Wildfire Rates of Spread in Grasslands under Critical Burning Conditions
Abstract
:1. Introduction
2. Materials and Methods
2.1. Data
2.2. Imposed Data Constraints
2.3. Model Calculations
2.4. Statistics
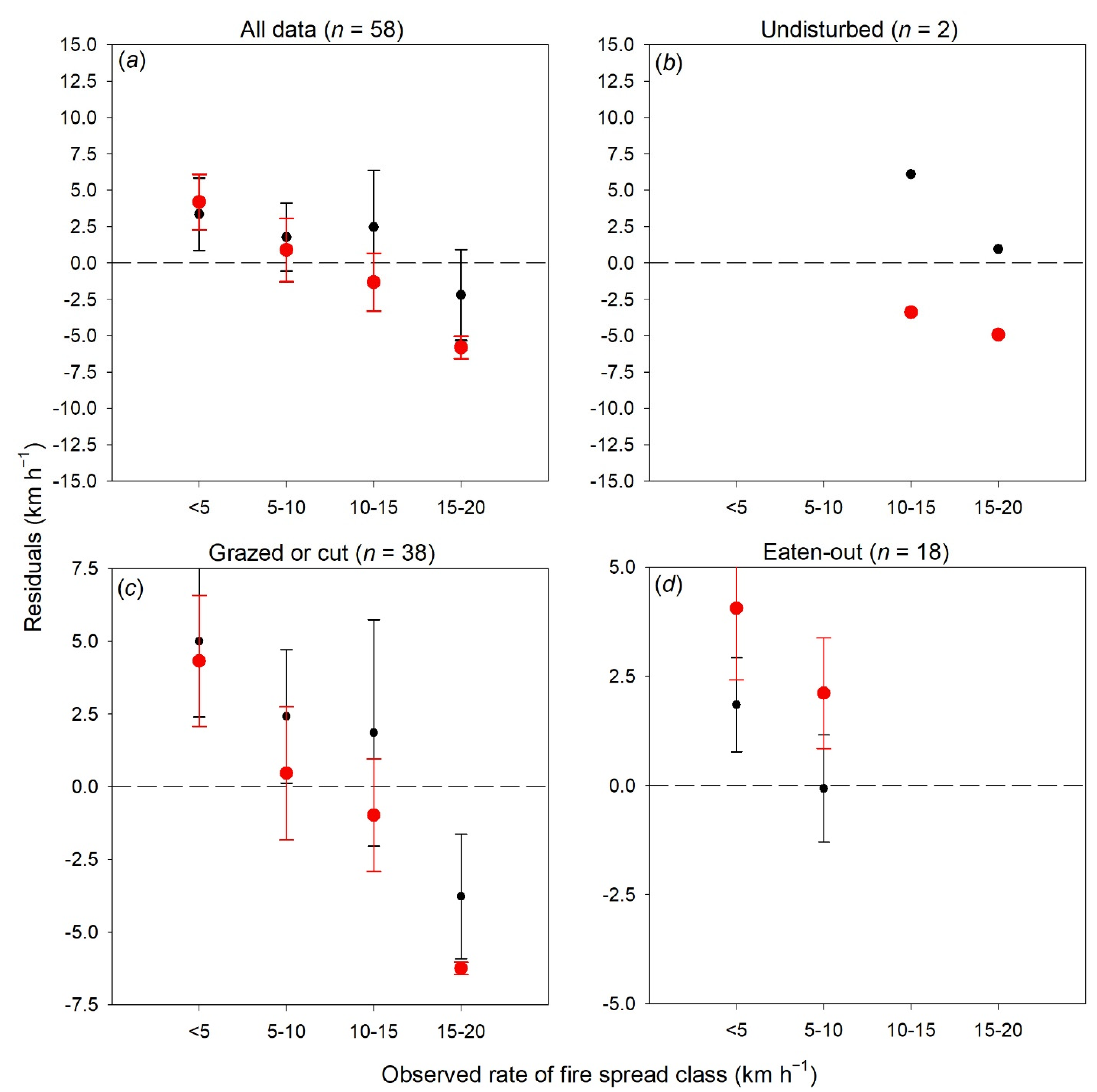
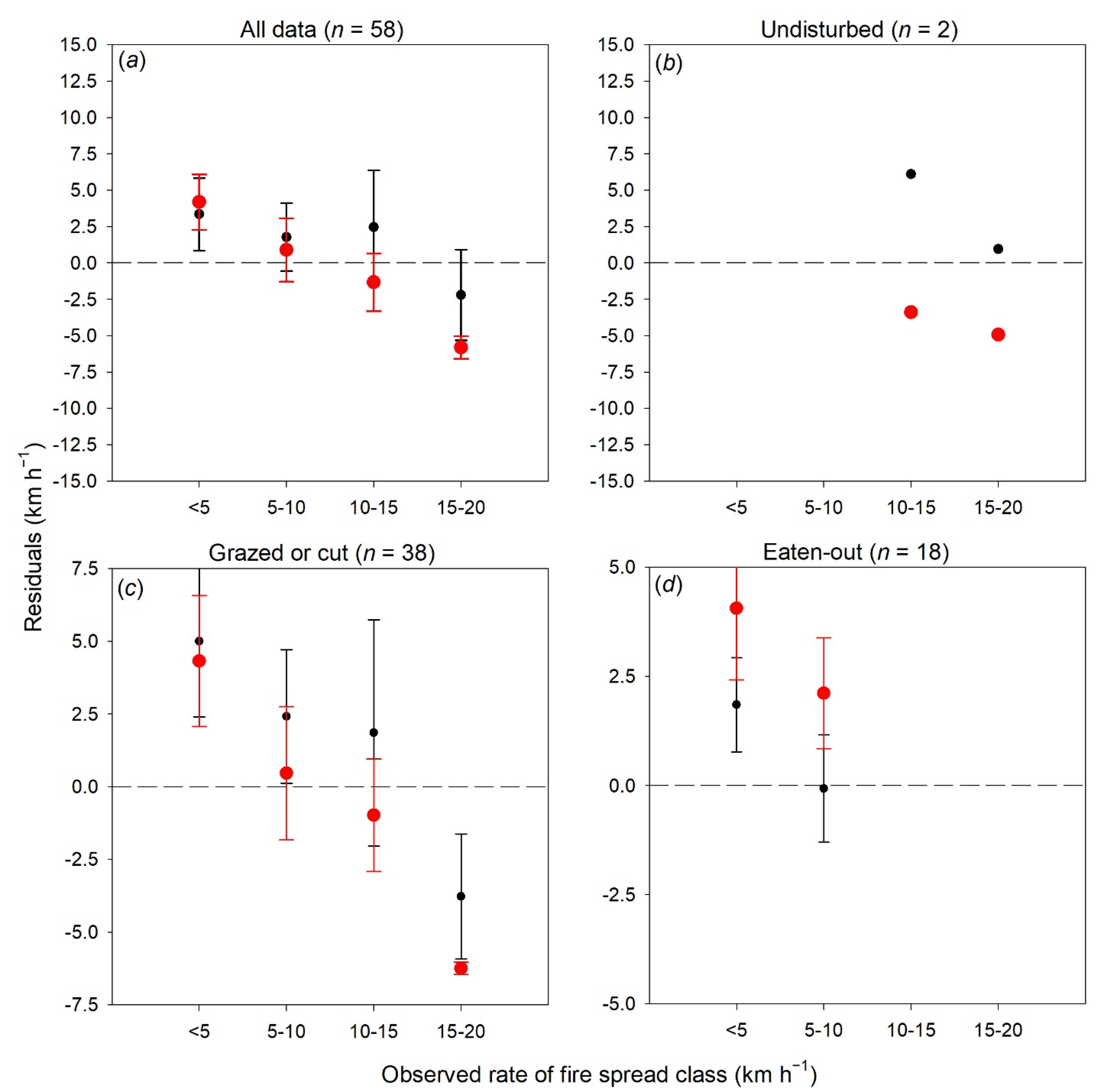
3. Results
3.1. Dataset Characteristics
3.2. Modelling
4. Discussion
4.1. General Findings
4.2. Grassland Fuel Condition and Wildfire Propagation
4.3. Main Assumptions of the Grassfire Rule of Thumb
4.4. Error and Uncertainty in Grassfire Rate of Spread Predictions
4.5. Practical Application of the Grassfire Rule of Thumb
4.6. Application of the Grassfire Rule of Thumb Outside of Australia
5. Conclusions
Author Contributions
Funding
Institutional Review Board Statement
Informed Consent Statement
Data Availability Statement
Acknowledgments
Conflicts of Interest
Appendix A
Appendix A.1. Calculating the Estimated Fine Dead Fuel Moisture Content in Grasslands
Appendix A.2. Calculating the Grassland Fire Danger Index
Appendix A.3. Calculating Rate of Fire Spread in Australian Grasslands
