Stability of Spherical Nuclei in the Inner Crust of Neutron Stars
Abstract
1. Introduction
2. Calculations
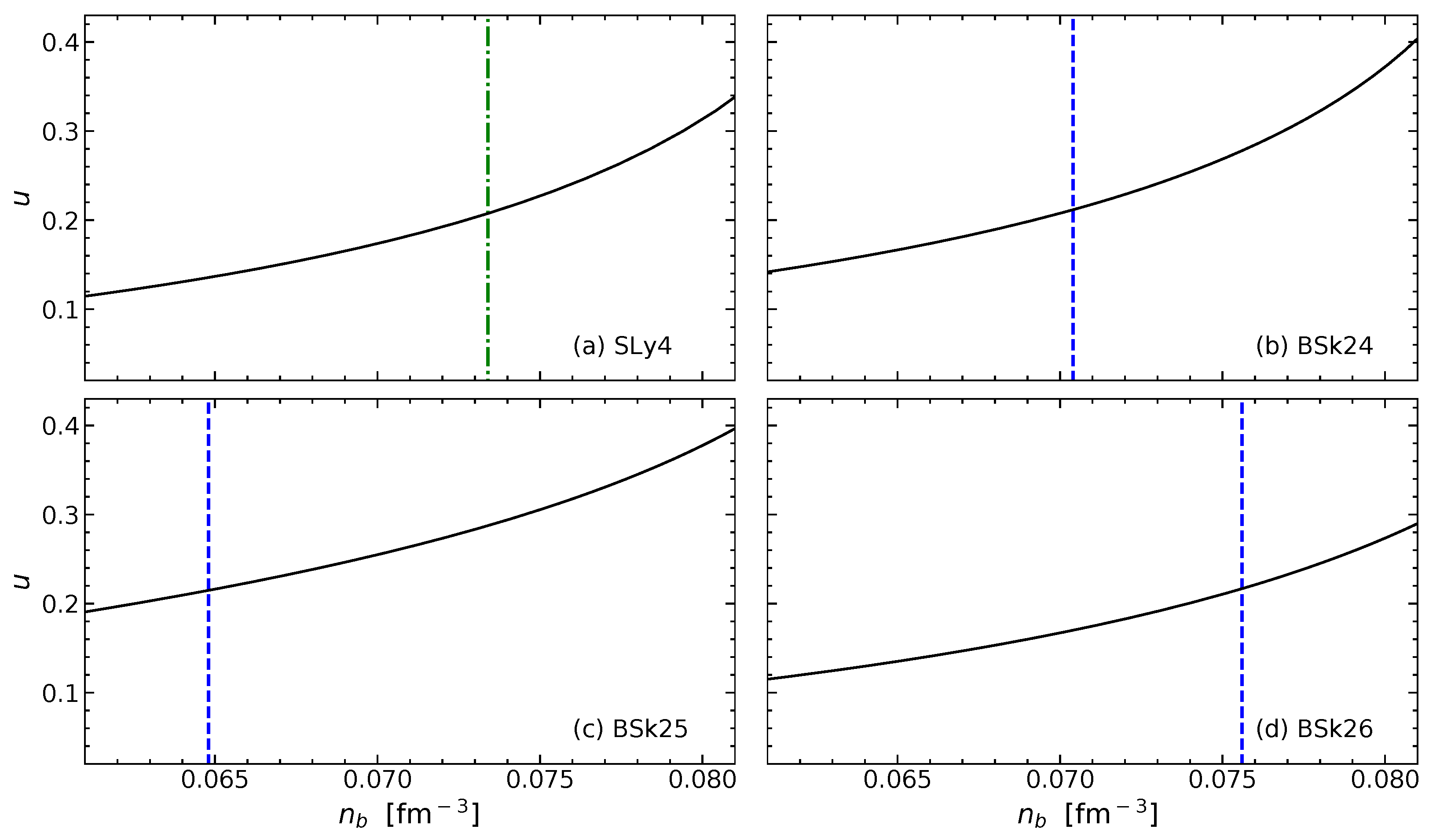
2.1. Equilibrium Inner Crust
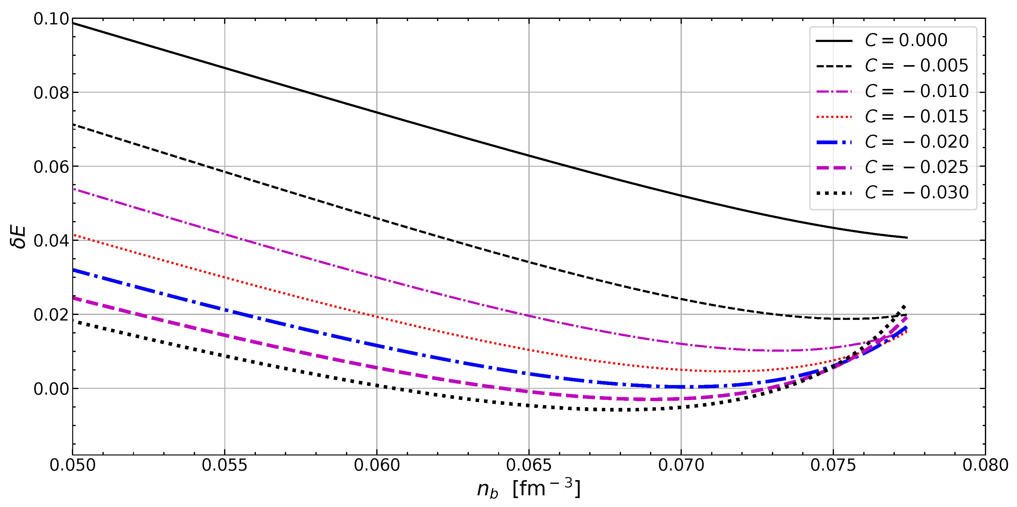
2.2. Non-Equilibrium Inner Crust
3. Discussion, Results and Conclusions
Author Contributions
Funding
Data Availability Statement
Conflicts of Interest
Abbreviations
| CLDM | Compressible liquid drop model |
| SLy | Skyrme–Lyon |
| BSk | Brussels–Skyrme |
Appendix A. Derivation of the Energy Change Associated with Nuclei Deformation
Appendix A.1. Coulomb Energy of the Cell with Deformed Nucleus
Appendix A.2. Calculation of the Energy Change Neglecting Neutron Skin
Appendix A.3. Calculation of the Energy Change Including Neutron Skin
References
- Haensel, P.; Potekhin, A.Y.; Yakovlev, D.G. Neutron Stars 1: Equation of State and Structure; Springer: New York, NY, USA, 2007; Volume 326, p. 620. [Google Scholar] [CrossRef]
- Chamel, N.; Haensel, P. Physics of Neutron Star Crusts. Living Rev. Rel. 2008, 11, 10. [Google Scholar] [CrossRef] [PubMed]
- Ravenhall, D.G.; Pethick, C.J.; Wilson, J.R. Structure of Matter below Nuclear Saturation Density. Phys. Rev. Lett. 1983, 50, 2066–2069. [Google Scholar] [CrossRef]
- Hashimoto, M.; Seki, H.; Yamada, M. Shape of nuclei in the crust of a neutron star. Prog. Theor. Phys. 1984, 71, 320–326. [Google Scholar] [CrossRef]
- Newton, W.G.; Gearheart, M.; Li, B.A. A Survey of the Parameter Space of the Compressible Liquid Drop Model as Applied to the Neutron Star Inner Crust. Astrophys. J. Suppl. Ser. 2012, 204, 9. [Google Scholar] [CrossRef]
- Caplan, M.E.; Horowitz, C.J. Colloquium: Astromaterial science and nuclear pasta. Rev. Mod. Phys. 2017, 89, 041002. [Google Scholar] [CrossRef]
- Dinh Thi, H.; Carreau, T.; Fantina, A.F.; Gulminelli, F. Uncertainties in the pasta-phase properties of catalysed neutron stars. Astron. Astrophys. 2021, 654, A114. [Google Scholar] [CrossRef]
- Pearson, J.M.; Chamel, N.; Potekhin, A.Y. Unified equations of state for cold nonaccreting neutron stars with Brussels-Montreal functionals. II. Pasta phases in semiclassical approximation. Phys. Rev. C 2020, 101, 015802. [Google Scholar] [CrossRef]
- Newton, W.G.; Kaltenborn, M.A.; Cantu, S.; Wang, S.; Stinson, A.; Rikovska Stone, J. Glassy quantum nuclear pasta in neutron star crusts. arXiv 2021, arXiv:2104.11835. [Google Scholar] [CrossRef]
