Regarding the azaindole synthesis, the electron-deficient character of the pyridine ring can affect the [3,3]-sigmatropic rearrangement step during heterocyclization [34]. However, there are a few reports of this application (Scheme 8) [34,35]. The presence of electron-donating groups ortho to the pyridyl nitrogen favors the reaction [34], but the cyclization can also be achieved with electron-withdrawing groups using longer reaction times or microwave irradiation [35]. These strategies afford 4- and 6-azaindoles in moderate to high yields.
Scheme 8.
Synthesis of 4-, 6- and 7-azaindoles via Fischer reaction and a variation [34,35,36,37].
A variation using polyphosphoric acid provided 7-azaindoles, including 5-Cl-substituted, which present limited synthetic approaches due to their electronic properties [36,37] (Scheme 8). This reaction tolerated different substituents on the ketones, but only unsubstituted and 5-chlorine pyridines were evaluated [36,37]. Even some aldehydes were used instead of ketones, although this significantly reduced yields (6–28%).
In addition, another variation of the Fischer reaction can be used to synthesize 4- and 6-azaindoles in two steps. Starting from bromopyridines, the first step is the metalation with n-butyllithium, followed by reaction with di-tert-butyl azodicarboxylate to give the corresponding Boc-protected pyridyl hydrazine. Then, the reaction with ketones or aldehydes under acidic conditions yielded 4 examples of 4-azaindoles (41–72%) and 3 examples of 6-azaindoles (33–41%) [38].
Beveridge and Gerstenberger proposed a methodology to overcome some issues with the Fischer reaction in the synthesis of azaindoles, as the need for pre-formation of the hydrazine precursors by diazotization [39]. This reaction can also be applied to other aza-heterocycles, as it uses a larger pool of readily available heteroaryl precursors, thereby expanding its scope (Scheme 9).
Scheme 9.
Synthesis of 4-azaindoles and pyrrolo[3,2-d]pyrimidines via one-pot copper-catalyzed reaction of boronic acids [39].
The above three-component reaction mechanism involves an initial copper-catalyzed addition of the di-tert-butyl-diazodicarboxylate, an in situ N,N-di-Boc deprotection, and the formation of an aryl hydrazone that undergoes a Fisher-type rearrangement to give the desired product (Scheme 9). 4-azaindoles and pyrrolo-pyrimidines were obtained in moderate to good yields using this synthetic strategy. Under these reaction conditions, unsubstituted 5-pyrimidine boronic acid underwent high conversion to the hydrazone intermediate but was ineffective toward rearrangement to the azaindole. However, the presence of electron-donating amino- or methoxy groups enabled the key sigmatropic rearrangement, generating the desired pyrrolo-pyrimidine azaindoles [39].
Another strategy involving amino-pyridines was developed by Santos and co-workers [40]. First, the coupling between the amino-pyridine and the alkene led to the formation of an imine. Its enamine form undergoes electrophilic substitution by Pd(II), leading to C–H functionalization and reductive elimination (Scheme 10).
Scheme 10.
Synthesis of 4-, 5-, and 6-azaindoles via one-pot palladium-catalyzed C–N cross-coupling/C–H functionalization [40]. Reaction conditions: [a] (1) XPhos as ligand, MW, 110 °C, 60 min, (2) Pd(OAc)2 (20 mol%), Cs2CO3 (3 equiv), Ag2CO3 (1 equiv), PivOH (1 equiv), 120 °C, 48–73 h. [b] (1) XantPhos as ligand, MW, 110 °C, 15 min, (2) Cs2CO3 (3 equiv), Cu(OAc)2 (3 equiv), 120 °C, 73 h. [c] (1) XantPhos as ligand, 110 °C, 2 h, (2) Ag2CO3 (1 equiv), PivOH (1 equiv), 120 °C, 48–73 h. [d] (1) XPhos as ligand, 110 °C, 2 h, (2) Cs2CO3 (3 equiv), Cu(OAc)2 (3 equiv), 120 °C, 48–73 h.
The low yield obtained for compound 33a was attributed to the well-known high Lewis basicity of the 4-aminopyridine starting material [40]. When 3-aminopyridines were used, the 4-azaindole isomer was favoured. This phenomenon may be related to a higher reactivity of the carbon adjacent to the pyridine nitrogen, due to greater polarization, which facilitates palladium catalyst insertion in the second step of the reaction. This reaction did not occur with 2-aminopyridines, where no imine/enamine formation was observed. This fact can be explained by the coordination of the substrate with the catalytic system, which limits the applicability of this methodology to 7-azaindoles.
To access 7-azaindoles, Wang and co-workers developed a method that involves the amination of pyridine N-oxides and the formation of intramolecular enamines (Scheme 11) [41]. Regarding the scope of amines, ammonia, alkyl, and aryl amines are all good substrates. Aryl amines afforded better yields than alkyl amines, and sterically hindered amines presented lower ones. Many functional groups were well tolerated, thus providing additional handles for further functionalization. A lower yield (5%) was observed for a 4-methoxy-substituted pyridine N-oxide. This suggests that this strategy is not suitable for N-oxides containing strong electron-donating groups.
Scheme 11.
Synthesis of 7-azaindoles via one-pot synthesis involving amination of pyridine N-oxides and intramolecular enamine formation [41].
Another strategy for exploring N-oxides in the synthesis of 7-azaindoles and pyrrolo-pyrimidines uses O-vinylhydroxylamines as ring-annulation reagents [42]. This recent one-pot methodology involves the in situ generation of an N-aryl-O-vinylhydroxylamine intermediate, which can then undergo a rapid [3,3]-sigmatropic rearrangement/rearomatization/cyclization cascade (Scheme 12). The final step is the dehydration of the 7-azaindoline intermediate using base and mesyl chloride. This condition afforded 15 examples in low to high yields.
Scheme 12.
Synthesis of 7-azaindoles and pyrrolo[2,3-d]pyrimidines via heteroannulation of N-oxides with N-protected-O-vinylhydroxylamines [42]. Reaction conditions: [a] (1) Ts2O (1.3 equiv), Et3N (3.75 equiv), THF/DCE (0.2 M), rt, 30 min, (2) MsCl (1.3 equiv), Et3N (2 equiv), rt, 5 h. [b] (1) Tf2O (1.3 equiv), 2,6-lutidine (2.75 equiv), DCM (0.2 M), −60 °C to rt, 16 h, (2) MsCl (1.3 equiv), 2,6-lutidine (2 equiv), 0 °C to rt, 5 h.
This approach offers broad substrate scope, enabling access to a wide range of highly functionalized derivatives. Furthermore, its mild reaction conditions allow late-stage functionalization of complex molecules, demonstrating their value in both synthetic and medicinal chemistry [42].
3. Pyrazole-Fused to Azines
Pyrazolopyridines (or azaindazoles) and pyrazolopyrimidines have already been reported as promising scaffolds for the synthesis of bioactive compounds, including compounds with anticancer and antibacterial activities [43]. In 2013, the FDA approved the drug Riociguat for the treatment of pulmonary hypertension [44], which contains the azaindazole moiety and has already been explored for further optimization of pharmacokinetics [45].
Only three strategies of C–H annulation in azines for the synthesis of pyrazole-fused cores could be found. However, these reactions yield a broader range of aza heterocycles: pyridines, 1,2,4-triazines, pyrazines, and pyridazines. The 1,2,4-triazine core seems to be still unexplored in this matter, since it was reported to be fused only to the pyrazole ring.