Appendix B
| 10-m Open Wind Speed (km h−1) | |||||||||
| 30 | 35 | 40 | 45 | 50 | 55 | 60 | 65 | 70 | 75 |
| Forward Rate of Fire Spread (km h−1) | |||||||||
| 6 | 7 | 8 | 9 | 10 | 11 | 12 | 13 | 14 | 15 |
| Elliptical Fire Length-to-Breadth Ratio | |||||||||
| 5.3 | 5.7 | 6.1 | 6.4 | 6.8 | 7.1 | 7.4 | 7.6 | 7.9 | 8.2 |
| Forward Fire Spread Distance (km) Elliptical Fire Area (ha) Elliptical Fire Perimeter (km) | |||||||||
| 1 h Since Ignition | |||||||||
| 6 530 13 | 7 672 15 | 8 825 17 | 9 989 19 | 10 1162 21 | 11 1346 23 | 12 1538 25 | 13 1739 27 | 14 1949 28 | 15 2167 30 |
| 2 h Since Ignition | |||||||||
| 12 2122 25 | 14 2688 29 | 16 3301 33 | 18 3955 37 | 20 4650 41 | 22 5383 45 | 24 6153 49 | 26 6957 53 | 28 7796 57 | 30 8668 61 |
| 3 h Since Ignition | |||||||||
| 18 4774 38 | 21 6049 44 | 24 7426 50 | 27 8899 56 | 30 10 462 62 | 33 12 111 68 | 36 13 843 74 | 39 15 654 80 | 42 17 542 85 | 45 19 503 91 |
| 4 h Since Ignition | |||||||||
| 24 8486 50 | 28 10 754 58 | 32 13 202 66 | 36 15 820 74 | 40 18 599 82 | 44 21 531 90 | 48 24 610 98 | 52 27 830 106 | 56 31 185 114 | 60 34 671 122 |
