Next Article in Journal
Development of Immunoenzyme Assay of Herbicide Acetochlor and Its Application to Soil Testing with Comparison of Sample Preparation Techniques
Previous Article in Journal
Effects of Different Tillage Systems on Soil Properties and Crop Yield in a Mollisol After 9, 22, and 25 Years of Implementation in Chapingo, Mexico
 
 
Font Type:
Arial Georgia Verdana
Font Size:
Aa Aa Aa
Line Spacing:
Column Width:
Background:
Article

Characterizing the Effects of Compaction on Agricultural Tilled Soil Macropore Characteristics Using X-Ray Computed Tomography

Nanjing Institute of Agricultural Mechanization, Ministry of Agriculture and Rural Affairs, Nanjing 210014, China
*
Author to whom correspondence should be addressed.
Soil Syst. 2025, 9(4), 126; https://doi.org/10.3390/soilsystems9040126
Submission received: 13 August 2025 / Revised: 30 October 2025 / Accepted: 11 November 2025 / Published: 12 November 2025

Abstract

The risk of soil compaction by agricultural machinery threatens the structure and productivity of tilled soils. However, a quantitative understanding of how specific compaction loads alter the three-dimensional (3D) macropore architecture of tilled soil is still limited. This study employed X-ray computed tomography (CT) to quantitatively characterize the evolution of the 3D macropore network in clay soil under a series of controlled compaction pressures (0, 30, 60, 90, and 120 kPa). Our results revealed a non-monotonic response of macropore number to compaction, which initially increased due to the fragmentation of large pores before declining, peaking at 90 kPa. Most critically, we identified 90 kPa as a critical threshold, beyond which macroporosity and the volume of elongated beneficial pores underwent drastic reductions of 64.8% and 46.6%, respectively. Compaction significantly reduced pore connectivity and surface area, with larger macropores (>1000 μm) proving most vulnerable. The study establishes a quantitative link between applied pressure and specific pore-scale damage, providing a scientific basis for designing agricultural machinery with ground pressures below this critical threshold to preserve soil structure and function after tillage.

1. Introduction

Soil structure is defined as the three-dimensional arrangement of soil particles that forms aggregates known as peds, with the spaces between these peds playing a crucial role in water penetration and root development [1]. Effective soil structure can regulate the capacity of water holding, the precipitation infiltration process, gas exchange, dynamic changes in organic matter and nutrients, and root growth, thereby improving soil fertility and promoting crop yields [2,3]. The number and size of pores and their distribution are important indicators reflecting the quality of soil structure [4,5].
Agricultural productivity has increased significantly due to mechanization, but the risk of soil compaction has also increased [6]. Soil compaction results in increased bulk density and decreased pore connectivity [7], which in turn lead to reduced water infiltration rates, lower hydraulic conductivity [8], as well as diminished gas diffusivity and air permeability [9]. This increases the risk of anaerobic conditions in compacted soils compared to uncompacted soils [10]. Excessive compaction causes decreased root growth and plant development [11], such as root growth inhibition and a decrease in lateral roots [12,13]. These undesirable effects on soil quality can lead to reduced crop yields [14,15,16]. Macropores are relatively more susceptible to soil compaction than micropores [17,18]. Therefore, accurate quantification of compaction effects on macropores has become a research focus in recent decades [19,20].
The traditional methods of soil pore research mainly include staining [21], sectioning [22], mercury pressing, and nitrogen adsorption [23]. Nevertheless, these traditional methods have limited ability to observe 3D geometry and topology [24]. The results may be biased, especially the inability to visualize the internal soil microstructure [25,26]. With advances in imaging techniques, X-ray computed tomography (CT) has become attractive for non-destructively observing soil structure, including macropore networks [27,28,29]. Soil pore structure is a connected irregular three-dimensional system [30]. Non-destructive 3D imaging based on 2D scanned images enables more direct and accurate research on soil pore structure [31]. The three-dimensional reconstruction technique can show the distribution of soil macropores, which provides a new method to study the structure of soil macropores [32]. It has been used to display soil microporous structures and to quantify the 3D distribution characteristics of soil macropores [33]. Compared with traditional methods of soil pore acquisition, X-ray CT tomography is a non-destructive and non-invasive three-dimensional imaging technique [34]. It is possible to obtain a topological image of the soil pore structure without damaging it. Therefore, CT technology has become a popular tool for studying soil microstructure [35,36].
X-ray CT can accurately and efficiently characterize the number, shape, size, orientation, connectivity, curvature, and spatial distribution of pores [37]. The effects of soil pore changes on plant root growth have been visualized by CT [38] and correlated with the macroscopic disturbance state and damage of the soil bulk [39]. Yang et al. [40] used X-ray CT to determine the effectiveness of different amendments in improving soil structure. By determining information on pore structure, Fang et al. (2018) found that straw returning improved the soil physical structure by reducing soil bulk density, increasing soil organic carbon content (in both the bulk soil and all particle-size fractions), and enhancing total porosity and macroporosity [40]. The effects of soil type (Hagerstown silt loam and Morrison sand) and land use (row crop and pasture) on soil macropore characteristics were investigated by Luo et al. [41] using X-ray CT.
While the aforementioned studies have unequivocally established X-ray CT as a powerful tool for soil pore structure characterization, shortcomings persist in the context of agricultural compaction management. Specifically, previous research has primarily focused on intact field soils or the effects of amendments, but a systematic quantitative investigation into how a defined series of vertical pressures—simulating machinery loads—alter the 3D macropore architecture of tilled soil is still lacking. This lack of quantitative understanding creates a disconnect between the observed macro-scale effects of compaction (e.g., reduced yield) and the underlying pore-scale mechanisms that drive them. Consequently, the specific evolution of topsoil macropore structure under controlled compaction following tillage remains unclear, limiting the ability to provide precise pore-structure-based guidance for the design of agricultural machinery to minimize compaction damage.
Crop production often begins with tillage. The top layer of soil is in a looser state after tillage, which can increase the macroscopic porosity of the soil as well as the anisotropy and fractal dimension of the pores [42,43]. The soil is thereafter at risk of compaction by agricultural machinery at all stages of crop production, such as planters, plant protection machinery, and harvesting machinery [44]. Therefore, it is essential to study the changes in soil macropores under external loads following tillage to analyze the effects on crop growth and to guide the design of agricultural machinery. The application of X-ray CT can contribute to the reliable analysis of macropores. Previous research on the compaction effects of agricultural machinery mainly focused on changes in crop yields. Quantitative research on macropore characteristic variation under different vertical pressures is limited [45]. Changes in topsoil macropores under certain compaction tillage remain unclear. Therefore, the objectives of this study were to (i) evaluate the soil macropore changes (total number, macroporosity, average volume, surface area, shape characteristics, pore throat number, and pore throat surface area [31,32,37]) caused by tillage under different compaction levels using X-ray CT; (ii) analyze changes in macropore structure with soil compaction in various diameter dimensions; and (iii) quantitatively discuss the effect of compaction on soil macropore structure.