Hu and co-workers developed a transition-metal-free method for the synthesis of indazoles and azaindazoles [46]. It involves TEMPO/O2-promoted N–H oxidation, producing a nitrenium radical intermediate, followed by intramolecular C–N bond formation and base deprotonation to yield the desired products (Scheme 13). Different azaindazole isomers were obtained from this reaction, with yields varying from low to high. A wide range of functional groups was tolerated, and some regioselectivity was observed with 3-substituted pyridines.
Scheme 13.
Synthesis of azaindazoles via intramolecular aerobic oxidative C–N coupling under transition-metal-free conditions [46]. Reaction conditions: [a] TEMPO (0.3 equiv), NaHCO3 (1 equiv). [b] TEMPO (0.1 equiv), DMAP (0.5 equiv). [c] TEMPO (0.3 equiv), DMAP (0.5 equiv). r.r.: regioisomeric ratio.
Regarding 1,2,4-triazines fused to pyrazole, Mojzych and co-workers have reported several studies using a C–H annulation strategy [7,47,48,49,50]. This reaction involves thermal and acidic cyclization of 1,2,4-triazines 5-phenylhydrazones (Scheme 14). The condition using PTSA and a shorter reaction time demonstrated higher yields and simpler experimental procedures. It also tolerates a wide range of substituents on the triazine ring. These reactions have already been used to synthesize new compounds with potential biological activities, such as kinase inhibitors [7], sildenafil analogues [47], and tyrosinase and urease inhibitors [50].
Scheme 14.
Synthesis of pyrazolo[4,3-e][1,2,4]triazines via cyclization of hydrazones with thermal or acidic conditions [7,47,48,49,50].
Another strategy employing phenylhydrazones was developed by Filák and co-workers (Scheme 15) [51]. The reaction was found to be accelerated by using acidic, basic, or thermal conditions. Pyridine, pyrazine, and pyridazine fused to pyrazoles were obtained in moderate to good yields. The substituents did not significantly change the yields.
Scheme 15.
Synthesis of pyrazolo[3,4-b]pyrazines, pyrazolo[4,3-c]pyridazines and pyrazolo[4,3-b]pyridine [51]. Reaction conditions: [a] substituted phenylhydrazine hydrochloride (1.2 equiv), HCl, EtOH, reflux, 4–24 h. [b] DBU (14 equiv), THF, reflux, 4–8 h. [c] 1,2-dichlorobenzene, 140 °C, 12–18 h. [d] 1,2-dichlorobenzene, 140 °C, 7 d.
Quantum-chemical calculations reveal that the mechanism of these cyclizations depends on the reaction conditions [51]. Under thermal conditions, the transformation is clearly pericyclic. Under acidic conditions, the pericyclic nature of the cyclization is still present, due to the nucleophilic character of the hydrazone. However, in the presence of a strong base, calculations suggest that pseudoelectrocyclization occurs.
4. Imidazole-Fused to Azines
The imidazole core fused to azines has already been used in drug discovery to synthesize kinase inhibitors [52], including approved drugs such as Duvelisib [10]. More recently, the imidazo-pyridine moiety was used in the synthesis of compounds with anti-Plasmodium activity, for malaria treatment [53].
For the synthesis of imidazo-pyridines, three C–H annulation strategies were reported. One of them is a multi-component one-pot domino synthesis starting from 2-aminopyridines (Scheme 16) [54]. It involves imine formation with aldehydes, which act as a directing group by chelating to the metal catalyst, followed by C–H azidation and C–N bond formation. This reaction showed high tolerance to both electron-withdrawing and electron-donating groups, whether in pyridine or in aldehydes, presenting moderate to good yields. However, no product was observed in the reaction with butyraldehyde.
Scheme 16.
Synthesis of substituted imidazo[4, 5-b]pyridines via copper(I)-catalyzed regioselective C–H amination of N-pyridyl imines using azidotrimethylsilane and TBHP [54].
A more recent strategy uses amino-pyridines and pyrimidines with nitriles to form amidine intermediates, which then undergo oxidative cyclization to form a benzimidazole-fused core [55]. Low to moderate yields were obtained (Scheme 17). This strategy was also used to synthesize benzimidazoles.
Scheme 17.
Synthesis of aza-benzimidazole via oxidative cyclization [55].
Once again, 2-aminopyridines failed in the oxidative cyclization step, potentially due to 2-pyridyl-amidine chelation to copper. On the other hand, 3-aminopyridine cyclization was selective for the ortho- position relative to the pyridine nitrogen, yielding 4-azabenzimidazole as the single product. However, a fluorine substituent in position 5- inverted this regioselectivity, promoting the cyclization adjacent to fluorine (58d, Scheme 17). Notably, electron-deficient pyrimidine rings were also susceptible to this oxidative cyclization, thereby providing a new strategy for the synthesis of substituted purines [55].
Another synthetic route developed for the synthesis of benzimidazoles was also applied for the synthesis of an imidazo-pyridine (Scheme 18) [56]. It is a one-pot process involving the acylation of N-arylamidoximes, which proceeds via either nitrene formation and electrocyclization or direct cyclization. Only one example of an imidazo-pyridine was obtained with a good yield.
Scheme 18.
Synthesis of aza-benzimidazole via N-arylamidoxime cyclization [56].
5. Furan-Fused to Azines
For the synthesis of furan-azines, only three strategies involving C–H annulation were found, and two of them involve the use of N-oxides. All these methods are aimed at the furo-pyridine core. This scaffold has recently received more attention as a useful pharmacophore for the development of several bioactive compounds [57], including anticancer [58], antiviral [59], and antimycobacterial [8] activities.
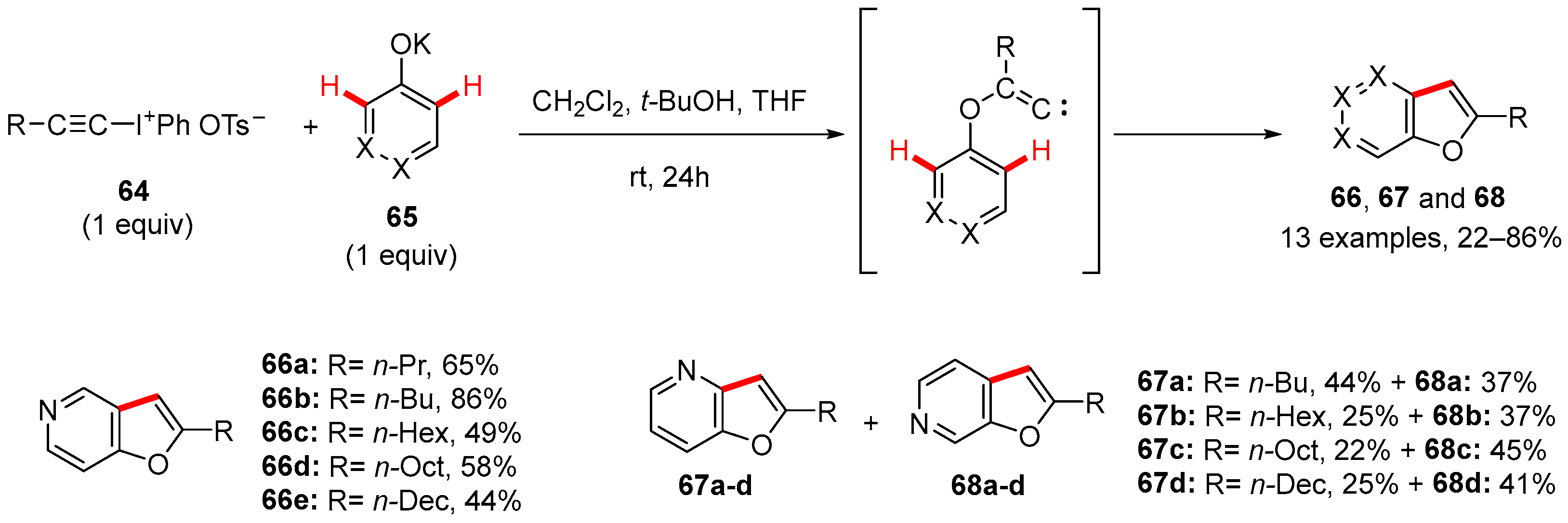
The first report of a C–H annulation approach for furan-fused to azines involved a C–H insertion of alkylidenecarbenes (Scheme 19) [60]. Moderate to good yields were achieved even for long carbon chains. When 3-hydroxypyridines were used, no regioselectivity was observed.