| 5 h Since Ignition | |||||||||
| 30 13 260 63 | 35 16 803 73 | 40 20 628 83 | 45 24 719 93 | 50 29 061 103 | 55 33 643 113 | 60 38 454 123 | 65 43 484 133 | 70 48 727 142 | 75 54 174 152 |
| 6 h Since Ignition | |||||||||
| 36 19 095 75 | 42 24 196 87 | 48 29 705 99 | 54 35 595 111 | 60 41 848 123 | 66 48 446 135 | 72 55 373 147 | 78 62 617 159 | 84 70 167 171 | 90 78 011 183 |
References
- Neary, D.G.; Leonard, J.M. Effects of fire on grassland soils and water: A review. In Grasses and Grassland Aspects; Kindomihou, V.M., Ed.; Books on Demand: Norderstedt, Germany, 2020; pp. 1–22. Available online: https://www.intechopen.com/books/grasses-and-grassland-aspects/effects-of-fire-on-grassland-soils-and-water-a-review (accessed on 15 March 2022).
- Brown, J.K. Ratios of surface area to volume for common fine fuels. For. Sci. 1970, 16, 101–105. [Google Scholar]
- Luke, R.H.; McArthur, A.G. Bushfires in Australia; Australian Government Publishing Service: Canberra, Australia, 1978; pp. 1–359.
