Abstract
Microstrip filters are widely used in electronics and communications. Designing these filters requires knowledge in communications, microwave engineering, and radiofrequency systems. Specialized software facilitates the design process, often allowing optimization of results; however, such tools typically require expensive licenses, making them inaccessible to many students. While the literature includes some proposals for microstrip filter design, they generally have the limitation of not addressing parameter optimization. This paper presents a GUI (Graphical User Interface) for microstrip low-pass filter design, offering precise and reliable results at the desired cutoff frequency and attenuation, as demonstrated by experimental tests. The key strategy involves systematically following the steps of the classic design process, while simultaneously varying a specific parameter to analyze its impact on filter development. By exploring the variations in different parameters, various insightful analyses can be conducted. One of the notable achievements is the ability to design an optimal filter with a desired total length, while concurrently maximizing the performance of specific parameters. Additionally, this software is compatible with both MATLAB and Octave platforms, ensuring its usability across multiple environments.
1. Introduction
Low-pass microstrip filters are essential for electronic and optical communication systems, ensuring efficient suppression of high-frequency signals while transmitting low-frequency signals [1]. They significantly reduce noise, distortion, and interference, improving system performance and reliability [2,3]. In electronic communication, low-pass filters suppress high-frequency noise in applications like broadcasting, wireless communication, and satellite systems [4,5]. In optical communication, they aid in demodulation and signal recovery in fiber optic and wireless optical systems, improving signal quality [6,7]. For these reasons, the study and design of microstrip filters remain relevant [8,9,10].
In the design and optimization of low-pass microstrip filters, important factors such as desired cutoff frequency, insertion loss, return loss, and physical dimensions must be considered [11,12]. Advanced simulation tools and modeling software, like Advanced Design System (ADS), High-Frequency Structure Simulator (HFSS), CST Microwave Studio, Microwave Office, and Sonnet, aid in the optimization of microwave filter, from an initial design made by the user, requiring skilled engineers with expertise in communication, microwave and RF systems [13,14,15,16,17]. However, obtaining licenses for specialized simulation software can be costly, making it challenging for public universities to afford them. MATLAB is more widely adopted in universities compared with the previously mentioned software, owing to its general-purpose nature. Additionally, it has recently introduced toolboxes specifically designed for filter and antenna design and simulation [18,19]. However, each additional toolbox entails an extra cost.
It can be challenging to locate freely available software that can effectively address optimization problems for microwave filters. Nevertheless, designing a Graphical User Interface (GUI) software with the essential tools to provide specific solutions for optimizing low-pass microstrip filters appears to be a promising approach. GUI software expedites the design process, reduces time and resources, and enhances design accuracy. Existing GUI software lacks focus on microstrip low-pass filters, widely used in many applications. We note that there is a scarcity of recent and comprehensive studies on the GUI software specifically designed for optimizing microstrip low-pass filters. Designing a dedicated GUI software for optimizing microstrip low-pass filters would provide a more efficient and specific tool.
In the literature, several proposals for GUIs to design microstrip filters can be found [20,21,22,23]. While some of these GUIs enable the design of different types of filters (low-pass, high-pass, band-pass, and band-stop), their primary focus is to consolidate all filter design steps within a GUI. These GUIs typically provide scattering parameter plots and, in some cases, sketches or dimensions of the filter. However, none of these GUI proposals offer parameter optimization capabilities.
This paper presents a novel GUI software tool for designing, analyzing, visualizing, and optimizing low-pass microstrip filters. The GUI proposed in this work is called MicroStripOptim and it is designed with simple “UI controls” (the GUI components) that are fully compatible with both MATLAB and Octave platforms, ensuring its usability across both environments. This compatibility enables the tool to be run seamlessly on either platform. The compatibility of MicroStripOptim with Octave expands its accessibility and versatility, since Octave is a free software.
Designing a microstrip filter can be a straightforward process and is often detailed in various books and manuals. Following the steps of a classical design process [24], an initial calculation of the microstrip lengths is performed based on proposed values for their widths ( and ). For a more accurate adjustment of these values, a system of nonlinear equations must be solved, resulting in a refinement of the calculated lengths. We found that for some proposed microstrip line widths for or , the solution yield complex values for the length or , or both. The length of a microstrip is a physical parameter, so it must be a real value, not a complex one. Based on this constraint, the notion of establishing valid boundaries for these variables emerged, leading to the conception of investigating the impact of parameter fluctuations on the filter’s response.
Equations reported in the literature for modeling and simulating microstrip filters provide a good approximation for describing or obtaining a single parameter that affects the filter. However, being “approximations”, the result is not exact and, when integrated with all other design equations, the obtained filter can deviate significantly from the expected outcome. To address these issues, algorithms with improved computational accuracy for determining the source impedance line width, , and length, , have been proposed in this paper. In MicroStripOptim, we introduce an iterative algorithm that addresses the need for precise adjustment of the cutoff frequency in the filter design process. The algorithm aims to ensure that the simulated cutoff frequency precisely reaches the desired , and subsequently, the designed filter is validated to meet the target in practical implementation.
MicroStripOptim has the potential to significantly accelerate and improve the filter design process by allowing designers to input specific design parameters and observe the filter response simulations. Additionally, the GUI software tool can enable the optimization of some design parameters, e.g., maximizing the attenuation response subject to a constant filter size, leading to higher quality and better-performing filters. We believe that MicroStripOptim could be a valuable resource for the engineering community, enhancing the efficiency and effectiveness of filter design processes.
In the Results section, the functionality of each GUI button and the analysis results from the generated graphs are explained in detail. As a significant part of the study and as an example, the process for designing a seventh-order Chebyshev filter with dB and GHz is demonstrated. The design meets a total length of 78 mm and is optimized to achieve greater attenuation. To validate the result of the optimized filter design, the S-parameter graphs obtained in MicroStripOptim were first compared with a simulation in HFSS, yielding very close results. Subsequently, the filter was fabricated on a PCB, and the experimental results were compared, concluding that they match the cutoff frequency and attenuation, which demonstrates that excellent filter design results can be obtained using MicroStripOptim. To highlight the advantages of the optimization tool, two design examples are included. In the first example, an optimized filter is designed based on an initial design, maintaining the same length as the original but achieving greater attenuation. In the second example, the range of possible values for a fifth-order Chebyshev filter with dB is explored. A desired total length value within the range is selected, and a filter design meeting that length and achieving maximum attenuation is generated.
In summary, MicroStripOptim is both an educational tool, as it allows for various analyses of filter responses, and a technical tool, as it enables the design, simulation, and optimization of filters. The advantages of MicroStripOptim are as follows:
- Provides information about physical restrictions on the width of the lines, an aspect not frequently addressed in design literature.
- Presents information through various plots depicting the variation in design parameters.
