You are currently viewing a new version of our website. To view the old version click .
Particles
  • Article
  • Open Access

24 February 2021

Event Rates for the Scattering of Weakly Interacting Massive Particles from 23Na and 40Ar

,
and
1
National Institute of Science and Technology, Palur Hills, Berhampur 761008, India
2
Physical Research Laboratory, Ahmedabad 380 009, India
3
Division of Theoretical Physics, University of Ioannina, GR 45110 Ioannina, Greece
*
Author to whom correspondence should be addressed.

Abstract

Detection rates for the elastic and inelastic scattering of weakly interacting massive particles (WIMPs) off 23 Na are calculated within the framework of Deformed Shell Model (DSM) based on Hartree-Fock states. At first, the spectroscopic properties of the detector nucleus, like energy spectra and magnetic moments, are evaluated and compared with experimental data. Following the good agreement of these results, DSM wave functions are used for obtaining elastic and inelastic spin structure functions, nuclear structure coefficients and so forth for the WIMP- 23 Na scattering. Then, the event rates are also computed with a given set of supersymmetric parameters. In the same manner, using DSM wavefunctions, nuclear structure coefficients and event rates for elastic scattering of WIMPs from 40 Ar are also obtained. These results for event rates and also for annual modulation will be useful for the ongoing and future WIMP detection experiments involving detector materials with 23 Na and 40 Ar nuclei.

1. Introduction

During the last three decades, the satellite missions of the Cosmic Background Explorer (COBE) [1], the Wilkinson Microwave Anisotropy Probe (WMAP) [2] and the Planck space telescope [3,4] launched into space with the aim of exploring Cosmic Microwave Background (CMB) radiation [5]. Nowadays, from the data of these missions and also those of the Supernova Cosmology Project (SCP) [6], it is well known that this ancient light reveals secrets of the origin of the Universe. Moreover, from the data of the most advanced satellite PLANCK (a mission of ESA with significant participation from NASA), researchers (cosmologists, astronomers and physicists) have concluded that most of the universe’s mass is cold, dark and non-baryonic [2]. In addition, the more recent CMB measurements by PLANCK support that CMB is strongly anisotropic.
Despite the intensive experimental effort and employment of extremely sensitive and very low-energy threshold nuclear detectors, up to now, non-baryonic cold dark matter candidates have not been observed and, hence, its nature is still a mystery. It is, however, worth mentioning that the Axion Dark Matter Experiment (ADMX), at Washington University, very recently announced as “the first experiment that achieved the sensitivity to hunt for dark matter (DM) axions (axions are known as CDM candidates, not yet observed) [7].
Furthermore, the most promising non-baryonic cold dark matter candidates are the Weakly Interacting Massive Particles (WIMPs), which arise in super symmetric theories of physics beyond the standard model. The most appealing WIMP candidate is the Lightest Supersymmetric Particle (LSP) (lightest neutralino), which is expected to be stable and to interact very weakly with matter [5,8,9].
There are many experimental efforts [10,11,12,13] to detect WIMPs via their scattering from the nuclei of the detector providing finger-prints regarding their existence. Some of these are the Super CDMS SNOLAB project, XENON1T, PICO-60, EDELWEISS and so on; see, for example, [13,14,15,16]. Nuclear isotopes like 23 Na, 40 Ar, 71 Ga, 73 Ge, 75 As, 127 I, 133 Cs and 133 Xe, are among the popular detector nuclei; see [12,13,17] and references therein. Our focus in this paper is on 23 Na (the only stable isotope in the natural Na) and 40 Ar (with 99.59% abundance in the natural Ar). The DAMA/NaI and DAMA/LiBRA [18] experiments investigated the presence of dark matter particles in the galactic halo using the NaI(Tl) detector (the only Na isotope in NaI is the 23 Na).
In these experiments, the predicted annual modulation was not yet confirmed [13], though a signal of annual modulation in NaI was reported in [19]. However, the SABRE experiment [20] aims to directly measure the annual modulation of the dark matter interaction rate with NaI(Tl) crystals. Other related experiments with NaI detectors are ANAIS [21] and DM-Ice [22]. Also, there are the important DARKSIDE-50 [23] and DEAP-3600 [24] and DarkSide-20k [25] experiments using liquid Argon (with 40 Ar) as a detector.
It should be noted that direct detection experiments are exposed to various neutrino emissions [26,27,28,29]. The interaction of these neutrinos, especially the astrophysical ones, with the material of the dark matter detectors, known as the neutrino-floor, is a serious background source. Recently the coherent elastic scattering of neutrinos off nuclei (CE ν NS) has been observed at the Spallation Neutron Source at the Oak Ridge National Laboratory [30] employing the facilities used in the direct detection of dark matter searches. The impact of the neutrino floor on the relevant experiments looking for cold dark matter was extensively investigated for example in [26].
There are many theoretical calculations that describe different aspects of the direct detection of dark matter through the recoil-energy of the nucleus in WIMP-nucleus scattering. For elastic scattering, we need to consider the spin-spin interaction coming from the axial current and also the dominant scalar interaction. For the inelastic part, scalar interaction practically does not contribute. The scalar interaction can arise from the squark exchange, the Higgs exchange, the interaction of WIMPs with gluons and so forth. A more general non-relativistic effective field theory approach for WIMP-nucleus scattering was developed by Haxton and collaborators [31,32]. There is also the chiral effective field theory approach; see [33]. Suhonen and his collaborators have performed a series of truncated shell model calculations for WIMP-nucleus scattering [34,35,36,37,38].
In these studies, for example, they have calculated the event rates for WIMP-nucleus elastic and inelastic scattering for 83 Kr and 125 Te [38] and also 127 I, 129 , 131 Xe and 133 Cs [36]. In addition, recently Vergados et al. [39] examined the possibility of detecting electrons in the searches for light WIMP with a mass in the MeV region and found that the events of 0.5–2.5 per kg-y would be possible; this idea was also proposed earlier by the authors of [40]. A few years back, full large-scale shell-model calculations were carried out in [17,41] for WIMP scattering of 129 , 131 Xe, 127 I, 73 Ge, 19 F, 23 Na, 27 Al and 29 Si nuclei. Baudis et al. [42] have explored the inelastic scattering of the dark matter of nuclei within the shell model and chiral effective field theory. Finally, using the large scale shell model [33] and coupled cluster theory [43], WIMP-nucleus and neutrino-nucleus scattering, respectively, with 40 Ar target have been studied.
In recent years, the deformed shell model (DSM), based on Hartree-Fock (HF), deformed intrinsic states with angular momentum projection and band mixing, has been established to be a good model to describe the properties of nuclei in the mass range A = 60–90 [44]. Among many applications, DSM is found to be quite successful in describing the spectroscopic properties of medium heavy N = Z odd-odd nuclei with isospin projection [45], double beta decay half-lives [46,47] and μ e conversion in the field of the nucleus [48]. Going beyond these applications, recently we have studied the event rates for WIMP with 73 Ge as the detector [49]. In addition to the energy spectra and magnetic moments, the model is used to calculate the spin structure functions and the nuclear form factors (nuclear matrix elements) for the elastic and inelastic CDM scattering.
Following the aforementioned successful studies, we have recently used DSM for the evaluation of the neutrino-floor due to coherent elastic neutrino-nucleus scattering (CE ν NS) [26] for the detector nuclei 73 Ge, 71 Ga, 75 As and 127 I. We considered well known neutrino sources as solar- ν , atmospheric- ν as well as the diffused supernova neutrino background (DSNB) and found that the neutrino-floor contributions may lead to a distortion of the expected recoil spectrum, limiting the sensitivity of the direct dark matter search experiments. In [12], DSM results for WIMP scattering from 127 I, 133 Cs and 133 Xe are described in detail. To complete these studies, using DSM for the nuclear structure part, in the present paper we will present results for WIMP- 23 Na elastic and inelastic scattering and WIMP- 40 Ar elastic scattering.
The rest of the paper is organized as follows—Section 2 gives, for completeness and easy reading of the paper, a brief discussion of the formulation of WIMP-nucleus elastic and inelastic scattering and event rates. In Section 3 the DSM formulation is described with examples drawn from 75 As spectroscopic results. In Section 4 spectroscopic results and also the results for the elastic and inelastic scattering of WIMPs from 23 Na are presented. Similarly, WIMP- 40 Ar elastic scattering results are presented in Section 5. The results in Section 4 and Section 5 are the main results of this paper. Finally, concluding remarks are made in Section 6.