- Sneeuwjagt, R.J.; Frandsen, W.H. Behavior of experimental grass fires vs. predictions based on Rothermel’s fire model. Can. J. For. Res. 1977, 7, 357–367. [Google Scholar] [CrossRef]
- Cheney, N.P.; Gould, J.S.; Catchpole, W.R. The influence of fuel, weather and fire shape variables on fire-spread in grasslands. Int. J. Wildland Fire 1993, 3, 31–44. [Google Scholar] [CrossRef]
- Cheney, N.P.; Gould, J.S. Fire growth in grassland fuels. Int. J. Wildland Fire 1995, 5, 237–247. [Google Scholar] [CrossRef]
- Cheney, N.P.; Gould, J.S. Fire growth and acceleration. Int. J. Wildland Fire 1997, 7, 1–5. [Google Scholar] [CrossRef]
- Cheney, P.; Sullivan, A. Grassfires: Fuel, Weather and Fire Behaviour, 2nd ed.; CSIRO Publishing: Collingwood, Australia, 2008; pp. 1–150. [Google Scholar]
- Maynes, K.J.; Garvey, M.F. Report on Selected Major Fires in Country Areas of Victoria on 14 January 1985; Country Fire Authority of Victoria: Melbourne, Australia, 1985; pp. 1–36.
- Cheney, N.P.; Gould, J.S.; Catchpole, W.R. Prediction of fire spread in grasslands. Int. J. Wildland Fire 1998, 8, 1–13. [Google Scholar] [CrossRef]
- Alexander, M.E.; Heathcott, M.J.; Schwanke, R.L. Fire Behaviour Case Study of Two Early Winter Grass Fires in Southern Alberta, 27 November 2011; Partners in Protection: Edmonton, ON, Canada, 2013; pp. 1–76. [Google Scholar]
- Burrows, N. Fuels, Weather and Behaviour of the Cascade Fire (Esperance Fire #6), 15–17 November 2015; Department of Parks and Wildlife, Science and Conservation Division: Perth, Australia, 2015; pp. 1–18.
- Fernandes, P.M.; Sil, Â.; Ascoli, D.; Cruz, M.G.; Rossa, C.G.; Alexander, M.E. Characterizing fire behavior across the globe. In The Fire Continuum—Preparing for the Future of Wildland Fire, Proceedings of the Fire Continuum Conference, Missoula, MT, USA, 21–24 May 2018; Hood, S., Drury, S., Steelman, T., Steffens, R., Eds.; Proceedings RMRS-P-78; USDA Forest Service, Rocky Mountain Research Station: Fort Collins, CO, USA, 2020; pp. 258–263. [Google Scholar]
- Cruz, M.G.; Alexander, M.E.; Fernandes, P.M.; Kilinc, M.; Sil, Â. Evaluating the 10% wind speed rule of thumb for estimating a wildfire’s forward rate of spread against an extensive independent set of observations. Environ. Model. Softw. 2020, 133, 104818. [Google Scholar] [CrossRef]
- Noble, J.C. Behaviour of a very fast grassland wildfire on the Riverine Plain of southeastern Australia. Int. J. Wildland Fire 1991, 1, 189–196. [Google Scholar] [CrossRef]
- Gould, J.S. Development of Bushfire Spread of the Wangary Fire, 10–11 January 2005, Lower Eyre Peninsula, South Australia; CISRO/Ensis: Canberra, Australia, 2006; pp. 1–42. [Google Scholar]
- Browning, B.; Browning, J. The Anderson Creek Fire. Prairie Wings Winter 2016/Spring 2017. 2017, pp. 3–5. Available online: https://www.audubonofkansas.org/prairie-wings.cfm?fx=BJM6XTH2FVQL1B6L (accessed on 10 March 2022).
- Lindley, T.T.; Speheger, D.A.; Day, M.A.; Murdoch, G.P.; Smith, B.R.; Nauslar, N.J.; Daily, D.C. Megafires on the Southern Great Plains. J. Operat. Meteorol. 2019, 7, 164–179. [Google Scholar] [CrossRef]
- McArthur, A.G. Weather and Grassland Fire Behaviour. In Leaflet 100; Commonwealth of Australia, Department of National Development, Forestry and Timber Bureau: Canberra, Australia, 1966; pp. 1–19. [Google Scholar]
- McArthur, A.G.; Cheney, N.P.; Barber, J. The Fires of 12 February 1977 in the Western District of Victoria; CSIRO Division of Forest Research and Country Fire Authority of Victoria: Canberra, Australia; Melbourne, Australia, 1982; pp. 1–73.
