Abstract
Background. The importance of explainable artificial intelligence and machine learning (XAI/XML) is increasingly being recognized, aiming to understand how information contributes to decisions, the method’s bias, or sensitivity to data pathologies. Efforts are often directed to post hoc explanations of black box models. These approaches add additional sources for errors without resolving their shortcomings. Less effort is directed into the design of intrinsically interpretable approaches. Methods. We introduce an intrinsically interpretable methodology motivated by ensemble learning: the League of Experts (LoE) model. We establish the theoretical framework first and then deduce a modular meta algorithm. In our description, we focus primarily on classification problems. However, LoE applies equally to regression problems. Specific to classification problems, we employ classical decision trees as classifier ensembles as a particular instance. This choice facilitates the derivation of human-understandable decision rules for the underlying classification problem, which results in a derived rule learning system denoted as RuleLoE. Results. In addition to 12 KEEL classification datasets, we employ two standard datasets from particularly relevant domains—medicine and finance—to illustrate the LoE algorithm. The performance of LoE with respect to its accuracy and rule coverage is comparable to common state-of-the-art classification methods. Moreover, LoE delivers a clearly understandable set of decision rules with adjustable complexity, describing the classification problem. Conclusions. LoE is a reliable method for classification and regression problems with an accuracy that seems to be appropriate for situations in which underlying causalities are in the center of interest rather than just accurate predictions or classifications.
1. Introduction and Motivation
Machine learning (ML) is an integral part of many products and activities in our everyday life, including developments in autonomous driving [1], health care [2], and law enforcement [3]. Regulations regarding automated algorithmic decision making—“the right for explanation[s]” [4]—and other judicial reasons [5] emphasize the need for general accountability [6] of ML-based systems, particularly of black box models. Black box models are optimized for performance by adding complexity to an extent that renders them infeasible to interpret. Current attempts try to overcome the drawbacks of lacking explainability by adding external components distilling human-understandable information within additional layers of complexity (post hoc methods). These additional layers, however, can only be an approximation of the actual decision-making process at the risk of not being faithful [7]. Explainable artificial intelligence as well as machine learning (XAI/XML) is increasingly being recognized [8,9,10,11]. While different application areas highlight the emerging trends in XAI and XML [12,13,14], performance explainability trade-offs are also within the focus of current research [15,16].
1.1. Contribution of This Work
In this contribution, the League of Experts (LoE), a novel and transparent machine learning model and meta algorithm based on the idea of ensemble learning [17] (p. 605), is introduced. LoE is a variant of dynamic classifier selection (DCS) methods [18] (see Section 2.7). However, in comparison, LoE trains its ensemble as part of the involved selection and assignment method, unlike other DCS methods that often overproduce a rather large set of classifiers using static methods such as bagging or boosting [19]. So far, this is, to our knowledge, unexplored in the context of DCS [18]. LoE is a construction framework, allowing for modifications with the goal of leveraging explainability. It enables the design of user interfaces to directly interfere with the model and its components. However, this work will not dive into concrete user interactions, but will instead mention possible interactions where appropriate, for which LoE allows users to manually adjust the selection process and the ensemble members. LoE allows users to interactively explore trade-offs between model performance and complexity. In this contribution, we exemplify and evaluate LoE using two datasets. We particularly focus on controlling the amount of complexity involved in explaining the learned model instances (experiments in Section 4.1). Furthermore, we also introduce a specific solution to instantiate LoE, which enables the transformation of LoE into an almost equivalent rule set learner (Section 3.5). In order to reduce the complexity while jointly improving the approximation to LoE, we further explore ways to adapt the training procedure.
1.2. Section Overview
The following sections introduce our methodology in Section 2 and LoE’s implementation in Section 3. The main idea of LoE is motivated in Section 3, followed by a concise definition and description of its basic training and inference procedures. Section 3.2 shows how to explain a trained LoE model using decision rules. The proposed methods also allow the reduction in the length of these decision rules, which enables the reduction in their complexity, which in turn facilitates interpretations made by human users (Section 3.3.1). Subsequently, we present a method to extract an analogous rule learner from the derived explanations in Section 3.5, called RuleLoE. Finally, Section 4 provides an evaluation regarding feature space reduction and rule set generation given the example of two prominent datasets from medicine and finance.
