Abstract
The increasing frequency and intensity of wildfires are affecting the use of wood products in rural areas as well as at the wildland–urban interface. The enhancement in wood products’ reaction/resistance to fire is a concern often raised by national authorities. In the present study, different fire protection measures were applied to utility wood poles aiming to protect them from wildfires, ensuring their reuse in safe conditions while preventing them from contributing to the propagation of forest fires, particularly surface fires. Two of the solutions tested were based on intumescent paints, while the other one involved a system that completely covers the poles’ exteriors (a fabric-protection layer mechanically applied to the surface of the pole). These solutions were initially assessed in small-scale laboratory tests. Following these initial tests, a selected solution based on fabric protection was tested under simulated wildland fire conditions. The results obtained showed that fabric-based protection delivered satisfactory results, being easily applied on site, allowing the protection of poles already in service and the replacement of fire protection devices after a fire occurs.
1. Introduction
Wooden poles are still commonly used in overhead transmission lines [1,2], offering a competitive solution when compared to steel or reinforced concrete poles [3].
As for other wood products, the poor fire behavior of wood products is a constant concern for end users. Solid wood products are classified without testing as Class D-s2,d0 for their reaction to fire (flammable and medium contribution to fire, high smoke production, and no dripping or flaming droplets during a fire), depending on the minimum wood density (350 kg/m3) and thickness (22 mm) [Commission Delegated Regulation (EU) 2003/593/EC]. Therefore, solid wood is considered a net contributor to flashover, with improvements in its fire behavior achieved based on the application of fire-retardant products or by encapsulation using other materials of Class A1 or A2. When exposed to fire, the degradation of wood during the first phase initiates through water evaporation and the slow decomposition of the wood’s chemical structure (pyrolysis), with most gases produced being noncombustible at temperatures below 225 °C. Pyrolysis accelerates above 115 °C, leading to flaming combustion, and char layers form above 280 °C [4,5].
To safeguard the life, health, and safety of end users, construction fire safety legislation regulates the choice of materials for different end uses in buildings according to their reaction to fire and fire resistance. In many circumstances, wood products must face treatment with fire-retardant products for approval to be used in buildings.
For structural wood products, various treatments can be applied by considering factors like time to ignition, flammability, smoke emission, and surface spread of the flame [3]. Generally, fire or flame retardants are applied to wood products through bulk impregnation or surface treatments (coatings) [3,6]. For wood-based panels or wood composites, flame retardants are incorporated during mat formation [5].
Impregnation treatments usually involve water-borne or solvent-borne salt solutions [7], with water-borne solutions being more environmentally friendly, but their long-term efficiency is affected by leaching in outdoor applications [8]. Studies have been conducted to reduce leaching in such applications, including the possibility of enhancing the leaching resistance of fire-retardant modified wood using a thermoset resin [7] or using top-coating products [9].
Impregnation with flame-retardant products has been widely used for both solid and engineered wood products, raising concerns about the reduction in the strength of treated wood, which necessitates carrying out additional technical studies to ensure that its mechanical performance is not significantly compromised [4,10].
A more recent concern was raised about the potential toxicity of fire retardants, not only about the toxicity of the product alone but also of the smoke generated in a fire event. Fire-retardant products usually contain phosphorus- or organophosphate-based substances. Aromatic brominated flame retardants, aliphatic brominated compounds, and some organophosphorus-based flame retardants are being scrutinized by the European Chemicals Agency (ECHA) following the restrictions roadmap from the EU’s Chemicals Strategy for Sustainability [11]. In the United Kingdom, a recent paper summarizes a list of recommendations for more effective uses of fire-retardant products and the limitation of environmental and health problems [12]. The use of less-inflammable products and the development of other solutions, including hybrid intumescent coatings and products with lower toxicity, are possible alternatives [13,14,15].
In the case of wood for overhead transmission lines, no regulation exists regarding fire performance. However, the contribution of wooden poles to fire propagation and the need to ensure the resilience of communication and electricity infrastructure were concerns raised by Portuguese national authorities after huge fires of 2017 and 2018 in Portugal. The social, environmental, and economic impacts of the 2017 forest fires that occurred in Portugal led the national authority for communications (ANACOM) to recommend that solutions should be found to prevent the wooden poles used for overhead power and telecommunication lines from contributing to fire spread [3,16,17,18]. While some authors consider the fire behavior of wooden poles satisfactory in terms of retaining minimum resistance when exposed to temperatures between 500 °C and 1200 °C [19], there is concern about the possibility of poles promoting fire spread and experiencing medium-term failure, leading to the failure of infrastructure systems.
The fire protection of wooden poles must account for the high temperatures, often exceeding the 1000 °C, reached in wildland fires, the temperature being dependent upon biomass type and quantity available. Flame-front residence time is also a crucial variable, which is affected by wind speed; an average flame-front residence time of 37 s was observed in dry eucalyptus forests [20] or in the range of 29 to 37 s (average 34 s) in the case of jack pine (Pinus banksiana Lamb.) stands with a black spruce (Picea mariana (Mill.) BSP) understory [21]. Flame-front residence time is a variable not only dependent on the biomass present but also on wind speed, with values ranging from 0.29 min for no wind to 0.14 min for a wind speed of 3 m/s [22].
In Portugal, many studies have been carried out regarding poles and round wood properties for various species [23,24], but no works are available on the fire performance of utility poles or other wood applied in rural areas with a high risk of wildfires. Usually, to protect power infrastructure, vegetation-free containment lanes are recommended and implemented [25]. However, due to a lack of maintenance or as a consequence of climate-favorable conditions, enough shrub vegetation exists that facilitates the spread of fires across these forest fire containment lanes.
