Abstract
The logistic additive regression model has been a standard method in modeling nonlinear effects for multivariate analyses of binary outcomes in the generalized additive model (GAM) framework. However, the resultant nonlinear estimate of the smooth function is interpreted as a nonproportional increment of the odds ratio in the increment of the explanatory variable. The odds ratio cannot be interpreted as an effect measure by itself; it is only interpretable as an approximation of the risk ratio when the frequency of events is low. In this article, we propose alternative nonlinear regression methods to estimate the risk ratio and risk difference directly. We propose extending Zou’s modified Poisson regression (Am J Epidemiol 159: 702–6) and Cheung’s modified least squares (Gaussian) regression (Am J Epidemiol 166: 1337–44) to the GAM framework and fitting the Poisson and Gaussian additive regression models to binary outcome data. We show that valid nonlinear effects estimates are obtained using these approaches and that they can be easily implemented using existing GAM statistical packages. We also provide valid computational methods for obtaining the standard errors and confidence intervals using a bootstrap method. We illustrate these proposed methods through applications to a breast cancer clinical study.
1. Introduction
In multivariate analyses of epidemiological and clinical studies, the ordinary multivariate models that assume linear relationships between outcome measures and explanatory variables have been widely used for modeling the effects of exposure, treatment, and prognostic factors [1]. However, in some cases, linear-type models are inadequate because they cannot precisely express the nonlinear effects of these factors in regression function models. Several nonlinear regression techniques have been developed to address this issue, and the generalized additive model (GAM) [2,3], which is formulated as an extended flexible framework of the generalized linear models (GLMs) [4], is a representative method for modeling nonlinear effects [5].
In applications of the GAM for binary outcome analyses, the logistic additive regression model, which models the nonlinear effects via smooth functions in logistic regression, has been the standard method. The resultant estimate of the smooth function is interpreted as a nonproportional increment of the odds ratio in the increment of the explanatory variable. However, the odds ratio cannot be interpreted as an effect measure by itself; it can only be interpreted as an approximation of the risk ratio when the frequency of events is low [6,7]. Thus, the use of odds ratios is not recommended in recent guidelines. Alternatively, the use of risk ratios and risk differences has been recommended; however, their direct estimation based on the binomial loglinear and linear models is computationally difficult and the maximum likelihood (ML) estimates often cannot be defined even under the GLM framework [8,9]. Modified Poisson and least squares (Gaussian) regression analyses [10,11] have been proposed as alternative quasi-likelihood inference methods for binomial regression analyses, with the advantage of effectively circumventing the computational difficulties associated with binomial loglinear and linear models.
In this article, we propose GAM analysis methods that can model nonlinear effects by the risk ratio and risk difference using the Poisson and Gaussian additive regression models. These methods are founded on the modified Poisson and least squares regressions [10,11] and can be straightforwardly implemented using the standard GAM computational packages. Only the standard error estimation should be modified to the robust variance estimator [12], and we propose a bootstrap approach as a generic framework. We illustrate these methods using a breast cancer clinical study [13] and show that the ordinary logistic additive regression model can lead to seriously erroneous interpretations in practice.
2. Logistic Additive Regression Model for Analyzing Binary Outcomes
We suppose a cohort that consists of n participants; represents the predictors and is the binary outcome (=0, 1). In the logistic regression, we consider the linear regression function model for the logit-transformed mean of the binary outcome :
In the additive logistic regression model, all or some of the linear terms are replaced with the smooth functions :
The smooth functions can be modeled by various flexible functional models (e.g., a cubic regression spline [14]). Most of the flexible functional models can be expressed as an expansion of the basis functions (i.e., ) and, mathematically, can be formally regarded as linear models [14]. In the following discussions, we consistently assume the linear model expressions. The basic principle of estimating these functions is ML estimation, which can be implemented using an iterative backfitting algorithm [3]. To adjust the overfitting, penalized estimation is an alternative option and can be performed in the same framework [14]. However, the resultant estimates of only provide information concerning the increments of the odds of and they correspond to the odds ratios. They generally overestimate the actual relative risks and cannot be interpreted as valid effect measures when the event frequency is not low [1].
