From Plant to Paddy—How Rice Root Iron Plaque Can Affect the Paddy Field Iron Cycling
Abstract
1. Introduction
2. Materials and Methods
2.1. Plant Cultivation
2.2. Geochemical Measurements and Image Analysis in Rhizotrons
2.3. Iron Plaque Mineral Identification
2.4. Iron Plaque Reduction in Liquid Culture
2.5. Iron Plaque Reduction in Rhizotrons
2.6. Iron Plaque Reduction: Geochemical Measurements and Mineral Identity
3. Results
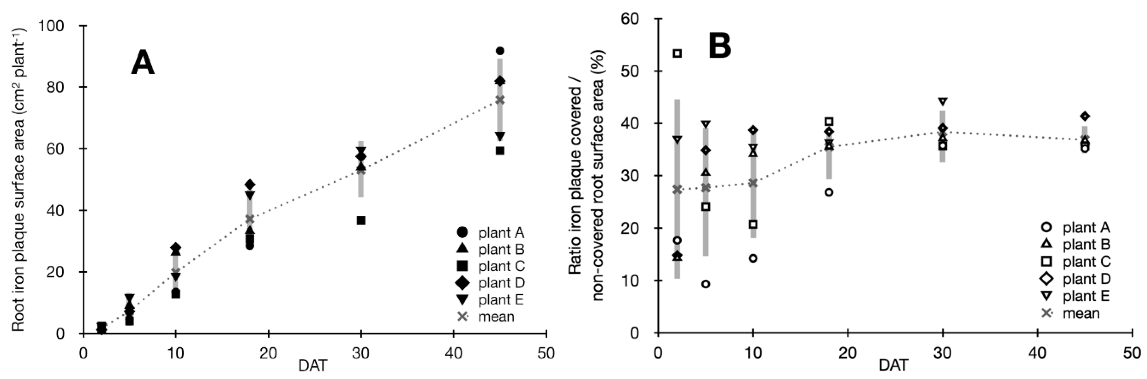
3.1. Spatio-Temporal Quantification of ROL and the Identification of O2 Hot Spots
3.2. Iron Plaque Mineral Formation and Transformation
3.3. Iron Plaque Reduction, Mineral Transformation, and Reductive Dissolution
3.4. Spatio-Temporal Iron Plaque Reduction, Fe(II) Remobilization, and Rhizosphere Gradients
4. Discussion
4.1. Rice Roots as Initiator for Rhizosphere Iron Mineral Formation and Heavy Metal Immobilization
4.2. Impact of Microaerophilic Fe(II)-Oxidizers on Iron Plaque Formation
4.3. Root Iron Plaque as a Hot Spot for Fe(III) Reduction
4.4. Root Tips—The Light Dependent Locomotion for Rhizosphere Redox Changes in Paddy Soils
4.5. Environmental Relevance
Supplementary Materials
Author Contributions
Funding
Acknowledgments
Conflicts of Interest
References
- Fredrickson, J.K.; Gorby, Y.A. Environmental processes mediated by iron-reducing bacteria. Curr. Opin. Biotechnol. 1996, 7, 287–294. [Google Scholar] [CrossRef]
- Begg, C.B.M.; Kirk, G.J.D.; Mackenzie, A.F.; Neue, H.U. Root-Induced Iron Oxidation and Ph Changes in the Lowland Rice Rhizosphere. New Phytol. 1994, 128, 469–477. [Google Scholar] [CrossRef]
- Taylor, S.E.; Terry, N.; Huston, R.P. Limiting Factors in Photosynthesis.3. Effects of Iron Nutrition on the Activities of 3 Regulatory Enzymes of Photosynthetic Carbon Metabolism. Plant Physiol. 1982, 70, 1541–1543. [Google Scholar] [CrossRef] [PubMed]
- Terry, N. Limiting Factors in Photosynthesis.1. Use of Iron Stress to Control Photo-Chemical Capacity In vivo. Plant Physiol. 1980, 65, 114–120. [Google Scholar] [CrossRef] [PubMed]
- Becker, M.; Asch, F. Iron toxicity in rice-conditions and management concepts. J. Plant Nutr. Soil Sci. 2005, 168, 558–573. [Google Scholar] [CrossRef]
- Armstrong, W. Oxygen Diffusion from Roots of Rice Grown under Non-Waterlogged Conditions. Physiol. Plant. 1971, 24, 242–247. [Google Scholar] [CrossRef]
- Yamaguchi, N.; Ohkura, T.; Takahashi, Y.; Maejima, Y.; Arao, T. Arsenic Distribution and Speciation near Rice Roots Influenced by Iron Plaques and Redox Conditions of the Soil Matrix. Environ. Sci. Technol. 2014, 48, 1549–1556. [Google Scholar] [CrossRef]
- Armstrong, W. Radial Oxygen Losses from Intact Rice Roots as Affected by Distance from Apex, Respiration and Waterlogging. Physiol. Plant. 1971, 25, 192–197. [Google Scholar] [CrossRef]
- Mendelssohn, I.A.; Kleiss, B.A.; Wakeley, J.S. Factors Controlling the Formation of Oxidized Root Channels—A Review. Wetlands 1995, 15, 37–46. [Google Scholar] [CrossRef]
- Wang, Z.P.; Delaune, R.D.; Masscheleyn, P.H.; Patrick, W.H. Soil Redox and Ph Effects on Methane Production in a Flooded Rice Soil. Soil Sci. Soc. Am. J. 1993, 57, 382–385. [Google Scholar] [CrossRef]