2. Event Rates for WIMP-Nucleus Scattering

WIMP flux on earth coming from the galactic halo is expected to be quite large, of the order 10 5 per cm 2 per second. Even though the interaction of WIMPs with matter is weak, this flux is sufficiently large for the galactic WIMPs to deposit a measurable amount of energy in an appropriately sensitive detector apparatus when they scatter off nuclei. Most of the experimental searches of WIMP are based on direct detection through their interaction with nuclei in the detector. The relevant theory of WIMP-nucleus scattering is well known as available in the papers by Suhonen and his group and also in our earlier papers mentioned above [34,35,36,38,49]. For completeness we give here a few important steps. In the case of spin-spin interaction, the WIMP couples to the spin of the nucleus and, in the case of scalar interaction, the WIMP couples to the mass of the nucleus. In the expressions for the event rates, the particle physics part is separated from the nuclear part so that the role played by the nuclear part becomes apparent.

2.1. Elastic Scattering

The differential event rate per unit detector mass for a WIMP with mass m χ can be written as [5],
d R = N t ϕ f d σ d q 2 d 3 v d q 2 .
Here, ϕ , which is equal to ρ 0 v / m χ , is the dark matter flux with ρ 0 being the local WIMP density. Similarly, N t stands for the number of target nuclei per unit mass and f is the WIMP’s velocity distribution which is assumed to be of Maxwell-Boltzmann type [which is modified in other halo models (see for example [50]) but we did not consider these in the present paper]. It takes into account the distribution of the WIMP velocity relative to the detector (or earth) and also the motion of the sun and earth. If we neglect the rotation of the earth about its own axis, then v = v is the relative velocity of WIMP with respect to the detector. Also, q represents the momentum transfer to the nuclear target, which is related to the dimensionless variable
u = 1 2 q 2 b 2 ,
with b being the oscillator length parameter. The WIMP-nucleus differential cross section in the laboratory frame is given by [34,35,36,38,49]
d σ ( u , v ) d u = 1 2 σ 0 1 m p b 2 c 2 v 2 d σ A ( u ) d u . ;
with
d σ A ( u ) d u = ( f A 0 ) 2 F 00 ( u ) + 2 f A 0 f A 1 F 01 ( u ) + ( f A 1 ) 2 F 11 ( u ) + Z f S 0 + f S 1 2 | F Z ( u ) | 2 + ( A Z ) f S 0 f S 1 2 | F N ( u ) | 2 + 2 Z ( A Z ) ( f S 0 ) 2 ( f S 1 ) 2 | F Z ( u ) | | F N ( u ) | ,
where F Z ( u ) and F N ( u ) denote the nuclear form factors for protons and neutrons, respectively. In Equation (2), the parameter σ 0 = 0.77 × 10 38 cm 2 and the mass of proton m p = 1.67 × 10 27 kg. In Equation (3), the first three terms correspond to spin contribution coming mainly from the axial current and the other three terms stand for the coherent part coming mainly from the scalar interaction. Here, f A 0 and f A 1 represent the isoscalar and isovector parts of the axial vector current and similarly f S 0 and f S 1 represent isoscalar and isovector parts of the scalar current. The nucleonic current parameters f A 0 and f A 1 depend on the specific SUSY model employed. However, f S 0 and f S 1 depend, beyond the SUSY model, on the hadron model used to embed quarks and gluons into nucleons. The normalized spin structure functions F ρ ρ ( u ) with ρ , ρ = 0,1 are defined as
F ρ ρ ( u ) = λ , κ Ω ρ ( λ , κ ) ( u ) Ω ρ ( λ , κ ) ( u ) Ω ρ Ω ρ ; Ω ρ ( λ , κ ) ( u ) = 4 π 2 J i + 1 × J f j = 1 A Y λ ( Ω j ) σ ( j ) κ j λ ( u r j ) ω ρ ( j ) J i .
In the above equation ω 0 ( j ) = 1 and ω 1 ( j ) = τ ( j ) ; note that τ = + 1 for protons and 1 for neutrons and j λ is the spherical Bessel function. The static spin matrix elements are defined as Ω ρ ( 0 ) = Ω ρ ( 0 , 1 ) ( 0 ) . Now, the event rate can be written as
R = 1 1 d ξ ψ m i n ψ m a x d ψ u m i n u m a x G ( ψ , ξ ) d σ A ( u ) d u d u .
In the above, G ( ψ , ξ ) is given by
G ( ψ , ξ ) = ρ 0 m χ σ 0 A m p 1 m p b 2 c 2 π v 0 ψ e λ 2 e ψ 2 e 2 λ ψ ξ .
Here, ψ = v / v 0 , λ = v E / v 0 , ξ = c o s ( θ ) . Parameters used in the calculation are as follows. Firstly, the WIMP density ρ 0 = 0.3 GeV/cm 3 . The velocity of the sun with respect to the galactic centre is taken to be v 0 = 220 km/s and the velocity of the earth relative to the sun is taken as v 1 = 30 km/s. The velocity of the earth with respect to the galactic centre v E is given by v E = v 0 2 + v 1 2 + 2 v 0 v 1 sin ( γ ) c o s ( α ) , where α is the modulation angle which stands for the phase of the earth on its orbit around the sun and γ is the angle between the normal to the elliptic and the galactic equator, which is taken to be 29 . 8 . Using the notations, X ( 1 ) = F 00 ( u ) , X ( 2 ) = F 01 ( u ) , X ( 3 ) = F 11 ( u ) , X ( 4 ) = | F Z ( u ) | 2 , X ( 5 ) = | F N ( u ) | 2 , X ( 6 ) = | F Z ( u ) | | F N ( u ) | the event rate per unit mass of the detector is given by
R el = ( f 1 0 ) 2 D 1 + 2 f A 0 f A 1 D 2 + ( f A 1 ) 2 D 3 + Z f S 0 + f S 1 2 D 4 + ( A Z ) f S 0 f S 1 2 D 5 + 2 Z ( A Z ) ( f S 0 ) 2 ( f S 1 ) 2 D 6 ,
where D i is the three dimensional integrations of Equation (5), defined as
D i = 1 1 d ξ ψ m i n ψ m a x d ψ u m i n u m a x G ( ψ , ξ ) X ( i ) d u .
The lower and upper limits of integrations given in Equations (5) and (8) have been worked out by Pirinen et al. [38] and they are
ψ m i n = c v 0 A m p Q t h r 2 μ r 2 1 / 2
ψ m a x = λ ξ + λ 2 ξ 2 + v e s c 2 v 0 2 1 v 1 2 v 0 2 2 v 1 v 0 s i n ( γ ) c o s ( α ) .
With the escape velocity v e s c from our galaxy being 625 km/s, the value of v e s c 2 / v 0 2 1 v 1 2 / v 0 2 appearing in Equation (10) is 7.0525 . Similarly, the value of ( 2 v 1 / v 0 ) s i n ( γ ) is 0.135 . The values of u m i n and u m a x are A m p Q t h r b 2 and 2 ( ψ μ r b v 0 / c ) 2 , respectively. Here, Q t h r is the detector threshold energy and μ r is the reduced mass of the WIMP-nucleus system.