- Keeves, A.; Douglas, D.R. Forest fires in South Australia on 16 February 1983 and consequent future forest management aims. Aust. For. 1983, 46, 148–162. [Google Scholar] [CrossRef]
- Country Fire Authority of Victoria. The Major Fires Originating 16 February 1983; Vaughan Printing Pty. Ltd.: East Kew, Australia, 1983; pp. 1–38. [Google Scholar]
- Rawson, R.P.; Billing, P.R.; Duncan, S.F. The 1982–1983 forest fires in Victoria. Aust. For. 1983, 46, 163–172. [Google Scholar] [CrossRef]
- Fogarty, L.G.; Alexander, M.E. A Field Guide for Predicting Grassland Fire Potential: Derivation and Use. In Fire Technology Transfer Note 20; Natural Resources Canada; Canadian Forest Service: Ottawa, ON, Canada; Forest Research and National Rural Fire Authority: Rotorua, New Zealand; Wellington, New Zealand, 1999; pp. 1–10. [Google Scholar]
- de Ronde, C. Wildland fire–related fatalities in South Africa: A 1994 case study and looking back at the year 2001. In Forest Fire Research and Wildland Fire Safety; Viegas, D.X., Ed.; Millpress: Rotterdam, The Netherlands, 2002; pp. 1–7. [Google Scholar]
- Mutch, B.; Keller, P. Case Study: Lives Lost—Lessons Learned. The Victims and Survivors of the 2005–2006 Texas and Oklahoma Wildfires; USDA Forest Service, Wildland Fire Lessons Learned Center: Tucson, AZ, USA, 2010; pp. 1–133.
- Cheney, N.P. Bushfire disasters in Australia, 1945–1975. Aust. For. 1976, 39, 245–268. [Google Scholar] [CrossRef]
- Finocchiaro, N.; Lindforth, D.J.; Shields, D.T. Report on the Meteorological Aspects of the Extensive Grassfires in Victoria on 8 January 1969. In Working Paper 127; Commonwealth of Australia, Department of Interior, Bureau of Meteorology: Melbourne, Australia, 1970; pp. 1–17. [Google Scholar]
- Scott, A.C.; Bowman, D.M.J.S.; Bond, W.J.; Pyne, S.J.; Alexander, M.E. Fire on Earth: An Introduction; Wiley-Blackwell: Chichester, UK, 2014; pp. 1–413. [Google Scholar]
- Cruz, M.G.; Gould, J.S.; Alexander, M.E.; Sullivan, A.L.; McCaw, W.L.; Matthews, S. A Guide to Rate of Fire Spread Models for Australian Vegetation, Revised ed.; CSIRO Land and Water Flagship and AFAC: Canberra, Australia; Melbourne, Australia, 2015; pp. 1–125.
- Neale, T.; Vergani, M.; Begg, C.; Kilinc, M.; Wouters, M.; Harris, S. ‘Any prediction is better than none’? A study of the perceptions of fire behaviour analysis users in Australia. Int. J. Wildland Fire 2021, 30, 946–953. [Google Scholar] [CrossRef]
- Cova, T.J.; Li, D.; Siebeneck, L.K.; Drews, F.A. Toward simulating dire wildfire scenarios. Nat. Hazards Rev. 2021, 22, 06021003. [Google Scholar] [CrossRef]
- Cruz, M.G.; Alexander, M.E. The 10% wind speed rule of thumb for estimating a wildfire’s forward rate of spread in forests and shrublands. Ann. For. Sci. 2019, 76, 44. [Google Scholar] [CrossRef] [Green Version]
- Harris, S.; Anderson, W.; Kilinc, M.; Fogarty, L. Establishing a Link Between the Power of Fire and Community Loss: The First Step Towards Developing a Bushfire Severity Scale. In Report 89; Victorian Government, Department of Sustainability and Environment: Melbourne, Australia, 2011; pp. 1–75. [Google Scholar]
- Kilinc, M.; Anderson, W.; Price, B. The Applicability of Bushfire Behaviour Models in Australia. In Technical Report 1; DSE Schedule 5: Fire Severity Rating Project; Victorian Government, Department of Sustainability and Environment: Melbourne, Australia, 2012; pp. 1–60. [Google Scholar]
- McArthur, A.G. Fire Danger Rating Tables for Annual Grasslands; Commonwealth of Australia, Department of National Development, Forestry and Timber Bureau: Canberra, Australia, 1960; pp. 1–15.