- Yu, T.R. Characteristics of Soil Acidity of Paddy Soils in Relation to Rice Growth. Plant-Soil Interact. Low pH 1991, 45, 107–112. [Google Scholar]
- Liesack, W.; Schnell, S.; Revsbech, N.P. Microbiology of flooded rice paddies. Fems Microbiol. Rev. 2000, 24, 625–645. [Google Scholar] [CrossRef] [PubMed]
- Hori, T.; Muller, A.; Igarashi, Y.; Conrad, R.; Friedrich, M.W. Identification of iron-reducing microorganisms in anoxic rice paddy soil by C-13-acetate probing. Isme J. 2010, 4, 267–278. [Google Scholar] [CrossRef] [PubMed]
- Achtnich, C.; Bak, F.; Conrad, R. Competition for Electron-Donors among Nitrate Reducers, Ferric Iron Reducers, Sulfate Reducers, and Methanogens in Anoxic Paddy Soil. Biol. Fertil. Soils 1995, 19, 65–72. [Google Scholar] [CrossRef]
- Druschel, G.K.; Emerson, D.; Sutka, R.; Suchecki, P.; Luther, G.W. Low-oxygen and chemical kinetic constraints on the geochemical niche of neutrophilic iron(II) oxidizing microorganisms. Geochim. Cosmochim. Acta 2008, 72, 3358–3370. [Google Scholar] [CrossRef]
- Lueder, U.; Druschel, G.; Emerson, D.; Kappler, A.; Schmidt, C. Quantitative analysis of O-2 and Fe2+ profiles in gradient tubes for cultivation of microaerophilic Iron(II)-oxidizing bacteria. Fems Microbiol. Ecol. 2018, 94. [Google Scholar] [CrossRef]
- Emerson, D.; Weiss, J.V.; Megonigal, J.P. Iron-oxidizing bacteria are associated with ferric hydroxide precipitates (Fe-plaque) on the roots of wetland plants. Appl. Environ. Microbiol. 1999, 65, 2758–2761. [Google Scholar] [CrossRef]
- Neubauer, S.C.; Toledo-Duran, G.E.; Emerson, D.; Megonigal, J.P. Returning to their roots: Iron-oxidizing bacteria enhance short-term plaque formation in the wetland-plant rhizosphere. Geomicrobiol. J. 2007, 24, 65–73. [Google Scholar] [CrossRef]
- Maisch, M.; Lueder, U.; Kappler, A.; Schmidt, C. (a), Iron Lung: How Rice Roots Induce Iron Redox Changes in the Rhizosphere and Create Niches for Microaerophilic Fe(II)-Oxidizing Bacteria. Environ. Sci. Technol. Lett. 2019, 6, 600–605. [Google Scholar] [CrossRef]
- Urrutia, M.M.; Roden, E.E.; Fredrickson, J.K.; Zachara, J.M. Microbial and surface chemistry controls on reduction of synthetic Fe(III) oxide minerals by the dissimilatory iron-reducing bacterium Shewanella alga. Geomicrobiol. J. 1998, 15, 269–291. [Google Scholar] [CrossRef]
- Langley, S.; Gault, A.; Ibrahim, A.; Renaud, R.; Fortin, D.; Clark, I.D.; Ferris, F.G. A Comparison of the Rates of Fe(III) Reduction in Synthetic and Bacteriogenic Iron Oxides by Shewanella putrefaciens CN32. Geomicrobiol. J. 2009, 26, 57–70. [Google Scholar] [CrossRef]
- Bridge, T.A.M.; Johnson, D.B. Reduction of soluble iron and reductive dissolution of ferric iron-containing minerals by moderately thermophilic iron-oxidizing bacteria. Appl. Environ. Microbiol. 1998, 64, 2181–2186. [Google Scholar] [CrossRef] [PubMed]
- Bennett, B.; Dudas, M.J. Release of arsenic and molybdenum by reductive dissolution of iron oxides in a soil with enriched levels of native arsenic. J. Environ. Eng. Sci. 2003, 2, 265–272. [Google Scholar] [CrossRef]
- Hansel, C.M.; Fendorf, S.; Sutton, S.; Newville, M. Characterization of Fe plaque and associated metals on the roots of mine-waste impacted aquatic plants. Environ. Sci. Technol. 2001, 35, 3863–3868. [Google Scholar] [CrossRef] [PubMed]