2. Materials and Methods
In the following, we introduce the League of Experts (LoE) algorithm with its motivation in terms of explainability and accuracy. For this purpose, we provide some background information and taxonomy of currently and previously developed and investigated approaches within XAI and XML. For this purpose, Section 2.1, Section 2.2, Section 2.3, Section 2.4, Section 2.5, Section 2.6, Section 2.7 provide insights into the use of black and glass box models (Section 2.1 and Section 2.2), the principles on rule learning and explanations (Section 2.3 and Section 2.4), decision trees and their use with surrogate models (Section 2.5 and Section 2.6), and the fundamentals of ensemble learning and dynamic selection (Section 2.7).
2.1. Black Box Models
Computational advances facilitate more powerful but also more complex models such as black box models [20,21,22,23]. Feed forward artificial neural networks (ANNs) [24], e.g., for image classification, possess about 5 to trainable parameters while performing up to computational operations for a single prediction [25]. Since an ANN consists of a graph of operations, it is in theory possible to follow along the performed calculations in a stepwise fashion. However, in practice, such enormous complexity is not cognitively comprehensible by a human. Even other popular methods involving much fewer parameters, e.g., support vector machines (SVMs) [26] or ensemble methods such as boosting (i.e., AdaBoost [27]) and random forests [28], cannot be easily interpreted. These approaches are inappropriate for applications requiring a good understanding of the decision-making process. For ensemble learning, this holds true even if the ensemble’s members themselves are easy to interpret, e.g., with decision trees [29]. However, the decision boundary of the whole ensemble remains highly complex as the final prediction consists of a fusion of all members.
2.2. Glass Box Models
In contrast, glass box models [22,30,31], also known as white box models, are characterized by transparent states, allowing for deriving explanations regarding their decision boundaries. Such models include decision trees [17] (p. 305), (logistic) regression [17] (p. 119), and neighborhood models describing decisions by the similarity of related data points, e.g., k-nearest neighbors (k-NN) [32]. However, adding too much complexity jeopardizes practical interpretability, e.g., too many levels in decision trees or too many dependencies in Bayesian networks [33]. Importantly, this is due to the cognitive limits of the users and not the decision-making process itself.
2.3. Rule Learning
A particular example of glass box models is decision rules that conveniently present knowledge to users as logical patterns. They are realized either unordered (i.e., independent) as rule sets or ordered as rule lists. The latter are more complicated to interpret [34] as each rule’s applicability depends on the negations of its predecessors (i.e., the previous rules have to not apply). Decision trees have representations as rule sets, where each path in the tree becomes a single rule. For example, the rules shown in Figure 1 are as follows: if , predict low-risk group; otherwise, predict high-risk group. Unlike decision trees, most rule learners do not produce rule sets with full coverage and no sample space overlap—several or no rules are applicable to data points (or queries). The former is resolved by determining a resolution order, the latter by adding an additional fallback rule. Both cases must be addressed when transforming LoE into a rule learner (see Section 3.5).
Figure 1.
(Partial) decision tree example with (A–C) being the root, inner nodes, and leaves, respectively. An example query with corresponding trace is highlighted in orange.
Rule learning systems, including CN2 [35], RIPPER [36], Bayesian rule sets [37], Boolean decision rules via column generation (BRCG) [38], and interpretable decision sets [34], derive rules from directly optimizing a target function, e.g., by using integer programming to optimize specific criteria such as classification performance, coverage, or simplicity. The optimal solution is often intractable due to the exponential amount of possible clauses, resulting in the NP-complete set cover problem.
2.4. Explanations
In the context of XAI, “explanation” refers to human-understandable information in a local or global sense, justifying (i) the process generating a query-dependent output of the method (e.g., the classification result) or (ii) the state of the model as a whole. Local explanations can be misleading about a model’s global state, whereas query-dependent properties might not apply in the global context, i.e., for arbitrary queries.