This suggests the need to implement measures to reduce this risk and at the same time to enable the reuse of wooden poles, given the critical and increasing need for the efficient use of natural resources.
Protection against fire also has to consider that wooden poles are typically treated with preservatives against biological agents (fungi and termites) to ensure a minimum service life (generally between 15 and 20 years). The treatment with preservative products is currently based on aqueous solutions of metallic salts [26]. The type of product and its application have undergone significant changes in recent decades due to environmental concerns [27]. Some studies suggest that the type of preservative treatment can result in different behaviors when exposed to fire. For example, wood treated with salt-based products is more susceptible to damage than wood treated with creosote [28,29]. In addition to flaming, another important factor to consider is smoldering combustion (combustion without flame) [30]. Wood treated with water-borne chromated copper arsenate (CCA) seems to be more prone to smoldering than untreated wood, with this effect becoming more pronounced as the level of CCA retention increases [31]. Although CCA products are no longer permitted in Europe and have been replaced by water-based wood-preservative-containing copper and organic biocides, the same smoldering effect exists due to the presence of copper. Some studies have explored combining fireproof treatment with preservative treatment for wooden elements used outdoors [32,33,34].
A national project, FusionPole, was launched in 2020 with two main objectives. The first objective was to reuse the remains of wooden poles that were not deteriorated (by fungi or termites) by replacing the part of the pole that showed deterioration [35]. Other studies also attempted to increase the time in service of deteriorated wooden poles by, for example, reinforcing and repairing decayed wooden poles using fiber-reinforced polymers (FRP) [36]. Although wooden poles require a low level of processing and have low economic and energy costs as well as low environmental impact, a large percentage of the poles removed from service (>50%) do not present any deterioration. Thus, it is important to consider the optimization and the reuse of wood following the principles of the circular economy [35,37]. Maritime pine (Pinus pinaster Aiton) is mainly used for the roundwood poles used for overhead power and telecommunication lines in Portugal. Considering that maritime pine requires 15 to 25 years to reach a proper dimension for use as poles and the recent wildfires that have decimated a significant part of the Portuguese pine forest, there is a risk that in the next decades there will be a lack of trees, in quantity and quality, to supply the market for telecommunications poles. This shortage could drive up timber prices for this type of application and, therefore, reduce the competitiveness of wooden poles versus other alternatives such as concrete and/or steel poles. Also, the use of wood preservatives classifies poles removed from service as hazardous waste, making their disposal expensive.
The second objective of FusionPole’s project was to protect wooden poles from fire to prevent their contribution of propagation of forest fires and to avoid the disruption of civil infrastructure systems by sustaining wooden poles in service conditions in the short term (avoid premature replacements), allowing them to withstand a wildfire without failure, endure the time necessary to conduct proper inspections as well as repair and replace the fire protection, and in some limited cases to replace them with new ones.
The present paper presents the results of fire testing conducted on replicas of wooden poles using different types of fire protection, including combined wooden poles composed of two sections connected by a steel joint.
2. Materials and Methods
This study employed two different testing approaches. The first was adapted from the Single Burning Item test (SBI test) described in the European standard EN 13823 [38]. This test, designated as small-scale test, was carried out with the purpose of screening different types of fire protections selected from the market. The second was a large-scale test and was designed to simulate a scenario more closely resembling the reality of a forest fire and provide information on the efficiency of the fire protection selected after the small-scale tests.
2.1. Small-Scale Laboratory Fire Test-Material
For the small-scale laboratory fire test, seven specimens of Maritime pine (Pinus pinaster Aiton) roundwood were selected. Each specimen measured approximately 1.3 m in length and had a diameter of 0.20 m (±0.01 m; Figure 1). To assess the impact of preservative treatment, four specimens were treated with the aqueous-based preservative product Tanalith E8001, manufactured by Arch Timber Protection, while the other three were left untreated (reference sample). All preservative-treated poles retained more than 28.6 kg/m3 of the preservative product (complying with the level of retention indicated to use Class 4—direct contact with ground and/or fresh water).
Figure 1.
Unprotected maritime pine roundwood specimens.
All specimens were dried to a maximum moisture content of 20%. The moisture content was assessed using an electrical resistance method, as shown in Figure 2. Measurements were taken at three points along the length of the specimens by inserting the needles to a depth of approximately 66 mm, which corresponded to one-third of the diameter, following the criteria outlined in EN 13183-2 [39]. The needles were placed perpendicular to the wood grain according to the manufacturer’s instructions.
Figure 2.
Measurement of moisture content.
The fire-retardant protections selected for this study (identified as A to C) were commercially available solutions suitable for outdoor wood applications.
Protection A (Figure 3A) involved the application of a water-based clear primer, based on acrylic polymers (one coat), followed by a white intumescent coating (two coats), expected to provide 30 to 60 min of fire protection. Finally, a satin sheen finish suitable for exterior use on wood (two coats) was applied.
Figure 3.
The different fire protection types applied to roundwood specimens.
Protection B (Figure 3B) included the application of a clear water-based primer based on acrylic polymers (one coat), followed by a single-component intumescent paint in a water emulsion, consisting of synthetic resin (one coat). To complete this protection, a glossy acrylic-aliphatic polyurethane paint (two coats) was applied.
The topcoat satin sheen (protection A) and acrylic–aliphatic polyurethane finishing (protection B) was applied since outdoor applications require protection against leaching.
Protection C (Figure 3C) was selected as an alternative to traditional intumescent paints. Protection C involved wrapping the wood with a commercial fire-retardant fabric. All solutions applied are shown in Figure 3.
