Microsleep versus Sleep Onset Latency during Maintenance Wakefulness Tests: Which One Is the Best Marker of Sleepiness?
Abstract
1. Introduction
2. Result
2.1. Population
2.2. Results of Questionnaires and Polysomnography Recordings
2.3. MSs Description
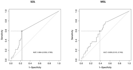
2.4. MWT Results
3. Discussion
3.1. MSs as Physiological Phenomena While Falling Asleep
3.2. MS in the Context of MWT
3.3. Correlation between MS and Subjective Sleepiness
3.4. Strengths and Limitations
4. Materials and Methods
4.1. Study Population
4.2. Clinical Data
4.3. Recordings
4.3.1. Recording Procedure
4.3.2. Recording Analysis
- Polysomnography: usual sleep parameters were collected—total sleep time (min), sleep efficiency (%), sleep onset latency (SOL), time spent in N3 stage (min, %), time spent in REM sleep (min, %), apnea-hypopnea index (n/h), arousal index (n/h), and time spent with SaO2 < 90% (min).
- MWT: for each patient, the four tests were scored by two independent scorers (scorer 1: LPD and scorer 2: TP) with the intervention of a third scorer to reach a consensus in case of disagreement (scorer 3: HB). The scoring included:
- -
- SOL defined as the time until the first epoch of whatever sleep stage, i.e., at least 15 s of cumulative sleep on a 30 s epoch. If the patient did not fall asleep, SOL was considered to be 40 min.
- -
- The occurrence of one or more MSs during the entire test (in case the patient did not fall asleep) or until sleep onset. MSs were defined by the appearance of theta or delta waves with a disappearance of alpha in the absence of eye opening, sometimes associated with slow eye movements, lasting from 3 to 15 s. The latency, duration, number, and EEG description of the MSs were collected. In the absence of MS, the sleep latency considered for the test was SOL (or 40 min in the absence of sleep).
4.4. Statistical Analysis
5. Conclusions
Author Contributions
Funding
Institutional Review Board Statement
Informed Consent Statement
Data Availability Statement
Conflicts of Interest
References
- Ohayon, M.M. From wakefulness to excessive sleepiness: What we know and still need to know. Sleep Med. Rev. 2008, 12, 129–141. [Google Scholar] [CrossRef]
- Zhou, J.; Camacho, M.; Tang, X.; Kushida, C.A. A review of neurocognitive function and obstructive sleep apnea with or without daytime sleepiness. Sleep Med. 2016, 23, 99–108. [Google Scholar] [CrossRef]
- Dinges. An overview of sleepiness and accidents. J. Sleep Res. 1995, 4, 4–14. [Google Scholar] [CrossRef]
- Bioulac, S.; Micoulaud-Franchi, J.A.; Arnaud, M.; Sagaspe, P.; Moore, N.; Salvo, F.; Philip, P. Risk of Motor Vehicle Accidents Related to Sleepiness at the Wheel: A Systematic Review and Meta-Analysis. Sleep 2017, 40. [Google Scholar] [CrossRef] [PubMed]
- Aldrich, M.S. Automobile accidents in patients with sleep disorders. Sleep 1989, 12, 487–494. [Google Scholar] [CrossRef]
- Lyznicki, J.M.; Doege, T.C.; Davis, R.M.; Williams, M.A. Sleepiness, driving, and motor vehicle crashes. Council on Scientific Affairs, American Medical Association. JAMA 1998, 279, 1908–1913. [Google Scholar] [CrossRef]
- Philip, P.; Sagaspe, P.; Lagarde, E.; Leger, D.; Ohayon, M.M.; Bioulac, B.; Boussuge, J.; Taillard, J. Sleep disorders and accidental risk in a large group of regular registered highway drivers. Sleep Med. 2010, 11, 973–979. [Google Scholar] [CrossRef] [PubMed]