- Noble, I.R.; Bary, G.A.V.; Gill, A.M. McArthur’s fire danger meters expressed as equations. Aust. J. Ecol. 1980, 5, 201–203. [Google Scholar] [CrossRef]
- Willmott, C.J. Comments on the evaluation of model performance. Bull. Am. Meteor. Soc. 1982, 63, 1309–1313. [Google Scholar] [CrossRef] [Green Version]
- Mayer, D.G.; Butler, D.G. Statistical validation. Ecol. Model. 1993, 68, 21–32. [Google Scholar] [CrossRef]
- Cruz, M.G.; Alexander, M.E. Uncertainty associated with model predictions of surface and crown fire rates of spread. Environ. Model. Softw. 2013, 47, 16–28. [Google Scholar] [CrossRef]
- R Core Team. R: A Language and Environment for Statistical Computing; R Foundation for Statistical Computing: Vienna, Austria, 2021; Available online: https://www.R-project.org/ (accessed on 15 March 2022).
- Cheney, N.P. Fire behaviour. In Fire and the Australian Biota; Gill, A.M., Groves, R.H., Noble, I.R., Eds.; Australian Academy of Science: Canberra, Australia, 1981; pp. 151–175. [Google Scholar]
- Forestry Canada Fire Danger Group. Development and Structure of the Canadian Forest Fire Behavior Prediction System. In Information Report; ST-X-3; Forestry Canada, Science and Sustainable Development Directorate: Ottawa, ON, Canada, 1992; pp. 1–63. [Google Scholar]
- Wotton, B.M.; Alexander, M.E.; Taylor, S.W. Updates and Revisions to the 1992 Canadian Forest Fire Behavior Prediction System. In Information Report; GLC-X-10E; Natural Resources Canada, Canadian Forest Service, Great Lakes Forestry Centre: Sault Ste. Marie, ON, Canada, 2009; pp. 1–45. [Google Scholar]
- Rothermel, R.C. A Mathematical Model for Predicting Fire Spread in Wildland Fuels. In Research Paper; INT-115; USDA Forest Service, Intermountain Forest and Range Experiment Station: Ogden, UT, USA, 1972; pp. 1–40. [Google Scholar]
- Andrews, P.L. Current status and future needs of the BehavePlus Fire Modeling System. Int. J. Wildland Fire 2014, 23, 21–33. [Google Scholar] [CrossRef] [Green Version]
- Anderson, H.E. Aids to Determining Fuel Models for Estimating Fire Behavior. In General Technical Report; INT-122; USDA Forest Service, Intermountain Forest and Range Experiment Station: Ogden, UT, USA, 1982; pp. 1–22. [Google Scholar]
- Andrews, P.L. Modeling Wind Adjustment Factor and Midflame Wind Speed for Rothermel’s Surface Fire Spread Model. In General Technical Report; RMRS-GTR-266; USDA Forest Service, Rocky Mountain Research Station: Fort Collins, CO, USA, 2012; pp. 1–39. [Google Scholar]
- Taylor, S.W.; Wotton, B.M.; Alexander, M.E.; Dalrymple, G.N. Variation in wind and crown fire behaviour in a northern jack pine—black spruce forest. Can. J. For. Res. 2004, 34, 1561–1576. [Google Scholar] [CrossRef]
- Cruz, M.G.; McCaw, W.L.; Anderson, W.R.; Gould, J.S. Fire behaviour modelling in semi-arid mallee-heath shrublands of southern Australia. Environ. Model. Softw. 2013, 40, 21–34. [Google Scholar] [CrossRef]
- Wilson, A.A.G. Width of firebreak that is necessary to stop grassfires: Some field experiments. Can. J. For. Res. 1988, 18, 682–687. [Google Scholar] [CrossRef]
- Douglas, D.R. Minimum needs for effective suppression of grass fires. Aust. For. Res. 1966, 2, 54–57. [Google Scholar]
- Cruz, M.G.; Sullivan, A.L.; Gould, J.S.; Hurley, R.J.; Plucinski, M.P. Got to burn to learn: The effect of fuel load on grassland fire behaviour and its management implications. Int. J. Wildland Fire 2018, 27, 727–741. [Google Scholar] [CrossRef]