- Serves as a quick and practical tool for determining the geometric values of the filter design.
- The designed filters exhibit precision in the cutoff frequency.
- The GUI is intuitive and requires only minimal input for filter design, eliminating the need for knowledge of parametric or 3D modeling to simulate the filter response.
- Designs an optimal filter by adjusting to filter size and type.
This paper is organized as follows: Section 2 exposes all the equations used to design and simulate microstrip filters. In Section 3, special considerations that must be taken into account when designing a filter are presented. Section 4 contains the algorithms used beyond the mathematical equations to improve the accuracy of some parameters or to show how to obtain some critical values. Section 5 presents a general description of MicroStripOptim for the analysis and design of microstrip low-pass filters. In Section 6, the results are divided into two aspects, the results obtained from the GUI and the comparison with experimental results. Finally, in Section 7, the conclusions are summarized.
2. Mathematical Preamble to Microstrip Filters
The basic configuration of a microstrip is depicted in Figure 1. It consists of a conductive strip (microstrip line) with a width W and length l, placed on top of a dielectric substrate characterized by a relative dielectric constant and a thickness h. The bottom side of the substrate features a conductive ground plane.
Figure 1.
General microstrip structure.
The nomenclature of the variables corresponding to the design of microstrip filters is shown in Table 1.
Table 1.
Nomenclature for variables of design.
The relations used to compute the design parameters are the following. The effective dielectric constant, in terms of , W and h, is obtained through [24]
where , and
The equation used to compute the characteristic impedance of a transmission line is
where is the wave impedance in free space, and
The guided wavelength of a microstrip line is given, in millimeters, by
where is the frequency, given in GHz.
The associated propagation constant is found through
where c is the speed of light ( m/s) in free space. Note that the frequency f in (4) is in Hertz.
The electrical length for a microstrip line of physical length l is defined by
In some cases it will be useful to compute the width of the microstrip from its characteristic impedance . In order to compute the width of a microstrip line, in terms of , h, and , the following equation can be used
where
If , then
with
2.1. Low Pass Filter Design
A low-pass filter design with a ladder network can be achieved using the structure shown in Figure 2. The coefficients are computed according to the type of filter, e.g., Chebyshev with = 0.1 dB, etc. and these values are listed in filter design books [24].
Figure 2.
Low-pass prototype filter with a ladder network structure.
The elements in the ladder network must be scaled from the simple value to an impedance value. With a value for source impedance, the impedance scaling factor is
and the R, L and C elements are scaled with
where , , and represents resistance, inductance and capacitance for the g value, respectively. The values of and are normalized to 1. Finally, .
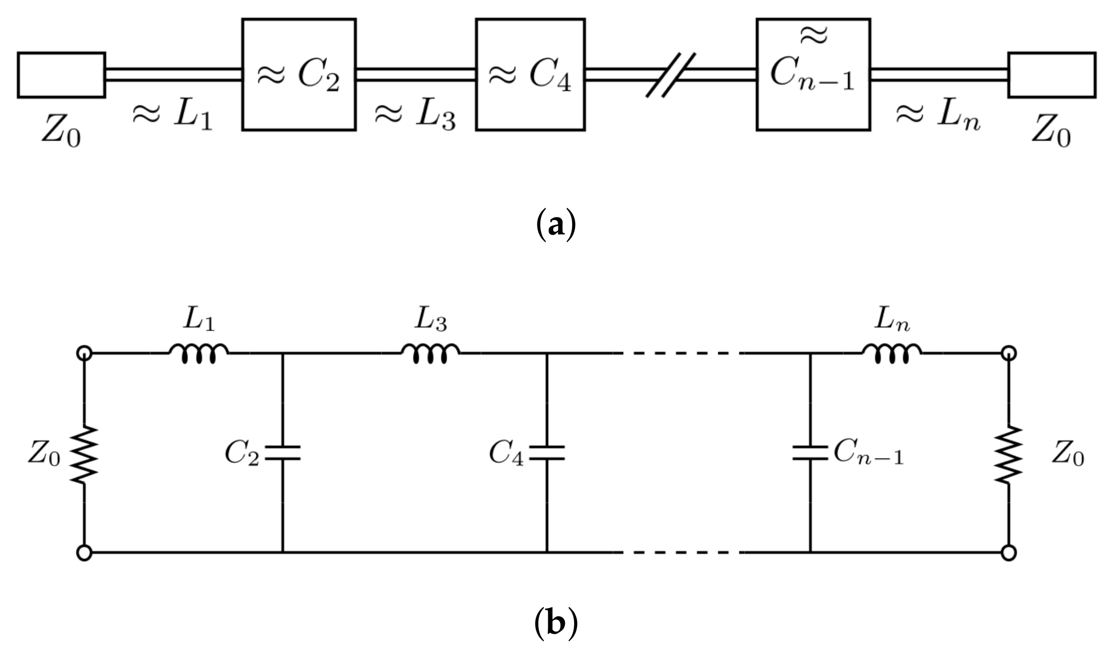
The ladder network structure is set up in microstrip technology as a chain of high-impedance and low-impedance lines, which represent the inductances and capacitances, as shown in Figure 3.
Figure 3.
(a) General structure of the stepped-impedance low-pass microstrip filters. (b) approximation of the ladder type of low-pass filters.
Once the value is defined, the width of the source impedance line, , must be found. Afterward, with the values of L and C computed from Equation (8), it is necessary to propose a value for and then compute their corresponding impedances and , respectively. Here, is the width for the high impedance line (inductance line) and is the width for the low impedance line (capacitance line).
A first approach to the physical length of the lines is computed with
in which the propagation constants and are obtained from
where and are the guided wavelengths of the high and low impedance lines.
The first approach of the physical lengths does not take into the account series reactance of the low-impedance line or the shunt susceptance of the high-impedance lines. Thus, it is necessary to balance (adjust) the lengths to satisfy the set of nonlinear equations
Note that the length for , or the lengths or for , are taken as zero; thus, their corresponding terms in the composition of the set of equations. After solving the set of equations for the lengths, the new values of the lengths correspond to the physical lengths for each microstrip line.
2.2. Steps of Design
In summary, the process for designing a low-pass microstrip filter is as follows:
- Define the values for , h, and type of filter.
2.3. Scattering Plot
The scattering parameters (S-parameters) describe how signals interact with a network, and they are essential for characterizing the performance of RF filters, antennas, and other components. The two most important scattering parameters are , which measures the amount of power transmitted through the filter from the input port to the output port relative to the incident power, and , which measures the amount of power reflected back from the input port of the filter relative to the incident power.
An approach of the scattering parameters could be obtained using the linear simulation, based on the matrices. In this approach, each microstrip line of width and length (see Figure 4a) is represented as a transmission line with characteristic impedance and propagation constant , see Figure 4b,c. A more accurate simulation result could be obtained considering the model of stepped impedance between every two lines [24], however, the linear approach gives good results.