Table 1 provides a description of all types of specimens tested.
Table 1.
Specimens tested with and without fire protection.
In the case of solution C, only the worst condition was tested: the use of poles with a high retention of preservative product.
2.2. Large-Scale Laboratory Fire Test Material
The tests comprised four specimens that differed in terms of whether they were protected from fire and on their constitution:
- Specimen 1: A pole without fire protection was used as reference.
- Specimen 2: This pole was protected with fabric (solution C) from ground level up to a height of 1.24 m. The fabric was wrapped around the pole with an overlap of approximately 10 cm (Figure 4).
Figure 4. (a) Wrapping of the pole using the fabric; (b) overlap of the fabric; (c) steel connector joining two roundwood sections; (d) protection of the steel connector using an intumescent paint. - Specimen 3: A hybrid pole was used to represent a combination of a new and an old timber wood pole. These two parts were connected by a steel connector, as shown in Figure 4. This specimen simulated a wooden pole composed of a new sound wood round section, replacing the part of the original pole showing biological deterioration, and the old sound wood from the original pole that did not showed any damage (suitable for reuse).
- Specimen 4: Specimen 4 was the same as Specimen 3, but in this case, the steel connector was protected by a fire-retardant coating, as depicted in Figure 4d.
2.3. Small-Scale Laboratory Fire Test Method
A fire test was conducted following the principles outlined in EN 13823 [38] at the Fire Laboratory Unit of the National Laboratory for Civil Engineering. This test standard involved evaluating various aspects of the fire performance of a specimen exposed to the flames of a gas burner with a nominal thermal power of 30 kW. This power was used since it is the heat source used to assess the reaction to fire performance of the different CE-marked construction products—according to the principles outlined in EN 13823 [38]. These initial tests were carried out as a way of comparing different types of solutions, using a more standardized approach and deciding later which solution to test in a simulated surface forest fire.
Several parameters were determined during the test, including
- FIGRA—fire growth rate index.
- SMOGRA—smoke growth rate index.
- THR600s—total heat released in the first 600 s of exposure to the main burner flames.
- TSP600s—total smoke production in the first 600 s of exposure to the main burner flames.
- HRR30s—Average heat release rate, corresponding to a moving average of the heat released determined for each instant t considering the values recorded between t − 15 s and t + 15 s.
- SPR60s—Smoke production rate, corresponding to a moving average of the heat released determined for each instant t considering the values recorded between t − 30 s and t + 30 s.
The determination of FIGRA and THR600s relied on the continuous measurement and recording of various parameters, including temperature and oxygen concentration decreases. The determination of SMOGRA and TSP600s was based on continuous measurements and recordings of temperature, pressure difference, and light attenuation.
The THR600s represents the total heat released over the first 10 min, while the HRR30s refers to the peak heat release rate between the ignition of the main burner and the end of the test (excluding the burner’s heat output), calculated as a 30 s running average.
During the test, the specimens were vertically positioned slightly above the corner of the ignition source (burner), with an 8 cm distance from each side of the apex, as shown in Figure 5.
Figure 5.
Pole placement in the test chamber and under testing.
The ignition source consisted of a triangular propane diffusion burner operating at 30 kW, representing a burning wastepaper basket, placed at the base of the specimen’s corner. The combustion gases were collected in a hood and transported through a duct. The duct contained a measurement section with a differential pressure probe, thermocouples, a gas sample probe, and a smoke measurement system to measure heat and smoke production.
The bottom end of each pole was safeguarded with a calcium silicate plate and a rock wool blanket that matched the post’s diameter. This protective measure proved effective in all cases, except for solution C, where the poles exhibited only minor surface deterioration at the bottom end. This minor deterioration was not considered in the final analysis of the results. It is worth noting that in a real-world scenario, such a situation would not arise, as the protection would extend along the length of the pole beneath the soil.
At the end of the fire tests, wood density was determined according to the oven dry method [40]. For that purpose, four test pieces were cut from a wood slice cut near the ignition source, as shown in Figure 6. The mean densities of the two exterior wood layers and of the two interior layers (near the pith) were determined, with the results in Table 2.
Figure 6.
Cutting scheme for determination of wood density.
Table 2.
Wood density.
2.4. Large-Scale Laboratory Fire Test Method
The tests were conducted at the Forest Fire Research Laboratory (LEIF) at the University of Coimbra. The poles were positioned near three baskets, at a distance of 25 cm, each with a volume of 1 m3, as depicted in Figure 7a.
Figure 7.
Pole preparation for testing (a) and under testing (b).
Each basket contained approximately 15 kg of vegetation, including a shrub mixture mainly of Erica umbelata, Erica australis, Ulex minor, Chamaespartium tridentatum, and Avena sativa. The choice for the 15 kg of vegetation mixture used for the simulation of a surface forest fire was made considering the experience of the Fire Engineering Laboratory of the University of Coimbra in different simulation conditions for various forest fires that have occurred in Portugal. Similar setups were used for other laboratory tests using different fuel loads consisting of shrub vegetation [41]. The effects of the organic (or standardized) fuel were compared by [42] using dead needles of maritime pine; straw of Avena sativa; dead leaves of Eucalyptus globulus; a mix of shrubs mainly composed of Erica australis and Pterospartum tridentatum. The study concluded that although all types of vegetation showed similar values of flame length and duration, shrubs had higher maximum mass loss rates.
Thus, the selection of the shrub vegetation used for the test was based on species commonly found in the central region of Portugal and representing the shrub vegetation commonly found in forest lands. The shrub vegetation was collected directly at a forest field and brought to the laboratory.