Scheme 19.
Synthesis of 2-substituted furo[3,2-c]pyridines, furo[3,2-b]pyridines, and furo[2,3-c]pyridines via C–H insertion of alkylidenecarbenes [60].
Fumagalli and Emery developed a strategy for the synthesis of 2,3-substituted furo[2,3-b]pyridines under mild conditions (Scheme 20) [61]. This reaction uses pyridine N-oxides, acyl chlorides or anhydrides, DBU, and DMAP. The mechanism involves the formation of N-acetoxypyridine, followed by benzylic deprotonation to give an enolate. This enolate reacts with another equivalent of the acyl source, affording an acetoacetate derivative, which undergoes heterocyclization after a second proton removal. The 2-alkyl-substituted furopyridines were obtained in better yields compared to the aryl-substituted ones. The presence of a halogen on the pyridine ring did not affect the yield and could be useful for further functionalization.
Scheme 20.
Synthesis of 2,3-substituted furo[2,3-b]pyridines via the heterocyclization of pyridine-N-oxide derivatives with an acyl source [61].
Another reaction for the synthesis of 2,3-substituted furo[2,3-b]pyridines also uses pyridine N-oxides, but this one involves an intramolecular cyclization (Scheme 21) [62]. The mechanism is quite similar to the one above, involving enolate formation and nucleophilic attack by the oxygen anion. This reaction tolerated various aryl, alkyl, and even amide substituents, with moderate to good yields. Excellent regioselectivity for the 2- position was also observed.
Scheme 21.
Synthesis of 2,3-substituted furo[2,3-b]pyridines via intramolecular cyclization [62].
6. Thiophen-Fused to Azines
C–H annulation strategies for thiophen-fused to azines were found only for thienopyridines and pyrimidines. Thienopyridine derivatives have been reported to exhibit various medicinal and biological properties, including antifungal [63], antibacterial [64], and multidrug resistance modulation [6]. Regarding thienopyrimidines, their application for anticancer [65] and anti-infective agents [66] is very promising.
Two similar strategies based on oxidative C–H functionalization/arylthiolation were used to synthesize thienopyridines (Scheme 22) [67,68]. They involve coordination of the sulfur atom to palladium and formation of a palladacycle, which then undergoes reductive elimination to give the desired product. Just four examples were synthesized, all in good yields.
Scheme 22.
Synthesis of 2,3-substituted thieno[2,3-b]pyridines via palladium-catalyzed oxidative C–H functionalization/intramolecular arylthiolation [67,68]. Reaction conditions: [a] One-pot: (1) isothiocyanate, DMF, NaH, 1 h (enethiolate salt formation); (2) Pd(OAc)2 (20 mol%), Cu(OAc)2 (1 equiv), Bu4NBr (20 mol%), 90 °C, 4–6 h [67]. [b] Two-step process using the same reagents as [a] with extraction of the intermediate (enethiol) [67]. [c] One-pot: (1) dithioate, DMSO, NaH, N2, 1 h (thioamide formation); (2) PdCl2 (20 mol%), CuI (0.5 equiv), Bu4NBr (2 equiv), 90 °C, 5–6 h [68].
Another strategy using alkynyl-pyridines or pyrimidines was developed for the synthesis of thieno-fused heterocycles [69]. It is a radical reaction that uses EtOCS2K as the sulfur source (Scheme 23). Both electron-deficient and electron-rich pyridine starting materials yielded the desired products in moderate to good yields. Only one example of thienopyrimidine was synthesized in moderate yield.
Scheme 23.
Synthesis of 2,3-substituted thieno[2,3-b]pyridines and thieno[2,3-d]pyrimidine via site-selective C–H bond thiolation and cyclization [69].
7. Thiazole-Fused to Azines
Although the thiazole ring is present in several already approved drugs, such as antimicrobial and anticancer agents [70], thiazole-fused to aza-heterocycles has not gotten this far yet. Thiazolopyridines and pyridazines have also shown promising antimicrobial [71] and anticancer activities [9,72,73].
Several methods were found for the synthesis of thiazole-fused to azines. However, some of them were applied just as examples and could be further explored. Thiazolopyrazines and pyridazine can be synthesized from carboxamides using Lawesson’s reagent in low to good yields (Scheme 24) [74,75]. The mechanism involves a nucleophilic attack of the sulfur atom on the pyrazine ring. For this reaction, the presence of electron-withdrawing groups in the phenyl attached to the amide significantly decreased the yield, as well as the presence of a substituent in the pyrazine ring.
Scheme 24.
Synthesis of thiazolo[4,5-c]pyridazine and thiazolo[4,5-b]pyrazines [74,75]. Reaction conditions for the pyrazine analogues: Lawesson’s reagent (1.1 equiv), toluene, reflux, 5 days [74] or Lawesson’s reagent (1.1 equiv), chlorobenzene, reflux, overnight [75]. Reaction conditions for the pyridazine analogue: Lawesson’s reagent (1.1 equiv), toluene, reflux, 48 h [74].
Another approach uses monothiooxamides as starting material, which were oxidized by K3Fe(CN)6 in 20% NaOH to give the desired products in good to high yields (Scheme 25) [76]. The presence of an amino group ortho to the pyridyl nitrogen seems to be important for the cyclization, since the use of a methyl group did not afford the desired product. The monothiooxamide in the 4- position of the pyridine ring did not undergo cyclization under these conditions. The presence of electron-withdrawing groups in the phenyl substituent decreased the yield.
Scheme 25.
Synthesis of 5-aminothiazolo[4,5-b]pyridine-2-carboxamides via oxidation of monothioxamides [76].
Another method using potassium ferricyanide and pyridylthioureas was reported for the synthesis of thiazolopyridines in moderate to good yields (Scheme 26) [77]. It was observed that the terminal nitrogen had to be di-substituted, since the additional proton inhibited the cyclization. Different substituents were well tolerated, except the aryl group. In this case, the cyclization occurred on the benzene ring rather than the pyridine ring due to electronic effects. The mechanism of this reaction involves the formation of a sulfur anion, which is oxidized to a radical that attacks the pyridine ring.
Scheme 26.
Synthesis of 2-aminothiazolo[5,4-c]pyridines via K3[Fe(CN)6] oxidation [77].
Another strategy using pyridine-thiourea leads to thiazolopyridine by cyclization with sulfuryl chloride, achieving a moderate yield (Scheme 27) [78]. This compound was used to synthesize potential anticonvulsants.
Scheme 27.
Synthesis of thiazolo[5,4-c]pyridin-2-ylamine with sulfuryl chloride [78].