Figure 4.
(a) Microstrip low-pass filter. (b) Its network representation with cascaded sub-networks for network analysis. (c) Equivalent circuits for the subnetworks.
The matrix for the subnetwork line i is computed with
where is expressed in Equation (4), and the frequency f is the independent variable.
The matrix of the whole filter, at a frequency f is computed by
The simulation of a filter is achieved by sweeping the frequency from 0 to any value greater than .
The parameters of the reflection coefficient, , and the transmission coefficient, , are obtained from the matrix entries with the following expressions:
The amplitudes of the S parameters are often defined as:
One important parameter in filter characterization is the insertion loss between ports defined as
3. Considerations on Filter Designing
3.1. Phisical Limits in the Width and of Microstrips
The impedance of the microstrips is related to their width. Starting from , which represents the input impedance line, the lines wider than are capacitive lines with width , while the lines narrower than are inductive lines with width . One aspect that logically must exist but is not typically addressed in textbooks is that there is a lower limit for and an upper limit for .
The computation of the physical lengths of microstrip lines, according to the method used in this work, involves three steps:
- Define the widths of the capacitive and inductive lines, and , then the parameters and can be computed.
This last step re-computes the physical lengths to satisfy the set of equations formed.
In the process of solving the set of equations, some “small values of ” or “large values of ” will cause the solution of the set of equations, in step 3 to yield complex values for some lengths. This means that, there are some boundary values for and at which the following:
- A will give complex values in physical lengths of capacitive lines.
- A will give complex values in physical lengths of inductive lines.
Choosing a or out of the bounds will make unfeasible the realization of the filter. Hence, it is important to identify those limit values. Algorithm 3 finds these boundary values.
3.2. Cutoff Frequency Shift
After applying the steps of design for one filter, the plot of scattering parameters reveals that the effective cutoff frequency does not lie in the proposed value. The cutoff frequency of the obtained filter could be shifted even up to 0.5 GHz from the desired value.
As an example of the shift compensation for , a Chebyshev filter of seventh order was designed for a cutoff frequency of 2 GHz. Following the design steps, without shift compensation, the effective cutoff frequency lies at 2.486 GHz, as can be seen in the plot of Figure 5, red line. After applying the shift compensation, the cutoff frequency lies at 2 GHz, as shown in the same figure. However, in order to obtain the filter with shift compensation, in this case, the filter should be designed by following the steps for a filter of GHz.
Figure 5.
Transmission responses of two filters designed for GHz. In red, a filter constructed following the design steps, where the cutoff frequency is at 2.486 GHz. In black, a filter with frequency shift compensation.
4. Computer Algorithms
In this section, the development of programming algorithms in order to improve the accuracy in the computation of some involved parameters of design is presented. In a same manner, more algorithms are outlined for computing the permissible limits of some parameters, as well as for the correction to the values in order to obtain an accurate cutoff frequency.
4.1. Algorithm for Width and the Length
In the design of microstrip filters, the value of the source impedance line, , is known, thus, its width, , must be computed. This is performed through Equations (6) or (7). However, their accuracy is around 1 percent [24]. With the purpose of improving accuracy, it was developed the iterative Algorithm 1. This algorithm is important so that there is a good correspondence between the desired impedance of the source impedance, and the width of input line, .
| Algorithm 1 Algorithm for computing a more accurate |
The logic behind Algorithm 1 is as follows. The function approaches the value of . In reverse order, the more accurate function computes the impedance Z from . The variable is then adjusted by and used to compute iteratively until .
The physical length of the source input microstrip line, , could be selected among the values
where is the guided wavelength of the microstrip source input line, from Equation (3), with . Note in Equation (19) that the parameter x must be chosen from a given set of values. The decision of the value of x, then, should be made with a criterion of minimum acceptable length, e.g., 5 mm. The right choice of the value x allows us to select a line as short as possible but with the necessary length to solder the input connector, in a fabricated PCB.
4.2. Calculation of max() and max()
The parameter expresses the insertion loss between ports 1 and 2, namely, the filter attenuation. In a microstrip low pass filter, the parameter presents a maximum value and then decays. This means that in the plot of the logarithmic curve of the parameter , the filter presents a decreasing attenuation up to a certain minimum point. The point of minimal attenuation is the maximum of the curve, because it corresponds to the same curve but with the opposite sign; see Equation (18). Thus, a greater maximum in suppresses better the high frequencies.
The derivative of , with respect to frequency f, is expressed by
This parameter is of interest because if the instant value of is higher, then the amplitude of the filtered signal decays faster at high frequencies. Therefore, a higher value of is desirable.
Although the derivative is continuous, in practice is easier to approach this value with a discrete derivative of the form
where is a discrete increment in frequency, and . The Algorithm 2 is used to compute the values max() and max() of a filter.
| Algorithm 2 Algorithm for computing max() and max() |
|
What this algorithm does is calculate and its derivative for each discrete frequency value, from 0 up to the maximum frequency simulated in . Finally, and . These values are used to determine the maximum attenuation and the maximum rate of attenuation decay.
4.3. Calculation of Total Length,
Another important value in the results is the total length, , of the filter.
The parameter is computed with the summation of the physical length of all the lines, using the following equation
where is the length of the source/load impedance lines, , for i odd, are the lengths of inductive lines (high impedance lines) and , for j even, are the lengths of capacitive lines (low impedance lines). This parameter is expressed in millimeters.
4.4. Calculation of and
In this section, Algorithm 3, which finds the boundary values for and , discussed in Section 3.1, is developed. It is important to determine these values to use physically valid line widths in the filter design. MicroStripOptim uses this algorithm in all analyses that take into account the maximum and minimum limits of microstrip widths. This enables the visualization of value ranges such as filter lengths, allowable maximum and minimum attenuations, and so on.
| Algorithm 3 Algorithm for computing and |
|
What Algorithm 3 does to find these boundary values is first to determine the value of as follows: Initially, a high value is assigned to and a small value to , with a high value for . While the difference is greater than the programmed precision, an iterative loop is executed where the values of and are adjusted based on an “if” statement. If any of the lengths are complex, is reduced; otherwise, is increased. Upon exiting the while loop, is assigned the value of .
Next, the algorithm finds by proposing a high value for and setting , while assuming a small . While the difference is greater than a desired precision, a repetitive loop is executed where an “if” statement adjusts or depending on whether the resulting lengths produce complex values. At the end of the loop, is assigned the value of .