The ignition was carried out manually with a blowtorch, from the 1st to the 3rd basket. There were only a few seconds, about 10 s, difference between the ignition of the 1st, 2nd and 3rd baskets. Igniting the baskets created a flame-front residence time of approximately 7 min.
On the surface of the poles, two Hukseflux industrial heat flux sensors (IHF01) were placed to measure heat flux. These sensors had an uncertainty of ±0.98 V/(W/m2), with a measuring frequency set at 1 Hz. Additionally, K-type thermocouples were positioned near these sensors. For Specimen 1, one sensor was placed at a height of 0.80 m and the other at a height of 1.80 m from the ground. In the case of Specimens 2, 3, and 4, both sensors were positioned at a height of 0.80 m to measure heat flux and temperature both below and above the protection provided by the fabric.
The tests were conducted in the conditions described in Table 3.
Table 3.
Summary of test conditions.
During the tests, the poles were exposed to a flame with a height up to 5 m (see Figure 7b) and subjected to incident radiation with intensities of up to 20 kW/m2 in the lower section of the pole and up to 15 kW/m2 in the upper section.
As for the small-scale tests, it was necessary to protect the bottom end, simulating the situation in the field where only the lateral surfaces of the pole are exposed. This was achieved by using fiberglass and fireproof adhesive tape.
After the tests, a section was cut in each pole at a height of 0.33 m from the ground to assess the charring depth. This criterion was aimed at comparing the results with those obtained in the small-scale test at the same height of the pole. However, due to the location of the metal sleeve, the closest location not affected by the sleeve was at 0.33 cm.
3. Results and Discussion
3.1. Small-Scale Laboratory Fire Test Results
Table 4 presents a summary of the results obtained.
Table 4.
Summary of small-scale test results.
The results demonstrated a significant improvement in the performance of the different fire protection solutions (poles 3, 4, 5, 6, and 7) compared to the results of unprotected wooden poles (poles 1 and 2), particularly in terms of heat release (Figure 8a) and total heat released (Figure 8b).
Figure 8.
Results regarding heat released: (a) considering an average time window of 30 s, HRR30s; (b) in the first 600 s, THR600s. On the left, all poles; on the right, only poles with fire protection.
All the solutions proved to be effective. Among the various solutions, the intumescent paint solution applied to pole number 4 exhibited the highest heat release (Figure 8b), while the fabric protection (pole number 7) exhibited the lowest heat release.
Regarding the rate of fire development (Figure 9), the same observation was made, with significantly lower performance exhibited by the unprotected poles. However, it is noteworthy that Pole 4, which was protected by an intumescent paint (product B), displayed a peak point. Further examination after the test revealed that this peak was caused by a deposit or contamination present on the surface of the pole (over the coating), which had not been identified during the initial application of the paint. This result underscores the importance of conducting a thorough visual inspection of the pole’s surface after applying a fire-retardant solution, as contaminants can adhere to the fresh coating and affect their performance. For the poles tested with fire protection, the readings were below the detection limit of the equipment, as shown in Figure 9.
Figure 9.
Results regarding fire development rate: FIGRA.
The pole treated with a copper solution but without fire protection (pole 2) exhibited a significantly higher smoke production rate compared to the other tested poles. Interestingly, the untreated pole displayed a behavior similar to the poles protected against fire (see Figure 10a). This same pattern was observed for total smoke production (see Figure 10b). Previous studies already have indicated the possibility of increased smoke emissions and prolonged flameless combustion (which could potentially lead to pole rupture, in poles treated with chromium copper arsenate (CCA) products [28,31].
Figure 10.
Smoke production results: (a) rate average 60 s (SPR60s); (b) total smoke production in the first 600 s, TSP600s.
While smoke production and toxicity are important factors in building construction due to their potential impact on human health and visibility, these factors are not generally a concern for outdoor end uses as wooden poles.
Pole 7 underwent a visual inspection, and, despite its darkened appearance, the fabric appeared to remain intact. Additionally, it was observed that the overlapping area of the fabric retained its original appearance, as shown in Figure 11. Consequently, a decision was made to subject the pole to a second test, under identical conditions to the first. The results, presented in Figure 12, indicated no significant change in its behavior regarding heat release and smoke production. However, this time, clear deterioration of the fabric was observed, making it more fragile.
Figure 11.
Results for pole 7: (a) before testing; (b) under testing; (c) after testing; (d) appearance of the fabric at the overlap.
Figure 12.
Averaged total heat released (HRR30s) and smoke production rate (SPR60s) considering pole 7 during first test (7-1) and second test (7-2).
After the tests, a visual assessment of the poles was conducted to evaluate the damage, specifically on the charring layer at distances of 10 cm and 30 cm from the bottom end of each pole. The charring layer was measured in the wooden surface directly exposed to the heat source. As expected, the poles without protection exhibited significant superficial degradation.
For the poles without fire protection (poles 1 and 2), pole 2 displayed a deeper charred layer, as illustrated in Figure 13. This difference could be related to the fact that pole 2 was treated with a preservative product, which also resulted in a greater emission of smoke, as mentioned earlier. The average charred depth was determined using Pilodyn 6J equipment [43]. It is worth noting that, aside from the unprotected poles, all other fire protection solutions produced similar results, including pole 7 (fabric), where the char depth was measured after undergoing two consecutive tests.
Figure 13.
Measurement of the charring depth by the penetration achieved using dynamic impact equipment (Pilodyn).