2.2. Inelastic Scattering

In the inelastic scattering the entrance channel and exit channel are different. The inelastic scattering cross section due to scalar current is considerably smaller than the elastic case and hence it is neglected. Hence, we focus on spin dependent scattering. The inelastic event rate per unit mass of the detector can be written as
R i n = ( f 1 0 ) 2 E 1 + 2 f A 0 f A 1 E 2 + ( f A 1 ) 2 E 3 ,
where E 1 , E 2 and E 3 are the three dimensional integrations
E i = 1 1 d ξ ψ m i n ψ m a x d ψ u m i n u m a x G ( ψ , ξ ) X ( i ) d u . .
The limits of integration for E 1 , E 2 and E 3 are [36,38]
u m i n ( m a x ) = 1 2 b 2 μ r 2 v 0 2 c 2 ψ 2 1 1 Γ ψ 2 2 ,
where
Γ = 2 E * μ r c 2 c 2 v 0 2 ,
with E * being the energy of the excited state. ψ m a x is the same as in the elastic case and the lower limit ψ m i n = Γ . Baudis et al. [42] have used the same expression for the lower limit ψ m i n . The parameters ρ 0 , σ 0 and so forth have the same values as in the elastic case.

3. Deformed Shell Model

The nucleonic current part has been separated from the nuclear part in the expression for the event rates for elastic and inelastic scattering given by Equations (7) and (11) respectively with X ( i ) giving the nuclear structure part. However, the D i ’s and E i ’s depend not only on the nuclear structure part but also on the kinematics and assumptions on the WIMP velocity. The evaluation of X ( i ) depends on spin structure functions and the form factors. We have used DSM for the evaluation of these quantities. Here, for a given nucleus, starting with a model space consisting of a given set of single particle (sp) orbitals and effective two-body Hamiltonian (TBME + spe), the lowest energy intrinsic states are obtained by solving the Hartree-Fock (HF) single particle equation self-consistently. We assume axial symmetry. For example, Figure 1 shows the HF single particle spectrum for 75 As corresponding to the lowest prolate intrinsic state. Used here are the spherical sp orbits 1 p 3 / 2 , 0 f 5 / 2 , 1 p 1 / 2 , and 0 g 9 / 2 with energies 0.0, 0.78, 1.08, and 3.20 MeV, respectively, while the assumed effective interaction is the modified Kuo interaction [51]. Excited intrinsic configurations are obtained by making particle-hole excitations over the lowest intrinsic state. These intrinsic states χ K ( η ) do not have definite angular momenta. Hence, states of good angular momentum are projected from an intrinsic state χ K ( η ) and they can be written as,
ψ M K J ( η ) = 2 J + 1 8 π 2 N J K d Ω D M K J * ( Ω ) R ( Ω ) | χ K ( η ) ,
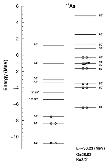
where N J K is the normalization constant. In Equation (15), Ω represents the Euler angles ( α , β , γ ) and R ( Ω ) , which is equal to exp( i α J z )exp( i β J y )exp( i γ J z ), which represents the general rotation operator. The good angular momentum states projected from different intrinsic states are not in general orthogonal to each other. Hence they are orthonormalized and then band mixing calculations are performed. This gives the energy spectrum and the eigenfunctions. Figure 2 shows the calculated energy spectrum for 75 as as an example. In the DSM band mixing calculations used are six intrinsic states [26]. Let us add that the eigenfunctions are of the form
| Φ M J ( η ) = K , α S K η J ( α ) | ψ M K J ( α ) . .
Figure 1. Hartree-Fock (HF) single-particle spectra for 75 As corresponding to lowest prolate configuration. In the figure, circles represent protons and crosses represent neutrons. The HF energy E in MeV, mass quadrupole moment Q in units of the square of the oscillator length parameter and the total azimuthal quantum number K are given in the figure.
Figure 2. Comparison of Deformed Shell Model (DSM) results with experimental data for 75 As for collective bands with negative parity. The experimental values are taken from [52].
The nuclear matrix elements entering the calculation of magnetic moments, elastic and inelastic spin structure functions and so forth are evaluated using the wave function Φ M J ( η ) . For example, the calculated magnetic moments for the 3 / 2 1 , 3 / 2 2 and 5 / 2 1 states are (in nm units) 1.422, 1.613 and 0.312 compared to experimental values [52] 1.439, 0.98 and 0.98 respectively. The calculated values are obtained using bare gyromagnetic ratios and the results will be better for the excited states if we take g p = 0.5 , g n = 0.7 , g s p = 4 and g s n = 3 . The neutron spin part is small and hence does not appreciably contribute to the magnetic moments of the above three states. The use of effective g-factors is advocated in [53].