2. Materials and Methods

2.1. Soil Site Description and Sampling

The soil sampling site is in a paddy field located in Huzhou City (119°94″ E, 30°42′ N), Zhejiang Province, China. This region is a typical area of wheat–rape double cropping system. Multiple cropping would cause an exponential increase in the number of agricultural machinery operations and the risk of soil compaction [46]. The soil was tillage loose after the rice harvesting. The depth of tillage was 150 mm. Soil samples were collected from the topsoil (0~100 mm). The soil type is clay, and the particle size distribution and percentage content of the soil samples were measured, yielding the following results: particles with diameter d < 0.5 mm comprised 9.8%, d = 0.5~0.7 mm comprised 29.5%, d = 0.7~0.9 mm comprised 41.9%, and d > 0.9 mm constituted 18.8%.
A key objective of this study was to establish a clear quantitative cause–effect relationship between specific compaction pressures and the resulting soil macropore structure. Achieving this under field conditions is challenging due to inherent soil heterogeneity (e.g., variations in initial density, organic matter, and biological activity) and the difficulty in applying and measuring precise uniform vertical pressures in situ. Therefore, soil preparation needs to be performed in the laboratory. The soil was remolded in 300 mm diameter, 300 mm height steel cylinders, as shown in Figure 1. Then, a metallic plate with the same internal diameter as the cylinder was used for compressing the soil in the cylinder to the predetermined depths marked on the internal walls to obtain the same bulk density (1.33 × 103 kg/m3) in the field as uncompacted treatment T0. A steel plate 100 mm in diameter and the universal testing machine (utm6503, Suns, Shenzhen, China) were used for loading and compaction of the soil. The loading speed was set at constant speed of 0.008 m·s−1. The load pressure was set to 30 kPa, 60 kPa, 90 kPa, and 120 kPa for compaction treatment groups T30, T60, T90, and T120.
Intact soil cores were collected from the T0, T30, T60, T90, and T120 treatments to measure macropore properties by X-ray CT. The dimensions of the PVC sampling cutting rings were 50 mm long and 54.46 mm diameter, with a 2 mm thick wall and 1 × 105 mm3 capacity. Twenty intact soil cores were collected from three soil depths of 0~100 mm per treatment with four replications per treatment. The collected soil was sealed with plastic film foil, as shown in Figure 2. After scanning, bulk soil core samples were dried and weighed to determine dry bulk density.

2.2. Scanning and Image Analysis

CT scanning tests were performed at the Nanjing Soil Research Institute, Chinese Academy of Sciences. The industrial X-ray CT scanner was Nanotom m 180 (GEMeasurement & Control, German Phoenix Company, Germany) with a peak voltage of 120 kV and a current of 150 mA, and the actual scanning voltage and current were 100 kV and 100 μA. Soil cores were positioned horizontally on the scanner stage so that the X-ray beam was perpendicular to the longitudinal axis. The image resolution was 25 μm/pixels. Each image corresponds to a soil thickness of 25 μm, and 1500 images in the middle of the soil column were selected. The actual size of the soil analyzed for each sample was 25 mm × 25 mm × 37.5 mm.
The CT images were normalized and smoothed by median filtering based on ImageJ 1.8.1 software to make the pore structure clear [47] before image reconstruction. The maximum entropy threshold algorithm was used to complete binarization [48]. A total of 1500 slices of 1000 × 1000 pixels per slice were reconstructed for each sample. Pore analysis and reconstruction were conducted using VGStudio MAX2.2 software. Subsequently, macropore structure parameters were accessed by the pore network model (PNM), including the overall macroporosity, macropore number, surface area, and macropore volume. Pore features in the ROI range were extracted, including pore diameter, volume, surface area, tightness, sphericity, projected area, average grayscale, and other metrics. As a result, pore characteristics can be statistically analyzed.
Depending on the diameter, pores were classified as macropores, mesopores, or micropores, although there are no generally agreed upon size thresholds between these categories. Cameron and Buchan [49] defined macropores as pores with diameters > 75 μm. This categorization was used in this study.

2.3. Macropore Data Analysis

To analyze the macropore variation in each diameter class more accurately, macropores were classified into 7 classes according to the equivalent diameter: 75–200 μm, 200–400 μm, 400–600 μm, 600–800 μm, 800–1000 μm, 1000–1200 μm, and >1200 μm. Based on the macropore volume and surface area, the pore shape factors were calculated as follows [50]:
F = S e / S
where Se is the surface area of a sphere equal in volume to the macropore; S is the measured surface area of the macropore.
The parameter F equals 1 for a sphere, and smaller F values refer to more irregular or elongated shapes. The macropores were classified as regular (F ≥ 0.5), irregular (0.2 < F < 0.5), and elongated (F ≤ 0.2) based on the pore shape coefficient.

2.4. Statistical Analysis

The parameters of macropores were statistically analyzed by SPSS20.0 software. The influence of the compaction effect on pore structure properties among the treatments was determined by comparing mean values using the one-way ANOVA and the least significant difference (LSD) test at a significance level of p = 0.05.

3. Results

3.1. Pore Structure Visualization

The visualizations in Figure 3 (2D) and Figure 4 (3D) show the general variation in the pore structure under different compaction levels. The reconstructed macropore network is represented using a pore network model (PNM), where pores are idealized as nodes and the narrow channels connecting them are idealized as tubes (pore throats). In this representation, the number of nodes and the colors of the tubes represent the amount and thickness of the interconnected macropore networks, respectively. The overall structure can be inferred from the pore visualization images. The number of pores in the three-dimensional space decreases as compaction increases and the connectivity of the pore network diminishes. The internal pore spaces of uncompacted treatment T0 and lightly compacted treatment T30 form a fully connected pore network. In contrast, the internal pores in the heavily compacted treatments (T90 and T120) are mostly isolated and poorly connected. The compaction compresses the soil matrix, fragmenting the extensive interconnected macropore network into a multitude of smaller, discrete, and poorly connected pores. This is consistent with the three-dimensional observations of soils from an opencast coal mine by Feng et al. [51].
The CT-measured macropore parameters are shown in Table 1, including total number, volume, macroporosity, surface area, diameter, pore throat, connectivity, path length, and fractal dimension.

3.2. Macropore Number and Size Distribution

The variation in the total number of pores and macropores with compaction is shown in Figure 5. The total soil pores and macropores were higher in compacted soil than in uncompacted soil. The increases in macropore numbers were about 22.5%, 78.2%, 137.0%, and 43.3% for the T30, T60, T90, and T120 treatments, respectively, compared to the T0 treatment. Notably, both the pores and macropores increased and then decreased with compaction, not continuously increasing or decreasing, and reached a peak at 90 kPa. No significant differences (p > 0.05) in total numbers of macropores were found between the T0 and T30 treatments.
The average diameter of macropores decreases gradually with soil compaction, but no significant differences (p > 0.05) in total numbers of macropores were found among the T60, T90, and T120 treatments (Table 1). To further analyze the variation in macropore diameter, the macropores were classified according to diameter, and the total number of each diameter class was accounted, as shown in Figure 6. Macropores with diameters of 75–200 μm were the most common in all the treatment groups, accounting for 30.4%, 35.5%, 43.1%, 49.5%, and 46.6% of the totals for the T0, T30, T60, T90, and T120 treatments, respectively. As the macropore diameter class increases, the number decreases. For small-diameter macropores (75–400 μm), the T90 treatment group had the largest number. This was consistent with the variation in the total number of macropores. However, for medium- and large-diameter macropores, the number decreases gradually with compaction. This was inconsistent with the variation in the total number. Since the number of small-diameter macropores is much larger than that of medium and large diameters, the total number of macropores is mainly determined by small-diameter macropores.