Kim and Oh developed a one-pot three-component synthesis method of benzothiazoles, applying it to the synthesis of 90 (Scheme 28) [79]. The mechanism involves the reaction between benzylamine and elemental sulfur, yielding benzylamine polysulfides that undergo nucleophilic attack by aniline. This leads to the formation of a copper thiolate, which undergoes oxidative C–H activation and reductive elimination, forming the desired product in moderate yield.
Scheme 28.
Synthesis of thiazolo[5,4-b]pyridine via cross-coupling of amines and arene thiolation sequence [79].
Another three-component procedure for the synthesis of this heterocycle uses nitropyridines, benzyl alcohols, and elemental sulfur (Scheme 29) [80]. In this reaction, the free amino group is tolerated, and the cyclization reaction selectively occurs at the ortho- position of the nitrogen atom.
Scheme 29.
Synthesis of 2-phenylthiazolo[5,4-b]pyridin-5-amine via nitroarene ortho-C–H sulfuration with elemental sulfur [80].
The proposed mechanism involves two possibilities. One based on imine formation, which undergoes nucleophilic attack by sulfur, leading to SN–1 elimination and cyclization, followed by deprotonation and oxidation. The other is based on thioamide formation, which is oxidized by Fe(III) species to generate a thioyl radical, which is then oxidized in the presence of sulfur powder to yield the product. Only one example of thiazolopyridine was synthesized using this methodology, with 53% yield (Scheme 29) [80].
In 2017, Qian and co-workers developed an electrochemical method catalyzed by TEMPO for the synthesis of benzothiazoles and thiazolopyridines (Scheme 30) [81]. Interestingly, the 3-aminopyridine-based substrates reacted regioselectively at the α- position of the pyridyl ring.
Scheme 30.
Synthesis of thiazolo[5,4-b]pyridines, thiazolo[4,5-c]pyridines, and thiazolo[5,4-c]pyridines via TEMPO-catalyzed electrochemical C−H thiolation [81]. [a] Reaction run with TEMPO (10 mol%) and n-Bu4NBF4 (50 mol%).
Mechanistic studies suggested that the thioamide substrate was oxidized with the electrochemically generated TEMPO+ through an inner-sphere electron transfer to afford a thioamidyl radical, which undergoes homolytic aromatic substitution to form the key C−S bond [81]. The presence of a chlorine ortho to the pyridyl nitrogen significantly decreased the yield, and a methyl group in the 4- position led to a higher yield. No variation in the thioamide substituent was made to further evaluate the scope of the reaction.
Similarly, Folgueiras-Amador and co-workers published a catalyst- and supporting electrolyte-free method for the synthesis of benzothiazoles and thiazolopyridines in continuous flow (Scheme 31) [82]. As shown in the reaction above, this method also exhibited regioselectivity for the 3-aminopyridine derivatives.
Scheme 31.
Synthesis of thiazolo[5,4-b]pyridines via catalyst- and supporting-electrolyte-free electrosynthesis in continuous flow [82].
The described mechanism involves oxidation of the thioamide substrate at the anode to form a thioamidyl radical, which then cyclizes and re-aromatizes to give the desired products [82]. This reaction tolerated phenyl and alkyl substituents on the thioamide portion, including a highly complex one derived from cholic acid. A chlorine in the 2- position of pyridine decreased the yield, as seen in the previous example.
Finally, Inamoto and co-workers reported a palladium-catalyzed C–H cyclization in water for the synthesis of benzothiazoles and their application for the synthesis of thiazolopyridines (Scheme 32) [83,84].
Scheme 32.
Synthesis of thiazolo[4,5-c]pyridines and thiazolo[5,4-c]pyridines via palladium-catalyzed C–H functionalization/intramolecular C–S bond formation [83,84]. Reaction conditions: [a] PdCl2 (10 mol%), CsF (50 mol%), DMSO (0.05 M), 120 °C, 2 h. [b] Pd2(dba)3 (5 mol%), P(2-Tol)3 (20 mol%), Rb2CO3 (1 equiv), Triton X-100 (30 mol%), H2O, 40 °C, 24 h. [c] Same condition as [b], but without Triton-X. [d] Same condition as [a], but at 100 °C for 12 h.
The above reaction mechanism involves coordination of a sulfur atom to Pd(II), forming a six-membered palladacycle. Then, reductive elimination affords the desired product and Pd(0), which can be reoxidized to Pd(II) by O2. Only two examples were synthesized, starting from 3- or 4-pyridine thioamides, affording low to moderate yields. The presence of the surfactant Triton-X significantly increased the yield for 101a compound [84], but the condition with cesium fluoride and palladium chloride was even better.
8. Conclusions
The use of C–H annulation strategies to obtain fused heteroaromatic cores is crucial for drug discovery campaigns. These methodologies can offer shorter reaction pathways and improve atom economy. Although C–H activation reactions are already widely explored for benzene-related compounds, they remain challenging for azine rings. Therefore, this review highlights the achievements in this field.
Most C–H annulation strategies shown here were first developed for the synthesis of benzo-analogues and later applied to aza-heterocycles. The pyrrole-fused to azine is the most common 6,5-fused-bicyclic heteroaromatic core prepared using this strategy. The other bicyclic systems containing 5-membered rings (pyrazole, imidazole, furan, thiophen, and thiazole) fused to azines are still underexplored, with fewer examples, and require further synthetic development.
In addition, there is a need for more synthetic strategies for efficient C–H annulation starting from pyrimidine, triazine, pyrazine, and pyridazine rings, which are also relatively underexplored in this field when compared to pyridine. These efforts altogether can bring greater diversity to the chemical space available as building blocks for medicinal chemistry.
Author Contributions
F.F. performed the study design. M.C.T., I.A.S.d.B., A.R.J. and F.F. contributed to the acquisition and analysis of the data. Writing and critical review were performed by M.C.T., A.R.J. and F.F. All authors have read and agreed to the published version of the manuscript.
Funding
This study was financed in part by the Coordenação de Aperfeiçoamento de Pessoal de Nível Superior—Brasil (CAPES)—Finance Code 001 through scholarships for Theisen, M. C. and de Borba, I.A.S.
Data Availability Statement
The original contributions presented in this study are included in the article. Further inquiries can be directed to the corresponding author.
Conflicts of Interest
The authors declare no conflicts of interest.