3. Modified Poisson and Least Squares Regression Analyses
To address the serious drawback of the practical uses of logistic regression, alternative binomial regressions with log link and identity link functions have been considered that can provide ML estimates of the risk ratio and risk difference [15]. However, they often cannot provide ML estimates because the values of the regression functions do not fall within [0, 1] [8,9]. The modified Poisson and least squares regressions have been proposed by Zou [10] and Cheung [11] to overcome this practical problem for multivariate analyses of the risk ratio and risk difference. Their ideas are simply fitting the ordinary Poisson and least squares regression models to the binary outcome data:
Although these models misspecify the distribution forms of the outcome variables, the resultant quasi-ML estimators of the regression coefficients become consistent estimators of the log-transformed risk ratios and risk differences [16]. The principle of these estimating methods is founded on the estimating equation theory of GLMs [17], i.e., the estimating functions are unbiased if the functional forms of the regression functions are correctly specified. The unbiasedness of the estimating functions assures the consistency of the coefficient estimator, and the consistency is not violated even if the distribution forms are misspecified. However, the misspecification of the distribution forms causes the loss of efficiency and the resultant estimator becomes an inefficient one [16]. However, the log and identify links are canonical link functions of the Poisson and Gaussian distributions, and the quasi-ML estimators are necessary obtained, except for irregular cases. Thus, the quasi-ML estimators of the modified Poisson and least squares regressions are practically effective solutions for the multivariate analyses of the risk ratio and risk difference. These methods can be easily implemented using the rqlm package of R (The R Foundation for Statistical Computing, Vienna, Austria) [18] via simple commands. Note that for the modified least squares regression, the Gauss–Markov theorem [19,20] is fulfilled for the quasi-ML estimator and it becomes the best linear unbiased estimator (BLUE), i.e., is an unbiased estimator and the most precise estimator for the regression coefficients of the binomial regression function [16]. The standard errors of of both models are consistently estimated by the sandwich variance estimator [12].
4. Poisson and Gaussian Additive Regression Model for Analyzing Binary Outcomes
4.1. Poisson and Gaussian Additive Regression Modeling
Although the logistic additive regression model enables nonlinear regression modelling for the odds ratio, the odds ratio has serious problems for epidemiological interpretations, as noted in Section 2. To address this issue, we propose alternative GAM modelling strategies that provide interpretable effect measure estimates, i.e., the risk ratio and risk difference. A straightforward approach is to adopt the binomial additive regression models with log or identity link functions, and these regression models can be formulated within the GAM framework:
which assume binomial distribution models for the outcome variables. For these regression models, the resultant estimates of provide information concerning the increments of or , and they correspond to the risk ratios and risk difference estimates. However, these binomial additive regression models can also fail to compute the estimates because the values of the regression functions are not limited to the range [0, 1], similarly to the GLM framework.
To overcome this issue, we propose applying the Poisson additive regression model and the Gaussian additive regression model to the binary outcome data that assume the same regression function models to be generalizations of the modified Poisson and least squares regressions in Section 3. Notably, these additive regression models also misspecify the distributional assumptions and the outcome variables do not follow a Poisson or Gaussian distribution. However, in the GLM framework that only uses linear terms in the regression models, the modified Poisson and least squares regressions provide unbiased estimating functions and the resultant estimators of the regression parameters are assured to be consistent. These theoretical properties are also fulfilled for the extended models of the GAM framework as long as the regression models are formally treated as linear models, as assumed above; the estimating functions are regarded as unbiased even if the distributional assumptions fail. Thus, simply applying the Poisson additive regression model and the Gaussian additive regression model using standard GAM computational packages (e.g., mgcv of R [14]) can provide valid estimates of for these models and also provide the risk ratio or risk difference estimates. If penalized estimation approaches are adopted, the regularizations of the estimating functions correspond to the ordinary penalizations of the loglikelihood functions of the Poisson additive regression model and the Gaussian additive regression model. Thus, these estimating procedures can be directly adapted. The effectiveness of various regularization approaches for the quasi-likelihood estimating methods (e.g., ridge, lasso, and elastic-net) are shown by Kitano and Noma [21]. Note that the nonlinear models provide possibly biased estimates because of their complexity and the regularization, but the conventional logistic additive regression model also has the same property. The aims of these methods entail adapting the GAM analyses for modeling the nonlinear effects in the risk ratio and risk difference, and these Poisson and Gaussian additive regression models are formulated within the same GAM framework. Thus, they have similar limitations with the logistic additive regression analysis [14].