- Van Wagner, C.E. A simple fire-growth model. For. Chron. 1969, 45, 103–104. [Google Scholar] [CrossRef] [Green Version]
- Mojeremane, W. Wildland fires in Botswana. Fire Manag. Today 2004, 64, 34–36. [Google Scholar]
- Cahoon, D.R.; Stocks, B.J.; Levine, J.S.; Cofer, W.R.; O’Neill, K.P. Seasonal distribution of African savanna fires. Nature 1992, 359, 812–815. [Google Scholar] [CrossRef]
- Stocks, B.J.; Jin, J.-Z. The China fire of 1987: Extremes in fire weather and behavior. In Fire Management in a Climate of Change, Proceedings of the Annual Meeting of the Northwest Fire Council, Victoria, BC, Canada, 14–15 November 1988; Lawson, B.D., Hawkes, B.C., Dalrymple, G.N., Eds.; Northwest Fire Council: Victoria, ON, Canada, 1989; pp. 67–79. [Google Scholar]
- Na, L.; Zhang, J.; Bao, Y.; Bao, Y.; Na, R.; Tong, S.; Si, A. Himawari-8 satellite based dynamic monitoring of grassland fire in China-Mongolia border regions. Sensors 2018, 18, 276. [Google Scholar] [CrossRef] [Green Version]
- Courtwright, J. Prairie Fire: A Great Plains History; University Press of Kansas: Lawrence, KS, USA, 2011; pp. 1–274. [Google Scholar]
- Pyne, S.J. The Great Plains: A Fire Survey; University of Arizona Press: Tucson, AZ, USA, 2017; pp. 1–215. [Google Scholar]
- Setterfield, S.A.; Rossiter-Rachor, N.; Douglas, M.M.; McMaster, D.; Adams, V.; Ferdinands, K. The impacts of Andropogon gayanus (gamba grass) invasion on the fire danger index and fire management at a landscape scale. In Proceedings of 19th Australasian Weeds Conference, Hobart, Australia, 1–4 September 2014; Baker, M., Ed.; Tasmanian Weed Society: Hobart, Australia, 2014; pp. 125–128. [Google Scholar]
- Trollope, W.S.W.; Potgieter, A.L.F. Estimating grass fuel loads with a disc pasture meter in the Kruger National Park. J. Grassl. Soc. S. Afr. 1986, 3, 148–152. [Google Scholar] [CrossRef]
- van Wilgen, B.W.; Wills, A.J. Fire behaviour prediction in savanna vegetation. S. Afr. J. Wildl. Res. 1988, 18, 41–46. [Google Scholar]
- Scott, J.H.; Burgan, R.E. Standard Fire Behavior Fuel Models: A Comprehensive Set for Use with Rothermel’s Surface Fire Spread Model. In General Technical Report; RMRS-GTR-153; USDA Forest Service, Rocky Mountain Research Station: Fort Collins, CO, USA, 2005; pp. 1–72. [Google Scholar]
- McGranahan, D.A.; Engle, D.M.; Miller, J.R.; Debinski, D.M. An invasive grass increases live fuel proportion and reduces fire spread in a simulated grassland. Ecosystems 2013, 16, 158–169. [Google Scholar] [CrossRef]
- Smit, I.P.J.; Archibald, S. Herbivore culling influences spatio-temporal patterns of fire in a semiarid savanna. J. Appl. Ecol. 2018, 56, 711–721. [Google Scholar] [CrossRef]
- Kidnie, S.; Wotton, B.M. Characterisation of the fuel and fire environment in southern Ontario’s tallgrass prairie. Int. J. Wildland Fire 2015, 24, 1118–1128. [Google Scholar] [CrossRef]
- Miller, C.; Plucinski, M.; Sullivan, A.; Stephenson, A.; Huston, C.; Charman, K.; Prakash, M.; Dunstall, S. Electrically caused wildfires in Victoria, Australia are over-represented when fire danger is elevated. Landsc. Urban Plan. 2017, 167, 267–274. [Google Scholar] [CrossRef]
- Cheney, N.P.; Gould, J.S.; Hutchings, P.T. Prediction of Fire Spread in Grasslands; CSIRO National Bushfire Research Unit: Canberra, Australia, 1989; pp. 1–41.