4. Results for WIMP- 23 Na Scattering

The nuclear structure plays an important role in studying the event rates in WIMP-nucleus scattering. Hence, we first calculate the energy spectra and magnetic moments within our DSM model for 23 Na. Agreement with experimental data will provide information regarding the goodness of the wave functions used. This in turn will give us confidence regarding the reliability of our predictions of event rates. These spectroscopic results are presented in Section 4.1. Let us add that in Section 4.2 and Section 4.3 the value of the oscillator length parameter b is needed and it is taken to be 1.573 fm for 23 Na. In our earlier work in the calculation of transition matrix elements for μ e conversion in 72 Ge [48], we had taken the value of this length parameter as 1.90 fm. Assuming A 1 / 6 dependence, the above value of the oscillator parameter is chosen for 23 Na. Let us add that, in the quasi-particle random phase approximation (QRPA), the harmonic oscillator size parameter is calculated through the following semi-empirical formulas. For light nuclear isotopes the formula used is b l = 6.4396 ( a / 41 ) 1 / 2 , where a = A 1 / 3 with A being the mass number of the studied nucleus. For heavy nuclear isotopes it is b h = 6.4396 [ ( a + 1.41 ) / 53 ] 1 / 2 . Then, the mean value is b m e a n = ( b l + b h ) / 2 and in many works using QRPA this mean value is employed [17].

4.1. Spectroscopic Results

In the 23 Na calculations, 16 O is taken as the inert core with the spherical single particle orbitals 0 d 5 / 2 , 1 s 1 / 2 and 0 d 3 / 2 generating the basis space. “USD” interaction of Wildenthal with sp energies 3.9478 , 3.1635 and 1.6466 MeV has been used in the calculation [54]. This effective interaction is known to be quite successful in describing most of the important spectroscopic features of nuclei in the 1 s 0 d -shell region [54]. For this nucleus, the calculated lowest HF single particle spectrum of prolate shape is shown in Figure 3. The odd proton is in the k = 3 / 2 + deformed single particle orbit. The excited configurations are obtained by particle-hole excitations over this lowest configuration. We have considered a total of five intrinsic configurations. As described above, angular momentum states are projected from each of these intrinsic configurations and then a band mixing calculation is performed. The band mixed wave functions S K η J defined in Equation (16) are used to calculate the energy levels, magnetic moments and other properties of this nucleus.
Figure 3. HF single-particle spectra for 23 Na corresponding to lowest configuration. In the figure, circles represent protons and crosses represent neutrons. The HF energy E in MeV, mass quadrupole moment Q in units of the square of the oscillator length parameter and the total azimuthal quantum number K are given in the figure.
The calculated levels are classified into collective bands on the basis of the E2 transition probabilities between them. The results for the lowest positive parity band for 23 Na are shown in Figure 4. The experimental data are from Reference [52]. For this nucleus, the ground state is 3 / 2 + , which is reproduced in our calculation. A positive parity band built on 3 / 2 + has been identified for this nucleus. This band is quite well reproduced by the DSM calculation. An analysis of the wave functions shows that this band mainly originates from the lowest HF intrinsic configuration shown in Figure 3. However, there are admixtures from the good angular momentum states coming from other intrinsic configurations. The wavefunction coming from the lowest HF intrinsic configuration slightly increases in value with increased angular momentum. This shows that the collectivity of this band does not change appreciably at higher angular momentum. Since we are considering WIMP-nucleus scattering from a ground state and low lying positive parity states, the negative parity bands are not important for the present purpose.
Figure 4. Comparison of deformed shell model results with experimental data for 23 Na for yrast band which is of positive parity. The experimental values are taken from [52].
In the calculation of the event rates, spin plays an important role. Hence, the magnetic moment of various low-lying levels in 23 Na are calculated. The result for the ground state of the lowest K = 3 / 2 + band is 2.393 nm and the corresponding available experimental data value is 2.218 nm. The contribution of protons and neutrons to the orbital parts are 0.957 and 0.262 and to the spin parts are 0.267 and 0.014, respectively. This decomposition gives better physical insight. The calculated value of magnetic moment for the ground state agrees quite well with experimental data [52]. Let us add that there are no experimental data for the magnetic moments of the excited states. An approach with state-dependent gyromagnetic moments, as advocated for example in [53], better reproduces the experimental magnetic moments. The DSM spectroscopic results are also in good agreement with the full shell model calculations reported in [17,41].