Abbreviations
The following abbreviations are used in this manuscript:
| 1,2-DCE | 1,2-dichloroethylene |
| BDE | Bond Dissociation Energy |
| Boc | tert-butoxycarbonyl |
| Bn | benzyl |
| CO | carbon monoxide |
| CYP2C9 | Cytochrome P450 family 2 subfamily C member 9 enzyme |
| DBU | 1,8-diazabicycloundec-7-ene |
| DCE | dichloroethane |
| DCM | dichloromethane |
| DMAP | 4-(dimethylamino)pyridine |
| DMF | N,N-dimethylformamide |
| DMSO | dimethyl sulfoxide |
| EMA | European Medicines Agency |
| equiv | equivalent |
| EWG | Electron-Withdrawing Group |
| FDA | Food and Drug Administration |
| HIV | human immunodeficiency virus |
| LDA | lithium diisopropylamide |
| LiHMDS | lithium bis(trimethylsilyl)amide |
| MS | Molecular Sieve |
| MW | microwave |
| NAMPT | nicotinamide phosphoribosyltransferase |
| NMP | N-methyl-2-pyrrolidone |
| PMB | p-methoxybenzyl |
| PPA | polyphosphoric acid |
| PTSA | p-toluenesulfonic acid |
| PyBrop | bromotripyrrolidinophosphonium hexafluorophosphate |
| r.r. | regioisomeric ratio |
| RVC | Reticulated Vitreous Carbon |
| TBHP | tert-butyl hydroperoxide |
| TEMPO | (2,2,6,6-Tetramethylpiperidin-1-yl)oxyl |
| THF | tetrahydrofuran |
| TMEDA | N,N,N’,N’-tetramethylethylenediamine |
References
- Ertl, P. Magic Rings: Navigation in the Ring Chemical Space Guided by the Bioactive Rings. J. Chem. Inf. Model. 2022, 62, 2164–2170. [Google Scholar] [CrossRef]
- Bansal, N.; Dadwal, A.; Kumar, B. Key Heterocyclic Moieties for the next Five Years of Drug Discovery and Development. Future Med. Chem. 2025, 17, 1–3. [Google Scholar] [CrossRef] [PubMed]
- Lampert, L.M.; Machado, B.R.; Joaquim, A.R.; Fumagalli, F. Rings in “Lead-like Drugs”. Lett. Drug Des. Discov. 2024, 21, 3851–3857. [Google Scholar] [CrossRef]
- Ward, M.; O’Boyle, N.M. Analysis of the Structural Diversity of Heterocycles amongst European Medicines Agency Approved Pharmaceuticals (2014–2023). RSC Med. Chem. 2025, 16, 4540–4570. [Google Scholar] [CrossRef]
- Shearer, J.; Castro, J.L.; Lawson, A.D.G.; MacCoss, M.; Taylor, R.D. Rings in Clinical Trials and Drugs: Present and Future. J. Med. Chem. 2022, 65, 8699–8712. [Google Scholar] [CrossRef] [PubMed]
- Krauze, A.; Grinberga, S.; Krasnova, L.; Adlere, I.; Sokolova, E.; Domracheva, I.; Shestakova, I.; Andzans, Z.; Duburs, G. Thieno [2,3-b]Pyridines—A New Class of Multidrug Resistance (MDR) Modulators. Bioorganic Med. Chem. 2014, 22, 5860–5870. [Google Scholar] [CrossRef]
- Mojzych, M.; Šubertová, V.; Bielawska, A.; Bielawski, K.; Bazgier, V.; Berka, K.; Gucký, T.; Fornal, E.; Kryštof, V. Synthesis and Kinase Inhibitory Activity of New Sulfonamide Derivatives of Pyrazolo[4,3-e][1,2,4]Triazines. Eur. J. Med. Chem. 2014, 78, 217–224. [Google Scholar] [CrossRef]
- Fumagalli, F.; de Melo, S.M.G.; Ribeiro, C.M.; Solcia, M.C.; Pavan, F.R.; da Silva Emery, F. Exploiting the Furo[2,3-b]Pyridine Core against Multidrug-Resistant Mycobacterium Tuberculosis. Bioorg. Med. Chem. Lett. 2019, 29, 974–977. [Google Scholar] [CrossRef]
- Ladwig, A.; Gupta, S.; Ehlers, P.; Sekora, A.; Alammar, M.; Koczan, D.; Wolkenhauer, O.; Junghanss, C.; Langer, P.; Murua Escobar, H. Exploring Thiazolopyridine AV25R: Unraveling of Biological Activities, Selective Anti-Cancer Properties and In Silico Target and Binding Prediction in Hematological Neoplasms. Molecules 2023, 28, 8120. [Google Scholar] [CrossRef]
- Blair, H.A. Duvelisib: First Global Approval. Drugs 2018, 78, 1847–1853. [Google Scholar] [CrossRef]
- Makker, V.; Recio, F.O.; Ma, L.; Matulonis, U.A.; Lauchle, J.O.; Parmar, H.; Gilbert, H.N.; Ware, J.A.; Zhu, R.; Lu, S.; et al. A Multicenter, Single-Arm, Open-Label, Phase 2 Study of Apitolisib (GDC-0980) for the Treatment of Recurrent or Persistent Endometrial Carcinoma (MAGGIE Study). Cancer 2016, 122, 3519–3528. [Google Scholar] [CrossRef] [PubMed]
- Markham, A. Fostemsavir: First Approval. Drugs 2020, 80, 1485–1490. [Google Scholar] [CrossRef]
- Conole, D.; Scott, L.J. Riociguat: First Global Approval. Drugs 2013, 73, 1967–1975. [Google Scholar] [CrossRef]
- Traynor, K. FDA Approves Tofacitinib for Rheumatoid Arthritis. Am. J. Health Syst. Pharm. 2012, 69, 2120. [Google Scholar] [CrossRef] [PubMed]
- Kim, Y.; Hong, S. Rh(III)-Catalyzed 7-Azaindole Synthesis via C–H Activation/Annulative Coupling of Aminopyridines with Alkynes. Chem. Commun. 2015, 51, 11202–11205. [Google Scholar] [CrossRef] [PubMed]
- Ackermann, L.; Vicente, R.; Kapdi, A.R. Transition-Metal-Catalyzed Direct Arylation of (Hetero)Arenes by C-H Bond Cleavage. Angew. Chem. Int. Ed. Engl. 2009, 48, 9792–9826. [Google Scholar] [CrossRef] [PubMed]
- Marshall, C.M.; Federice, J.G.; Bell, C.N.; Cox, P.B.; Njardarson, J.T. An Update on the Nitrogen Heterocycle Compositions and Properties of U.S. FDA-Approved Pharmaceuticals (2013–2023). J. Med. Chem. 2024, 67, 11622–11655. [Google Scholar] [CrossRef]
- Motati, D.R.; Amaradhi, R.; Ganesh, T. Azaindole Therapeutic Agents. Bioorg. Med. Chem. 2020, 28, 115830. [Google Scholar] [CrossRef]
- Davis, M.L.; Wakefield, B.J.; Wardell, J.A. Reactions of β-(Lithiomethyl)Azines with Nitriles as a Route to Pyrrolo-Pyridines, -Quinolines, -Pyrazines, -Quinoxalines and -Pyrimidines. Tetrahedron 1992, 48, 939–952. [Google Scholar] [CrossRef]
- Bartoli, G.; Palmieri, G.; Bosco, M.; Dalpozzo, R. The Reaction of Vinyl Grignard Reagents with 2-Substituted Nitroarenes: A New Approach to the Synthesis of 7-Substituted Indoles. Tetrahedron Lett. 1989, 30, 2129–2132. [Google Scholar] [CrossRef]