4.5. Compensation of Frequency Shift ()
As stated in Section 3.2, it is fundamental to compensate the shift in cutoff frequency. Thus, it is necessary to apply an algorithm to generate a filter with exact real . This algorithm does not affect the length , only the lengths and . Before designing the algorithm, it is important to establish the attenuation that the filter must have at . In the theory of filter design, the attenuation at for a first order linear filter is approximately 3 dB [25]. Therefore, Algorithm 4 will guarantee that the proposed low-pass filter effectively decays 3 dB at the desired , no matter the type of filter or its order n. All filters designed with MicroStripOptim will give values considering frequency compensation.
| Algorithm 4: Algorithm for shift compensation |
|
The operation of Algorithm 4 is as follows. The desired cutoff frequency is , and initially, is assigned. The function computeLengths() calculates the set of lengths and according to the steps described in Section 2.1. Using these lengths, the function scattering() generates the parameter data precisely at the frequency , following the steps described in Section 2.3. The variable represents the difference between the attenuation and dB. While the error remains greater than 0.001 dB, is adjusted as , where K is a constant. The lengths and are recalculated using the “compensated” frequency , to obtain a new value of . In summary, the filter is iteratively redesigned (recalculating the values of and until the response decays to dB exactly at .
5. GUI MicroStripOptim for Analysis of Microstrip Filters
MicroStripOptim is a developed GUI for designing, studying and optimizing microstrip low pass filters. This tool is totally compatible with both MATLAB and Octave. The code for version 1.0 of MicroStripOptim can be found in a repository at the following link https://github.com/LuisGarcia181/MicroStripOptim/blob/main/src/MicroSrtipOptim.m (accessed on 8 December 2024).
The GUI consists of a window with edit-boxes to set the parameters to analyze one specific filter, as well as edit-boxes to analyze the variation in the parameters in the filter response. In Figure 6 the GUI is shown with data for one specific filter (left-upper side) and a range of values to analyze the variation in the parameters (left-lower side). In the upper left side, there are edit-boxes to configure the properties for one specific filter. These properties are as follows:
Figure 6.
Graphical User Interface for analyzing microstrip low pass filters.
- Dielectric constant, ;
- Height of the substrate, h, in mm;
- Cutoff frequency, , in GHz;
- Filter order, n, from 3 to 9;
- Source impedance, , in ;
- Width of high impedance line, , in mm;
- Width of low impedance line, , in mm.
In the middle of the window there is a popup-menu to select the type of filter, with the following options:
- Butterworth—0.5 dB;
- Butterworth—3 dB;
- Butterworth—MAXIMALLY FLAT;
- Chebyshev— dB;
- Chebyshev— dB;
- Chebyshev— dB.
In the lower-left side, there are edit-boxes to set the range of values to conduct sensitivity analysis on the overall filter response. These options will be explained further.
In the right side of the window, there are 8 buttons, labeled as: “Scattering”, “Print data”, “Find limits”, “Limits vs. ”, “ vs. ”, “Simulate”, “, , ” and “ const”.
The functions of the buttons are explained in the next section.
6. Results and Discussion
The results are presented in two parts. The first part describes the function of the buttons of MicroStripOptim, for the analysis and design of filters. In the second part, a plot of a simulated optimized filter obtained from MicroStripOptim is compared with the plot of the same filter simulated with commercial software. In the same manner, the simulation results are compared with the measurements of a microstrip filter constructed on an FR4 PCB board, using the design parameters as produced by the software proposed in this work.
6.1. Filter Analysis with MicroStripOptim
In this section, the main results obtained with the developed app are described. We explain the function of each button embedded in the GUI. In order to illustrate one case of study, the design data inputs shown in Table 2 are introduced in the edit-boxes in the upper-left side of the GUI.
Table 2.
Values introduced to design a filter.
The first button of the GUI (see Figure 6), “Scattering” takes the data for filter design (values in Table 2) from the edit-boxes of the GUI. Then, it computes the widths and lengths of the filter lines. Afterwards, the program applies the steps of Section 2.3 in order to produce the plot of the scattering parameters. The result of this function is shown in two plots. The first plot (see Figure 7a) corresponds to the scattering parameters and of the filter generated using the data of Table 2. The second plot, Figure 7b, shows the derivative of the attenuation, , given in dB/GHz.
Figure 7.
Plots generated using the “Scattering” button in the GUI to visualize the response of a filter design. (a) Scattering parameters in red and in black. (b) Derivative of attenuation, .
The second button of the GUI is “Print Data”. This function takes the data of Table 2 from the edit-boxes in the GUI and retrieves a table with many information about the calculated filter. Figure 8 is an example of the tables retrieved. The table on the left gives information about the filter, like the filter parameters, source impedance, , limits for and , total length, width of the filter, the maximum attenuation and the derivative of maximum attenuation. The table on the right side of Figure 8 shows the widths and lengths of all the lines of the microstrip, as well as their inductance and capacitance equivalent values.
Figure 8.
Data displayed by the program for a requested filter design.
The third button is “Find Limits”. This button runs the Algorithm 3 to find the minimum value for and the maximum value for , named as and , respectively. The first action of this button is to compute and for the filter type and filter order, n, set in the edit-boxes (variables shown in Table 1). Then, the program displays these values in the edit-boxes and of the GUI. Following the computation of and for the selected filter, the software computes the same parameters for all other filter architectures supported in this version of the program. The results are plotted all together, including the width of the source impedance line, , in Figure 9. From this figure some conclusions can be drawn. As a first conclusion, it can be said that, in general, as the order of the filter increases, the limits move away from the value . The only exception is in the limits of for the Butterworth—MAXIMALLY FLAT filter, which has its minimum value in the fifth order. On the other hand, the second conclusion appointed is that the value of , in the case of the Butterworth 0.5 dB and 3 dB filters, is very low, making them infeasible, thus, these two filters are discarded in the next analysis.
Figure 9.
Boundary values of width for and versus filter order, n, for different types of filters. When designing a filter of a specific type and order n, only and values within these limits should be considered to ensure the filter is realizable.
From the limit values for the different filters and orders, further inspection can be made. For example, the total physical length, , of the filter varies with the widths of and , observing that the minimum for some filters is obtained with and , whereas the maximum is obtained with and . For each filter, the values and are computed using the previous analysis, while and are taken by default as 4 mm and 50 mm, respectively, and are obtained from the edit-boxes in the lower-left side of the GUI. The values for and were selected considering 4 mm as a feasible thin line for and considering 50 mm as the widest desirable . However, the values for and can be modified by the user. Figure 10a shows the values of and for the feasible filters, i.e., the Butterworth MAXIMALLY FLAT and the three Chebyshev considered. This plot shows that the Butterworth MAXIMALLY FLAT filter yields a lower , while the Chebyshev— = 0.1 dB filter yields greater values of .
Figure 10.
(a) Total length versus n for different types of filters. (b) versus n for different types of filters. These figures indicate the range of values that can be obtained with each type of filter and order, for total length and Maximum Attenuation.