4.2. Results for Elastic Scattering

The DSM wave functions given by Equation (16) are used to calculate the normalized spin structure functions given in Equation (4) and also the squared nuclear form factors for these nuclei. Their values are plotted in Figure 5 as a function of u. The static spin matrix elements Ω 0 and Ω 1 for the ground state of 23 Na have values 0.727 and 0.652, respectively. They compare well with other theoretical calculations for 23 Na given in [17,41]. In order to compare our results with those of Klos [41], the calculated spin structure functions are transformed to structure factors S ρ , ρ using the relation [34]
S ρ , ρ = 1 1 + δ ρ , ρ 2 J + 1 8 π Ω ρ Ω ρ F ρ , ρ .
Figure 5. Spin structure functions and squared proton and neutron form factors for 23 Na for the ground state.
Then, we evaluate S p = S 00 + S 01 + S 11 and S n = S 00 S 01 + S 11 as defined by Klos et al. At u = 0.5, these values are 0.051 and 0.0002, which agree quite well with their result. Similarly at u = 1, the S p and S n have values of 0.027 and 0.0001. S n is slightly smaller. At u = 2, S p = 0.021 and S n = 0.0001. Again at u = 0.0 , S p = 0.15 and S n = 0.001 in agreement with the experiment. An analysis of the normalized spin structure functions for 23 Na in Figure 5 shows that the values of F 00 , F 01 and F 11 differ between u = 0.4–3. Outside this region they are almost degenerate. The form factors for proton and neutron in 23 Na are almost identical up to u = 2 . Afterwards they differ and beyond u = 2.6, the neutron form factor becomes larger than the proton form factor.
The nuclear structure dependent coefficients given in Equation (8) are plotted in Figure 6 for 23 Na, as a function of the WIMP mass for different values of the detector threshold. Since Ω 0 and Ω 1 are of same sign, D i s are all positive. The peaks of the nuclear structure coefficients occur at around m χ 30 GeV at zero threshold energy. The peaks shift towards higher values of m χ as we go to larger threshold energy. The thickness of the graphs represents annual modulation. Annual modulation has the largest value near the peaks of the graphs. Annual modulation provides strong evidence regarding the observation of dark matter since the background does not exhibit such modulation; see [13] for a recent review on annual modulation measurements. As seen from Figure 6 and Figure 7, 23 Na shows that the percentage of annual modulation is almost the same as it is for heavier nuclei like 127 I, 133 Cs and 133 Xe reported in [12].
Figure 6. Nuclear structure coefficients plotted as a function of the Weakly Interacting Massive Particle (WIMP) mass in GeV for 23 Na. The graphs are plotted for three values of the detector threshold Q t h r namely Q t h r = 0 , 5 , 10 keV. The thickness of the graphs for each value of Q t h r represents the annual modulation.
Figure 7. The event rates in units of y 1 kg 1 as a function of dark matter mass in GeV for 23 Na at detector threshold Q t h = 0 , 10 keV The thickness of the curves represent the annual modulation.
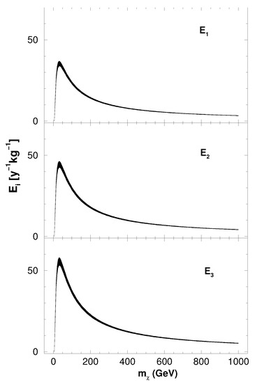
The event detection rates for these nuclei have been calculated at a particular WIMP mass by reading out the corresponding values of D i ’s from the Figure 6 and then evaluating Equation (7) for a given set of supersymmetric parameters. The event detection rates for different values of m χ have been calculated using the nucleonic current parameters f A 0 = 3.55 e 2 , f A 1 = 5.31 e 2 , f S 0 = 8.02 e 4 and f S 1 = 0.15 × f S 0 . These results are shown in Figure 7 for detector threshold energy Q t h = 0, 10 keV for 23 Na. For 23 Na, the peak occurs at m χ 30 GeV. The event rate decreases at higher detector threshold energy but the peak shifts to the higher values of m χ occurring at ∼50 GeV.

4.3. Results for Inelastic Scattering

23 Na has a 5 / 2 + excited state at 440 KeV above the ground state 3 / 2 + . Therefore, we consider inelastic scattering from the ground state for this nucleus to the 5 / 2 + state. The static spin matrix elements for the inelastic scattering to the J = 5 / 2 + are Ω 0 = 0.368 , Ω 1 = 0.462 . These values are of the same order of magnitude as for the elastic scattering case. Again Ω 0 and Ω 1 are of the same sign. The inelastic spin structure functions are given in Figure 8. In the figures, F 00 , F 01 and F 11 are shown. The spin structure functions almost vanish above u = 4. With the value of u lying between 1 to 4, the spin structure functions differ from each other. The nuclear structure coefficients E n are shown in Figure 9 for this nucleus. The inelastic nuclear structure coefficients do not depend on the detector threshold energy. Hence, the event rate can be calculated by reading the values of E i from the graph and using the nucleonic current parameters. It is also seen that the percentage of annual modulation for the inelastic scattering case is not very much different than the elastic case (note that the scales in Figure 6 and Figure 9 are different).
Figure 8. Spin structure function in the inelastic channel 3 / 2 + 5 / 2 + for 23 Na.
Figure 9. Nuclear structure coefficients E n in the inelastic channel 3 / 2 + 5 / 2 + for 23 Na. The thickness of the graphs represents annual modulation.

5. Results for WIMP- 40 Ar Elastic Scattering

The event rates for WIMP- 40 Ar elastic scattering are calculated using the nuclear wave functions generated through our DSM calculation. In our calculation, the active spherical single particles orbitals are taken as 0 d 5 / 2 , 0 d 3 / 2 , 1 s 1 / 2 , 0 f 7 / 2 , 0 f 5 / 2 , 1 p 3 / 2 and 1 p 1 / 2 with 16 O as the inert core. An effective interaction named s d p f u and developed by Nowacki and Poves [55] with single particle energies 3.699 , 1.895 , 2.915 , 6.220 , 11.450 , 6.314 and 6.479 MeV, respectively, for the above seven orbitals has been used. As discussed earlier, we first generate the lowest HF intrinsic state by solving the axially symmetric HF equation self-consistently. Then, we generate the excited configurations by particle-hole excitations. We have considered a total of nine intrinsic states. Good angular momentum states are projected from each of these intrinsic states and then a band mixing calculation is performed. The band mixed wave functions defined in Equation (16) are used in calculating the elastic event rates and nuclear structure coefficients for the ground state of this nucleus. Note that the ground state is a 0 + state as 40 Ar is an even-even nucleus and inelastic scattering from ground needs an excited 1 + state. However, the 1 + states lie very high in energy and hence only elastic scattering of WIMP from 40 Ar is important. The oscillator length parameter b for this nucleus is taken to be 1.725 fm following the procedure mentioned in the beginning of Section 4. We have presented the proton and neutron form factors for the ground state of this nucleus in Figure 10. In addition, the nuclear structure dependent coefficients defined in Equation (8) are shown in Figure 11 for this nucleus as a function of the WIMP mass for different values of the detector threshold. Since 40 Ar is an even-even nucleus, there is no spin contribution from the ground state. Hence, we have only D 4 , D 5 and D 6 corresponding to the proton, neutron and proton-neutron form factors as defined in Equation (7). Their magnitudes are similar to the corresponding quantities in 23 Na and also the the percentage of annual modulation is almost same. The peaks occur at around m χ = 35 GeV. However, for larger values of Q t h r , the peaks shift towards the larger m χ . It is important to add that the coefficients D i in Figure 6 and 11 depend on the nuclear wave functions in addition to the WIMP velocity distribution. The nuclear structure part is in the u integration in Equations (5) and (8) but the limits of this integration depend on ψ and hence the nuclear structure part cannot be completely decoupled from the rest in the event rates calculations. The same is true for the structure factors E’s.
Figure 10. Squared proton and neutron form factors for 40 Ar for the ground state.
Figure 11. Nuclear structure coefficients plotted as a function of the WIMP mass m χ in GeV for 40 Ar. The graphs are plotted for three values of the detector threshold Q t h r namely Q t h r = 0 , 5 , 10 keV. The thickness of the graphs for each value of Q t h r represents the annual modulation.
The event rates for WIMP- 40 Ar scattering are plotted as a function of the dark matter mass in Figure 12 for Q t h r = 0 and 10 keV. The event rates are calculated using the same supersymmetric parameters as in 23 Na. The values are smaller than in 23 Na. This is because 40 Ar is an even-even nucleus and hence there is no spin contribution to the event rates in the ground state. At Q t h r = 0, the peak occurs at 35 GeV. For Q t h r = 10 keV, the peak shifts to 45 GeV.
Figure 12. The event rates in units of y 1 kg 1 as a function of dark matter mass m χ in GeV for 40 Ar at detector threshold Q t h = 0 , 10 keV The thickness of the curves represent the annual modulation.