4.2. Standard Error Estimation by Bootstrap
Another relevant concern is standard error estimation. In the ordinary modified Poisson and least squares regressions, the standard errors of the regression coefficient estimators cannot be estimated by the model variance estimators; the use of a robust variance estimator is recommended [10,11]. In addition, in extending these methods to the GAM framework, the penalized estimation is often used; thus, the standard error estimation is more complicated. However, a simple solution is to adapt the bootstrap methods [22]. Applying the nonparametric bootstrap approach, we can obtain the valid standard error estimates of and can contrast their bootstrap confidence intervals The bootstrap is performed via resampling from the original data (usually ≥1000 times). Through analyzing the resampled data by the GAM methods, the empirical summaries (e.g., standard deviation, quantiles) of the estimates can be used for the statistical inferences. When the penalized estimation is adopted, the uncertainty of the selection of the regularization parameter is involved in the bootstrap inferences. A potential drawback of the bootstrap approach is the total computational cost; however, the recent computational packages of the GAM are sophisticated for the computational efficiency and do not require long computation times. Also, in modern computational environments, the bootstrap computations can be implemented within a realistic computation time.
5. Application
For an illustration, we applied the proposed methods to a breast cancer clinical study [13,23]. This study involved 2982 patients who had primary surgery for breast cancer in Rotterdam, and we considered a dichotomous outcome for recurrence or death within 5 years. The authors of the study reported that 1181 events (39.6%) were observed, and the odds ratio cannot be interpreted as an approximation of the risk ratio under such a condition. We considered fitting the logistic, Poisson, and Gaussian additive models to this dataset with modeling 0.01 × the progesterone receptor (PGR) level (fmol/mg) as a nonlinear term (univariate models). We also considered multivariate models that added the tumor size (≤20 mm, 21–50 mm, and >50 mm), number of nodes, and tumor grade (1 or 2, 3) as linear terms and 0.01 × the PGR level (fmol/mg) as a nonlinear term. We used the penalized cubic regression splines for modeling the nonlinear effect of the PGR level. We also calculated the 95% confidence intervals of the nonlinear functions that express the effect of the PGR level via 10,000 bootstraps.
The estimated nonlinear effects of the PGR in the odds ratio, risk ratio, and risk difference for the breast cancer clinical study are presented in Figure 1. These estimates were obtained from the logistic, Poisson, and Gaussian additive models. The estimated curves correspond to the estimates of the smooth functions of . The smooth functions show the relative differences of the predicted risks, and concrete effect measure estimates between two different points are calculated as the differences of the values of . The logistic additive regression models provide the increments of the log-odds of the event probabilities, and the Poisson additive regression models provide the increments of the log of the event probabilities. The overall event rate was 39.6%, and the odds ratio and risk ratio estimates did not accord; the odds ratio generally overestimated the actual relative risk under such situations. These results indicate that, if the main purpose of the analysis is the estimation of the relative risks, Poisson additive regression models should be used instead of logistic additive regression models. Also, the Gaussian additive models provided nonlinear effect estimates at an absolute risk scale and the bootstrap 95% confidence intervals provided effective statistical uncertainty information for these analyses.
Figure 1.
Estimated nonlinear effects in the odds ratio, risk ratio, and risk difference of the PGR using the GAM.
6. Simulations
We performed simulation studies to assess the operating characteristics of the proposed methods. To replicate the structures of real-world data in the simulations, we resampled the breast cancer clinical study data in Section 5 and used the covariates data directly. Then, we generated binomial outcome data from the regression functions estimated by the Poisson and Gaussian additive regression models. We considered both of the univariate and multivariate models, and we generated 5000 and 10,000 patients’ data for these models. Then, we fitted the Poisson and logistic additive regression models for the former data (generated by the estimated regression functions from the Poisson additive models) and the Gaussian additive regression models for the latter data (generated by the estimated regression functions from the Gaussian additive models). We conducted
2000 simulations and assessed the means and standard deviations of the risk ratio and risk difference estimates.