- Kirk, G.J.D.; Bajita, J.B. Root-Induced Iron Oxidation, Ph Changes and Zinc Solubilization in the Rhizosphere of Lowland Rice. New Phytol. 1995, 131, 129–137. [Google Scholar] [CrossRef]
- Wahid, P.A.; Kamalam, N.V. Reductive Dissolution of Crystalline and Amorphous Fe(Iii) Oxides by Microorganisms in Submerged Soil. Biol. Fertil. Soils 1993, 15, 144–148. [Google Scholar] [CrossRef]
- Weber, K.A.; Achenbach, L.A.; Coates, J.D. Microorganisms pumping iron: Anaerobic microbial iron oxidation and reduction. Nat. Rev. Microbiol. 2006, 4, 752–764. [Google Scholar] [CrossRef]
- Yu, H.Y.; Li, F.B.; Liu, C.S.; Huang, W.; Liu, T.X.; Yu, W.M. Iron Redox Cycling Coupled to Transformation and Immobilization of Heavy Metals: Implications for Paddy Rice Safety in the Red Soil of South China. Adv. Agron. 2016, 137, 279–317. [Google Scholar]
- Weiss, J.V.; Emerson, D.; Backer, S.M.; Megonigal, J.P. Enumeration of Fe(II)-oxidizing and Fe(III)-reducing bacteria in the root zone of wetland plants: Implications for a rhizosphere iron cycle. Biogeochemistry 2003, 64, 77–96. [Google Scholar] [CrossRef]
- Garnier, J.; Garnier, J.M.; Vieira, C.L.; Akerman, A.; Chmeleff, J.; Ruiz, R.I.; Poitrasson, F. Iron isotope fingerprints of redox and biogeochemical cycling in the soil-water-rice plant system of a paddy field. Sci. Total Environ. 2017, 574, 1622–1632. [Google Scholar] [CrossRef]
- Roden, E.E.; Wetzel, R.G. Kinetics of microbial Fe(III) oxide reduction in freshwater wetland sediments. Limnol. Oceanogr. 2002, 47, 198–211. [Google Scholar] [CrossRef]
- Hoagland, D.R.; Arnon, D.I. The water-culture method for growing plants without soil. In Circular, 2nd ed.; California Agricultural Experiment Station: Berkeley, CA, USA, 1950; Volume 347. [Google Scholar]
- Maisch, M.; Lueder, U.; Laufer, K.; Scholze, C.; Kappler, A.; Schmidt, C. (b), Contribution of Microaerophilic Iron(II)-Oxidizers to Iron(III) Mineral Formation. Environ. Sci. Technol. 2019, 53, 8197–8204. [Google Scholar] [CrossRef] [PubMed]
- Kirk, G. The Biogeochemistry of Submerged Soils; John Wiley & Sons: Chichester, UK, 2004. [Google Scholar]
- Flessa, H.; Fischer, W.R. Plant-Induced Changes in the Redox Potentials of Rice Rhizospheres. Plant Soil 1992, 143, 55–60. [Google Scholar] [CrossRef]
- Schmidt, H.; Eickhorst, T.; Tippkotter, R. Monitoring of root growth and redox conditions in paddy soil rhizotrons by redox electrodes and image analysis. Plant Soil 2011, 341, 221–232. [Google Scholar] [CrossRef]
- Benjamin, J.G.; Nielsen, D.C. A method to separate plant roots from soil and analyze root surface area. Plant Soil 2004, 267, 225–234. [Google Scholar] [CrossRef]
- Muehe, E.M.; Scheer, L.; Daus, B.; Kappler, A. Fate of Arsenic during Microbial Reduction of Biogenic versus Abiogenic As-Fe(III)-Mineral Coprecipitates. Environ. Sci. Technol. 2013, 47, 8297–8307. [Google Scholar] [CrossRef]
- Muehe, E.M.; Obst, M.; Hitchcock, A.; Tyliszczak, T.; Behrens, S.; Schröder, C.; Byrne, M.J.; Michel, F.M.; Krämer, U.; Kappler, A. Fate of Cd during Microbial Fe(III) Mineral Reduction by a Novel and Cd-Tolerant Geobacter Species. Environ. Sci. Technol. 2013, 47, 14099–14109. [Google Scholar] [CrossRef]