3.3. Macropore Number and Size Distribution Macropore Volume and Size Distribution

The variation in macroporosity and macropore average volume with compaction is shown in Figure 7. The macroporosity values of compaction treatments T30, T60, T90, and T120 were 58.7%, 40.3%, 14.2%, and 11.3%, respectively, in relation to uncompacted treatment T0. Macroporosity continues to decrease with compaction and in the form of a quadratic curve over the test range. This is in contrast with the trend in macropore numbers since porosity is not only related to pore number but also to volume. Therefore, it is essential to analyze the change in macropore volume under each treatment.
The average macropore volume of each diameter class was further analyzed, as shown in Figure 8. In general, the macropore average volume of each diameter class decreases with compaction. Macropores with >1200 μm diameter varied most significantly. The average macropore volume change in the other diameter classes was not significant under compaction treatment.
The porosity percentages of different diameter classes of macropores are shown in Figure 9. For the T0, T30, and T60 treatments, the percentages of >1000 μm diameter macroporosity were 75.29%, 65.00%, and 54.18%, respectively, more than 50%. Larger-diameter macropores contribute more macroporosity. However, the percentage of macroporosity in each diameter class was more uniform under the T90 and T120 treatments, and >1000 μm diameter macroporosity only accounted for 26.03% and 19.05%, respectively. The percentage of macroporosity in the >1000 μm diameter class decreased significantly with compaction. Combined with the changes in the number distribution of macropores (Figure 6), the decrease in the >1200 μm diameter class regarding macroporosity was the result of a combination of volume and number. For the 1000–1200 μm diameter macroporosity, on the other hand, the decrease was mainly due to a sharp decrease in number. This phenomenon was most obvious between T60 and T90.
The percentage of 75–400 μm diameter macroporosity gradually increased with soil compaction contrary to the large-diameter changes, which were 1.87%, 3.69%, 6.76%, 23.59%, and 19.14%, respectively, under the treatments of T0, T30, T60, T90, and T120. The number of macropores is the main reason for macroporosity variation because the change in average volume was insignificant. Notably, the T90 treatment has the largest percentage of macroporosity and higher than T120 for the 75–400 μm diameter class. This is mainly because of the fact that, with further compaction, the 75–400 μm diameter macropores begin to become micropores. At vertical pressures less than 90 kPa, large-diameter macropores fragment into smaller macropores. There were decreases in macroporosity and average macropore volume but an increase in the number of macropores. However, a large amount of small-diameter macropores begin to change into fine pores above 90 kPa, and the soil is dense.
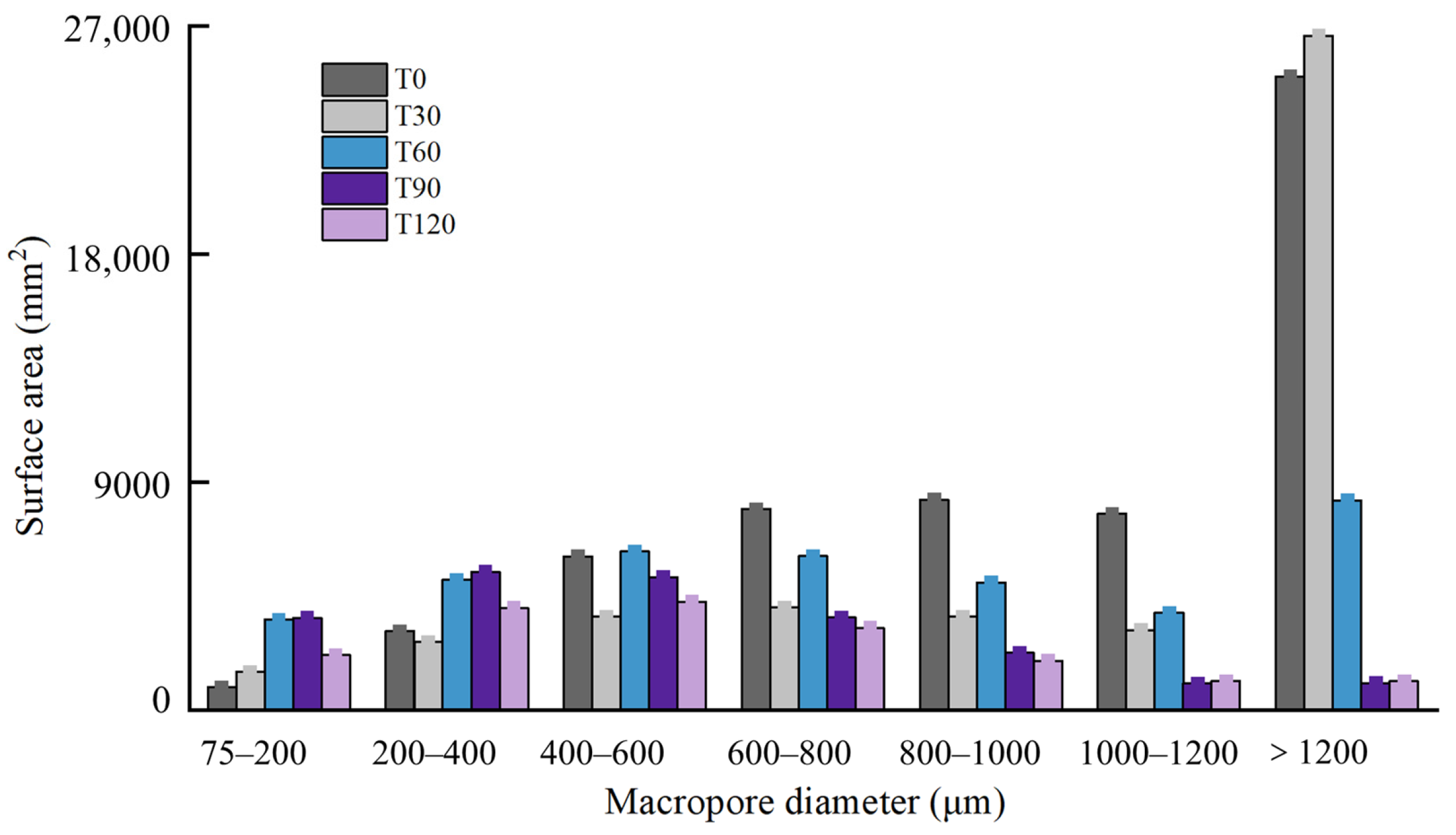
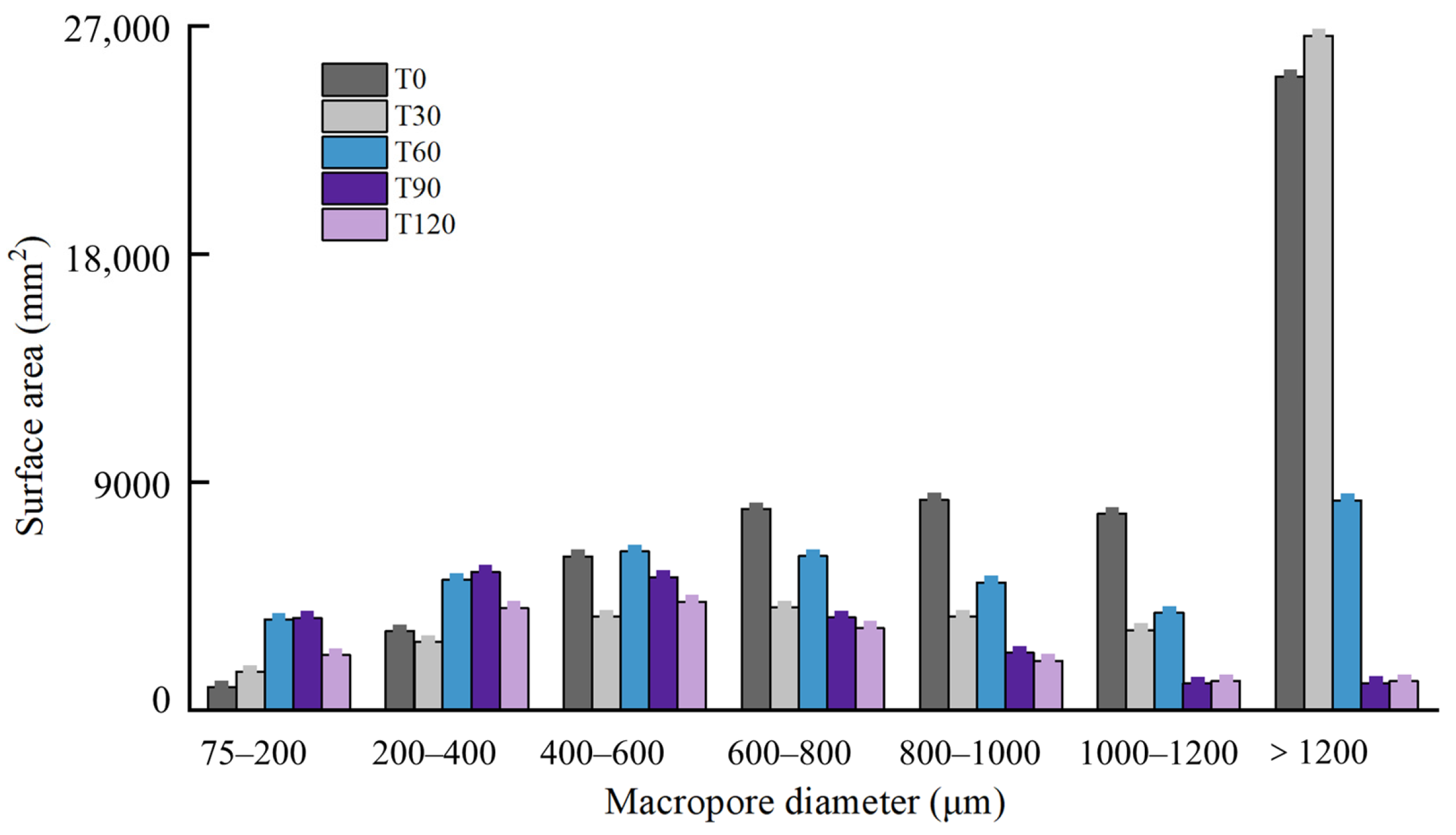
The variation in macropore total surface area distribution and proportions is shown in Figure 10. The macropore total surface area ranges of each diameter class for the T0 and T30 treatments were 0.89–25.01 × 104 mm2 and 1.51–26.64 × 104 mm2, respectively, which showed significant differences across the diameter class. The T60, T90, and T120 treatments indicated smaller differences (3.55–8.27 × 104 mm2, 5.38–19.34 × 104 mm2, and 1.12–4.02 × 104, respectively). The 75–400 μm diameter class total macropore surface area peaked with the T90 treatment, the same as the macroporosity distribution. Differently, the surface areas of the 400–600 μm, 600–1200 μm, and >1200 μm diameter macropores reached peak levels for the T60, T0, and T30 treatments, respectively. Notably, the T0 treatment >1200 μm diameter macroporosity was 2.1 times that of T30, yet the surface area was 93.9%.