6. Summary and Conclusions

The deformed shell model is used to first calculate the event rates for the elastic and inelastic scattering of WIMP from 23 Na. At first, the reliability and effectiveness of DSM for spectroscopy is further tested by using 75 As as an example. Following this, spectroscopic properties 23 Na nucleus are calculated within DSM. We have also calculated magnetic moments for the lowest level in this nucleus since spin plays an important role in the calculation of detection rates. After ensuring the good agreement with the experiment, we computed the spin structure functions, form factors, nuclear structure coefficients and the event rates for WIMP- 23 Na elastic and inelastic scattering. In addition, event rates for the elastic scattering of WIMP from 40 Ar are also presented. The results in Figure 7 and Figure 12, for event rates, and in Figure 6, Figure 7, Figure 9, Figure 11 and Figure 12, for the annual modulation, we expect to be useful for the ongoing and future experiments looking for neutral current scattering events of CDM candidates with 23 Na and 40 Ar detector media.
Furthermore, using DSM for the nuclear structure aspects of the above promising CDM detectors, this study constitutes an extension of the investigation and the results presented for WIMP scattering off 73 Ge [49] and off 127 I, 133 Cs and 133 Xe [12]. Finally, we hope that our results combined with those obtained using other theoretical models for nuclear structure calculations may guide the experimentalists in their effort to unravel. in the near future, the fundamental mysteries of dark matter particles with the aid of tone scale detectors.

Author Contributions

All the authors contributed equally. All authors have read and agreed to the published version of the manuscript.

Funding

This research was funded by Department of Science and Technology (Government of India), and this research was co-financed by Greece and the European Union (European Social Fund-ESF) through the Operational Programme “Human Resources Development, Education and Lifelong Learning 2014–2020” in the context of the ESPA project MIS-5047635.

Data Availability Statement

All the numerical data for generating Figure 1, Figure 2, Figure 3, Figure 4, Figure 5, Figure 6, Figure 7, Figure 8, Figure 9, Figure 10, Figure 11 and Figure 12 of the paper can be obtained from the first author R.S.

Acknowledgments

R.S. is thankful to SERB of Department of Science and Technology (Government of India) for financial support. T.S. Kosmas acknowledges that, this research is co-financed by Greece and the European Union (European Social Fund-ESF) through the Operational Programme “Human Resources Development, Education and Lifelong Learning 2014–2020” in the context of the ESPA project MIS-5047635.

Conflicts of Interest

The authors declare no conflict of interest.