- Zhang, Z.; Yang, Z.; Meanwell, N.A.; Kadow, J.F.; Wang, T. A General Method for the Preparation of 4- and 6-Azaindoles. J. Org. Chem. 2002, 67, 2345–2347. [Google Scholar] [CrossRef]
- Regueiro-Ren, A.; Xue, Q.M.; Swidorski, J.J.; Gong, Y.-F.; Mathew, M.; Parker, D.D.; Yang, Z.; Eggers, B.; D’Arienzo, C.; Sun, Y.; et al. Inhibitors of Human Immunodeficiency Virus Type 1 (HIV-1) Attachment. 12. Structure–Activity Relationships Associated with 4-Fluoro-6-Azaindole Derivatives Leading to the Identification of 1-(4-Benzoylpiperazin-1-Yl)-2-(4-Fluoro-7-[1,2,3]Triazol-1-Yl-1H-Pyrrolo[2,3-c]Pyridin-3-Yl)Ethane-1,2-Dione (BMS-585248). J. Med. Chem. 2013, 56, 1656–1669. [Google Scholar] [CrossRef]
- Lee, H.-Y.; Pan, S.-L.; Su, M.-C.; Liu, Y.-M.; Kuo, C.-C.; Chang, Y.-T.; Wu, J.-S.; Nien, C.-Y.; Mehndiratta, S.; Chang, C.-Y.; et al. Furanylazaindoles: Potent Anticancer Agents in Vitro and in Vivo. J. Med. Chem. 2013, 56, 8008–8018. [Google Scholar] [CrossRef]
- Kim, H.; Shin, K.; Chang, S. Iridium-Catalyzed C–H Amination with Anilines at Room Temperature: Compatibility of Iridacycles with External Oxidants. J. Am. Chem. Soc. 2014, 136, 5904–5907. [Google Scholar] [CrossRef]
- Radix, S.; Hallé, F.; Mahiout, Z.; Teissonnière, A.; Bouchez, G.; Auberger, L.; Barret, R.; Lomberget, T. A Journey through Hemetsberger–Knittel, Leimgruber–Batcho and Bartoli Reactions: Access to Several Hydroxy 5- and 6-Azaindoles. Helv. Chim. Acta 2022, 105, e202100211. [Google Scholar] [CrossRef]
- Roy, P.J.; Dufresne, C.; Lachance, N.; Leclerc, J.-P.; Boisvert, M.; Wang, Z.; Leblanc, Y. The Hemetsberger-Knittel Synthesis of Substituted 5-, 6-, and 7-Azaindoles. Synthesis 2005, 2005, 2751–2757. [Google Scholar] [CrossRef]
- Zak, M.; Yuen, P.; Liu, X.; Patel, S.; Sampath, D.; Oeh, J.; Liederer, B.M.; Wang, W.; O’Brien, T.; Xiao, Y.; et al. Minimizing CYP2C9 Inhibition of Exposed-Pyridine NAMPT (Nicotinamide Phosphoribosyltransferase) Inhibitors. J. Med. Chem. 2016, 59, 8345–8368. [Google Scholar] [CrossRef] [PubMed]
- Bonnamour, J.; Bolm, C. Iron(II) Triflate as a Catalyst for the Synthesis of Indoles by Intramolecular C−H Amination. Org. Lett. 2011, 13, 2012–2014. [Google Scholar] [CrossRef] [PubMed]
- Yugandar, S.; Konda, S.; Ila, H. Amine Directed Pd(II)-Catalyzed C–H Activation-Intramolecular Amination of N-Het(Aryl)/Acyl Enaminonitriles and Enaminones: An Approach towards Multisubstituted Indoles and Heterofused Pyrroles. J. Org. Chem. 2016, 81, 2035–2052. [Google Scholar] [CrossRef]
- Ferretti, F.; EL-Atawy, M.A.; Muto, S.; Hagar, M.; Gallo, E.; Ragaini, F. Synthesis of Indoles by Palladium-Catalyzed Reductive Cyclization of β-Nitrostyrenes with Carbon Monoxide as the Reductant. Eur. J. Org. Chem. 2015, 2015, 5712–5715. [Google Scholar] [CrossRef]
- Gassman, P.G.; Van Bergen, T.J.; Gilbert, D.P.; Cue, B.W. General Method for the Synthesis of Indoles. J. Am. Chem. Soc. 1974, 96, 5495–5508. [Google Scholar] [CrossRef]
- Findlay, A.D.; Turner, C.I.; Deodhar, M.; Foot, J.S.; Jarolimek, W.; Zhou, W.; Robertson, A.D. Indole and Azaindole Haloallylamine Derivative Inhibitors of Lysyl Oxidases and Uses Thereof 2017. WO 2017/136871 A1, 10 February 2017. [Google Scholar]
- Sajjadifar, S.; Vahedi, H.; Massoudi, A.; Louie, O. New 3H-Indole Synthesis by Fischer’s Method. Part I. Molecules 2010, 15, 2491–2498. [Google Scholar] [CrossRef]
- Jeanty, M.; Blu, J.; Suzenet, F.; Guillaumet, G. Synthesis of 4- and 6-Azaindoles via the Fischer Reaction. Org. Lett. 2009, 11, 5142–5145. [Google Scholar] [CrossRef] [PubMed]
- Thomae, D.; Jeanty, M.; Coste, J.; Guillaumet, G.; Suzenet, F. Extending the Scope of the Aza-Fischer Synthesis of 4- and 6-Azaindoles. Eur. J. Org. Chem. 2013, 2013, 3328–3336. [Google Scholar] [CrossRef]
- Alekseyev, R.S.; Amirova, S.R.; Kabanova, E.V.; Terenin, V.I. The Fischer Reaction in the Synthesis of 2,3-Disubstituted 7-Azaindoles*. Chem. Heterocycl. Comp. 2014, 50, 1305–1315. [Google Scholar] [CrossRef]
- Alekseyev, R.S.; Amirova, S.R.; Terenin, V.I. Synthesis of 5-Chloro-7-Azaindoles by Fischer Reaction. Chem. Heterocycl. Comp. 2017, 53, 196–206. [Google Scholar] [CrossRef]
- Inman, M.; Carbone, A.; Moody, C.J. Two-Step Route to Indoles and Analogues from Haloarenes: A Variation on the Fischer Indole Synthesis. J. Org. Chem. 2012, 77, 1217–1232. [Google Scholar] [CrossRef]
- Beveridge, R.E.; Gerstenberger, B.S. A Direct Copper-Catalyzed Route to Pyrrolo-Fused Heterocycles from Boronic Acids. Tetrahedron Lett. 2012, 53, 564–569. [Google Scholar] [CrossRef]
- Santos, A.S.; Martins, M.M.; Mortinho, A.C.; Silva, A.M.S.; Marques, M.M.B. Exploring the Reactivity of Halogen-Free Aminopyridines in One-Pot Palladium-Catalyzed C–N Cross-Coupling/C–H Functionalization. Tetrahedron Lett. 2020, 61, 152303. [Google Scholar] [CrossRef]
- Wang, D.; Hu, J.; Zhao, J.; Shen, M.; Wang, Y.; Yu, P. Transition-Metal-Free Access to 7-Azaindoles. Tetrahedron 2018, 74, 4100–4110. [Google Scholar] [CrossRef]
- Grimm, Z.; Randolph, C.; Buravov, O.; Mykhailiuk, P.; Kürti, L. Harnessing O-Vinylhydroxylamines for Ring-Annulation: A Scalable Approach to Azaindolines and Azaindoles. J. Am. Chem. Soc. 2025, 147, 27148–27154. [Google Scholar] [CrossRef]
- Li, M.-M.; Huang, H.; Pu, Y.; Tian, W.; Deng, Y.; Lu, J. A Close Look into the Biological and Synthetic Aspects of Fused Pyrazole Derivatives. Eur. J. Med. Chem. 2022, 243, 114739. [Google Scholar] [CrossRef]