3.4. Shape Characteristics

Pore shape influences soil hydraulic properties [52]. The shape characteristics of macropores in different compacted soils are shown in Figure 11. Soil compaction significantly altered microporous shape distribution. The elongated pores were the major form of macropores and accounted for 97.3% of the uncompacted soil. The elongated macropores were reduced by 6.6%, 19.8%, 46.6%, and 52.5% for the T30, T60, T90, and T120 treatments, respectively, compared to the T0 treatment. Meanwhile, the regular and irregular macropores showed the opposite trend. Regarding soil compaction, more irregular pores appeared, showing a distinctly complex porous structure. This phenomenon was especially significant when the vertical pressure increased from 60 kPa to 90 kPa.

3.5. Pore Throats

A pore throat is a narrow channel in the soil where the pores interconnect with each other [53]. The number and size of pore throats are the critical microscopic factors determining porosity and permeability in reservoirs. Increased pore throat number and size could enhance connectivity. The total pore throats under different treatments are shown in Figure 12. The values followed by a different letter indicate significant differences among the treatments (p < 0.05). The number of pore throats showed significant differences between the treatments. The number of pore throats decreases with an increase in compaction. It is more significant at T0–T60 and relatively stable thereafter.
In addition to the number of pore throats, surface area is also a key indicator in evaluating the quality of pore throats [54]. The surface area of the pore throat has a great influence on the infiltration rate: the larger the pore throat, the easier it is for the fluid to flow through the soil. The number distribution of pore throats with compaction for different surface areas is shown in Figure 13. A single-peak distribution of throat surface areas relative to the number of throats was obtained. The greatest numbers of throats for all the treatments were within the 1 × 105.5~1 × 106.1 μm2 range. The T0 treatment resulted in a greater number of throats with surface areas at different ranges than the other treatments. The largest throat surface areas for the T0, T30, T60, T90, and T120 treatments were 882.41 × 106, 153.90 × 106, 36.76 × 106, 10.86 × 106, and 8.83 × 106 μm2, respectively. Both the number of pore throats and the surface area decreased significantly with increasing compaction, varying dramatically from T0 to T90 and not much between T90 and T120. Reduction in pore throats due to soil compaction can affect the flow of fluids through the soil.

3.6. Bulk Density

The influence of soil compaction treatments on bulk density is shown in Figure 14. Bulk density increased with an increase in load. Under the compaction pressures of 30 kPa, 60 kPa, 90 kPa, and 120 kPa, the soil bulk density increased by 12.3%, 19.9%, 25.4%, and 29.3%, respectively, compared to uncompacted soil. The trend of soil bulk weight was consistent with the pattern of macropore variation obtained by X-ray CT. Compaction leads to a decrease in macropoposity and an increase in soil bulk density, which is in agreement with the findings of Julia Pöhlitz [55].

4. Discussion

Compaction has a significant effect on soil macropore structure and alters the physical, chemical, and biological properties of soil [56,57]. The 3D scanned images showed that tilled soil has a structure with large connected pores, which also validates the findings of Saffih-Hdadi [58]. As soil compaction occurs, the pores gradually become fine, isolated, porous, and dense. Compaction compresses the internal space of the soil and divides the large connecting space. This is consistent with three-dimensional observations of soils from an opencast coal mine by Feng et al. [51]. Under light compaction, pore volume shrinks three times as fast as macroporosity, and the macroporosity reduction was mainly characterized by a sharp decrease in volume (T0, T30, and T60). The reduction in macropore volume was not only from the compression of pores but also reflected in the interruption of macropores into multiple individual pores. This was also indicated by the higher number of macropores after compaction than without compaction. It also led to reduced pore connectivity, which is consistent with the results for pore connectivity in Table 1. Under heavy compaction treatments (T90 and T120), the change in micropore volume was not significant, and the reduction in macroporosity was mainly due to the total number.
For macropores in different diameter classes, the macroporosity of >1200 μm decreases significantly with compaction increasing. Large-diameter macropores respond more sensitively to compaction. These results are consistent with previous studies on the effect of compaction on pore structure [59]. Under uncompacted and lightly compacted conditions (T0, T30, and T60), the macroporosity of >1000 μm diameter was more than 50% (75.29%, 65.00%, and 54.18%) but decreased sharply under heavy compaction (T90 was 26.03% and T120 was 19.05%), and the percentage of macroporosity in each level of diameter tends to be more evenly distributed. Macropores with larger diameters are more favorable to the crop root system [60]. The effect of compaction on crops is not only a decrease in macroporosity but also a decrease in the percentage of large-diameter voids.
In addition to micropore number and volume, structure morphology is also affected by compaction. Elongated macroporosity is closely related to agglomerate stability [61]. Elongated pores are more beneficial for water and gas storage due to their larger surface area, thus meeting the needs of plant growth [62]. Under heavy compaction (T90 and T120), there were large reductions in elongated macroporosity (46.6% and 52.5%). Soil compaction also reduced the number and surface area of pore throats. Soil infiltration rate is directly proportional to pore throat surface area [63]. However, too many pore throats both affect the transportation and distribution of water, air, and solutes in the soil and are not conducive to the extension and penetration of the plant root system [64]. An excessive number of pore throats is also undesirable for agricultural soil. The soil is too loose, and the number of pore throats is excessive for tilled soils. Moderate compaction reduces the number of pore throats. Therefore, the soil needs some light compaction as in seeding.
Soil bulk density is a commonly used indicator to describe soil compaction. From the experimental results, this macroscopic description is consistent with the macropore variability obtained from X-ray CT. However, the nature of the effect of agricultural soil compaction on crops involves the pore structure. Variations in pore distribution, shape, connectivity, and other structural characteristics could not be described by bulk density, whereas this information is of significance for soil evaluation, which is key to ensuring the functioning of the soil [65]. The experiment also proved that the trend was not the same as with bulk density. This is consistent with the findings of Pöhlitz [55]. Detecting soil structure by X-ray CT and correlating it with crop growth is a more accurate method. However, there are problems, such as limited sampling capacity, restriction on the detection quantity, and inferior convenience [66].
The use of remolded soil samples, while necessary to achieve uniform initial conditions and controlled bulk density for comparative studies, may not fully capture the complex pedogenetic history, biological activity, and inherent structural heterogeneity of natural field soils. The mechanical behavior of remolded soil, particularly its response to compression, can differ from that of an intact structured field soil. This controlled-laboratory approach provides critical and reproducible insights into the fundamental relationship between applied pressure and the evolution of soil macropore architecture. The trends observed, such as the progressive loss of connectivity, the collapse of large macropores, and the increase in small isolated pores, are consistent with phenomena reported in field studies [55,59]. Therefore, our findings offer a quantitative benchmark for understanding the potential structural degradation caused by compaction stresses analogous to those exerted by machinery ground pressure. Future research employing intact core samples from the field and simulating dynamic loading conditions will be essential to further bridge the gap between laboratory findings and real-world scenarios, ultimately refining guidelines for sustainable agricultural machinery design.