Post hoc explainers are popular methods. They add methods and visual components aiming to explain the decision process of an already-trained model. Post hoc methods can be (i) model agnostic (not tied to a specific model class), e.g., LIME [39], Anchors [40], Shapley values [41], or visualizations such as partial dependence plots (PDPs) or individual conditional expectation plots (ICE) [42] (Chapters 5.1 and 5.2), or (ii) model specific, e.g., decision-tree-based SHAP variants (TreeSHAP) [43] or explainers specific to neural networks [44].
However, the drawbacks of post hoc methods are that (i) external components add complexity to ML pipelines, and (ii) users must have confidence in the underlying ML model and the explanation method. Both can be wrong, inaccurate, or only applicable in certain unobserved circumstances. Importantly, users cannot notice the latter. Glass box models, which are algorithmically transparent, do not require post hoc approaches, as do more generally global simulatable models that are characterized as being simple enough to be comprehensible in reasonable time [45].
Simulatable models include small decision trees, small rule sets [46], (generalized) linear models with a small amount of model parameters (after applying shrinkage methods, e.g., Lasso), or instance-based learners with explainable features (e.g., k-NN [32]). Additionally, the features describing entities, such as data points, must be reasonably comprehensible. Models satisfying those requirements are strongly limited, typically weak in performance, and limited in generalization properties [47]. Notably, the definition of simulatable is somewhat fuzzy as it depends on individual users’ abilities.
2.5. Decision Trees
Decision trees [48] directly display their reasoning processes due to their graphical structure (Figure 1). They typically focus only on a subset of relevant attributes or features [49], rendering them cognitively less demanding. The graphical structure of a decision tree allows the user to investigate details of a given reasoning process, which also enables the investigation of alternative paths, i.e., by assuming that an attribute has a different value to observe how this would influence the decision-making process. That allows for judging for fairness and relevance of the decisions made.
2.6. Surrogate Models
Surrogate (or proxy) models [50] attempt to explain the decisions-making process of a complex black box model by imitating the black box model’s output profile on a dataset by utilizing a simpler glass box model [42] (Chapter 5.6) (e.g., by using a decision tree to approximate an ANN). The approximation can hold globally (global surrogate), i.e., on , or locally (local surrogate), i.e., in a subset of . For instance, the LIME method [40] is a local surrogate.
Generally, it is unclear whether the surrogate captures the same causalities as the explained model of . Several alternative surrogates might perform equally well, which can be explained by the Rashomon effect [51], describing circumstances under which multiple alternative explanations yield the same result. The latter is less problematic when replacing the complex model by a sufficiently accurate global surrogate. However, for local surrogates, the problems amplify, particularly if users are inclined to induce global decision making from local explanations. Although the mentioned problems do not vanish, they can be controlled by directing the training procedure (see Section 3.3).
2.7. Ensemble Learning and Dynamic Selection
Ensemble learning methods [52,53] train multiple models as an ensemble for classification or regression tasks used in specific combinations, also called aggregation or fusion. With our approach, LoE also follows this idiom. More specifically, it is a dynamic selection (DS) method [18], which, in contrast with static methods (e.g., AdaBoost [27] and random forests [28]), does not use the whole ensemble to form a decision. It uses a separate selection method to select ensemble subsets for individual queries. The rationale of DS is to dynamically find a subset of the models that are likely to be knowledgeable about a given query presented to the system, for which a filter method that decides which members of the ensemble may be knowledgeable in predicting a query is employed. This filter is often denoted as a selection or assignment function. DS methods fall into the class of either dynamic classifier selection (DCS) or dynamic ensemble selection (DES) methods. While DCS methods will choose exactly one model from the pool when presented a query, DES methods may choose multiple models. LoE is categorized as a DCS method, as it selects exactly one model given a query to retain explainability.
3. The League of Experts Classifier
For the realization of the League of Experts as a classifier, we adapt a particular case of ensemble learning, in which each ensemble member is associated with a specific part of the feature space. More specifically, we introduce an algorithm that adaptively learns a partition of the feature space in order to assign one specialized ensemble member—the expert—to each subset of the partition. Since the partition divides the feature space into disjoint sets, each expert is trained on a different subset of the training data. This diversifies the learning process, which implies that each expert performs particularly well only on its assigned subset but not necessarily on the whole feature space. Since each expert is not required to model the whole feature space, the complexity of experts can be limited without sacrificing the overall performance.