- Liu, S.-Y.; Perez, M.A.; Lau, N. The Impact of Sleep Disorders on Driving Safety-Findings from the SHRP 2 Naturalistic Driving Study. Sleep 2018. [Google Scholar] [CrossRef]
- Cluydts, R.; De Valck, E.; Verstraeten, E.; Theys, P. Daytime sleepiness and its evaluation. Sleep Med. Rev. 2002, 6, 83–96. [Google Scholar] [CrossRef]
- Schreier, D.R.; Roth, C.; Mathis, J. Subjective perception of sleepiness in a driving simulator is different from that in the Maintenance of Wakefulness Test. Sleep Med. 2015, 16, 994–998. [Google Scholar] [CrossRef] [PubMed]
- Richardson, G.S.; Carskadon, M.A.; Flagg, W.; Van den Hoed, J.; Dement, W.C.; Mitler, M.M. Excessive daytime sleepiness in man: Multiple sleep latency measurement in narcoleptic and control subjects. Electroencephalogr. Clin. Neurophysiol. 1978, 45, 621–627. [Google Scholar] [CrossRef]
- Mitler, M.M.; Gujavarty, K.S.; Browman, C.P. Maintenance of wakefulness test: A polysomnographic technique for evaluation treatment efficacy in patients with excessive somnolence. Electroencephalogr. Clin. Neurophysiol. 1982, 53, 658–661. [Google Scholar] [CrossRef]
- Wise, M.S. Objective measures of sleepiness and wakefulness: Application to the real world? J. Clin. Neurophysiol. 2006, 23, 39–49. [Google Scholar] [CrossRef]
- Chervin, R.D.; Aldrich, M.S. The Epworth Sleepiness Scale may not reflect objective measures of sleepiness or sleep apnea. Neurology 1999, 52, 125–131. [Google Scholar] [CrossRef]
- Sangal, R.B.; Sangal, J.M.; Belisle, C. Subjective and objective indices of sleepiness (ESS and MWT) are not equally useful in patients with sleep apnea. Clin. Electroencephalogr. 1999, 30, 73–75. [Google Scholar] [CrossRef]
- Bonnet, M.H. ACNS clinical controversy: MSLT and MWT have limited clinical utility. J. Clin. Neurophysiol. 2006, 23, 50–58. [Google Scholar] [CrossRef]
- Littner, M.R.; Kushida, C.; Wise, M.; Davila, D.G.; Morgenthaler, T.; Lee-Chiong, T.; Hirshkowitz, M.; Daniel, L.L.; Bailey, D.; Berry, R.B.; et al. Practice parameters for clinical use of the multiple sleep latency test and the maintenance of wakefulness test. Sleep 2005, 28, 113–121. [Google Scholar] [CrossRef]
- Doghramji, K.; Mitler, M.M.; Sangal, R.B.; Shapiro, C.; Taylor, S.; Walsleben, J.; Belisle, C.; Erman, M.K.; Hayduk, R.; Hosn, R.; et al. A normative study of the maintenance of wakefulness test (MWT). Electroencephalogr. Clin. Neurophysiol. 1997, 103, 554–562. [Google Scholar] [CrossRef]
- Mitler, M.M.; Doghramji, K.; Shapiro, C. The maintenance of wakefulness test: Normative data by age. J. Psychosom. Res. 2000, 49, 363–365. [Google Scholar] [CrossRef]
- Banks, S.; Barnes, M.; Tarquinio, N.; Pierce, R.J.; Lack, L.C.; McEvoy, R.D. The maintenance of wakefulness test in normal healthy subjects. Sleep 2004, 27, 799–802. [Google Scholar]
- Arand, D.; Bonnet, M.; Hurwitz, T.; Mitler, M.; Rosa, R.; Sangal, R.B. The clinical use of the MSLT and MWT. Sleep 2005, 28, 123–144. [Google Scholar] [CrossRef] [PubMed]
- Sagaspe, P.; Taillard, J.; Chaumet, G.; Guilleminault, C.; Coste, O.; Moore, N.; Bioulac, B.; Philip, P. Maintenance of wakefulness test as a predictor of driving performance in patients with untreated obstructive sleep apnea. Sleep 2007, 30, 327–330. [Google Scholar]