5. Conclusions

This study utilized X-ray computed tomography to quantitatively characterize the evolution of the soil macropore structure in a tilled clay soil under increasing compaction pressures. The key findings and their practical implications are as follows:
Soil macropore structure undergoes its most significant and detrimental changes when compaction pressure increases from 60 kPa to 90 kPa. Within this range, macroporosity plummeted by 64.8%, and the number of beneficial elongated macropores decreased by 46.6%. This identifies 90 kPa as a critical ground pressure threshold beyond which soil structural degradation becomes severe.
Compaction does not merely reduce total porosity but fundamentally alters the pore network. It crushes large well-connected pores into a greater number of smaller isolated pores, leading to a significant loss of connectivity. Furthermore, it promotes the formation of irregularly shaped pores over elongated ones, which are more beneficial for water transport and root growth.
Macroporosity, pore volume, and surface area were the most sensitive to compaction in the large-diameter macropores (>1000 μm), which are the most critical for root development and rapid water infiltration.
While bulk density is a useful field indicator, X-ray CT reveals the specific, often detrimental, changes in pore structure that bulk density alone cannot describe. Adopting pressure-based guidelines directly addresses the cause of the damage.
To preserve soil structure after tillage, the ground pressure exerted by agricultural machinery (e.g., planters, sprayers, and harvesters) should be maintained below 90 kPa. This is particularly crucial for operations conducted on moist soils.
Future work should validate this critical pressure threshold across different soil types and moisture contents and investigate the effects of multiple (repeated) compaction events at varying loads.

Author Contributions

Z.G.: conceptualization, methodology, software, data curation, formal analysis, writing—original draft. T.J.: conceptualization, software, resources, writing—original draft. H.L.: data curation, project administration, visualization, writing—review and editing. M.Z.: investigation, validation, supervision, funding acquisition. M.J.: investigation, methodology, resources. D.J.: investigation, writing—review and editing. All authors have read and agreed to the published version of the manuscript.

Funding

This research work was supported by the National Natural Science Foundation of China (52205272), China Postdoctoral Science Foundation (2024T170673), and Basic Scientific Research Professional Expenses of Chinese Academy of Agricultural Sciences (S202414-3).

Data Availability Statement

The data presented in this study are available on request from the authors.

Acknowledgments

The authors thank the editor and anonymous reviewers for providing helpful suggestions for improving the quality of this manuscript.

Conflicts of Interest

The authors declare no conflicts of interest.