Based on the results obtained, it was decided to carry out a laboratory-scale test on the fabric due to its lower cost and ease of on-site application and on-site replacement (after fire). The cost of each solution was estimated taking into account the costs of each component (e.g., primer, intumescent coating and topcoat or the fabric and materials used for its fixation) as provided by the different manufacturers. The cost of solution C was significantly lower (10 EUR/m2) than solution A (21 EUR/m2) or B (24 EUR/m2).
3.2. Large-Scale Laboratory Fire Test Results
Table 5 shows a summary of the measurements made during testing for all four test specimens.
Table 5.
Summary of large-scale test results.
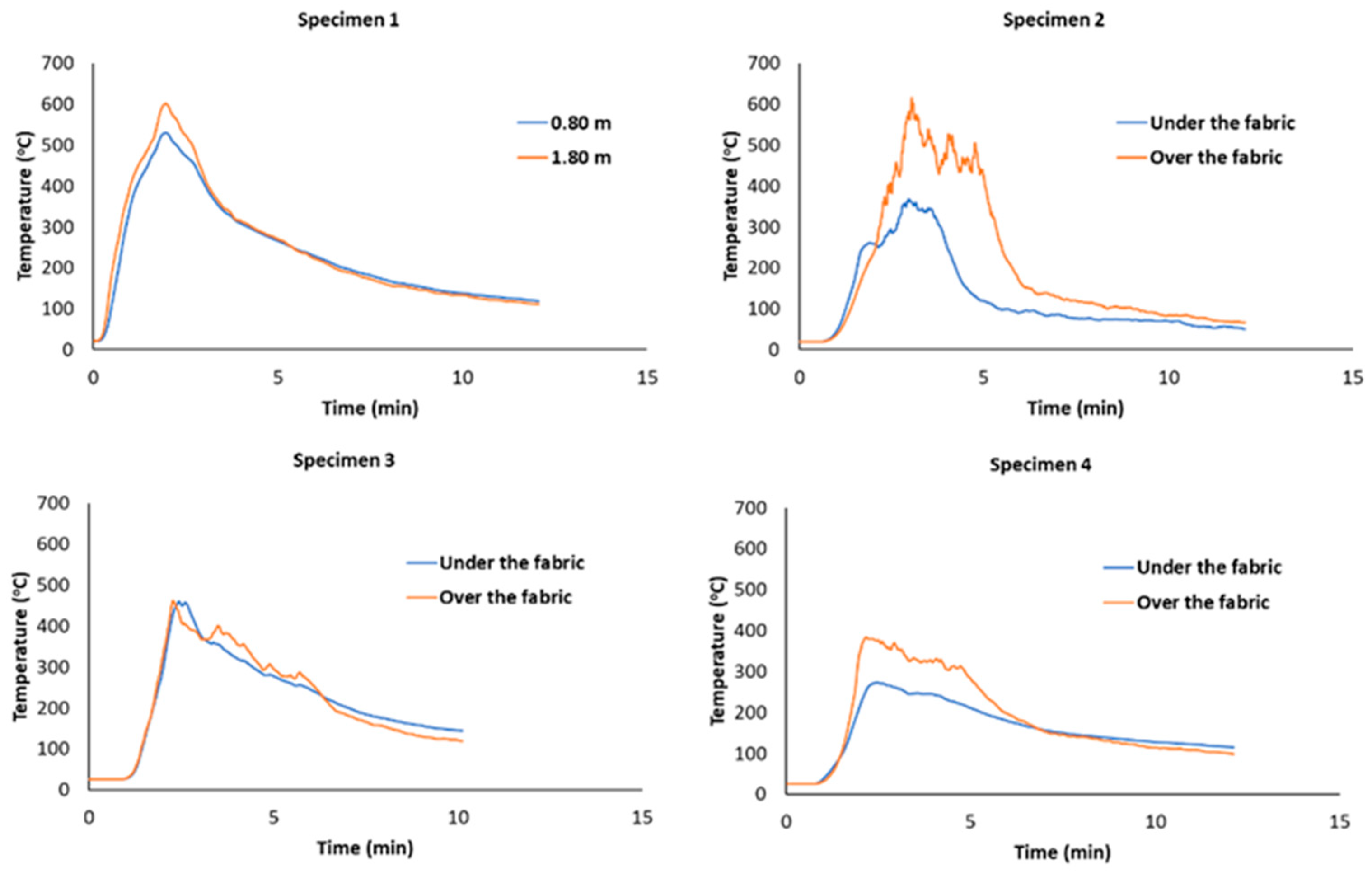
The entire surface of the unprotected specimen (pole 1) ignited, with combustion initially starting in the lower section and subsequently spreading to the upper section. The highest temperatures and incident heat were recorded in the lower section of the pole. Incident heat levels reached up to 20 kW/m2, as shown in Figure 14, while temperatures in the lower section rose to as high as 600 °C, as shown in Figure 15.
Figure 14.
Heat incident flow.
Figure 15.
Temperature at the surface.
For specimen 1, as shown in Figure 14, the 0.80 m curve exhibited negative incident heat values, particularly between the second and third minute. These values were disregarded as they resulted from the sensors being engulfed by flames, receiving heat not only from the front but also from the back of the sensor.
For specimen 2 (equal to specimen 1 but with the wooden pole protected with fabric), a difference in incident heat between the areas below and above the fire protection of approximately 2 kW/m2 was observed in the time frame of 1 to 3 min, as shown in Figure 14. This difference in incident heat resulted in a temperature reduction of up to 250 °C (Figure 15). This clearly demonstrates that the presence of the fabric reduced the incident heat and, consequently, the temperature on the surface of the specimen.