- Ghofrani, H.-A.; Galiè, N.; Grimminger, F.; Grünig, E.; Humbert, M.; Jing, Z.-C.; Keogh, A.M.; Langleben, D.; Kilama, M.O.; Fritsch, A.; et al. Riociguat for the Treatment of Pulmonary Arterial Hypertension. N. Engl. J. Med. 2013, 369, 330–340. [Google Scholar] [CrossRef]
- Follmann, M.; Ackerstaff, J.; Redlich, G.; Wunder, F.; Lang, D.; Kern, A.; Fey, P.; Griebenow, N.; Kroh, W.; Becker-Pelster, E.-M.; et al. Discovery of the Soluble Guanylate Cyclase Stimulator Vericiguat (BAY 1021189) for the Treatment of Chronic Heart Failure. J. Med. Chem. 2017, 60, 5146–5161. [Google Scholar] [CrossRef] [PubMed]
- Hu, J.; Xu, H.; Nie, P.; Xie, X.; Nie, Z.; Rao, Y. Synthesis of Indazoles and Azaindazoles by Intramolecular Aerobic Oxidative C–N Coupling under Transition-Metal-Free Conditions. Chem. A Eur. J. 2014, 20, 3932–3938. [Google Scholar] [CrossRef]
- Mojzych, M.; Kubacka, M.; Mogilski, S.; Filipek, B.; Fornal, E. Relaxant Effects of Selected Sildenafil Analogues in the Rat Aorta. J. Enzym. Inhib. Med. Chem. 2016, 31, 381–388. [Google Scholar] [CrossRef][Green Version]
- Mojzych, M. Synthesis of Phenylhydrazone of 5-Acetyl-3-(Methylsulfanyl)-1,2,4-Triazine and 3-Methyl-5-(Methylsulfanyl)-1-Phenyl-1H-Pyrazolo[4,3-e][1,2,4]Triazine from Pivotal Intermediate. Molbank 2005, 2005, M404. [Google Scholar] [CrossRef]
- Mojzych, M.; Rykowski, A. Transformations of Phenylhydrazones of 5-Acyl-1,2,4-Triazines to Pyrazolo[4,3-e][1,2,4]Triazines or 4-Cyanopyrazole. J. Heterocycl. Chem. 2007, 44, 1003–1007. [Google Scholar] [CrossRef]
- Mojzych, M.; Tarasiuk, P.; Kotwica-Mojzych, K.; Rafiq, M.; Seo, S.-Y.; Nicewicz, M.; Fornal, E. Synthesis of Chiral Pyrazolo[4,3-e][1,2,4]Triazine Sulfonamides with Tyrosinase and Urease Inhibitory Activity. J. Enzym. Inhib. Med. Chem. 2017, 32, 99–105. [Google Scholar] [CrossRef]
- Filák, L.; Rokob, T.A.; Vaskó, G.Á.; Egyed, O.; Gömöry, Á.; Riedl, Z.; Hajós, G. A New Cyclization to Fused Pyrazoles Tunable for Pericyclic or Pseudopericyclic Route: An Experimental and Theoretical Study. J. Org. Chem. 2008, 73, 3900–3906. [Google Scholar] [CrossRef]
- Wang, T.; Block, M.A.; Cowen, S.; Davies, A.M.; Devereaux, E.; Gingipalli, L.; Johannes, J.; Larsen, N.A.; Su, Q.; Tucker, J.A.; et al. Discovery of Azabenzimidazole Derivatives as Potent, Selective Inhibitors of TBK1/IKKε Kinases. Bioorganic Med. Chem. Lett. 2012, 22, 2063–2069. [Google Scholar] [CrossRef] [PubMed]
- Mambwe, D.; Coertzen, D.; Leshabane, M.; Mulubwa, M.; Njoroge, M.; Gibhard, L.; Girling, G.; Wicht, K.J.; Lee, M.C.S.; Wittlin, S.; et al. hERG, Plasmodium Life Cycle, and Cross Resistance Profiling of New Azabenzimidazole Analogues of Astemizole. ACS Med. Chem. Lett. 2024, 15, 463–469. [Google Scholar] [CrossRef]
- Nisha; Bhargava, G.; Kumar, Y. Copper(I)-Catalyzed Regioselective C-H Amination of N-Pyridyl Imines Using Azidotrimethylsilane and TBHP: A One-Pot, Domino Approach to Substituted Imidazo[4, 5-b]Pyridines. ChemistrySelect 2017, 2, 7827–7830. [Google Scholar] [CrossRef]
- Arnold, E.P.; Mondal, P.K.; Schmitt, D.C. Oxidative Cyclization Approach to Benzimidazole Libraries. ACS Comb. Sci. 2020, 22, 1–5. [Google Scholar] [CrossRef]
- Qin, H.; Odilov, A.; Bonku, E.M.; Zhu, F.; Hu, T.; Liu, H.; Aisa, H.A.; Shen, J. Facile Synthesis of Benzimidazoles via N-Arylamidoxime Cyclization. ACS Omega 2022, 7, 45678–45687. [Google Scholar] [CrossRef] [PubMed]
- Sirakanyan, S.N.; Hovakimyan, A.A.; Noravyan, A.S. Synthesis, Transformations and Biological Properties of Furo[2,3-b]Pyridines. Russ. Chem. Rev. 2015, 84, 441. [Google Scholar] [CrossRef]
- Wu, Z.; Robinson, R.G.; Fu, S.; Barnett, S.F.; Defeo-Jones, D.; Jones, R.E.; Kral, A.M.; Huber, H.E.; Kohl, N.E.; Hartman, G.D.; et al. Rapid Assembly of Diverse and Potent Allosteric Akt Inhibitors. Bioorganic Med. Chem. Lett. 2008, 18, 2211–2214. [Google Scholar] [CrossRef]
- Wang, D.; Huang, M.; Li, G.; Zheng, S.; Yu, P. Scalable Synthesis of a Tetrasubstituted 7-Azabenzofuran as a Key Intermediate for a Class of Potent HCV NS5B Inhibitors. Tetrahedron 2020, 76, 131642. [Google Scholar] [CrossRef]
- Kitamura, T.; Tsuda, K.; Fujiwara, Y. Novel Heteroaromatic C–H Insertion of Alkylidenecarbenes. A New Entry to Furopyridine Synthesis. Tetrahedron Lett. 1998, 39, 5375–5376. [Google Scholar] [CrossRef]
- Fumagalli, F.; da Silva Emery, F. Charting the Chemical Reactivity Space of 2,3-Substituted Furo[2,3-b]Pyridines Synthesized via the Heterocyclization of Pyridine-N-Oxide Derivatives. J. Org. Chem. 2016, 81, 10339–10347. [Google Scholar] [CrossRef]
- Wang, D.; Shen, M.; Wang, Y.; Hu, J.; Zhao, J.; Yu, P. Access to Furo[2,3-b]Pyridines by Transition-Metal-Free Intramolecular Cyclization of C3-Substituted Pyridine N-Oxides. Asian J. Org. Chem. 2018, 7, 879–882. [Google Scholar] [CrossRef]
- Rateb, N.M.; Abdelaziz, S.H.; Zohdi, H.F. Synthesis and Antimicrobial Evaluation of Some New Thienopyridine, Pyrazolopyridine and Pyridothienopyrimidine Derivatives. J. Sulfur Chem. 2011, 32, 345–354. [Google Scholar] [CrossRef]
- Mohi El-Deen, E.M.; Abd El-Meguid, E.A.; Hasabelnaby, S.; Karam, E.A.; Nossier, E.S. Synthesis, Docking Studies, and In Vitro Evaluation of Some Novel Thienopyridines and Fused Thienopyridine–Quinolines as Antibacterial Agents and DNA Gyrase Inhibitors. Molecules 2019, 24, 3650. [Google Scholar] [CrossRef] [PubMed]