- Stookey, L.L. Ferrozine—A New Spectrophotometric Reagent for Iron. Anal. Chem. 1970, 42, 779–781. [Google Scholar] [CrossRef]
- Seyfferth, A.L.; Webb, S.M.; Andrews, J.C.; Fendorf, S. Arsenic Localization, Speciation, and Co-Occurrence with Iron on Rice (Oryza sativa L.) Roots Having Variable Fe Coatings. Environ. Sci. Technol. 2010, 44, 8108–8113. [Google Scholar] [CrossRef]
- Blute, N.K.; Brabander, D.J.; Hemond, H.F.; Sutton, S.R.; Newville, M.G.; Rivers, M.L. Arsenic sequestration by ferric iron plaque on cattail roots. Environ. Sci. Technol. 2004, 38, 6074–6077. [Google Scholar] [CrossRef]
- Hiemstra, T.; van Riemsdijk, W.H. A surface structural model for ferrihydrite I: Sites related to primary charge, molar mass, and mass density. Geochim. Cosmochim. Acta 2009, 73, 4423–4436. [Google Scholar] [CrossRef]
- Matsumoto, S.; Kasuga, J.; Makino, T.; Arao, T. Evaluation of the effects of application of iron materials on the accumulation and speciation of arsenic in rice grain grown on uncontaminated soil with relatively high levels of arsenic. Environ. Exp. Bot. 2016, 125, 42–51. [Google Scholar] [CrossRef]
- Tan, X.Z.; Shao, D.G.; Liu, H.H.; Yang, F.S.; Xiao, C.; Yang, H.D. Effects of alternate wetting and drying irrigation on percolation and nitrogen leaching in paddy fields. Paddy Water Environ. 2013, 11, 381–395. [Google Scholar] [CrossRef]
- Carlson, J.J.; Kawatra, S.K. Factors Affecting Zeta Potential of Iron Oxides. Miner. Process. Extr. Metall. Rev. 2013, 34, 269–303. [Google Scholar] [CrossRef]
- Aimrun, W.; Amin, M.S.M.; Eltaib, S.M. Effective porosity of paddy soils as an estimation of its saturated hydraulic conductivity. Geoderma 2004, 121, 197–203. [Google Scholar] [CrossRef]
- Stumm, W.; Wehrli, B.; Wieland, E. Surface Complexation and Its Impact on Geochemical Kinetics. Croat. Chem. Acta 1987, 60, 429–456. [Google Scholar]
- Gu, B.H.; Schmitt, J.; Chen, Z.; Liang, L.Y.; Mccarthy, J.F. Adsorption and Desorption of Different Organic-Matter Fractions on Iron-Oxide. Geochim. Cosmochim. Acta 1995, 59, 219–229. [Google Scholar] [CrossRef]
- Howeler, R.H.; Bouldin, D.R. The Diffusion and Consumption of Oxygen in Submerged Soils1. Soil Sci. Soc. Am. J. 1971, 35, 202–208. [Google Scholar] [CrossRef]
- Kirby, C.S.; Thomas, H.M.; Southam, G.; Donald, R. Relative contributions of abiotic and biological factors in Fe(II) oxidation in mine drainage. Appl. Geochem. 1999, 14, 511–530. [Google Scholar] [CrossRef]
- Cahyani, V.R.; Murase, J.; Ikeda, A.; Taki, K.; Asakawa, S.; Kimura, M. Bacterial communities in iron mottles in the plow pan layer in a Japanese rice field: Estimation using PCR-DGGE and sequencing analyses. Soil Sci. Plant Nutr. 2008, 54, 711–717. [Google Scholar] [CrossRef]
- Emerson, D.; Moyer, C.L. Neutrophilic Fe-Oxidizing bacteria are abundant at the Loihi Seamount hydrothermal vents and play a major role in Fe oxide deposition. Appl. Environ. Microbiol. 2002, 68, 3085–3093. [Google Scholar] [CrossRef] [PubMed]
- Chan, C.S.; Emerson, D.; Luther, G.W. The role of microaerophilic Fe-oxidizing micro-organisms in producing banded iron formations. Geobiology 2016, 14, 509–528. [Google Scholar] [CrossRef] [PubMed]