For specimen 3 (a specimen composed of two roundwood sections connected by a steel tube connector), an increase in the incident heat below the fabric was observed compared to specimen 2. Additionally, the incident heat below the fabric was higher than above it, with a difference of around 1.89 kW/m2. This behavior was also reflected in the temperature measured at both locations and can be attributed to the high thermal conductivity of the steel connector.
Specimen 4 (equal to specimen 3, but with the steel connector protected with an intumescent fire-retardant paint) showed the largest difference between the incident heat below and above the fabric, measuring 7.3 kW/m2. This difference was due to the protection provided to the steel connector by the intumescent paint.
Comparing all specimens tested with protection, specimen 4 showed the best results.
From the visual observation of the specimens (after the removal of the fabric), it can be concluded that the level of carbonization was lower for the protected specimens (2–4) compared to the unprotected specimen (1). The observation of the cross-section of the specimens (cut made at a height of 0.33 m above the ground) showed a similar depth of char layer.
After exposure to flames, the fabric became fragile, similar to its condition following the second small-scale test. The fragility of the fabric was more pronounced near the base of the poles up to a height of 60 cm, where the heat incidence was highest. Therefore, considering the results of the small- and large-scale laboratory tests, it can be concluded that the fabric should not be exposed to more than one fire.
The cross-section of the wooden poles was examined by conducting a cut at 33 cm from the bottom and near the steel connector. A char depth of less than 8 mm was observed, and it is noticeable that the effect of the steel connector (without fire protection) led to a deeper char depth (8 mm) compared to the pole protected but without a steel connector (4 mm). The charred layer was slightly thinner than that observed in the pole treated with a water-based wood preservative containing copper and protected by fabric during the small-scale test phase.
4. Conclusions
The present study analyzed the behavior of different fire protectants for wooden poles. To this end, three solutions were initially tested on a small laboratory scale. The results demonstrated that all tested solutions (intumescent paints and a fabric applied to the surface of poles) proved to be suitable for the protection of wooden poles, demonstrating a significant improvement in terms of fire development rate, heat release, and smoke production. The tests conducted on wooden poles without fire protection revealed differences in smoke emissions when comparing untreated poles or poles treated with a preservative water-borne product. The untreated pole showed significantly lower smoke emissions, corroborating the findings from previous studies.
Based on the results obtained at that stage and the ease and lower cost associated with the application of fabric, this solution was subjected to a large-scale laboratory test. Four specimens were tested: one without fire protection and three with the fabric solution. The wooden poles with the fabric showed a lower level of carbonization, confirming the results observed during the small-scale laboratory tests.
Considering the objective of the FusionPole project, the fire protection of hybrid poles (combining new and old roundwood sections) requires the protection of the steel connector with an intumescent paint, as the metallic sleeve significantly contributes to the heat buildup beneath the fabric.
None of the tested protections completely prevented the formation of a char layer on the surface of the poles, but it was noticeably thinner than that on the unprotected poles. More replicas should be tested to validate the results obtained.
Author Contributions
Conceptualization, J.S.M., T.M. and A.M.P.G.D.; methodology, J.S.M.; testing, S.K., T.M. and E.C.; writing—original draft preparation, J.S.M.; writing—review and editing, J.S.M., E.C., S.K. and A.M.P.G.D.; supervision, J.S.M. and A.M.P.G.D.; project administration, T.M.; funding acquisition, J.S.M., T.M. and A.M.P.G.D. All authors have read and agreed to the published version of the manuscript.
Funding
This research received funding from the Portugal2020 program, COMPETE2020, and European Union under the European Regional Development Fund (ERDF); FCT/MCTES through national funds (PIDDAC) under the R&D Unit Institute for Sustainability and Innovation in Structural Engineering (ISISE), under reference UIDB/04029/2020 (doi.org/10.54499/UIDB/04029/2020), and under the Associate Laboratory Advanced Production and Intelligent Systems ARISE under reference LA/P/0112/2020.
Institutional Review Board Statement
Not applicable.
Informed Consent Statement
Not applicable.
Data Availability Statement
The raw data supporting the conclusions of this article will be made available by the authors upon request.
Acknowledgments
We acknowledge collaboration with the experimental program of the Forest Fire Research Laboratory (LEIF) at the University of Coimbra.
Conflicts of Interest
Author Telmo Morgado was employed by the company Pedrosa e Irmãos, Pedrosa & Irmãos, Lda. The remaining authors declare that the research was conducted in the absence of any commercial or financial relationships that could be construed as a potential conflict of interest.