- Philip, P.; Chaufton, C.; Taillard, J.; Sagaspe, P.; Leger, D.; Raimondi, M.; Vakulin, A.; Capelli, A. Maintenance of Wakefulness Test scores and driving performance in sleep disorder patients and controls. Int J. Psychophysiol. 2013, 89, 195–202. [Google Scholar] [CrossRef] [PubMed]
- Philip, P.; Sagaspe, P.; Taillard, J.; Chaumet, G.; Bayon, V.; Coste, O.; Bioulac, B.; Guilleminault, C. Maintenance of Wakefulness Test, obstructive sleep apnea syndrome, and driving risk. Ann. Neurol. 2008, 64, 410–416. [Google Scholar] [CrossRef]
- Guilleminault, C.; Phillips, R.; Dement, W.C. A syndrome of hypersomnia with automatic behavior. Electroencephalogr. Clin. Neurophysiol. 1975, 38, 403–413. [Google Scholar] [CrossRef]
- Boyle, L.N.; Tippin, J.; Paul, A.; Rizzo, M. Driver Performance in the Moments Surrounding a Microsleep. Transp. Res. Part. F Traffic Psychol. Behav. 2008, 11, 126–136. [Google Scholar] [CrossRef]
- Risser, M.R.; Ware, J.C.; Freeman, F.G. Driving simulation with EEG monitoring in normal and obstructive sleep apnea patients. Sleep 2000, 23, 393–398. [Google Scholar]
- Wierwille, W.W.; Ellsworth, L.A. Evaluation of driver drowsiness by trained raters. Accid. Anal. Prev. 1994, 26, 571–581. [Google Scholar] [CrossRef]
- Harrison, Y.; Horne, J.A. Occurrence of ‘microsleeps’ during daytime sleep onset in normal subjects. Electroencephalogr. Clin. Neurophysiol. 1996, 98, 411–416. [Google Scholar] [CrossRef]
- Tirunahari, V.L.; Zaidi, S.A.; Sharma, R.; Skurnick, J.; Ashtyani, H. Microsleep and sleepiness: A comparison of multiple sleep latency test and scoring of microsleep as a diagnostic test for excessive daytime sleepiness. Sleep Med. 2003, 4, 63–67. [Google Scholar] [CrossRef]
- Blaivas, A.J.; Patel, R.; Hom, D.; Antigua, K.; Ashtyani, H. Quantifying microsleep to help assess subjective sleepiness. Sleep Med. 2007, 8, 156–159. [Google Scholar] [CrossRef]
- Hertig-Godeschalk, A.; Skorucak, J.; Malafeev, A.; Achermann, P.; Mathis, J.; Schreier, D.R. Microsleep episodes in the borderland between wakefulness and sleep. Sleep 2020, 43. [Google Scholar] [CrossRef]
- Morrone, E.; D’Artavilla Lupo, N.; Trentin, R.; Pizza, F.; Risi, I.; Arcovio, S.; Fanfulla, F. Microsleep as a marker of sleepiness in obstructive sleep apnea patients. J. Sleep Res. 2020, 29, e12882. [Google Scholar] [CrossRef]
- Mitterling, T.; Hogl, B.; Schonwald, S.V.; Hackner, H.; Gabelia, D.; Biermayr, M.; Frauscher, B. Sleep and Respiration in 100 Healthy Caucasian Sleepers--A Polysomnographic Study According to American Academy of Sleep Medicine Standards. Sleep 2015, 38, 867–875. [Google Scholar] [CrossRef]
- Peiris, M.T.R.; Jones, R.D.; Davidson, P.R.; Carroll, G.J.; Bones, P.J. Frequent lapses of responsiveness during an extended visuomotor tracking task in non-sleep-deprived subjects. J. Sleep Res. 2006, 15, 291–300. [Google Scholar] [CrossRef]
- Sarasso, S.; Pigorini, A.; Proserpio, P.; Gibbs, S.A.; Massimini, M.; Nobili, L. Fluid boundaries between wake and sleep: Experimental evidence from Stereo-EEG recordings. Arch. Ital. Biol. 2014, 152, 169–177. [Google Scholar] [CrossRef] [PubMed]
- Magnin, M.; Rey, M.; Bastuji, H.; Guillemant, P.; Mauguiere, F.; Garcia-Larrea, L. Thalamic deactivation at sleep onset precedes that of the cerebral cortex in humans. Proc. Natl. Acad. Sci. USA 2010, 107, 3829–3833. [Google Scholar] [CrossRef]
- Sarasso, S.; Proserpio, P.; Pigorini, A.; Moroni, F.; Ferrara, M.; De Gennaro, L.; De Carli, F.; Lo Russo, G.; Massimini, M.; Nobili, L. Hippocampal sleep spindles preceding neocortical sleep onset in humans. NeuroImage 2014, 86, 425–432. [Google Scholar] [CrossRef]