- Pearson, J.M.; Chamel, N. Unified equations of state for cold nonaccreting neutron stars with Brussels-Montreal functionals. III. Inclusion of microscopic corrections to pasta phases. Phys. Rev. C 2022, 105, 015803. [Google Scholar] [CrossRef]
- Douchin, F.; Haensel, P. Inner edge of neutron-star crust with SLy effective nucleon-nucleon interactions. Phys. Lett. B 2000, 485, 107–114. [Google Scholar] [CrossRef]
- Viñas, X.; Gonzalez-Boquera, C.; Sharma, B.K.; Centelles, M. Pasta-phase Transitions in the Inner Crust of Neutron Stars. Acta Phys. Pol. B Proc. Suppl. 2017, 10, 259. [Google Scholar] [CrossRef]
- Pethick, C.J.; Ravenhall, D.G. Matter at Large Neutron Excess and the Physics of Neutron-Star Crusts. Annu. Rev. Nucl. Part. Sci. 1995, 45, 429–484. [Google Scholar] [CrossRef]
- Iida, K.; Watanabe, G.; Sato, K. Formation of Nuclear “Pasta” in Cold Neutron Star Matter. Prog. Theor. Phys. Suppl. 2002, 146, 514–519. [Google Scholar] [CrossRef][Green Version]
- Bohr, N.; Wheeler, J.A. The Mechanism of Nuclear Fission. Phys. Rev. 1939, 56, 426–450. [Google Scholar] [CrossRef]
- Chabanat, E.; Bonche, P.; Haensel, P.; Meyer, J.; Schaeffer, R. A Skyrme parametrization from subnuclear to neutron star densities. Nucl. Phys. A 1997, 627, 710–746. [Google Scholar] [CrossRef]
- Chabanat, E.; Bonche, P.; Haensel, P.; Meyer, J.; Schaeffer, R. A Skyrme parametrization from subnuclear to neutron star densities Part II. Nuclei far from stabilities. Nucl. Phys. A 1998, 635, 231–256. [Google Scholar] [CrossRef]
- Goriely, S.; Chamel, N.; Pearson, J.M. Further explorations of Skyrme-Hartree-Fock-Bogoliubov mass formulas. XIII. The 2012 atomic mass evaluation and the symmetry coefficient. Phys. Rev. C 2013, 88, 024308. [Google Scholar] [CrossRef]
- Zemlyakov, N.A.; Chugunov, A.I.; Shchechilin, N.N. Non-spherical nucleon clusters in the mantle of a neutron star: CLDM based on Skyrme-type forces. J. Phys. Conf. Ser. 2021, 2103, 012004. [Google Scholar] [CrossRef]
- Watanabe, G. Simulating Pasta Phases by Molecular Dynamics and Cold Atoms: Formation in Supernovae and Superfluid Neutrons in Neutron Stars. Prog. Theor. Phys. Suppl. 2010, 186, 45–50. [Google Scholar] [CrossRef][Green Version]
- Kubis, S.; Wójcik, W. The role of the electric Bond number in the stability of pasta phases. arXiv 2021, arXiv:2102.06675. [Google Scholar]