References
- Kalaga, S. Reliability Assessment of Transmission Poles. Eur. J. Eng. Technol. Res. 2022, 7, 76–81. [Google Scholar] [CrossRef]
- Gezer, E.D.; Temiz, A.; Yüksek, T. Inspection of Wooden Poles in Electrical Power Distribution Networks in Artvin, Turkey. Adv. Mater. Sci. Eng. 2015, 2015, 659818. [Google Scholar] [CrossRef]
- Bandara, S.; Rajeev, P.; Gad, E. Power Distribution System Faults and Wildfires: Mechanisms and Prevention. Forests 2023, 14, 1146. [Google Scholar] [CrossRef]
- Lowden, L.A.; Hull, T.R. Flammability behaviour of wood and a review of the methods for its reduction. Fire Sci. Rev. 2013, 2, 4. [Google Scholar] [CrossRef]
- Mensah, R.A.; Jiang, L.; Renner, J.S.; Xu, Q. Characterisation of the fire behaviour of wood: From pyrolysis to fire retardant mechanisms. J. Therm. Anal. Calorim. 2023, 148, 1407–1422. [Google Scholar] [CrossRef]
- Laranjeira, J.P.S.; Cruz, H.; Pinto, A.P.F.; Santos, C.P.; Pereira, J.F. Reaction to fire of existing elements protected with fire retardant treatments: Experimental assessment. Int. J. Archit. Herit. 2015, 9, 866–882. [Google Scholar] [CrossRef]
- Lin, C.; Karlsson, O.; Martinka, J.; Rantuch, P.; Garskaite, E.; Mantanis, G.I.; Jones, D.; Sandberg, D. Approaching Highly Leaching-Resistant Fire-Retardant Wood by In Situ Polymerization with Melamine Formaldehyde Resin. ACS Omega 2021, 6, 12733–12745. [Google Scholar] [CrossRef]
- Harada, T.; Matsunaga, H.; Kataoka, Y.; Kiguchi, M.; Matsumura, J. Weatherability and combustibility of fire-retardant-impregnated wood after accelerated weathering tests. J. Wood Sci. 2009, 55, 359–366. [Google Scholar] [CrossRef]
- Östman, B.; Tsantaridis, L. Durability of the reaction to fire performance for fire retardant treated (FRT) wood products in exterior applications—A ten years report. In Proceedings of the MATED Web of Conferences—2nd International Seminar for Fire Safety of Facades, Lund, Sweden, 11–13 May 2016. [Google Scholar] [CrossRef]
- LeVan, S.L.; Winandy, J.E. Effects of fire retardant treatments on wood strength: A review. Wood Fiber Sci. 1990, 22, 113–131. [Google Scholar]
- ECHA. Regulatory Strategy for Flame Retardants; European Chemical Agency: Helsinki, Finland, 2023. [Google Scholar] [CrossRef]
- Page, L.; Whaley, P.; Bellingham, M.; Birnbaum, L.S.; Cavoski, A.; Dilke, D.F.; Garside, R.; Harrad, S.; Kelly, F.; Kortenkamp, A.; et al. A new consensus on reconciling fire safety with environmental & health impacts of chemical flame retardants. Environ. Int. 2023, 173, 107782. [Google Scholar] [CrossRef]
- Canosa, G.; Alfieri, P.V.; Giudice, C.A. Hybrid Intumescent Coatings for Wood Protection against Fire Action. Ind. Eng. Chem. Res. 2011, 50, 11897–11905. [Google Scholar] [CrossRef]
- Kandola, B.K.; Williams, K.V.; Ebdon, J.R. Organo-Inorganic Hybrid Intumescent Fire Retardant Coatings for Thermoplastics Based on Poly(Vinylphosphonic Acid). Molecules 2020, 25, 688. [Google Scholar] [CrossRef] [PubMed]
- Nasir, K.M.; Sulong, N.H.R.; Johan, M.R.; Afifi, A.M. Synergistic effect of industrial- and bio-fillers waterborne intumescent hybrid coatings on flame retardancy, physical and mechanical properties. Prog. Org. Coat. 2020, 149, 105905. [Google Scholar] [CrossRef]
- Leone, V.; Elia, M.; Lovreglio, R.; Correia, F.; Tedim, F. The 2017 extreme wildfires events in Portugal through the perceptions of volunteers and professional firefighters. Fire 2023, 6, 133. [Google Scholar] [CrossRef]
- Figueiredo, R.; Paupério, E.; Romão, X. Understanding the impacts of the October 2017 Portugal wildfires on cultural heritage. Heritage 2021, 4, 2580–2598. [Google Scholar] [CrossRef]
- Lourenço, L. Forest fires in continental Portugal. Result of profound alterations in society and territorial consequences. J. Mediterr. Geogr. 2018, 130. [Google Scholar] [CrossRef]
- Smith, S.T. He performance of distribution utility poles in windland fire hazard areas—What we know and don´t know. In Proceedings of the 110th Annual Meeting of the American Wood Protection Association, Newport Beach, CA, USA, 4–6 May 2014. [Google Scholar]
- Wotton, B.M.; Gould, J.S.; McCaw, W.L.; Cheney, N.P.; Taylor, S.W. Flame temperature and residence time of fires in dry eucalypt forest. Int. J. Wildland Fire 2012, 21, 270–281. [Google Scholar] [CrossRef]
- Taylor, S.W.; Wotton, B.M.; Alexander, M.E.; Dalrymple, G.N. Variation in wind and crown fire behaviour in a northern jack pine—Black spruce forest. Can. J. For. Res. 2004, 34, 1561–1576. [Google Scholar] [CrossRef]
- Ning, J.; Yang, G.; Liu, X.; Geng, D.; Wang, L.; Li, Z.; Zhang, Y.; Di, X.; Sun, L.; Yu, H. Effect of fire spread, flame characteristic, fire intensity on particulate matter 2.5 released from surface fuel combustion of Pinus koraiensis plantation—A laboratory simulation study. Environ. Int. 2022, 166, 107352. [Google Scholar] [CrossRef]
- Morgado, T.F.M.; Rodrigues, J.; Machado, J.S.; Dias, A.M.P.G.; Cruz, H. Bending and compression strength of Portuguese Maritime pine small-diameter poles. For. Prod. J. 2009, 59, 23–28. [Google Scholar]