- Vyazovskiy, V.V.; Olcese, U.; Hanlon, E.C.; Nir, Y.; Cirelli, C.; Tononi, G. Local sleep in awake rats. Nature 2011, 472, 443–447. [Google Scholar] [CrossRef]
- Nir, Y.; Andrillon, T.; Marmelshtein, A.; Suthana, N.; Cirelli, C.; Tononi, G.; Fried, I. Selective neuronal lapses precede human cognitive lapses following sleep deprivation. Nat. Med. 2017, 23, 1474–1480. [Google Scholar] [CrossRef]
- Engleman, H.M.; Hirst, W.S.; Douglas, N.J. Under reporting of sleepiness and driving impairment in patients with sleep apnoea/hypopnoea syndrome. J. Sleep Res. 1997, 6, 272–275. [Google Scholar] [CrossRef] [PubMed]
- Fong, S.Y.; Ho, C.K.; Wing, Y.K. Comparing MSLT and ESS in the measurement of excessive daytime sleepiness in obstructive sleep apnoea syndrome. J. Psychosom. Res. 2005, 58, 55–60. [Google Scholar] [CrossRef] [PubMed]
- Benbadis, S.R.; Mascha, E.; Perry, M.C.; Wolgamuth, B.R.; Smolley, L.A.; Dinner, D.S. Association between the Epworth sleepiness scale and the multiple sleep latency test in a clinical population. Ann. Intern. Med. 1999, 130, 289–292. [Google Scholar] [CrossRef] [PubMed]
- Furuta, H.; Kaneda, R.; Kosaka, K.; Arai, H.; Sano, J.; Koshino, Y. Epworth Sleepiness Scale and sleep studies in patients with obstructive sleep apnea syndrome. Psychiatry Clin. Neurosci. 1999, 53, 301–302. [Google Scholar] [CrossRef]
- Peter-Derex, L.; Subtil, F.; Lemaitre, G.; Ricordeau, F.; Bastuji, H.; Bridoux, A.; Onen, F.; Onen, S.H. Observation and Interview-based Diurnal Sleepiness Inventory for measurement of sleepiness in patients referred for narcolepsy or idiopathic hypersomnia. J. Clin. Sleep Med. 2020, 16, 1507–1515. [Google Scholar] [CrossRef]
- Peiris, M.T.; Davidson, P.R.; Bones, P.J.; Jones, R.D. Detection of lapses in responsiveness from the EEG. J. Neural. Eng. 2011, 8, 016003. [Google Scholar] [CrossRef]
- Moller, H.J.; Kayumov, L.; Bulmash, E.L.; Nhan, J.; Shapiro, C.M. Simulator performance, microsleep episodes, and subjective sleepiness: Normative data using convergent methodologies to assess driver drowsiness. J. Psychosom. Res. 2006, 61, 335–342. [Google Scholar] [CrossRef]
- Buckley, R.J.; Helton, W.S.; Innes, C.R.H.; Dalrymple-Alford, J.C.; Jones, R.D. Attention lapses and behavioural microsleeps during tracking, psychomotor vigilance, and dual tasks. Conscious. Cogn. 2016, 45, 174–183. [Google Scholar] [CrossRef]
- Skorucak, J.; Hertig-Godeschalk, A.; Achermann, P.; Mathis, J.; Schreier, D.R. Automatically Detected Microsleep Episodes in the Fitness-to-Drive Assessment. Front. Neurosci. 2020, 14, 8. [Google Scholar] [CrossRef]
- Virtanen, I.; Jarvinen, J.; Anttalainen, U. Can real-life driving ability be predicted by the Maintenance of Wakefulness Test? Traffic Inj. Prev. 2019, 20, 601–606. [Google Scholar] [CrossRef]
- Akerstedt, T.; Gillberg, M. Subjective and objective sleepiness in the active individual. Int. J. Neurosci. 1990, 52, 29–37. [Google Scholar] [CrossRef]
- Berry, R.B.; Brooks, R.; Gamaldo, C.E.; Harding, S.M.; Lloyd, R.; Marcus, C.L.; Vaughn, B.V. The AASM Manual for the Scoring of Sleep and Associated Events: Rules, Terminology and Technical Specifications; Version 2.4; American Academy of Sleep Medicine: Darien, IL, USA, 2017; Available online: www.aasmnet.org (accessed on 10 April 2021).