Another important analysis considering the maximal and minimal values for and is the variation in . In this case, the maximum value of is obtained with and , and the minimum value of is obtained with and . Figure 10b shows a plot of the maximum attenuation for different filter types versus the order, n. From this figure, it can noticed that the maximum attenuation increases with the order of the filter. By comparing the filters, it can be seen that the Butterworth—MAXIMALLY FLAT filter gives the highest attenuation in the third-order response but gives the least attenuation for higher orders. The filter that reaches the highest attenuation for is Chebyshev— dB.
The fourth button of the GUI, “limits vs ”, performs an analysis of the limits for and , for one filter with the characteristics expressed in the GUI edit-boxes, varying two parameters: the source impedance, , from 25 to 50 , and the dielectric constant, from 4 to 12. The plots in Figure 11 show that the limit values for and decrease when and/or increases. It can be seen, from the figure, that at , a high value of could lead to a filter unfeasible since this reduces considerably the limit for .
Figure 11.
Limit width values for and versus . This figure is used to analyze how the limits of and vary for different values of input impedance () and relative dielectric constant (). A high value of could render the filter unfeasible, as it significantly reduces the upper limit for .
The total length of a filter, , is greatly affected by the cutoff frequency, . The fifth button, “ vs. ”, carries out this analysis. The function of this button is to take the data from the edit-boxes to select the characteristics of the filter, but, this time, the total length will be obtained for in a rank from 0.5 to 5 GHz. From Figure 12 it can be seen that decreases exponentially as increases. The discontinuous leaps are due to the fact that the length of the source impedance line, , from Equation (19), changes according to the criterion discussed in Section 4.1, which affects the total length.
Figure 12.
Total length versus . The total length is obtained for in a rank from 0.5 to 5 GHz. The discontinuous leaps are due to the fact that the length , from Equation (19), changes according to the criterion discussed in Section 4.1.
The sixth button in the GUI is “Simulate”. This button runs a simulation to obtain data like , , , by sweeping values of and , where the minimum and maximum values, as well as the step increments, are indicated in the edit-boxes at the bottom of the GUI. These plots are important for analyzing the effect of the widths and in the or the maximum attenuation of the filter. The parameters of the filter are taken from the data on the top of the GUI, but and are swept as mentioned. In this sense, one simulation will give results for one specific filter type and order, while for another type of filter, or order, etc., a new simulation must be run.
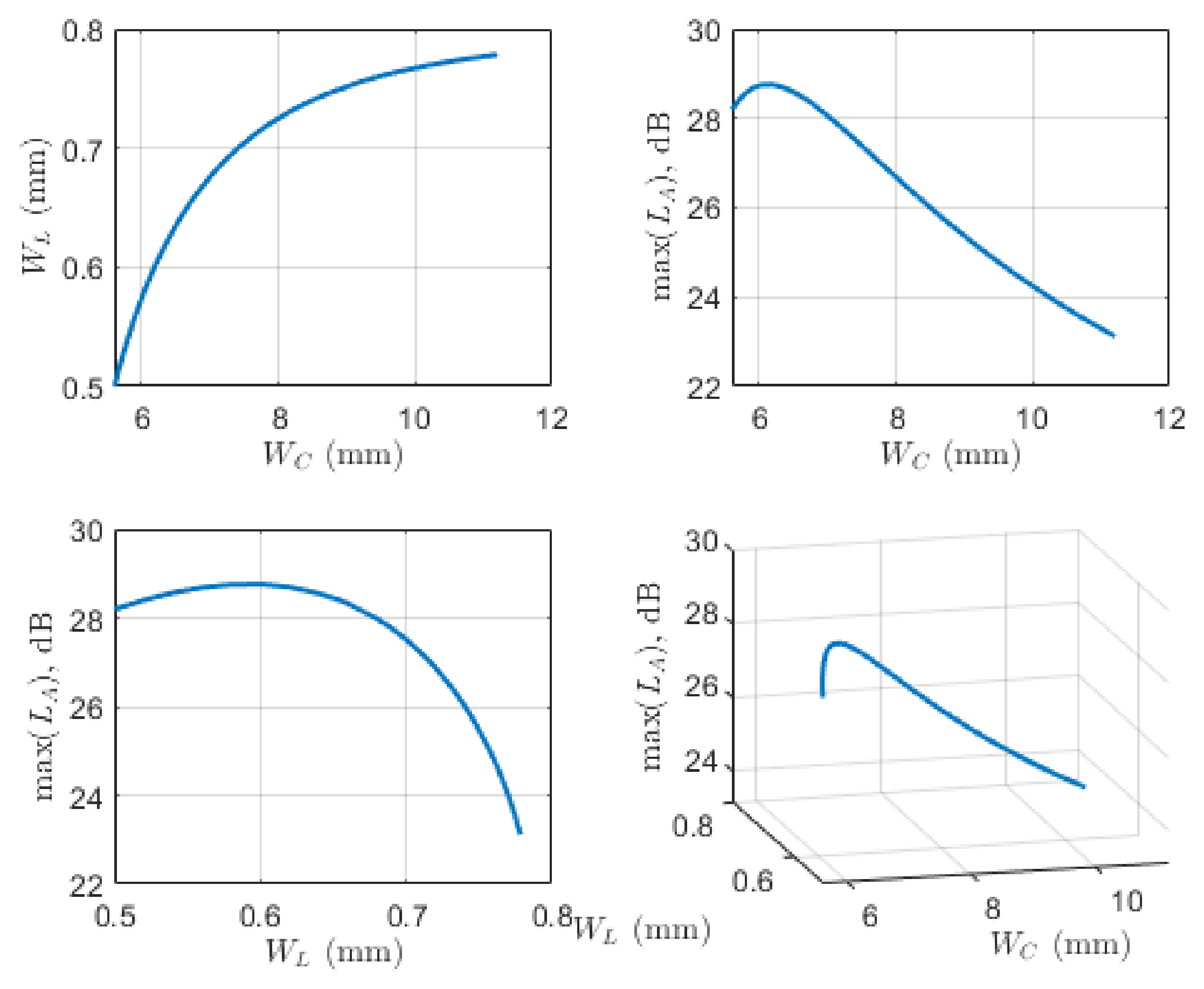
After one simulation is executed, the next two buttons are enabled. The first of them is “, , ”. The function of this button is to lay out 3D-plots, where the first two axes are and , while the third axis, the height of the plot, indicates the variable of , max() or max(), respectively. Figure 13 shows the plot of (a) total length, (b) and (c) , for a range of values of and . From Figure 13a, it can be noticed that decreases significantly with lower and higher . On the other hand, from Figure 13b,c, it can be seen that a low value for , and occurs with minimum values for , and with medium or higher values of , these two parameters increases with lower values of . From these three plots, one can conclude that for a low value of and a high value of , the length of the filter will be lower, and the parameter will be higher.