- Hodousek, M.; Dias, A.M.P.G.; Martins, C.; Marques, A.F.S.; Bohm, M. Comparison of Non-Destructive Methods Based on Natural Frequency for Determining the Modulus of Elasticity of Cupressus lusitanica and Populus x canadensis. BioResources 2017, 12, 270–282. [Google Scholar] [CrossRef]
- Butler, B.W.; Webb, J.; Hogge, J.; Wallace, T. Vegetation clearance distances to prevent wildland fire caused damage to telecommunication and power transmission infrastructure. In Proceedings of the Large Wildland Fires Conference, Fort Collins, CO, USA, 19–23 May 2014; Keane, R.E., Jolly, M., Parsons, R., Riley, K., Eds.; Rocky Mountain Research Station: Fort Collins, CO, USA, 2015. [Google Scholar]
- Stirling, R. Field Performance of Wood Post Protection Technologies; Technical Report TR 2021:97; FPInnovations: Pointe-Claire, QC, Canada, 2021. [Google Scholar]
- Khademibami, L.; Bobadilha, G.S. Recent Developments Studies on Wood Protection Research in Academia: A Review. Front. For. Glob. Chang. 2022, 5, 793177. [Google Scholar] [CrossRef]
- Evans, P.D.; Beutel, P.; Cunningham, R.B.; Donnelly, C.F. Fire resistance of preservative- treated slash pine fence posts. For. Prod. J. 1994, 44, 37–39. [Google Scholar]
- Leonard, J.; MacIndoe, L. Bushfire Burnover Assessment of NanoChar™ Coated Powers Poles; CSIRO Ecosystem Sciences: Black Mountain, Australia, 2013. [Google Scholar]
- Guillermo Rein, G.; Huang, X. Smouldering wildfires in peatlands, forests and the arctic: Challenges and perspectives. Curr. Opin. Environ. Sci. Health 2021, 24, 100296. [Google Scholar] [CrossRef]
- Wu, W.; Yermán, L.; Hidalgo, J.P.; Morrell, J.J.; Wiesner, F. Experimental study on the factors affecting smouldering behaviour of CCA-treated wood. Fire Saf. J. 2023, 41, 104003. [Google Scholar] [CrossRef]
- Marney, D.C.O.; Russel, L.J. Combined fire retardant and wood preservative treatments for outdoor wood applications—A review of the literature. Fire Technol. 2008, 44, 1–14. [Google Scholar] [CrossRef]
- Russell, L.J.; Marney, D.C.O.; Humphrey, D.G.; Hunt, A.C.; Dowling, V.P.; Cookson, L.J. Combining Fire Retardant and Preservative Systems for Timber Products in Exposed Applications—State of the Art Review; Forest and Wood Products Research and Development Corporation: Victoria, Australia, 2004. [Google Scholar]
- Gardner, W.D.; White, J.A., Jr. Assessing the Ability of a Large-Scale Fire Test to Predict the Performance of Wood Poles Exposed to Severe Bushfires and the Ability of Fire Retardant Treatments to Reduce the Loss of Wood Poles Exposed to Severe Bushfires; Project nº PNA014-0708; Forest & Wood Products Australia: Melbourne, Australia, 2009. [Google Scholar]
- Dias, A.M.P.G.; Machado, J.S.; Mascarenhas, F.J.R.; Morgado, T.F.M.; Pedrosa, N.G.; Carneiro, L.C.P.; Marques, A.F.S. Reuse of wooden utility poles through the combination of new and old elements. BioResources 2024, 19, 3121–3137. [Google Scholar] [CrossRef]
- Merschman, E.; Salman, A.M.; Bastidas-Arteaga, E.; Li, Y. Assessment of the effectiveness of wood pole repair using FRP considering the impact of climate change on decay and hurricane risk. Adv. Clim. Change Res. 2020, 11, 332–348. [Google Scholar] [CrossRef]
- Marques, A.F.S.; Martins, C.E.J.; Dias, A.M.P.G.; Costa, R.J.T.; Morgado, T.F.M. Assessment of Reuse Potential of Maritime Pine Utility Poles for Structural Applications after Removal from Service. BioResources 2016, 11, 9340–9349. [Google Scholar] [CrossRef]
- EN 13823; Reaction to Fire Tests for Building Products—Building Products Excluding Floorings Exposed to the Thermal Attack by a Single Burning Item. CEN: Brussels, Belgium, 2020.
- EN 13183-2; Moisture Content of a Piece of Sawn Timber—Part 2: Estimation by Electrical Resistance Method. CEN: Brussels, Belgium, 2002.
- EN 13183-1; Moisture Content of a Piece of Sawn Timber—Part 1: Determination by Oven Dry Method. CEN: Brussels, Belgium, 2002.
- Barbosa, T.F.; Reis, L.; Raposo, J.; Viegas, D.X. A Protection for LPG Domestic Cylinders at Wildland-Urban Interface Fire. Fire 2022, 5, 63. [Google Scholar] [CrossRef]
- Pinto, C.; Viegas, D.; Almeida, M.; Raposo, J. Fire whirls in forest fires: An experimental analysis. Fire Saf. J. 2017, 87, 37–48. [Google Scholar] [CrossRef]
- Wu, S.-J.; Xu, J.-M.; Li, G.-Y.; Risto, V.; Lu, Z.-H.; Li, B.-Q.; Wang, W. Use of the pilodyn for assessing wood properties in standing trees of Eucalyptus clones. J. For. Res. 2010, 21, 68–72. [Google Scholar] [CrossRef]
Disclaimer/Publisher’s Note: The statements, opinions and data contained in all publications are solely those of the individual author(s) and contributor(s) and not of MDPI and/or the editor(s). MDPI and/or the editor(s) disclaim responsibility for any injury to people or property resulting from any ideas, methods, instructions or products referred to in the content. |
© 2024 by the authors. Licensee MDPI, Basel, Switzerland. This article is an open access article distributed under the terms and conditions of the Creative Commons Attribution (CC BY) license (https://creativecommons.org/licenses/by/4.0/).