- Duce, B.; Rego, C.; Milosavljevic, J.; Hukins, C. The AASM recommended and acceptable EEG montages are comparable for the staging of sleep and scoring of EEG arousals. J. Clin. Sleep Med. 2014, 10, 803–809. [Google Scholar] [CrossRef]
- Ruehland, W.R.; O’Donoghue, F.J.; Pierce, R.J.; Thornton, A.T.; Singh, P.; Copland, J.M.; Stevens, B.; Rochford, P.D. The 2007 AASM recommendations for EEG electrode placement in polysomnography: Impact on sleep and cortical arousal scoring. Sleep 2011, 34, 73–81. [Google Scholar] [CrossRef] [PubMed]
- Skorucak, J.; Hertig-Godeschalk, A.; Schreier, D.R.; Malafeev, A.; Mathis, J.; Achermann, P. Automatic detection of microsleep episodes with feature-based machine learning. Sleep 2020, 43. [Google Scholar] [CrossRef] [PubMed]
- Johns, M.W. A new method for measuring daytime sleepiness: The Epworth sleepiness scale. Sleep 1991, 14, 540–545. [Google Scholar] [CrossRef] [PubMed]
- Pichot, P.; Brun, J.P. Brief self-evaluation questionnaire for depressive, asthenic and anxious dimensions. Ann. Med. Psychol. 1984, 142, 862–865. [Google Scholar]
- Beck, A.T.; Ward, C.H.; Mendelson, M.; Mock, J.; Erbaugh, J. An inventory for measuring depression. Arch. Gen. Psychiatry 1961, 4, 561–571. [Google Scholar] [CrossRef] [PubMed]
- Onen, F.; Lalanne, C.; Pak, V.M.; Gooneratne, N.; Falissard, B.; Onen, S.-H. A Three-Item Instrument for Measuring Daytime Sleepiness: The Observation and Interview Based Diurnal Sleepiness Inventory (ODSI). J. Clin. Sleep Med. 2016, 12, 505–512. [Google Scholar] [CrossRef]
- Ellis, B.W.; Johns, M.W.; Lancaster, R.; Raptopoulos, P.; Angelopoulos, N.; Priest, R.G. The St. Mary’s Hospital sleep questionnaire: A study of reliability. Sleep 1981, 4, 93–97. [Google Scholar] [CrossRef]




| Mean ± SD (min-max) or n (%) | |
| Age | |
| Gender (%F) Diagnosis (OSA, OSA + narcolepsy, OSA + hypersomnia, narcolepsy) % | 45.3 ± 10.8 (19.0–71.0) 17% 86.7%, 3.1%, 1%, 9.2% |
| BMI (kg/m2) (N = 98) | 30.6 ± 6.7 (18.8–57.8) |
| Medical past | |
| Tobacco (N = 93) | 26 (28%) |
| Hypertension (N = 95) | 23 (24.2%) |
| Stroke (N = 93) | 2 (2.1%) |
| Myocardial infarction (N = 94) | 1 (1.1%) |
| Lower extremity arterial disease (N = 94) | 0 (0%) |
| Depression (N = 93) | 20 (21.5%) |
| Daily wake-promoting drinks consumption (coffee (N = 92), tea (N = 93), others (N = 93)) | 76 (82.6%), 38 (40.9%), 28 (31.1%) |
| Sleep duration | |
| Sleep duration on work days (h) (N = 80) | 7.2 ± 1.2 (4.0–10.5) |