References

  1. Rabot, E.; Wiesmeier, M.; Schlüter, S.; Vogel, H.J. Soil structure as an indicator of soil functions: A review. Geoderma 2018, 314, 122–137. [Google Scholar] [CrossRef]
  2. Botta, G.F.; Tolon-Becerra, A.; Lastra-Bravo, X.; Tourn, M. Tillage and traffic effects (planters and tractors) on soil compaction and soybean (Glycine max L.) yields in Argentinean pampas. Soil Tillage Res. 2010, 110, 167–174. [Google Scholar] [CrossRef]
  3. Guo, Y.; Fan, R.; Zhang, X.; Zhang, Y.; Wu, D.; McLaughlin, N.; Zhang, S.; Chen, X.; Liang, A. Tillage-induced effects on SOC through changes in aggregate stability and soil pore structure. Sci. Total Environ. 2020, 703, 134617. [Google Scholar] [CrossRef] [PubMed]
  4. Kreiselmeier, J.; Chandrasekhar, P.; Weninger, T.; Schwen, A.; Julich, S.; Feger, K.; Schwärzel, K. Quantification of soil pore dynamics during a winter wheat cropping cycle under different tillage regimes. Soil Tillage Res. 2019, 192, 222–232. [Google Scholar] [CrossRef]
  5. Ren, L.; Nest, T.; Ruysschaert, G.; D’Hose, T.; Cornelis, W. Short-term effects of cover crops and tillage methods on soil physical properties and maize growth in a sandy loam soil. Soil Tillage Res. 2019, 192, 76–86. [Google Scholar] [CrossRef]
  6. Pulido-Moncada, M.; Katuwal, S.; Kristensen, J.; Munkholm, L. Effects of bio-subsoilers on subsoil pore-system functionality: Case study with intact soil columns. Geoderma 2021, 385, 114897. [Google Scholar] [CrossRef]
  7. Arzilli, F.; Cilona, A.; Mancini, L.; Tondi, E. Using synchrotron x-ray microtomography to characterize the pore network of reservoir rocks: A case study on carbonates. Adv. Water Resour. 2016, 95, 254–263. [Google Scholar] [CrossRef]
  8. Chen, G.; Weil, R.R.; Hill, R.L. Effects of compaction and cover crops on soil least limiting water range and air permeability. Soil Tillage Res. 2014, 136, 61–69. [Google Scholar] [CrossRef]
  9. Scholl, P.; Leitner, D.; Kammerer, G.; Loiskandl, W.; Kaul, H.P.; Bodner, G. Root induced changes of effective 1D hydraulic properties in a soil column. Plant Soil 2014, 381, 193–213. [Google Scholar] [CrossRef]
  10. Tracy, S.R.; Black, C.R.; Roberts, J.A.; Mooney, S.J. Soil compaction: A review of past and present techniques for investigating effects on root growth. J. Sci. Food Agric. 2011, 91, 1528–1537. [Google Scholar] [CrossRef]
  11. Patel, S.K.; Mani, I.; Sundaram, P.K. Effect of subsoil compaction on rooting behavior and yields of wheat. J. Terramechanics 2020, 92, 43–50. [Google Scholar] [CrossRef]
  12. Walter, A.; Silk, W.K.; Schurr, U. Environmental effects on spatial and temporal patterns of leaf and root growth. Annu. Rev. Plant Biol. 2009, 60, 279–304. [Google Scholar] [CrossRef] [PubMed]
  13. Grzesiak, S.; Grzesiak, M.T.; Hura, T.; Marcińska, I.; Rzepka, A. Changes in root system structure, leaf water potential and gas exchange of maize and triticale seedlings affected by soil compaction. Environ. Exp. Bot. 2013, 88, 2–10. [Google Scholar] [CrossRef]
  14. Wang, X.; Zhang, X.; Lin, X.; Sha, L.; Yang, H.; Guo, Z.; Sun, R. Quantification of traffic-induced compaction based on soil and agricultural implement parameters. Int. J. Agric. Biol. Eng. 2020, 13, 134–140. [Google Scholar] [CrossRef]
  15. Bengough, A.G.; McKenzie, B.M.; Hallett, P.D.; Valentine, T.A. Root elongation, water stress, and mechanical impedance: A review of limiting stresses and beneficial root tip traits. J. Exp. Bot. 2011, 62, 59–68. [Google Scholar] [CrossRef]
  16. Samson, B.K.; Hasan, M.; Wade, L.J. Penetration of hardpans by rice lines in the rainfed lowlands. Field Crops Res. 2002, 76, 175–188. [Google Scholar] [CrossRef]
  17. Liu, B.; Fan, H.; Jiang, Y.; Ma, R. Evaluation of soil macro-aggregate characteristics in response to soil macropore characteristics investigated by X-ray computed tomography under freeze-thaw effects. Soil Tillage Res. 2023, 225, 105559. [Google Scholar] [CrossRef]
  18. Nawaz, M.F.; Bourrie, G.; Trolard, F. Soil compaction impact and modelling. A review. Agron. Sustain. Dev. 2013, 33, 291–309. [Google Scholar] [CrossRef]
  19. Udawatta, R.P.; Anderson, S.H.; Gantzer, C.J.; Garrett, H.E. Influence of prairie restoration on CT-measured soil pore characteristics. J. Environ. Qual. 2008, 37, 219–228. [Google Scholar] [CrossRef]
  20. Bogunovic, I.; Pereira, P.; Kisic, I.; Sajko, K.; Sraka, M. Tillage management impacts on soil compaction, erosion and crop yield in Stagnosols (Croatia). Catena 2018, 160, 376–384. [Google Scholar] [CrossRef]
  21. Pang, D.; Wang, G.; Li, G.; Sun, Y.; Liu, Y.; Zhou, J. Ecological stoichiometric characteristics of two typical plantations in the karst ecosystem of southwestern China. Forests 2018, 9, 56. [Google Scholar] [CrossRef]
  22. Li, D.; Velde, B.; Zhang, T. Quantitative estimation of pore variability and complexity in soils by digital image method. Acta Pedol. Sin. 2003, 40, 678–682. [Google Scholar]
  23. Peng, X.; Horn, R.; Hallett, P. Soil structure and its functions in ecosystems: Phase matter & scale matter. Soil Tillage Res. 2015, 146, 1–3. [Google Scholar] [CrossRef]
  24. Liu, J.; Xu, S. Applicability of fractal models in estimating soil water retention characteristics from particle-size distribution data. Pedosphere 2002, 2002, 301–308. [Google Scholar]
  25. Wang, J.; Qin, Q.; Bai, Z. Characterizing the effects of opencast coal-mining and land reclamation on soil macropore distribution characteristics using 3D CT scanning. Catena 2018, 171, 212–221. [Google Scholar] [CrossRef]
  26. Jarvis, N.; Larsbo, M.; Koestel, J. Connectivity and percolation of structural pore networks in a cultivated silt loam soil quantified by x-ray tomography. Geoderma 2017, 287, 71–79. [Google Scholar] [CrossRef]
  27. Naveed, M.; Moldrup, P.; Schaap, M.G.; Tuller, M.; Kulkarni, R.; Vogel, H.J.; Wollesen de Jonge, L. Prediction of biopore-and matrix-dominated flow from X-ray CT-derived macropore network characteristics. Hydrol. Earth Syst. Sci. 2016, 20, 4017–4030. [Google Scholar] [CrossRef]
  28. Ghosh, T.; Maity, P.P.; Das, T.K.; Krishnan, P.; Chakraborty, D.; Bhatia, A.; Ray, M.; Kund, A.; Bhattacharyya, R. Characterization of soil pores through X-ray computed microtomography and carbon mineralization under contrasting tillage and land configurations in the indo-gangetic plains of India. Front. Environ. Sci. 2022, 10, 898249. [Google Scholar] [CrossRef]
  29. Torre, I.G.; Martín-Sotoca, J.J.; Losada, J.C.; López, P.; Tarquis, A.M. Scaling properties of binary and greyscale images in the context of X-ray soil tomography. Geoderma 2020, 365, 114205. [Google Scholar] [CrossRef]
  30. Luo, L.; Lin, H.; Li, S. Quantification of 3-D soil macropore networks in different soil types and land uses using computed tomography. J. Hydrol. 2010, 393, 53–64. [Google Scholar] [CrossRef]
  31. Qiu, C.; Han, X.Z.; Chen, X.; Lu, X.; Yan, J.; Feng, Y.; Gan, J.; Zou, W.; Liu, G. Effects of organic amendment depths on black soil pore structure using CT scanning technology. Trans. Chin. Soc. Agric. Eng. 2021, 37, 98–107. [Google Scholar]
  32. Singh, N.; Kumar, S.; Udawatta, R.P.; Anderson, S.H.; de Jonge, L.W.; Katuwal, S. X-ray micro-computed tomography characterized soil pore network as influenced by long-term application of manure and fertilizer. Geoderma 2021, 385, 114872. [Google Scholar] [CrossRef]
  33. Alskaf, K.; Mooney, S.J.; Sparkes, D.L.; Wilson, P.; Sjögersten, S. Short-term impacts of different tillage practices and plant residue retention on soil physical properties and greenhouse gas emissions. Soil Tillage Res. 2021, 206, 104803. [Google Scholar] [CrossRef]
  34. Pierret, A.; Capowiez, Y.; Belzunces, L.; Moran, C.J. 3D reconstruction and quantification of macropores using X-ray computed tomography and image analysis. Geoderma 2002, 106, 247–271. [Google Scholar] [CrossRef]
  35. Petroselli, C.; Williams, K.A.; Ghosh, A.; McKay Fletcher, D.; Ruiz, S.A.; Gerheim Souza Dias, T.; Scotson, C.P.; Roose, T. Space and time-resolved monitoring of phosphorus release from a fertilizer pellet and its mobility in soil using microdialysis and X-ray computed tomography. Soil Sci. Soc. Am. J. 2021, 85, 172–183. [Google Scholar] [CrossRef]
  36. Pires, L.F.; Auler, A.C.; Roque, W.L.; Mooney, S.J. X-ray microtomography analysis of soil pore structure dynamics under wetting and drying cycles. Geoderma 2020, 362, 114103. [Google Scholar] [CrossRef]
  37. Shein, E.V.; Skvortsova, E.B.; Dembovetskii, A.V.; Abrosimov, K.N.; Il’In, L.I.; Shnyrev, N.A. Pore-size distribution in loamy soils: A comparison between microtomographic and capillarimetric determination methods. Eurasian Soil Sci. 2016, 49, 315–325. [Google Scholar] [CrossRef]
  38. Zhang, Z.; Peng, X. Bio-tillage: A new perspective for sustainable agriculture. Soil Tillage Res. 2021, 206, 104844. [Google Scholar] [CrossRef]
  39. Li, X.; Wang, S.J.; He, B.H.; Chen, Y.F. Disturbance function for soil disturbed state strength based on X-ray computed tomography triaxial test. PLoS ONE 2019, 14, e0215961. [Google Scholar] [CrossRef]
  40. Yang, Y.; Wu, J.; Zhao, S.; Han, Q.; Pan, X.; He, F.; Chen, C. Assessment of the responses of soil pore properties to combined soil structure amendments using X-ray computed tomography. Sci. Rep. 2018, 8, 695. [Google Scholar] [CrossRef]
  41. Fang, H.; Li, Y.; Zhou, H.; Yan, X.; Peng, X. Effects of straw incorporation on paddy soil structure in rice-wheat rotation system. Trans. Chin. Soc. Agric. Mach. 2018, 49, 297–302. [Google Scholar]
  42. Schlüter, S.; Albrecht, L.; Schwärzel, K.; Kreiselmeier, J. Long-term effects of conventional tillage and no-tillage on saturated and near-saturated hydraulic conductivity–Can their prediction be improved by pore metrics obtained with X-ray CT? Geoderma 2020, 361, 114082. [Google Scholar] [CrossRef]
  43. Gao, L.; Becker, E.; Liang, G.; Houssou, A.A.; Wu, H.; Wu, X.; Cai, D.; Degré, A. Effect of different tillage systems on aggregate structure and inner distribution of organic carbon. Geoderma 2017, 288, 97–104. [Google Scholar] [CrossRef]
  44. Schäfer-Landefeld, L.; Brandhuber, R.; Fenner, S.; Koch, H.J.; Stockfisch, N. Effects of agricultural machinery with high axle load on soil properties of normally managed fields. Soil Tillage Res. 2004, 75, 75–86. [Google Scholar] [CrossRef]
  45. Sivarajan, S.; Maharlooei, M.; Bajwa, S.G.; Nowatzki, J. Impact of soil compaction due to wheel traffic on corn and soybean growth, development and yield. Soil Tillage Res. 2018, 175, 234–243. [Google Scholar] [CrossRef]
  46. Keller, T.; Sandin, M.; Colombi, T.; Horn, R.; Or, D. Historical increase in agricultural machinery weights enhanced soil stress levels and adversely affected soil functioning. Soil Tillage Res. 2019, 194, 104293. [Google Scholar] [CrossRef]
  47. Iassonov, P.; Gebrenegus, T.; Tuller, M. Segmentation of X-ray computed tomography images of porous materials: A crucial step for characterization and quantitative analysis of pore structures. Water Resour. Res. 2009, 45, W09415. [Google Scholar] [CrossRef]