Figure 13.
These graphs, generated after the simulation, show the values of certain parameters obtained after designing each filter, varying from , to , . (a) Total length, (b) and (c) . With a simple glance at these graphs, it is possible to choose a value of and to achieve a desired value for one of the output parameters.
Finally, the last button, “TL const”, takes the value from the edit-box “TL const” at the bottom of the GUI, in order to trace a 3D surface of versus and , previously obtained with the simulation, then, the above surface is overlapped with another surface corresponding to the constant . The points where the surface of constant intersects with the surface, form a curve with the values of and that yield a filter of length equal to const. Figure 14 shows the surfaces of and constant, as well as the curve of intersection points between the two surfaces. In this case, constant is set to 78 mm.
Figure 14.
Curve for constant mm. The curve for constant TL (lower part) is generated by the intersection of the total length surface with a constant TL surface (upper part).
In addition to the plot of Figure 14, three more figures are displayed, with four subplots each one. The three figures correspond to the points that satisfy the constant length constraint, versus its corresponding value of: (a) total width, (b) maximum attenuation, max(), and c) maximum attenuation rate, max(). To illustrate, we provide an example of the figure depicting the plots for the constant versus maximum attenuation. Figure 15 depicts the plots specifically for the case of a constant value of 78 mm. The first subplot exhibits the - curve for the constant constraint. Subsequently, the second and third subplots display the plots of - and -, respectively, showcasing the range of values for or . Finally, a three-dimensional curve is depicted with , , and as the respective axes.
Figure 15.
max() along the curve for constant mm. The vs. curve is the same as the one obtained in Figure 14. For each point on that curve, the filter is simulated, and the parameter max() is obtained. The following graphs show max() versus , versus , and a 3D curve with these same points.
The analysis of constant curves reveals the existence of a maximum point, representing the optimal configuration that minimizes or maximizes a specific parameter while keeping the filter length constant. The three parameters that can be optimized are the minimal width of the filter, maximal attenuation, and maximal attenuation rate. The GUI also generates a table that provides the optimal values for and in each optimization scenario. Figure 16 displays this table, where the user can choose the desired optimization criterion. For instance, when selecting the point of maximum attenuation, the table indicates the values mm and mm, with dB. The obtained values of mm and mm were introduced in the edit-boxes of the GUI in order to obtain the scattering plot and the data table of Figure 7 and Figure 8. In the table of Figure 8 it can be seen that is, effectively, 78 mm and dB. These findings validate the effectiveness of MicroStripOptim in accurately determining the optimal filter parameters while adhering to the desired length constraint.
Figure 16.
Optimal values obtained for constant mm. The options for optimized parameters are: Min(Total Width) in millimeters, Max() in dB, and Max() in dB/GHz. In turn, and are given in mm.
6.2. Simulation and Experimental Results
In order to check the validity of the designed low-pass filter in MicroStripOptim, with characteristics given in Table 2 and sizes shown in Figure 8, it was implemented in HFSS. The CAD model of the designed filter, made in HFSS, is shown in Figure 17.
Figure 17.
CAD model of the designed filter, in HFSS software.
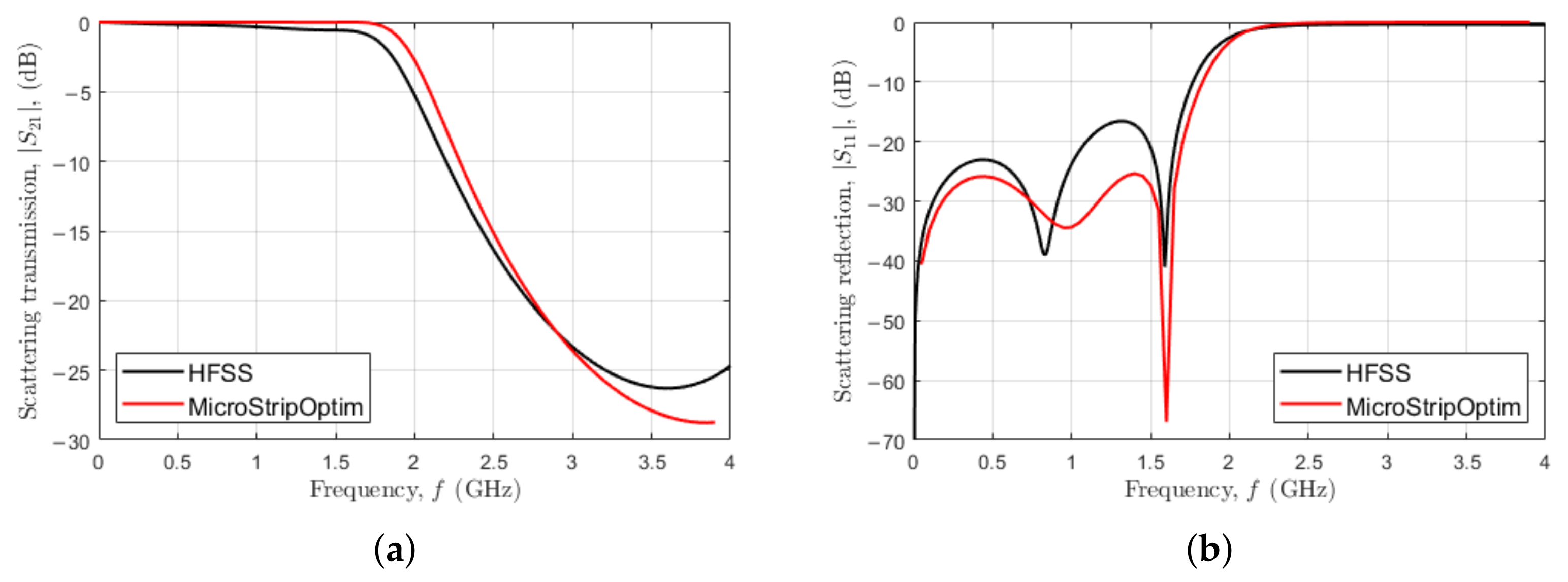
The scattering parameters plot of the simulation in HFSS, is shown in Figure 18. From this figure, it can be seen that the filter response obtained in HFSS is similar to the response simulated in MicroStripOptim. There is a small difference in the cutoff frequency of HFSS simulation, that is shifted to a frequency below 2 GHz. It also could be seen that the maximum attenuation is lower in HFSS than the expected with MicroStripOptim.
Figure 18.
Scattering parameters of the designed filter obtained with MicroStripOptim compared with the same filter simulated in HFSS: (a) Transmission, ; (b) reflection, . The response of both simulations is very similar, which provides confidence in the results generated by MicroStripOptim.