- Melton, E.D.; Swanner, E.D.; Behrens, S.; Schmidt, C.; Kappler, A. The interplay of microbially mediated and abiotic reactions in the biogeochemical Fe cycle. Nat. Rev. Microbiol. 2014, 12, 797–808. [Google Scholar] [CrossRef] [PubMed]
- King, G.M.; Garey, M.A. Ferric Iron Reduction by Bacteria Associated with the Roots of Freshwater and Marine Macrophytes. Appl. Environ. Microbiol. 1999, 65, 4393. [Google Scholar] [CrossRef]
- Weiss, J.V.; Emerson, D.; Megonigal, J.P. Geochemical control of microbial Fe(III) reduction potential in wetlands: Comparison of the rhizosphere to non-rhizosphere soil. Fems Microbiol. Ecol. 2004, 48, 89–100. [Google Scholar] [CrossRef]
- Colombo, C.; Palumbo, G.; He, J.Z.; Pinton, R.; Cesco, S. Review on iron availability in soil: Interaction of Fe minerals, plants, and microbes. J. Soils Sediments 2014, 14, 538–548. [Google Scholar] [CrossRef]
- Dannenberg, S.; Conrad, R. Effect of rice plants on methane production and rhizospheric metabolism in paddy soil. Biogeochemistry 1999, 45, 53–71. [Google Scholar] [CrossRef]
- Strom, L.; Mastepanov, M.; Christensen, T.R. Species-specific effects of vascular plants on carbon turnover and methane emissions from wetlands. Biogeochemistry 2005, 75, 65–82. [Google Scholar] [CrossRef]
- Lovley, D.R.; Giovannoni, S.J.; White, D.C.; Champine, J.E.; Phillips, E.J.P.; Gorby, Y.A.; Goodwin, S. Geobacter-Metallireducens Gen-Nov Sp-Nov, a Microorganism Capable of Coupling the Complete Oxidation of Organic-Compounds to the Reduction of Iron and Other Metals. Arch. Microbiol. 1993, 159, 336–344. [Google Scholar] [CrossRef]
- Cornell, R.M.; Schneider, W.; Giovanoli, R. The Transformation of Ferrihydrite into Lepidocrocite. Clay Miner. 1989, 24, 549–553. [Google Scholar] [CrossRef]
- Jacob, D.L.; Otte, M.L. Conflicting processes in the wetland plant rhizosphere: Metal retention or mobilization? Water Air Soil Pollut. Focus 2003, 3, 91–104. [Google Scholar] [CrossRef]
- Xu, X.; Mills, G.L. Do constructed wetlands remove metals or increase metal bioavailability? J. Environ. Manag. 2018, 218, 245–255. [Google Scholar] [CrossRef]
- Elsner, M.; Schwarzenbach, R.P.; Haderlein, S.B. Reactivity of Fe(II)-bearing minerals toward reductive transformation of organic contaminants. Environ. Sci. Technol. 2004, 38, 799–807. [Google Scholar] [CrossRef] [PubMed]
- Bonneville, S.; van Cappellen, P.; Behrends, T. Microbial reduction of iron(III) oxyhydroxides: Effects of mineral solubility and availability. Chem. Geol. 2004, 212, 255–268. [Google Scholar] [CrossRef]
- Munch, J.C.; Ottow, J.C.G. Preferential Reduction of Amorphous to Crystalline Iron-Oxides by Bacterial-Activity. Soil Sci. 1980, 129, 15–21. [Google Scholar] [CrossRef]
- Roden, E.E.; Zachara, J.M. Microbial reduction of crystalline iron(III) oxides: Influence of oxide surface area and potential for cell growth. Environ. Sci. Technol. 1996, 30, 1618–1628. [Google Scholar] [CrossRef]
- Najem, T.; Langley, S.; Fortin, D. A comparison of Fe(III) reduction rates between fresh and aged biogenic iron oxides (BIOS) by Shewanella putrefaciens CN32. Chem. Geol. 2016, 439, 1–12. [Google Scholar] [CrossRef]