| Sleep duration on holidays (h) (N = 91) | 8.9 ± 1.8 (6.0–17.0) |
| Sleep debt (h) (N = 78) | 1.9 ± 2.0 (1.0–10.7) |
| Questionnaires | |
| Epworth Sleepiness Scale (N = 95) | 8.0 ± 4.9 (0.0–20.0) |
| Pichot fatigue scale (N = 89) | 8.3 ± 7.3 (0.0–29.0) |
| ODSI (N = 80) | 6.3 ± 5.9 (0.0–22.0) |
| BDI (N = 85) | 6.0 ± 6.3 (0.0–35.0) |
| Median (Q1–Q3) | |
|---|---|
| Total sleep time (min) | 410.0 (366.0–453.8) |
| Sleep latency (min) | 22.4 (12.3–35.9) |
| Wake after sleep onset (min) | 47.0 (26.3–84.3) |
| Sleep efficiency (%) | 81.4 (70.4–87.8) |
| Time spent in N3 sleep (min and %) | 87.0 (64.3–113.5) 21.6 (16.5–30.6) |
| Time spent in REM sleep (min and %) | 86.0 (60.3–111.0) 20.0 (16.2–24.8) |
| Arousal index (n/h) | 21.4 (15.0–28.6) |
| AHI (n/h) | 8.2 (3.1–18.0) |
| AHI + RERA (n/h) | 11.8 (4.9–22.0) |
| Time spent with SaO2 < 90% (s) | 0.00 (0.0–27.8) |
| Group 1 (N = 51) Normal SOL and MSL (> 33 min) | Group 2 (N = 31) SOL > 33 min but MSL ≤ 33 min | Group 3 (N = 16) SOL ≤ 33 min | p-Value | |
|---|---|---|---|---|
| Age (years) | 48.0 (40.0–53.8) | 44.0 (29.8–51.0) | 50.5 (43.8–56.3) | 0.04 |
| Gender (% male) | 90.0% | 75.0% | 75.0% | 0.14 |
| BMI (kg/m2) | 30.3 (26.3–33.7) | 28.9 (25.9–32.6) | 30.2 (27.5–37.3) | 0.57 |
| Epworth Sleepiness Scale | 7.0 (4.0–10.0) | 7.0 (4.0–13.0) | 9.0 (7.0–14.0) | 0.13 |
| % abnormal | 24.0% | 40.6% | 43.8% | 0.18 |
| Pichot Scale | 5.5 (2.0–12.0) | 6.00 (2.0–11.0) | 11.00 (5.0–21.3) | 0.18 |
| % abnormal | 4.0% | 3.1% | 12.5% | 0.02 |
| ODSI | 4.0 (2.0–10.0) | 3.0 (2.0–8.8) | 6.0 (2.0–12.0) | 0.67 |
| % abnormal | 50.0% | 53.1% | 62.5% | 0.86 |
| BDI | 4.0 (1.0–9.0) | 5.5 (1.0–8.0) | 7.0 (1.0–10.0) | 0.99 |
| % abnormal | 4.0% | 0.0% | 0.0% | 0.65 |
| Diagnosis (%OSA, OSA + narcolepsy OSA + hypersomnia, narcolepsy) | 94.0%, 2.0%, 0.0%, 4.0% | 77.4%, 3.2%, 3.2%, 16.1% | 81.2%, 6.3%, 0.0%, 12.5% | 0.19 |
| Total sleep time (min) | 391.5 (350.8–432.3) | 432.5 (392.0–461.5) | 407.0 (372.8–458.5) | 0.13 |
| Sleep efficiency (%) | 77.2 (68.9–85.5) | 85.6 (78.34–93.5) | 80.3 (71.1–86.7) | 0.03 |
| Wake after sleep onset (min) | 55.0 (30.0–55.0) | 34.5 (18.5–34.5) | 47.50 (31.8–47.5) | 0.11 |
| Time spent in N3 sleep (min) | 89.0 (64.3–108.5) | 94.0 (81.8–135.0) | 81.0 (66.3–110.3) | 0.20 |
| Time spent in REM sleep (min) | 79.5 (58.5–111.0) | 95.0 (79.8–110.8) | 78.5 (63.5–101.0) | 0.29 |
| Arousal index (n/h) | 22.6 (16.5–28.3) | 20.5 (11.4–26.6) | 22.1 (17.9–34.9) | 0.4 |
| AHI (n/h) | 7.8 (2.5–17.7) | 8.2 (4.2–17.4) | 13.0 (3.2–29.2) | 0.45 |