After the software comparison, the filter design was fabricated using a PCB CNC machine. The resulting PCB filter is shown in Figure 19a. The total length of the fabricated filter matches the GUI design, measuring 78 mm, as indicated in the figure. The scattering parameters of the PCB filter were measured using a Vector Network Analyzer (VNA, Anritsu model MS2038C). The measurement connection setup is shown in Figure 19b.
Figure 19.
(a) Actual filter built on an FR4 PCB copper clad board, designed for mm and optimized for maximum attenuation; (b) Measure of filter parameters using a Vector Network Analyzer.
Figure 20 shows the plot of scattering parameters measured for the PCB filter. From the figure, it can be noticed that the cutoff frequency matches exactly with the desired value, and the attenuation matches well with the MicroStripOptim simulation. The measurement of the experimental filter indicates that it crosses the dB at a frequency of 2.025 GHz, closely matching the simulated design’s cutoff frequency of GHz. After the cutoff frequency, the attenuation increases similarly in both graphs, with the simulated response reaching a maximum attenuation of 28.73 dB, compared with 29 dB for the experimental filter. These results confirm that the software tool designed and proposed in this paper, accomplishes good results between the filter designed in the software and the measured values in the PCB filter.
Figure 20.
Scattering parameters measured for the PCB filter compared to MicroStripOptim simulation. (a) Transmission, ; (b) reflection, . The response of the real filter, measured using a VNA, is very close to that predicted by MicroStripOptim, matching both the cutoff frequency and the maximum attenuation, which were the key design and optimization requirements initially proposed.
6.3. Examples of Optimization
Example 1.
Filter with constant TL and maximum attenuation.
As an example of the usefulness of optimization, a filter is initially designed with the characteristics outlined in Table 3.
Table 3.
Parameters for designing Filter 1.
These parameters are entered into MicroStripOptim, then the “Print Data” button is clicked, resulting in a filter with the following characteristics:
To visualize the optimization tool, a simulation must first be run. To keep variations small, the following values are entered into the edit boxes:
Then, click on the “Simulate” button. Once the simulation is complete, the value 88.9635 is entered into the “TL const” edit box, and the “TL const” button is clicked. As a result, a table of optimal values is generated, similar to the one in Figure 16. In this case, the optimal values for maximum attenuation are as follows:
Therefore, a filter with the same length as Filter 1 has been obtained, but with greater attenuation. From Figure 21, it can be observed that Filter 2 exhibits greater attenuation and was designed to have the same .
Figure 21.
Comparison of the transmission response of Filter 1 and Filter 2 (optimized filter). Filter 2 was designed to have the same total length as Filter 1 while maximizing the maximum attenuation.
Example 2.
Filter with desired .
When designing a filter based on data like those in Table 3, it is not possible to know the total length () beforehand. However, in MicroStripOptim, it is possible to design a filter in reverse, meaning that starting with a desired , the values of and can be determined to meet the total length constraint. Since there may be multiple sets of values that satisfy this constraint, MicroStripOptim offers three options that optimize some specific parameters.
If the simulation of the previous example has been executed, the edit boxes “min()” and “max()” are enabled. For the case of the previous example, the displayed values are as follows:
Therefore, it is possible to obtain a filter with the desired length within these limits. If one enters
by clicking the “TL const” button, the values to achieve a filter with mm, and optimal characteristics are obtained. In this case,
6.4. Additional Insights
This is the first version of MicroStripOptim, a software tool designed for the study of low-pass microstrip filters. It offers several options to analyze various design results, based on the permissible limits of and , enabling users to visualize the allowed ranges for filter design. In terms of the design process, every filter generated automatically includes frequency shift compensation. The software generates scattering parameter graphs, and all relevant filter parameters are displayed in a table for easy reference. Additionally, the GUI provides an option to obtain an optimized filter, starting from a fixed filter size.
Some limitations of the software are the following:
- This version of the GUI only considers the design of low-pass microstrip filters. Future versions will include high-pass, band-pass and band-stop filters.
- The GUI lacks an option to generate a sketch of the designed filter.
- Only six types of filters were included, three Butterworth and three Chebyshev.
- The values obtained in the “TL const” optimization are based on the data from the “Simulate” button. Therefore, if smaller values are set for and , a different set of optimal parameters can be obtained.
To conclude, an additional advantage is that the code is available in a repository (see Section 5), allowing readers to download it and make modifications as needed.
7. Conclusions
The existing equations and design steps for microstrip filters found in books may introduce some degree of error in the computed parameters or in the effect of the filter, like in the desired cutoff frequency. To mitigate these sources of error, our proposed software, MicroStripOptim implements several computer algorithms. MicroStripOptim was created to facilitate the design of microstrip low-pass filters and analyze the effects of parameter variations on filter performance. One significant contribution of this paper is the ability to optimize filters with a specific total length requirement. This optimization feature allows designers to achieve desired filter characteristics while adhering to length constraints, enhancing the overall design process. Furthermore, the effectiveness of the designed filters was validated by comparing the scattering parameters plot obtained from simulations with the measured values on a fabricated PCB. The satisfactory results obtained for the cutoff frequency and maximal attenuation provide validation for the accuracy and reliability of MicroStripOptim as a design tool.
Future work. As future work, the following aspects are proposed: first, to include new types of filters, such as elliptic filters and Bessel filters; second, to add options for high-pass, band-pass, and band-stop filters; and finally, new optimization methods are already being developed.
Author Contributions
Conceptualization, A.G.-J. and L.A.G.-D.; methodology, A.G.-J., R.S.-G. and L.A.G.-D.; software, R.P.-A. and L.A.G.-D.; validation, R.S.-G., J.R.N. and A.G.-J.; formal analysis, M.A.-E. and R.G.-F.; investigation, R.S.-G. and L.A.G.-D.; resources, R.G.-F. and I.E.Z.-H.; data curation, R.P.-A. and L.A.G.-D.; writing—original draft preparation, R.S.-G., A.G.-J. and L.A.G.-D.; writing—review and editing, J.R.N., M.A.-E. and R.G.-F.; visualization, I.E.Z.-H.; supervision, A.G.-J.; project administration, L.A.G.-D.; funding acquisition, R.G.-F. All authors have read and agreed to the published version of the manuscript.
Funding
This research received no external funding.
Data Availability Statement
The data that support the findings of this study are available from the corresponding author upon reasonable request.
Conflicts of Interest
The authors declare no conflicts of interest.