- Kludze, H.K.; Delaune, R.D.; Patrick, W.H. Aerenchyma Formation and Methane and Oxygen-Exchange in Rice. Soil Sci. Soc. Am. J. 1993, 57, 386–391. [Google Scholar] [CrossRef]
- Colmer, T.D.; Cox, M.C.H.; Voesenek, L.A.C.J. Root aeration in rice (Oryza sativa): Evaluation of oxygen, carbon dioxide, and ethylene as possible regulators of root acclimatizations. New Phytol. 2006, 170, 767–777. [Google Scholar] [CrossRef]
- Lovley, D.R.; Ueki, T.; Zhang, T.; Malvankar, N.S.; Shrestha, P.M.; Flanagan, K.A.; Aklujkar, M.; Butler, J.E.; Giloteaux, L.; Rotaru, A.E.; et al. Geobacter: The Microbe Electric's Physiology, Ecology, and Practical Applications. Adv. Microb. Physiol. 2011, 59, 1–100. [Google Scholar]
- Colmer, T.D. Aerenchyma and an inducible barrier to radial oxygen loss facilitate root aeration in upland, paddy and deep-water rice (Oryza sativa L.). Ann. Bot. 2003, 91, 301–309. [Google Scholar] [CrossRef] [PubMed]
- Jackel, U.; Schnell, S. Suppression of methane emission from rice paddies by ferric iron fertilization. Soil Biol. Biochem. 2000, 32, 1811–1814. [Google Scholar] [CrossRef]
- Furukawa, Y.; Inubushi, K. Effect of application of iron materials on methane and nitrous oxide emissions from two types of paddy soils. Soil Sci. Plant Nutr. 2004, 50, 917–924. [Google Scholar] [CrossRef]
- Cai, A.D.; Feng, W.T.; Zhang, W.J.; Xu, M.G. Climate, soil texture, and soil types affect the contributions of fine-fraction-stabilized carbon to total soil organic carbon in different land uses across China. J. Environ. Manag. 2016, 172, 2–9. [Google Scholar] [CrossRef] [PubMed]







| Δ O2 Local Concentration at Root Tip | Dark (µM hour−1) | Light (µM hour−1) | 
|---|---|---|
| Root 1 | −3.8 (±0.6) | +3.2 (±0.8) | 
| Root 2 | −2.4 (±0.4) | +2.0 (±0.3) | 
| Root 3 | −1.9 (±0.3) | +0.9 (±0.2) | 
| Average | −2.7 (±1.0) | +2.0 (±1.2) | 
| Total Root Iron Plaque (mg Fe g−1 Dry Root Weight, (Mean)) | Iron Plaque Remobilization (mg Fe g−1 Dry Root Weight (%)) | Iron Plaque Fe(II)/Fe(III) Ratio after Incubation (%) | |
|---|---|---|---|
| Remobilization Ratio | 60.2–189.0 (117.4 ± 23.0) | 23.4–58.6 (20–29) | 73–85 | 
© 2020 by the authors. Licensee MDPI, Basel, Switzerland. This article is an open access article distributed under the terms and conditions of the Creative Commons Attribution (CC BY) license (http://creativecommons.org/licenses/by/4.0/).
Share and Cite
Maisch, M.; Lueder, U.; Kappler, A.; Schmidt, C. From Plant to Paddy—How Rice Root Iron Plaque Can Affect the Paddy Field Iron Cycling. Soil Syst. 2020, 4, 28. https://doi.org/10.3390/soilsystems4020028
Maisch M, Lueder U, Kappler A, Schmidt C. From Plant to Paddy—How Rice Root Iron Plaque Can Affect the Paddy Field Iron Cycling. Soil Systems. 2020; 4(2):28. https://doi.org/10.3390/soilsystems4020028
Chicago/Turabian StyleMaisch, Markus, Ulf Lueder, Andreas Kappler, and Caroline Schmidt. 2020. "From Plant to Paddy—How Rice Root Iron Plaque Can Affect the Paddy Field Iron Cycling" Soil Systems 4, no. 2: 28. https://doi.org/10.3390/soilsystems4020028
APA StyleMaisch, M., Lueder, U., Kappler, A., & Schmidt, C. (2020). From Plant to Paddy—How Rice Root Iron Plaque Can Affect the Paddy Field Iron Cycling. Soil Systems, 4(2), 28. https://doi.org/10.3390/soilsystems4020028
 
        


 
       