References

  1. Smoot, G.F.; Bennett, C.L.; Kogut, A.; Wright, E.L.; Aymon, J.; Boggess, N.W.; Cheng, E.S.; De Amici, G.; Gulkis, S.; Hauser, M.G.; et al. Structure in the COBE Differential Microwave Radiometer First-Year Maps. Astrophys. J. Lett. 1992, 396, L1–L5. [Google Scholar] [CrossRef]
  2. Hinshaw, G.; Larson, D.; Komatsu, E.; Spergel, D.N.; Bennett, C.; Dunkley, J.; Nolta, M.R.; Halpern, M.; Hill, R.S.; Odegard, N.; et al. Nine-year Wilkinson Microwave Anisotropy Probe (WMAP) Observations: Cosmological Parameter Results (WMAP Collaboration). Astrophys. J. Suppl. 2013, 208, 19. [Google Scholar] [CrossRef]
  3. Aghanim, N.; Akrami, Y.; Ashdown, M.; Aumont, J.; Baccigalupi, C.; Ballardini, M.; Banday, A.J.; Barreiro, R.B.; Bartolo, N.; Basak, S. Planck 2018 results, VI. Cosmological parameters (Planck Collaboration). Atronomy Astrophys. 2020, 641, A6. [Google Scholar]
  4. Akrami, Y.; Ashdown, M.; Aumont, J.; Baccigalupi, C.; Ballardini, M.; Banday, A.J.; Barreiro, R.B.; Bartolo, N.; Basak, S.; Benabed, K.; et al. Planck 2018 results VII. Isotropy and statistics of the CMB (Planck Collaboration). Atronomy Astrophys. 2020, 641, A7. [Google Scholar]
  5. Jungman, G.; Kamionkowski, M.; Griest, K. Supersymmetric Dark Matter. Phys. Rep. 1996, 267, 195–373. [Google Scholar] [CrossRef]
  6. Gawiser, E.; Silk, J. Extracting primordial density fluctuations. Science 1998, 280, 1405–1411. [Google Scholar] [CrossRef] [PubMed][Green Version]
  7. Du, N.; Force, N.; Khatiwada, R.; Lentz, E.; Ottens, R.; Rosenberg, L.J.; Rybka, G.; Carosi, G.; Woollett, N.; Bowring, D.; et al. Search for Invisible Axion Dark Matter with the Axion Dark Matter Experiment, (ADMX Collaboration). Phys. Rev. Lett. 2018, 120, 151301. [Google Scholar] [CrossRef]
  8. Kosmas, T.S.; Vergados, J.D. Cold dark matter in SUSY theories: The role of nuclear form factors and the folding with the LSP velocity. Phys. Rev. D 1997, 55, 1752–1764. [Google Scholar] [CrossRef]
  9. Vergados, J.D.; Kosmas, T.S. Searches for Cold Dark Matter: A Case of the Coexistence of Supersymmetry and Nuclear Physics. Phys. Atom. Nucl. 1998, 61, 1066–1080. [Google Scholar]
  10. Freese, K.; Lisanti, M.; Savage, C. Colloquium: Annual modulation of dark matter. Rev. Mod. Phys. 2013, 85, 1561–1581. [Google Scholar] [CrossRef]
  11. Liu, J.; Chen, X.; Ji, X. Current status of direct dark matter detection experiments. Nat. Phys. 2017, 13, 212–216. [Google Scholar] [CrossRef]
  12. Sahu, R.; Papoulias, D.K.; Kota, V.K.B.; Kosmas, T.S. Elastic and inelastic scattering of neutrinos and weakly interacting massive particles on nuclei. Phys. Rev. C 2020, 102, 035501. [Google Scholar] [CrossRef]
  13. Froborg, F.; Duffy, A.R. Annual modulation in direct dark matter searches. J. Phys. G Nucl. Part. Phys. 2020, 47, 094002. [Google Scholar] [CrossRef]
  14. Aprile, E.; Aalbers, J.; Agostini, F.; Alfonsi, M.; Althueser, L.; Amaro, F.D.; Antochi, V.C.; Angelino, E.; Angevaare, J.R.; Arneodo, F.; et al. Observation of excess electronic recoil events in XENON1T (XENON Collaboration). arXiv 2020, arXiv:2006.09721. [Google Scholar]
  15. Amole, C.; Ardid, M.; Asner, D.M.; Baxter, D.; Behnke, E.; Bhattacharjee, P.; Borsodi, H.; Bou-Cabo, M.; Brice, S.J.; Broemmelsiek, D.; et al. Dark Matter Search Results from the PICO-60C3F8 Bubble Chamber. Phys. Rev. Lett. 2017, 118, 251301. [Google Scholar] [CrossRef] [PubMed]
  16. Broniatowski, A.; Defay, X.; Armengaud, E.; Berge, L.; Benoit, A.; Besida, O.; Blümer, J.; Chantelauze, A.; Chapellier, M.; Chardin, G.; et al. A new high-background-rejection dark matter Ge cryogenic detector (EDELWEISS Collaboration). Phys. Lett. B 2009, 681, 305–309. [Google Scholar] [CrossRef]
  17. Divari, P.C.; Kosmas, T.S.; Vergados, J.D.; Skouras, I.D. Shell model calculations for light supersymmetric particle scattering off light nuclei. Phys. Rev. C 2000, 61, 054612. [Google Scholar] [CrossRef]
  18. Bernabei, R.; Belli, P.; Bussolotti, A.; Cappella, F.; Caracciolo, V.; Cerulli, R.; Dai, C.J.; d’Angelo, A.; Di Marco, A.; He, H.L.; et al. First model independent results from DAMA/LIBRA-phase2. Nucl. Phys. At. Energy 2018, 19, 307–325. [Google Scholar] [CrossRef]
  19. Bernabei, R.; Belli, P.; Cappella, F.; Cerulli, R.; Dai, C.J.; D’angelo, A.; He, H.L.; Incicchitti, A.; Kuang, H.H.; Ma, J.M.; et al. First results from DAMA/LIBRA and the combined results with DAMA/NaI. Eur. Phys. J. C 2008, 56, 333–355. [Google Scholar] [CrossRef]
  20. Antonello, M.; Barberio, E.; Baroncelli, T.; Benziger, J.; Bignell, L.J.; Bolognino, I.; Calaprice, F.; Copello, S.; D’angelo, D.; DImperio, G.; et al. The SABRE project and the SABRE Proof-of-Principle. Eur. Phys. J. C 2019, 79, 363. [Google Scholar] [CrossRef]
  21. Amare, J.; Cebrian, S.; Cintas, D.; Coarasa, I.; Garcia, E.; Martinez, M.; Olivan, M.A.; Ortigoza, Y.; de Solorzano, A.O.; Puimedon, J.; et al. ANAIS-112 status: Two years results on annual modulation. arXiv 2019, arXiv:1910.13365. [Google Scholar] [CrossRef]
  22. Adhikari, G.; Adhikari, P.; de Souza, E.B.; Carlin, N.; Choi, S.; Djamal, M.; Ezeribe, A.C.; Hyon Ha, C.; Hahn, I.; Hubbard, A.J.F.; et al. An experiment to search for dark-matter interactions using sodium iodide detectors. Nature 2018, 564, 83–86. [Google Scholar]
  23. Agnes, P.; Albuquerque, I.F.M.; Alexander, T.; Alton, A.K.; Araujo, G.R.; Asner, D.M.; Ave, M.; Back, H.O.; Baldin, B.; Batignani, G.; et al. Low-Mass Dark Matter Search with the DarkSide-50 Experiment. Phys. Rev. Lett. 2018, 121, 081307. [Google Scholar] [CrossRef] [PubMed]
  24. Ajaj, R.; Amaudruz, P.-A.; Araujo, G.R.; Baldwin, M.; Batygov, M.; Beltran, B.; Bina, C.E.; Bonatt, J.; Boulay, M.G.; Broerman, B.; et al. Search for dark matter with a 231-day exposure of liquid argon using DEAP-3600 at SNOLAB. Phys. Rev. D 2019, 100, 022004. [Google Scholar] [CrossRef]
  25. Aalseth, C.E.; Acerbi, F.; Agnes, P.; Albuquerque, I.F.M.; Alexander, T.; Alici, A.; Alton, A.K.; Antonioli, P.; Arcelli, S.; Ardito, R.; et al. DarkSide-20k: A 20 Tonne Two-Phase LAr TPC for Direct Dark Matter Detection at LNGS. Eur. Phys. J. Plus 2018, 133, 131. [Google Scholar] [CrossRef]