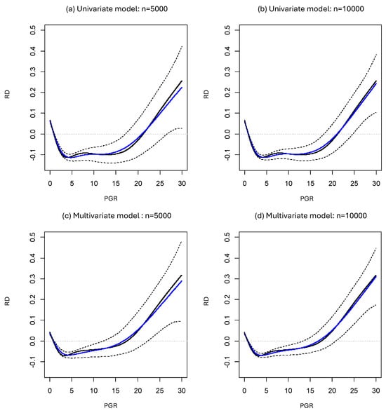
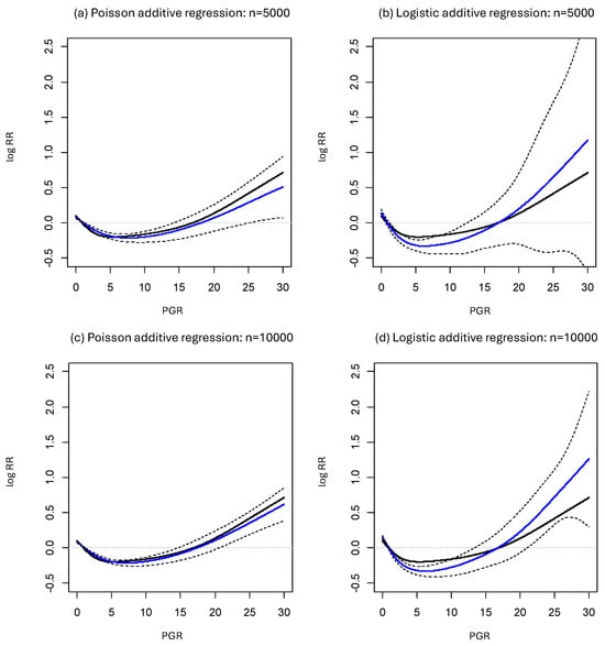
Figure 2 and Figure 3 show the results of the simulation studies for the data simulated by the Poisson additive models. Figure 2 shows the results of the univariate models and Figure 3 shows those of the multivariate models. For the Poisson additive regression models, the risk ratio functions were unbiasedly estimated for both the univariate and multivariate models, as expected. The precisions of the estimates were greater for the large sample settings. In addition, the logistic additive regression models could not estimate the risk ratio functions accurately for both the univariate and multivariate models because the event frequencies were not small. They provided the odds ratio estimates, but they did not accord with the risk ratio estimates. For the non-rare event cases, the logistic additive regression models cannot provide interpretable estimates of epidemiologic measures.
Figure 2.
Results of the simulation studies: data were simulated from the estimated regression function by the univariate model of the Poisson additive regression model (blue: true log risk ratio function, black (solid): Monte Carlo mean of the estimates, black (dashed): mean ± standard deviations of the estimates).
Figure 3.
Results of the simulation studies: data were simulated from the estimated regression function by the multivariate model of the Poisson additive regression model (blue: true log risk ratio function, black (solid): Monte Carlo mean of the estimates, black (dashed): mean ± standard deviations of the estimates).
Figure 4 presents the results of the simulation studies for the data simulated by the Gaussian additive models. For the Gaussian additive models, the proposed methods provided unbiased estimates of the risk differences for all the scenarios. The precisions were greater for the large sample settings. The Gaussian additive models were founded on the least squares regressions and could provide relatively stable estimates under all the scenarios.
Figure 4.
Results of the simulation studies: data were simulated from the estimated regression functions by the Gaussian additive regression models (blue: true risk difference function, black (solid): Monte Carlo mean of the estimates, black (dashed): mean ± standard deviations of the estimates).