| Rating | Weather | Fire Spread |
|---|---|---|
| 1 | Nearby meteorological station or direct observation. | Direct timing from field measurements by authors. |
| 2 | Meteorological station within 50 km of the fire site. | Reliable timing by a third party. |
| 3 | Meteorological station > 50 km, reconstruction of wind speed for fire site. | Reconstruction based on numerous cross references from third party observations. |
| 4 | Spot meteorological observations near the fire site. | Doubtful reconstruction. |
| 5 | Distant meteorological observations at locations very different to the fire site. | Anecdotal or conflicting reports. |
| Variable | Mean (Standard Deviation) | Range |
|---|---|---|
| R (km h−1) | 6.9 (3.6) | 1.6–17.0 |
| U10 (km h−1) | 42.1 (9.3) | 20.0–62.0 |
| T (°C) | 37.0 (4.5) | 23.7–43.0 |
| RH (%) | 12.4 (7.2) | 3–36 |
| MC (%) | 3.7 (1.9) | 1.5–9.6 |
| GFDI | 101.6 (53.3) | 30.3–267.1 |
| Fire run duration (h) | 1.9 (1.3) | 1.0–5.0 |
| Grassfire Rate of Spread Models by Fuel Condition | MAE (km h−1) | MAPE (%) | MBE (km h−1) | RMSE (km h−1) |
|---|---|---|---|---|
| 20% Rule of Thumb | ||||
| All data (n = 58) | 2.83 | 66 | 1.47 | 3.53 |
| Undisturbed (n = 2) | 4.17 | 28 | −4.17 | 4.24 |
| Grazed or cut (n = 38) | 2.54 | 51 | 0.89 | 3.39 |
| Eaten-out (n = 18) | 3.30 | 80 | 3.30 | 3.72 |
| Cheney et al. [10] Models | ||||
| All data (n = 58) | 2.86 | 60 | 2.07 | 3.67 |
| Undisturbed (n = 2) | 3.52 | 24 | 3.52 | 4.36 |
| Grazed or cut (n = 38) | 3.34 | 74 | 2.68 | 4.16 |
| Eaten-out (n = 18) | 1.58 | 36 | 1.10 | 1.80 |
Publisher’s Note: MDPI stays neutral with regard to jurisdictional claims in published maps and institutional affiliations. |
© 2022 by the authors. Licensee MDPI, Basel, Switzerland. This article is an open access article distributed under the terms and conditions of the Creative Commons Attribution (CC BY) license (https://creativecommons.org/licenses/by/4.0/).
Share and Cite
Cruz, M.G.; Alexander, M.E.; Kilinc, M. Wildfire Rates of Spread in Grasslands under Critical Burning Conditions. Fire 2022, 5, 55. https://doi.org/10.3390/fire5020055
Cruz MG, Alexander ME, Kilinc M. Wildfire Rates of Spread in Grasslands under Critical Burning Conditions. Fire. 2022; 5(2):55. https://doi.org/10.3390/fire5020055
Chicago/Turabian StyleCruz, Miguel G., Martin E. Alexander, and Musa Kilinc. 2022. "Wildfire Rates of Spread in Grasslands under Critical Burning Conditions" Fire 5, no. 2: 55. https://doi.org/10.3390/fire5020055
APA StyleCruz, M. G., Alexander, M. E., & Kilinc, M. (2022). Wildfire Rates of Spread in Grasslands under Critical Burning Conditions. Fire, 5(2), 55. https://doi.org/10.3390/fire5020055