  26. Papoulias, D.K.; Sahu, R.; Kosmas, T.S.; Kota, V.K.B.; Nayak, B. Novel Neutrino-Floor and Dark Matter Searches with Deformed Shell Model Calculations. Adv. High Energy Phys. 2018, 2018, 6031362. [Google Scholar] [CrossRef]
  27. Smponias, T.; Kosmas, O.T. High Energy Neutrino Emission from Astrophysical Jets in the Galaxy. Adv. High Energy Phys. 2015, 2015, 921757. [Google Scholar] [CrossRef]
  28. Smponias, T.; Kosmas, O.T. Neutrino Emission from Magnetized Microquasar Jets. Adv. High Energy Phys. 2017, 2017, 4962741. [Google Scholar] [CrossRef]
  29. Kosmas, O.T.; Smponias, T. Simulations of Gamma-Ray Emission from Magnetized Microquasar Jets. Adv. High Energy Phys. 2018, 2018, 9602960. [Google Scholar] [CrossRef]
  30. Akimov, D.; Albert, J.B.; An, P.; Awe, C.; Barbeau, P.S.; Becker, B.; Belov, V.; Brown, A.; Bolozdynya, A.; Cabrera-Palmer, B.; et al. Observation of coherent elastic neutrino-nucleus scattering. Science 2017, 357, 1123–1128. [Google Scholar] [CrossRef]
  31. Fitzpatrick, A.L.; Haxton, W.; Katz, E.; Lubbers, N.; Xu, Y.; Cosmol, J. The effective field theory of dark matter direct detection. Astropart. Phys. 2013, 2, 004. [Google Scholar] [CrossRef]
  32. Anand, N.; Fitzpatrick, A.L.; Haxton, W.C. Weakly interacting massive particle-nucleus elastic scattering response. Phys. Rev. C 2014, 89, 065501. [Google Scholar] [CrossRef]
  33. Hoferichter, M.; Klos, P.; Menendez, J.; Schwenk, A. Nuclear structure factors for general spin-independent WIMP-nucleus scattering. Phys. Rev. D 2019, 99, 055031. [Google Scholar] [CrossRef]
  34. Holmlund, E.; Kortelainen, M.; Kosmas, T.S.; Suhonen, J.; Toivanen, J. Microscopic calculation of the LSP detection rates for the 71Ga, 73Ge and 127I dark-matter detectors. Phys. Lett. B 2004, 584, 31–39. [Google Scholar] [CrossRef][Green Version]
  35. Kortelainen, M.; Kosmas, T.S.; Suhonen, J.; Toivanen, J. Event rates for CDM detectors from large-scale shell-model calculations. Phys. Lett. B 2006, 632, 226–232. [Google Scholar] [CrossRef]
  36. Toivanen, P.; Kortelainen, M.; Suhonen, J.; Toivanen, J. Large-scale shell-model calculations of elastic and inelastic scattering rates of lightest supersymmetric particles (LSP) on 127I, 129Xe, 131Xe, and 133Cs nuclei. Phys. Rev. C 2009, 79, 044302. [Google Scholar] [CrossRef]
  37. Vergados, J.D.; Avignone, F.T., III; Pirinen, P.; Srivastava, P.C.; Kortelainen, M.; Suhonen, J. Theoretical direct WIMP detection rates for transitions to nuclear excited states. Phys. Rev. D 2015, 92, 015015. [Google Scholar] [CrossRef]
  38. Pirinen, P.; Srivastava, P.C.; Suhonen, J.; Kortelainen, M. Shell-model study on event rates of lightest supersymmetric particles scattering off 83Kr and 125Te. Phys. Rev. D 2016, 93, 095012. [Google Scholar] [CrossRef]
  39. Vergados, J.D.; Moustakidis, C.C.; Cheung, Y.K.E.; Ejiri, H.; Kim, Y.; Lee, J.Y. Light WIMP Searches Involving Electron Scattering. Adv. High Energy Phys. 2018, 2018, 6257198. [Google Scholar] [CrossRef]
  40. Bernabei, R.; Belli, P.; Cappella, F.; Cerulli, R.; Dai, C.J.; He, H.L.; Incicchitti, A.; Kuang, H.H.; Ma, J.M.; Ma, X.H.; et al. Investigation on light dark mattert. Mod. Phys. Lett. 2008, A23, 2125–2140. [Google Scholar] [CrossRef]
  41. Klos, P.; Menendez, J.; Gazit, D.; Schwenk, A. Large-scale nuclear structure calculations for spin-dependent WIMP scattering with chiral effective field theory currents. Phys. Rev. D 2013, 88, 083516. [Google Scholar] [CrossRef]
  42. Baudis, L.; Kessler, G.; Klos, P.; Lang, R.F.; Menendez, J.; Reichard, S.; Schwenk, A. Signatures of Dark Matter Scattering Inelastically Off Nuclei. Phys. Rev. D 2013, 88, 115014. [Google Scholar] [CrossRef]
  43. Payne, C.G.; Bacca, S.; Hagen, G.; Jiang, W.; Papenbrock, T. Coherent elastic neutrino-nucleus scattering on 40Ar from first principles. Phys. Rev. C 2019, 100, 061304. [Google Scholar] [CrossRef]
  44. Kota, V.K.B.; Sahu, R. Structure of Medium Mass Nuclei: Deformed Shell Model and Spin-Isospin Interacting Boson Model; CRC Press, Taylor and Francis group: Boca Raton, FL, USA, 2016. [Google Scholar]
  45. Srivastava, P.C.; Sahu, R.; Kota, V.K.B. Shell model and deformed shell model spectroscopy of 62 Ga. Eur. Phys. J. A 2015, 51, 1–9. [Google Scholar] [CrossRef]
  46. Sahu, R.; Srivastava, P.C.; Kota, V.K.B. Deformed shell model results for neutrinoless positron double beta decay of nuclei in the A = 60–90 region. J. Phys. G Nucl. Part. Phys. 2013, 40, 095107. [Google Scholar] [CrossRef]
  47. Sahu, R.; Kota, V.K.B. Deformed shell model results for neutrinoless double beta decay of nuclei in A = 60–90 region. Int. J. Mod. Phys. E 2015, 24, 1550022. [Google Scholar] [CrossRef]
  48. Kosmas, T.S.; Faessler, A.; Sahu, R. Transition matrix elements for μ-e conversion in 72Ge using the deformed Hartree-Fock method. Phys. Rev. C 2003, 68, 054315. [Google Scholar] [CrossRef]
  49. Sahu, R.; Kota, V.K.B. Deformed shell model study of event rates for WIMP-73Ge scattering. Mod. Phys. Lett. 2017, 32, 175021. [Google Scholar] [CrossRef]
  50. Evans, N.W.; O’Hare, C.A.J.; McCabe, C. SHM++: A Refinement of the Standard Halo Model for Dark Matter Searches in Light of the Gaia Sausage. arXiv 2018, arXiv:1810.11468. [Google Scholar]
  51. Ahalpara, D.P.; Bhatt, K.H.; Sahu, R. Collective bands in 81Sr. J. Phys. G Nucl. Part.Phys. 1985, 11, 735–744. [Google Scholar] [CrossRef]
  52. Available online: http://www.nndc.bnl.gov/ (accessed on 11 January 2021).
  53. Coraggio, L.; De Angelis, L.; Fukui, T.; Gargano, A.; Itaco, N. Calculation of Gamow-Teller and two-neutrino double-β decay properties for 130Te and 136Xe with a realistic nucleon-nucleon potential. Phys. Rev. C 2017, 95, 064324. [Google Scholar] [CrossRef]
  54. Brown, B.A.; Wildenthal, B.H. Status of the nuclear shell model. Annu. Rev. Nucl. Part. Sci. 1988, 38, 29–66. [Google Scholar] [CrossRef]
  55. Nowacki, F.; Poves, A. A new effective interaction for 0ℏω shell-model calculations in the sd p f valence space. Phys. Rev. C 2009, 79, 014310. [Google Scholar] [CrossRef]
Publisher’s Note: MDPI stays neutral with regard to jurisdictional claims in published maps and institutional affiliations.

Article Metrics

Citations

Article Access Statistics

Multiple requests from the same IP address are counted as one view.