References
- Imani, M.S.; Imani, M.A.; Soltani, A.; Shama, F. Miniaturized microstrip suppressing lowpass cell for hybrid applications. AEU-Int. J. Electron. Commun. 2021, 135, 153734. [Google Scholar] [CrossRef]
- Moloudian, G.; Bahrami, S.; Hashmi, R.M. A Microstrip Lowpass Filter With Wide Tuning Range and Sharp Roll-Off Response. IEEE Trans. Circuits Syst. II Express Briefs 2020, 67, 2953–2957. [Google Scholar] [CrossRef]
- Nouri, L.; Yahya, S.I.; Rezaei, A.; Chaudhary, M.A.; Nhu, B.N. A novel configuration of microstrip coupler with low loss and suppressed harmonics. AEU-Int. J. Electron. Commun. 2023, 165, 154653. [Google Scholar] [CrossRef]
- Nouri, L.; Yahya, S.; Rezaei, A. Design and fabrication of a low-loss microstrip lowpass-bandpass diplexer for WiMAX applications. China Commun. 2020, 17, 109–120. [Google Scholar] [CrossRef]
- Siva Naga Raju, G.; Jyothirmai, G.; Kumar, S. Design and analysis simple microstrip low-pass filter for wireless application. Mater. Today Proc. 2022, 51, 1017–1020. [Google Scholar] [CrossRef]
- Colín, R.G.; Juárez, A.G.; Huerta, I.E.Z.; Marquina, A.V.; Delgado, L.A.G.; Cruz, A.L.L.; Fuentes, R.G. An experimental distribution of analog and digital information in a hybrid wireless visible light communication system based on acousto-optic modulation and sinusoidal gratings. J. Opt. 2016, 18, 035701. [Google Scholar] [CrossRef]
- Abril-García, J.; Tapia-Rodríguez, R.; García-Juárez, A.; Noriega, J.; García-Delgado, L.; Leal-Cruz, A.; Correa-Mena, A.; Zaldívar-Huerta, I.; Gómez-Colín, R. Design of a tapered CPW-fed wideband antenna and its application to multi-channel transmission using a hybrid wireless communication system. AEU-Int. J. Electron. Commun. 2019, 112, 152966. [Google Scholar] [CrossRef]
- Ferro, L.; Cardillo, E. Frequency Shift in Microwave Circuits Manufactured with Circuit Board Plotters: Case Study of a Parallel Coupled Lines Filter. Electronics 2024, 13, 3100. [Google Scholar] [CrossRef]
- Li, L.; Shen, Z.; Wu, W. Compact Absorptive Microstrip Bandpass Filter with Adjustable Bandwidth and Phase. Electronics 2024, 13, 3037. [Google Scholar] [CrossRef]
- Zhang, A.; Xu, J.; Liu, Z.; Zhang, Y. Microstrip Quasi-Elliptic Absorptive Bandpass Filter with Ultra-Wide Reflectionless Range and Compact Size. Electronics 2024, 13, 1841. [Google Scholar] [CrossRef]
- Seifi, A.; Ponnambalam, K.; Vlach, J. Optimization of filter designs with dependent and asymmetrically distributed parameters. J. Frankl. Inst. 2013, 350, 378–396. [Google Scholar] [CrossRef]
- Krishna V, N.; Padmasine, K. A review on microwave band pass filters: Materials and design optimization techniques for wireless communication systems. Mater. Sci. Semicond. Process. 2023, 154, 107181. [Google Scholar] [CrossRef]
- Mahouti, T.; Yildirim, T.; Kuşkonmaz, N. Artificial intelligence–based design optimization of nonuniform microstrip line band pass filter. Int. J. Numer. Model. Electron. Netw. Devices Fields 2021, 34, e2888. [Google Scholar] [CrossRef]
- Wu, S.; Cao, W. Parametric model for microwave filter by using multiple hidden layer output matrix extreme learning machine. IET Microwaves Antennas Propag. 2019, 13, 1889–1896. [Google Scholar] [CrossRef]
- Yeo, K.S.K. Advanced RF/microwave filter design using microwave circuit simulators. AIP Conf. Proc. 2023, 2643, 040025. [Google Scholar] [CrossRef]
- Zhang, Z.; Chen, H.; Yu, Y.; Jiang, F.; Cheng, Q.S. Yield-Constrained Optimization Design Using Polynomial Chaos for Microwave Filters. IEEE Access 2021, 9, 22408–22416. [Google Scholar] [CrossRef]
- Bandler, J.W.; Rayas-Sánchez, J.E.; Zhang, Q.J. Yield-driven electromagnetic optimization via space mapping-based neuromodels. Int. J. Microw. Comput.-Aided Eng. 2002, 12, 79–89. [Google Scholar] [CrossRef]
- Mathworks, R.P.T. RF PCB Filters and Stubs. 2021. Available online: https://www.mathworks.com/help/rfpcb/rf-pcb-filters-and-stubs.html (accessed on 27 November 2024).
- Mathworks, R.T. RF Toolbox. 2018. Available online: https://www.mathworks.com/help/rf/index.html?s_tid=CRUX_lftnav (accessed on 27 November 2024).
- Çakir, G.; Gündüz, S.; Sevgi, L. A Matlab-based Filter Design Tool Using the Analogy between Wave and Circuit Theories. In Complex Computing-Networks; Göknar, İ.C., Sevgi, L., Eds.; Springer: Berlin/Heidelberg, Germany, 2006; pp. 141–148. [Google Scholar]
- Rao, S.; Tomar, R. A New MATLAB based Microstrip Filter Design Tool. Int. J. Wirel. Microw. Technol. 2017, 5, 49–70. [Google Scholar] [CrossRef]
- DEY, A.; AKHIL, N.; SREE, N.N.; ALUURAIAH, N. Design and Implementation of Microwave Band-Pass Filter using MATLAB. Int. J. Sci. Eng. Technol. Res. 2017, 6, 1388–1392. [Google Scholar]
- Elsayed, M.H.; Abidin, Z.Z.; Dahlan, S.H.; Cholan, N.A.; Ngu, X.T.I.; Majid, H.A. FILTSoft: A computational tool for microstrip planar filter design. AIP Conf. Proc. 2017, 1883, 020007. [Google Scholar] [CrossRef]
- Hong, J.S.; Lancaster, M.J. Microstrip Filters for RF/Microwave Applications; John Wiley & Sons, Inc.: New York, NY, USA, 2001. [Google Scholar]
- Ogata, K. Modern Control Engineering; Pearson: Hoboken, NJ, USA, 2010. [Google Scholar]
Disclaimer/Publisher’s Note: The statements, opinions and data contained in all publications are solely those of the individual author(s) and contributor(s) and not of MDPI and/or the editor(s). MDPI and/or the editor(s) disclaim responsibility for any injury to people or property resulting from any ideas, methods, instructions or products referred to in the content. |
© 2024 by the authors. Published by MDPI on behalf of the International Institute of Knowledge Innovation and Invention. Licensee MDPI, Basel, Switzerland. This article is an open access article distributed under the terms and conditions of the Creative Commons Attribution (CC BY) license (https://creativecommons.org/licenses/by/4.0/).




