- Ali, E.M.H.; Abdel-Maksoud, M.S.; Oh, C.-H. Thieno[2,3-d]Pyrimidine as a Promising Scaffold in Medicinal Chemistry: Recent Advances. Bioorganic Med. Chem. 2019, 27, 1159–1194. [Google Scholar] [CrossRef] [PubMed]
- Lagardère, P.; Fersing, C.; Masurier, N.; Lisowski, V. Thienopyrimidine: A Promising Scaffold to Access Anti-Infective Agents. Pharmaceuticals 2021, 15, 35. [Google Scholar] [CrossRef] [PubMed]
- Acharya, A.; Kumar, S.V.; Ila, H. Diversity-Oriented Synthesis of Substituted Benzo[b]Thiophenes and Their Hetero-Fused Analogues through Palladium-Catalyzed Oxidative C–H Functionalization/Intramolecular Arylthiolation. Chem. A Eur. J. 2015, 21, 17116–17125. [Google Scholar] [CrossRef]
- Saraiah, B.; Gautam, V.; Acharya, A.; Pasha, M.A.; Hiriyakkanavar, I. One-Pot Synthesis of 2-(Aryl/Alkyl)Amino-3-Cyanobenzo[b]Thiophenes and Their Hetero-Fused Analogues by Pd-Catalyzed Intramolecular Oxidative C–H Functionalization/Arylthiolation. Eur. J. Org. Chem. 2017, 2017, 5679–5688. [Google Scholar] [CrossRef]
- He, R.; Liu, Y.; Feng, Y.; Chen, L.; Huang, Y.; Xie, F.; Li, Y. Access to Thienopyridine and Thienoquinoline Derivatives via Site-Selective C–H Bond Functionalization and Annulation. Org. Lett. 2022, 24, 3167–3172. [Google Scholar] [CrossRef]
- Arshad, M.F.; Alam, A.; Alshammari, A.A.; Alhazza, M.B.; Alzimam, I.M.; Alam, M.A.; Mustafa, G.; Ansari, M.S.; Alotaibi, A.M.; Alotaibi, A.A.; et al. Thiazole: A Versatile Standalone Moiety Contributing to the Development of Various Drugs and Biologically Active Agents. Molecules 2022, 27, 3994. [Google Scholar] [CrossRef]
- Alamshany, Z.M. Design, Synthesis, and Antimicrobial Evaluation of New Antipyrine Derivatives Bearing Thiazolopyridazine and Pyrazolothiazole Scaffolds. Synth. Commun. 2024, 54, 22–40. [Google Scholar] [CrossRef]
- Ibrahim, H.M.; Behbehani, H. The First Q-Tube Based High-Pressure Synthesis of Anti-Cancer Active Thiazolo[4,5-c]Pyridazines via the [4 + 2] Cyclocondensation of 3-Oxo-2-Arylhydrazonopropanals with 4-Thiazolidinones. Sci. Rep. 2020, 10, 6492. [Google Scholar] [CrossRef]
- Nazir, M.S.; Nawaz, A.; Aslam, S.; Ahmad, M.; Zahoor, A.F.; Mohsin, N.U.A. Synthetic Strategies for Thiazolopyridine Derivatives. Synth. Commun. 2023, 53, 519–546. [Google Scholar] [CrossRef]
- Fruit, C.; Turck, A.; Plé, N.; Quéguiner, G. Syntheses of N-Diazinyl Thiocarboxamides and of Thiazolodiazines. Metalation Studies. Diazines XXXIII. J. Heterocycl. Chem. 2002, 39, 1077–1082. [Google Scholar] [CrossRef]
- Nakagawa, T.; Yamaji, M.; Maki, S.; Niwa, H.; Hirano, T. Substituent Effects on Fluorescence Properties of Thiazolo[4,5-b]Pyrazine Derivatives. Photochem. Photobiol. Sci. 2014, 13, 1765–1772. [Google Scholar] [CrossRef]
- Zavarzin, I.V.; Smirnova, N.G.; Yarovenko, V.N.; Krayushkin, M.M. Synthesis of 5-Aminothiazolo[4,5-b]Pyridine-2-Carboxamides. Russ. Chem. Bull. 2004, 53, 1353–1354. [Google Scholar] [CrossRef]
- Wu, D.-Z.; Zhi, Y.-G. An Efficient Method for the Construction of 2-Aminothiazolo[5,4-c]Pyridines via K3[Fe(CN)6] Oxidized SP2 CH Functionalization. Tetrahedron 2016, 72, 8610–8616. [Google Scholar] [CrossRef]
- Shukla, R.; Singh, A.; Sonar, P.; Mishra, M.; Saraf, S. Schiff Bases of Benzothiazol-2-Ylamine and Thiazolo[5,4-b] Pyridin-2-Ylamine as Anticonvulsants: Synthesis, Characterization and Toxicity Profiling. Cent. Nerv. Syst. Agents Med. Chem. 2016, 16, 240–248. [Google Scholar] [CrossRef]
- Oh, K.; Kim, J. Copper-Catalyzed Aerobic Oxidation of Amines to Benzothiazoles via Cross Coupling of Amines and Arene Thiolation Sequence. Adv. Synth. Catal. 2020, 362, 3576–3582. [Google Scholar] [CrossRef]
- Xing, Q.; Ma, Y.; Xie, H.; Xiao, F.; Zhang, F.; Deng, G.-J. Iron-Promoted Three-Component 2-Substituted Benzothiazole Formation via Nitroarene Ortho-C–H Sulfuration with Elemental Sulfur. J. Org. Chem. 2019, 84, 1238–1246. [Google Scholar] [CrossRef]
- Qian, X.-Y.; Li, S.-Q.; Song, J.; Xu, H.-C. TEMPO-Catalyzed Electrochemical C–H Thiolation: Synthesis of Benzothiazoles and Thiazolopyridines from Thioamides. ACS Catal. 2017, 7, 2730–2734. [Google Scholar] [CrossRef]
- Folgueiras-Amador, A.A.; Qian, X.-Y.; Xu, H.-C.; Wirth, T. Catalyst- and Supporting-Electrolyte-Free Electrosynthesis of Benzothiazoles and Thiazolopyridines in Continuous Flow. Chemistry 2018, 24, 487–491. [Google Scholar] [CrossRef] [PubMed]
- Inamoto, K.; Hasegawa, C.; Kawasaki, J.; Hiroya, K.; Doi, T. Use of Molecular Oxygen as a Reoxidant in the Synthesis of 2-Substituted Benzothiazoles via Palladium-Catalyzed C-H Functionalization/Intramolecular C-S Bond Formation. Adv. Synth. Catal. 2010, 352, 2643–2655. [Google Scholar] [CrossRef]
- Inamoto, K.; Nozawa, K.; Kondo, Y. Palladium-Catalyzed C-H Cyclization in Water: A Milder Route to 2-Arylbenzothiazoles. Synlett 2012, 23, 1678–1682. [Google Scholar] [CrossRef]
Disclaimer/Publisher’s Note: The statements, opinions and data contained in all publications are solely those of the individual author(s) and contributor(s) and not of MDPI and/or the editor(s). MDPI and/or the editor(s) disclaim responsibility for any injury to people or property resulting from any ideas, methods, instructions or products referred to in the content. |
© 2025 by the authors. Licensee MDPI, Basel, Switzerland. This article is an open access article distributed under the terms and conditions of the Creative Commons Attribution (CC BY) license (https://creativecommons.org/licenses/by/4.0/).
