7. Discussion and Conclusions
Logistic additive regression models have been a standard method for nonlinear regression analysis for binary outcomes. If the primary objective of the analysis is the development of prediction or diagnostic algorithms, the logistic additive regression model would be effective. However, if the purpose is estimation of the effects of exposure, treatment, or prognostic factors, the resultant odds ratio estimates might not be appropriate; of course, some researchers still favor the use of the odds ratio due to the mathematical properties [24,25]. In these cases, the Poisson and Gaussian additive regression models, which provide directly interpretable effect measures, should be used. In the present study, we provide effective analysis methods involving standard error estimation for these models and show that they can be easily implemented using existing standard statistical packages of the GAM. The new statistical methods would provide useful information and be recommended in clinical and epidemiological studies in which nonlinear effects are considered. Other effective nonlinear regression modeling might be feasible when applying recently proposed alternative approaches using pseudo-likelihood or delta methods [26,27,28], and they might be relevant issues in future studies. In addition, these methods are potentially applicable for data analyses in more broad domains (e.g., social and behavioral sciences).
Author Contributions
Conceptualization, H.N.; methodology, H.N.; software, H.N. and T.K.; validation, H.N. and T.K.; formal analysis, H.N. and T.K.; investigation, H.N.; resources, H.N.; data curation, H.N.; writing—original draft preparation, H.N.; writing—review and editing, H.N. and T.K.; visualization, H.N. and T.K.; project administration, H.N.; funding acquisition, H.N. All authors have read and agreed to the published version of the manuscript.
Funding
This study was supported by Grants-in-Aid for Scientific Research from the Japan Society for the Promotion of Science (grant numbers: JP23K11931, JP23H03063, and JP22H03554).
Institutional Review Board Statement
Not applicable.
Informed Consent Statement
Not applicable.
Data Availability Statement
The original dataset of the breast cancer clinical study used in Section 5 is provided in the Supplementary Materials of McLernon et al. [23] and can be accessed at the following URL: https://github.com/danielegiardiello/Prediction_performance_survival (accessed on 6 November 2024).
Conflicts of Interest
The authors declare no conflicts of interest. Takahiro Kitano is an employee of Pfizer Japan.
References
- Lash, T.L.; VanderWeele, T.J.; Haneuse, S.; Rothman, K.J. Modern Epidemiology, 4th ed.; Wolters Kluwer: Philadelphia, PA, USA, 2020. [Google Scholar]
- Hastie, T.J.; Tibshirani, R.J. Generalized additive models: Some applications. J. Am. Stat. Assoc. 1987, 82, 371–386. [Google Scholar] [CrossRef]
- Hastie, T.J.; Tibshirani, R.J. Generalized Additive Models; Chapman and Hall: Boca Raton, FL, USA, 1990. [Google Scholar]
- Nelder, J.A.; Wedderburn, R.W.M. Generalized linear models. J. R. Stat. Soc. A 1972, 135, 370–384. [Google Scholar] [CrossRef]
- Nitta, H.; Yamazaki, S.; Omori, T.; Sato, T. An introduction to epidemiologic and statistical methods useful in environmental epidemiology. J. Epidemiol. 2010, 20, 177–184. [Google Scholar] [CrossRef] [PubMed]
- Greenland, S. Interpretation and choice of effect measures in epidemiologic analysis. Am. J. Epidemiol. 1987, 125, 761–768. [Google Scholar] [CrossRef] [PubMed]
- Nurminen, M. To use or not to use the odds ratio in epidemiologic analyses. Eur. J. Epidemiol. 1995, 11, 365–371. [Google Scholar] [CrossRef]
- McNutt, L.A.; Wu, C.; Xue, X.; Hafner, J.P. Estimating the relative risk in cohort studies and clinical trials of common outcomes. Am. J. Epidemiol. 2003, 157, 940–943. [Google Scholar] [CrossRef]
- Wallenstein, S.; Bodian, C. Epidemiologic programs for computers and calculators. Inferences on odds ratios, relative risks, and risk differences based on standard regression programs. Am. J. Epidemiol. 1987, 126, 346–355. [Google Scholar] [CrossRef]