  48. Arunpandian, M.; Arunprasath, T.; Vishnuvarthanan, G.; Pallikonda Rajasekaran, M. Soil porosity analysis using combined maximum entropy and class variance thresholding. In Microelectronics, Electromagnetics and Telecommunications: Proceedings of the Fourth ICMEET 2018, Visakhapatnam, India, 3–4 February 2018; Springer: Singapore, 2019; pp. 641–650. [Google Scholar]
  49. Cameron, K.C.; Buchan, G.D. Porosity and pore size distribution. Encycl. Soil Sci. 2006, 1, 1350–1353. [Google Scholar]
  50. Zhou, H.; Peng, X.; Peth, S.; Xiao, T.Q. Effects of vegetation restoration on soil aggregate microstructure quantified with synchrotron-based micro-computed tomography. Soil Tillage Res. 2012, 124, 17–23. [Google Scholar] [CrossRef]
  51. Feng, Y.; Wang, J.; Bai, Z.; Reading, L.; Jing, Z. Three-dimensional quantification of macropore networks of different compacted soils from opencast coal mine area using X-ray computed tomography. Soil Tillage Res. 2020, 198, 104567. [Google Scholar] [CrossRef]
  52. Lebron, I.; Suarez, D.L.; Schaap, M.G. Soil pore size and geometry as a result of aggregate-size distribution and chemical composition. Soil Sci. 2002, 167, 165–172. [Google Scholar] [CrossRef]
  53. Liu, B.; Ma, R.; Fan, H. Evaluation of the impact of freeze-thaw cycles on pore structure characteristics of black soil using X-ray computed tomography. Soil Tillage Res. 2021, 206, 104810. [Google Scholar] [CrossRef]
  54. Zhang, M.; Feng, C.; Niu, S.; Xu, P.; Chen, C. Analysis of the pore network structure of microbial solidification of construction residue soil based on CT scanning. Environ. Earth Sci. 2023, 82, 277. [Google Scholar] [CrossRef]
  55. Pöhlitz, J.; Rücknagel, J.; Schlüter, S.; Vogel, H.J.; Christen, O. Computed tomography as an extension of classical methods in the analysis of soil compaction, exemplified on samples from two tillage treatments and at two moisture tensions. Geoderma 2019, 346, 52–62. [Google Scholar] [CrossRef]
  56. An, S.; Huang, Y.; Zheng, F. Evaluation of soil microbial indices along a revegetation chronosequence in grassland soils on the Loess Plateau, Northwest China. Appl. Soil Ecol. 2009, 41, 286–292. [Google Scholar] [CrossRef]
  57. Hallett, P.; Feeney, D.; Bengough, A.; Rillig, M.; Scrimgeour, C.; Young, I. Disentangling the impact of AM fungi versus roots on soil structure and water transport. Plant Soil 2009, 314, 183–196. [Google Scholar] [CrossRef]
  58. Saffih-Hdadi, K.; Défossez, P.; Richard, G.; Cui, Y.J.; Tang, A.M.; Chaplain, V. A method for predicting soil susceptibility to the compaction of surface layers as a function of water content and bulk density. Soil Tillage Res. 2009, 105, 96–103. [Google Scholar] [CrossRef]
  59. Bottinelli, N.; Hallaire, V.; Goutal, N.; Bonnaud, P.; Ranger, J. Impact of heavy traffic on soil macroporosity of two silty forest soils: Initial effect and short-term recovery. Geoderma 2014, 217, 10–17. [Google Scholar] [CrossRef]
  60. Berisso, F.E.; Schjønning, P.; Keller, T.; Lamandé, M.; Etana, A.; de Jonge, L.W.; Iversen, B.V.; Arvidsson, J.; Forkman, J. Persistent effects of subsoil compaction on pore size distribution and gas transport in a loamy soil. Soil Tillage Res. 2012, 122, 42–51. [Google Scholar] [CrossRef]
  61. Peng, J.; Chen, J.; Wang, J.; Cai, C. Linking aggregate stability to the characteristics of pore structure in different soil types along a climatic gradient in China. Trans. Chin. Soc. Agric. Eng. 2022, 38, 113–121. [Google Scholar]
  62. Peng, J.; Wu, Y.; Geng, T.; Zhang, C.; Wang, J.; Cai, C. Soil pore dynamics and infiltration characteristics as affected by cultivation duration for Mollisol in northeast China. Geoderma 2024, 449, 117021. [Google Scholar] [CrossRef]
  63. Li, W.; Zhou, H.; Chen, X.; Peng, X.; Yu, X. Characterization of aggregate microstructures of paddy soils under different patterns of fertilization with synchrotron radiation micro-CT. Acta Pedol. Sin. 2014, 51, 67–74. [Google Scholar]
  64. Wang, W.; Zhang, H. Effects of long-term fertilization on the microstructure and stability of cinnamon soil aggregates in cropland of North China. Trans. Chin. Soc. Agric. Eng. 2022, 38, 68–74. [Google Scholar]
  65. Li, H.; Zheng, L.; Chen, Y.; Li, B.; Tao, P.; Li, H. Exploring the pore structure of reconstructed soils and its effects on water and salt transport based on CT scanning. Coal Geol. Explor. 2024, 52, 13. [Google Scholar]
  66. Wang, N.; Zhang, T. Soil pore structure and its research methods: A review. Soil Water Res. 2024, 19, 1–24. [Google Scholar] [CrossRef]
Figure 1. Soil preparation. (a) The steel cylinder (300 mm in diameter and height) filled with remolded soil. (b) The static compaction process using a universal testing machine. A metallic loading plate (100 mm in diameter) was used to apply uniaxial pressure to the soil surface to achieve the target bulk density and compaction treatments (T0, T30, T60, T90, and T120).
Figure 1. Soil preparation. (a) The steel cylinder (300 mm in diameter and height) filled with remolded soil. (b) The static compaction process using a universal testing machine. A metallic loading plate (100 mm in diameter) was used to apply uniaxial pressure to the soil surface to achieve the target bulk density and compaction treatments (T0, T30, T60, T90, and T120).
Soilsystems 09 00126 g001
Figure 2. Collection and preservation of intact soil cores for CT scanning. PVC cutting rings used to extract small intact soil cores from the large remolded soil cylinder after the compaction treatment. Examples of the sealed soil cores, wrapped with plastic film to prevent moisture loss during transportation and prior to CT scanning, ensuring the pore structure remained unchanged.
Figure 2. Collection and preservation of intact soil cores for CT scanning. PVC cutting rings used to extract small intact soil cores from the large remolded soil cylinder after the compaction treatment. Examples of the sealed soil cores, wrapped with plastic film to prevent moisture loss during transportation and prior to CT scanning, ensuring the pore structure remained unchanged.
Soilsystems 09 00126 g002
Figure 3. Two-dimensional structure of soil pores. (a) T0; (b) T30; (c) T60; (d) T90; (e) T120.
Figure 3. Two-dimensional structure of soil pores. (a) T0; (b) T30; (c) T60; (d) T90; (e) T120.
Soilsystems 09 00126 g003
Figure 4. Three-dimensional distributions of soil macropores. (a) T0; (b) T30; (c) T60; (d) T90; (e) T120.
Figure 4. Three-dimensional distributions of soil macropores. (a) T0; (b) T30; (c) T60; (d) T90; (e) T120.
Soilsystems 09 00126 g004
Figure 5. CT-measured number of pores and macropores with different compaction pressures. Data points were fitted using a quadratic curve.
Figure 5. CT-measured number of pores and macropores with different compaction pressures. Data points were fitted using a quadratic curve.
Soilsystems 09 00126 g005
Figure 6. CT-measured number of pores and macropores with different compaction pressures.
Figure 6. CT-measured number of pores and macropores with different compaction pressures.
Soilsystems 09 00126 g006
Figure 7. CT-measured macroporosity and macropore average volume with different compaction pressures.
Figure 7. CT-measured macroporosity and macropore average volume with different compaction pressures.
Soilsystems 09 00126 g007
Figure 8. CT-measured macroporosity and macropore average volume with different compaction pressures. CT-measured average volume of macropores with different compaction pressures.
Figure 8. CT-measured macroporosity and macropore average volume with different compaction pressures. CT-measured average volume of macropores with different compaction pressures.
Soilsystems 09 00126 g008
Figure 9. Histograms depicting the macroporosity distribution and proportions in soil samples.
Figure 9. Histograms depicting the macroporosity distribution and proportions in soil samples.
Soilsystems 09 00126 g009
Figure 10. The variation in the macropore total surface area distribution and proportions.
Figure 10. The variation in the macropore total surface area distribution and proportions.
Soilsystems 09 00126 g010
Figure 11. Macropore shape distribution of soil under different compaction pressures.
Figure 11. Macropore shape distribution of soil under different compaction pressures.
Soilsystems 09 00126 g011
Figure 12. Pore throats distribution of soil under different compaction pressures.
Figure 12. Pore throats distribution of soil under different compaction pressures.
Soilsystems 09 00126 g012
Figure 13. The number distribution of pore throats with compaction for different surface areas.
Figure 13. The number distribution of pore throats with compaction for different surface areas.
Soilsystems 09 00126 g013
Figure 14. Variation in the soil bulk density with compaction.
Figure 14. Variation in the soil bulk density with compaction.
Soilsystems 09 00126 g014
Table 1. The averaged CT-measured macropore parameters under different compaction treatments.
Table 1. The averaged CT-measured macropore parameters under different compaction treatments.
Treatment MeansT0T30T60T90T120
Total Number73,685 (4774) b90,257 (5270) b131,293 (7744) ab174,643 (9467) a105,594.5 (6956) ab
Total Volume (mm3)3151.9 (115.4) a1850.4 (15.3) b1268.8 (113.4) c446.9 (191.6) d354.6 (42.5) e
Macroporosity (%)13.448 (0.865) a7.894 (0.505) b5.413 (0.148) c1.906 (0.495) d1.513 (0.084) d
Total Surface area (mm2)59,037 (3868) a45,380 (1087) b38,110 (839) c22,371 (1203) d17,925 (1743) e
Average diameter (mm)0.4487 (0.0069) a0.2736 (0.0826) b0.2343 (0.0323) bc0.2213 (0.0027) bc0.1947 (0.0049) c
Number of pore throats28,735 (275) a19,640 (624) b10,579 (328) c6449 (1787) d4317 (499) e
Pore throat surface area (mm2)11.24 (0.14) a7.48 (0.22) b3.89 (0.24) c2.45 (0.68) d1.63 (0.18) e
Connectivity (%)14.258 (0.478) a7.178 (0.056) b2.430 (0.276) c0.1293 (0.005) d0.1290 (0.055) d
Maximum path length (mm)8.082 (0.991) b12.305 (0.625) a7.401 (0.652) b6.476 (0.702) b4.647 (0.519) b
Average path length (mm)0.385 (0.0126) a0.331 (0.0166) b0.289 (0.0168) c0.271 (0.0026) c0.244 (0.0006) d
Average path branch1350 (145) c8143 (1640) c64,848 (2689) b166,184 (7143) a67,313 (1571) b
Bulk density (g/cm3)1.333 (0.026) d1.497 (0.013) c1.598 (0.016) b1.671 (0.025) a1.723 (0.0219) a
Fractal dimension1.3285 (0.0055) c1.3455 (0.0065) b1.3520 (0.0011) b1.3540 (0.0012) ab1.3623 (0.0055) a
Values represent the mean (standard deviation (n = 4)). Within each row, different lowercase letters indicate significant differences among treatments according to the least significant difference (LSD) test at p < 0.05.
Disclaimer/Publisher’s Note: The statements, opinions and data contained in all publications are solely those of the individual author(s) and contributor(s) and not of MDPI and/or the editor(s). MDPI and/or the editor(s) disclaim responsibility for any injury to people or property resulting from any ideas, methods, instructions or products referred to in the content.