| AHI + RERA (n/h) | 12.3 (4.4–20.3) | 8.6 (5.1–20.9) | 14.5 (5.3–31.1) | 0.5 |
| Time spent with SaO2 <90% (s) | 0.00 (0.00–19.5) | 0.00 (0.0–20.0) | 0.00 (0.0–39.97) | 0.84 |
| Sleep debt (h) | 1.5 (0.9–2.0) | 2.0 (1.0–3.0) | 1.0 (0.0–2.6) | 0.37 |
| Car accident in the last two years | 18% | 12.5% | 37.5% | 0.1 |
| Test | Sensitivity | Specificity | Positive Predictive Value | Negative Predictive Value |
|---|---|---|---|---|
| SOL < 34 | 0.22 | 0.86 | 0.44 | 0.68 |
| SOL < 20 | 0.06 | 0.98 | 0.67 | 0.67 |
| SOL < 12 | 0.03 | 1.00 | 1.00 | 0.67 |
| MSL < 34 | 0.66 | 0.55 | 0.43 | 0.76 |
| MSL < 20 | 0.25 | 0.84 | 0.44 | 0.69 |
| MSL < 12 | 0.06 | 0.97 | 0.50 | 0.67 |
Publisher’s Note: MDPI stays neutral with regard to jurisdictional claims in published maps and institutional affiliations. |
© 2021 by the authors. Licensee MDPI, Basel, Switzerland. This article is an open access article distributed under the terms and conditions of the Creative Commons Attribution (CC BY) license (https://creativecommons.org/licenses/by/4.0/).
Share and Cite
Des Champs de Boishebert, L.; Pradat, P.; Bastuji, H.; Ricordeau, F.; Gormand, F.; Le Cam, P.; Stauffer, E.; Petitjean, T.; Peter-Derex, L. Microsleep versus Sleep Onset Latency during Maintenance Wakefulness Tests: Which One Is the Best Marker of Sleepiness? Clocks & Sleep 2021, 3, 259-273. https://doi.org/10.3390/clockssleep3020016
Des Champs de Boishebert L, Pradat P, Bastuji H, Ricordeau F, Gormand F, Le Cam P, Stauffer E, Petitjean T, Peter-Derex L. Microsleep versus Sleep Onset Latency during Maintenance Wakefulness Tests: Which One Is the Best Marker of Sleepiness? Clocks & Sleep. 2021; 3(2):259-273. https://doi.org/10.3390/clockssleep3020016
Chicago/Turabian StyleDes Champs de Boishebert, Ludivine, Pierre Pradat, Hélène Bastuji, François Ricordeau, Frédéric Gormand, Pierre Le Cam, Emeric Stauffer, Thierry Petitjean, and Laure Peter-Derex. 2021. "Microsleep versus Sleep Onset Latency during Maintenance Wakefulness Tests: Which One Is the Best Marker of Sleepiness?" Clocks & Sleep 3, no. 2: 259-273. https://doi.org/10.3390/clockssleep3020016
APA StyleDes Champs de Boishebert, L., Pradat, P., Bastuji, H., Ricordeau, F., Gormand, F., Le Cam, P., Stauffer, E., Petitjean, T., & Peter-Derex, L. (2021). Microsleep versus Sleep Onset Latency during Maintenance Wakefulness Tests: Which One Is the Best Marker of Sleepiness? Clocks & Sleep, 3(2), 259-273. https://doi.org/10.3390/clockssleep3020016