- Zou, G. A modified poisson regression approach to prospective studies with binary data. Am. J. Epidemiol. 2004, 159, 702–706. [Google Scholar] [CrossRef]
- Cheung, Y.B. A modified least-squares regression approach to the estimation of risk difference. Am. J. Epidemiol. 2007, 166, 1337–1344. [Google Scholar] [CrossRef]
- White, H. Maximum likelihood estimation of misspecified models. Econometrica 1982, 50, 1–25. [Google Scholar] [CrossRef]
- Lampelj, M.; Arko, D.; Cas-Sikosek, N.; Kavalar, R.; Ravnik, M.; Jezersek-Novakovic, B.; Dobnik, S.; Dovnik, N.F.; Takac, I. Urokinase plasminogen activator (uPA) and plasminogen activator inhibitor type-1 (PAI-1) in breast cancer-correlation with traditional prognostic factors. Radiol. Oncol. 2015, 49, 357–364. [Google Scholar] [CrossRef] [PubMed]
- Wood, S.N. Generalized Additive Models: An Introduction with R; Chapman and Hall: Boca Raton, FL, USA, 2017. [Google Scholar]
- Agresti, A. Categorical Data Analysis, 3rd ed.; Wiley: New York, NY, USA, 2013. [Google Scholar]
- Uno, S.; Noma, H.; Gosho, M. Firth-type penalized methods of the modified Poisson and least-squares regression analyses for binary outcomes. Biom. J. 2024, 66, e202400004. [Google Scholar] [CrossRef] [PubMed]
- Wedderburn, R.W.M. Quasi-likelihood functions, generalized linear models, and the Gauss-Newton method. Biometrika 1974, 61, 439–447. [Google Scholar]
- Noma, H. rqlm: Modified Poisson and Least-Squares Regressions for Binary Outcome, Version 2.1-1. 2024. Available online: https://doi.org/10.32614/CRAN.package.rqlm (accessed on 1 November 2024).
- Plackett, R.L. A historical note on the method of least squares. Biometrika 1949, 36, 458–460. [Google Scholar] [CrossRef]
- David, F.N.; Neyman, J. Extension of the Markoff theorem on least squares. Stat. Res. Mem. 1938, 2, 105–116. [Google Scholar]
- Kitano, T.; Noma, H. Ridge, lasso, and elastic-net estimations of the modified Poisson and least-squares regressions for binary outcome data. arXiv 2024, arXiv:2408.13474. [Google Scholar]
- Efron, B.; Tibshirani, R. An Introduction to the Bootstrap; CRC Press: Boca Raton, FL, USA, 1994. [Google Scholar]
- McLernon, D.J.; Giardiello, D.; Van Calster, B.; Wynants, L.; van Geloven, N.; van Smeden, M.; Therneau, T.; Steyerberg, E.W.; Topic Groups 6 and 8 of the STRATOS Initiative. Assessing performance and clinical usefulness in prediction models with survival outcomes: Practical guidance for Cox proportional hazards models. Ann. Intern. Med. 2023, 176, 105–114. [Google Scholar] [CrossRef] [PubMed]
- Cummings, P. The relative merits of risk ratios and odds ratios. Arch. Pediatr. Adolesc. Med. 2009, 163, 438–445. [Google Scholar] [CrossRef] [PubMed]
- Norton, E.C.; Dowd, B.E.; Maciejewski, M.L. Odds ratios—Current best practice and use. JAMA 2018, 320, 84–85. [Google Scholar] [CrossRef]
- Diaz-Quijano, F.A. A simple method for estimating relative risk using logistic regression. BMC Med. Res. Methodol. 2012, 12, 14. [Google Scholar] [CrossRef]
- Dwivedi, A.K.; Mallawaarachchi, I.; Lee, S.; Tarwater, P. Methods for estimating relative risk in studies of common binary outcomes. J. Appl. Stat. 2014, 41, 484–500. [Google Scholar] [CrossRef]
- Pedroza, C.; Truong, V.T. Performance of models for estimating absolute risk difference in multicenter trials with binary outcome. BMC Med. Res. Methodol. 2016, 16, 113. [Google Scholar] [CrossRef] [PubMed]
Disclaimer/Publisher’s Note: The statements, opinions and data contained in all publications are solely those of the individual author(s) and contributor(s) and not of MDPI and/or the editor(s). MDPI and/or the editor(s) disclaim responsibility for any injury to people or property resulting from any ideas, methods, instructions or products referred to in the content. |
© 2024 by the authors. Licensee MDPI, Basel, Switzerland. This article is an open access article distributed under the terms and conditions of the Creative Commons Attribution (CC BY) license (https://creativecommons.org/licenses/by/4.0/).