- Baym, G.; Bethe, H.A.; Pethick, C.J. Neutron star matter. Nucl. Phys. A 1971, 175, 225–271. [Google Scholar] [CrossRef]
- Landau, L.D.; Lifshitz, E.M. Statistical Physics; Pergamon Press: Oxford, UK, 1980; Pt. 1–2. [Google Scholar]
- Lattimer, J.M.; Pethick, C.J.; Ravenhall, D.G.; Lamb, D.Q. Physical properties of hot, dense matter: The general case. Nucl. Phys. A 1985, 432, 646–742. [Google Scholar] [CrossRef]
- Brandt, S. Kernestof under Nuklear Tæthed; Niels Bohr Institute and Nordita, Copenhagen University: Copenhagen, Denmark, 1985. [Google Scholar]
- Gusakov, M.E.; Chugunov, A.I. Thermodynamically Consistent Equation of State for an Accreted Neutron Star Crust. Phys. Rev. Lett. 2020, 124, 191101. [Google Scholar] [CrossRef]
- Carreau, T.; Fantina, A.F.; Gulminelli, F. Inner crust of a neutron star at the point of crystallization in a multicomponent approach. Astron. Astrophys. 2020, 640, A77. [Google Scholar] [CrossRef]
- Potekhin, A.Y.; Chabrier, G. Crust structure and thermal evolution of neutron stars in soft X-ray transients. Astron. Astrophys. 2021, 645, A102. [Google Scholar] [CrossRef]
- Dinh Thi, H.; Fantina, A.F.; Gulminelli, F. The effect of the energy functional on the pasta-phase properties of catalysed neutron stars. Eur. Phys. J. A 2021, 57, 296. [Google Scholar] [CrossRef]

Publisher’s Note: MDPI stays neutral with regard to jurisdictional claims in published maps and institutional affiliations. |
© 2022 by the authors. Licensee MDPI, Basel, Switzerland. This article is an open access article distributed under the terms and conditions of the Creative Commons Attribution (CC BY) license (https://creativecommons.org/licenses/by/4.0/).
Share and Cite
Zemlyakov, N.A.; Chugunov, A.I. Stability of Spherical Nuclei in the Inner Crust of Neutron Stars. Particles 2022, 5, 225-234. https://doi.org/10.3390/particles5030020
Zemlyakov NA, Chugunov AI. Stability of Spherical Nuclei in the Inner Crust of Neutron Stars. Particles. 2022; 5(3):225-234. https://doi.org/10.3390/particles5030020
Chicago/Turabian StyleZemlyakov, Nikita A., and Andrey I. Chugunov. 2022. "Stability of Spherical Nuclei in the Inner Crust of Neutron Stars" Particles 5, no. 3: 225-234. https://doi.org/10.3390/particles5030020
APA StyleZemlyakov, N. A., & Chugunov, A. I. (2022). Stability of Spherical Nuclei in the Inner Crust of Neutron Stars. Particles, 5(3), 225-234. https://doi.org/10.3390/particles5030020