Share and Cite

MDPI and ACS Style

Guan, Z.; Jiang, T.; Li, H.; Zhang, M.; Jin, M.; Jiang, D. Characterizing the Effects of Compaction on Agricultural Tilled Soil Macropore Characteristics Using X-Ray Computed Tomography. Soil Syst. 2025, 9, 126. https://doi.org/10.3390/soilsystems9040126

AMA Style

Guan Z, Jiang T, Li H, Zhang M, Jin M, Jiang D. Characterizing the Effects of Compaction on Agricultural Tilled Soil Macropore Characteristics Using X-Ray Computed Tomography. Soil Systems. 2025; 9(4):126. https://doi.org/10.3390/soilsystems9040126

Chicago/Turabian Style

Guan, Zhuohuai, Tao Jiang, Haitong Li, Min Zhang, Mei Jin, and Dong Jiang. 2025. "Characterizing the Effects of Compaction on Agricultural Tilled Soil Macropore Characteristics Using X-Ray Computed Tomography" Soil Systems 9, no. 4: 126. https://doi.org/10.3390/soilsystems9040126

APA Style

Guan, Z., Jiang, T., Li, H., Zhang, M., Jin, M., & Jiang, D. (2025). Characterizing the Effects of Compaction on Agricultural Tilled Soil Macropore Characteristics Using X-Ray Computed Tomography. Soil Systems, 9(4), 126. https://doi.org/10.3390/soilsystems9040126

Article Metrics

Back to TopTop