Motivated by the way in which inferences are made, the resulting ensemble of experts is named accordingly. Once an LoE classifier is trained, inference follows a two-step approach: (i) a query is assigned to the correct expert g, and (ii) the query output is processed by the assigned expert (see also Figure 2). This process mimics human teamwork, having a number of experts that are specialized in specific domains, in which a coordinator assigns tasks to the most appropriate expert. Allegorically, imagine a query being a patient visiting a primary physician (coordinator) that performs an initial examination. In this case, the coordinator is referring the patient to the specialist.
Figure 2.
LoE’s two-step decision process: (i) expert assignment to query (here, , a one-level decision tree) and (ii) query prediction by the assigned expert (here, prediction low-risk group). Here, experts are illustrated as gear wheels.
The following sections introduce our definitions and model formulations (Section 3.1), our approach to deriving explanations (Section 3.2), the reduction in the complexity of explanations (Section 3.3), the analysis of LoE’s runtime complexity (Section 3.4), and LoE’s rule set learner, also called RuleLoE (Section 3.5).
3.1. Basic Definitions and Model Formulation
Consider a typical supervised learning problem based on a labeled dataset . Here, each labeled data point is generated by a probability distribution while consisting of m real-valued inputs of a domain and a categorical (or, in the case of regression problems, metrical) label within a set (for metric outputs ). Notably, categorical inputs are also permitted, for which they are assumed to be one-hot encoded. For a point , we seek to maximize the probability of the output Y conditioned on the input X based on the model , where is a (soft) classifier, belonging to a family .
The corresponding derived hard classifier is defined as follows:
where . The resulting family of hard classifiers derived from is denoted by . For regression rather than classification problems, the conditional expectation of the output Y given the input X is modeled rather than the conditional probability. More precisely, the underlying regression model is .
The following function:
is called an assignment function of degree n (). Each assignment function A defines a partition and for of the feature space of rank n by the following:
If one classifier () is assigned to each part () of the partition, we obtain an n-tuple in (derived from ). A pair is called an LoE of degree n inherited from A. The set is called the territory of the expert .
An LoE defines a single new classifier by the map:
which generally is not an element of . The set of all admissible assignment functions (or equivalently the set of all corresponding partitions ) and classifiers defines the set of all possible LoE classifiers, denoted by . At this point, it is also noted that an LoE is conceptually similar to DCS algorithms (Section 2.7) with the assignment taking the role of the selection function. In the following, because an assignment function is equivalent to the partition it defines, we identify an assignment function by its equivalent partition.
The quality of an LoE classifier is measured by a performance function . A typical choice is the Kronecker delta:
For a metrical output (regression task), the performance function typically follows from a distance measure between and y, e.g., the negative mean-squared distance.
An optimal LoE classifier maximizes the average performance over the whole input and output domain ; i.e., it is defined by the following:
where is the joint probability distribution of inputs X and outputs Y.
The maximization in (2) is performed in two steps: (i) for each assignment function (or its equivalent partition), an optimal ensemble of experts is found, and (ii) these optimal LoEs are maximized over all assignment functions (or equivalently all partitions). This yields an optimal LoE classifier , i.e.,
where
and
Notably, an optimal LoE classifier is not necessarily unique. Furthermore, it is infeasible to find one, as the distribution is unknown and the number of possible partitions is exhaustive. In practice, a pseudo-optimal LoE is empirically determined by replacing by the empirical distribution function obtained from the labeled dataset . This yields the following:
where
and for each
However, this optimization is also infeasible. In general, an uncountable amount of tuples (6c) and assignment functions (6b) exist. However, this can be heuristically approximated for a specific class of assignment functions. We provide an algorithm yielding an LoE , performing almost as good as an optimal LoE.
3.1.1. Class of Assignment Functions
The set of assignment functions of degree n is restricted to the class of functions defined by n pairwise different anchor points by the following:
where is a given metric on . Without considering the minimum, A would not be well defined in the cases for . Therefore, we assume the following:
Here, depends on the choice of the metric d. It is advisable to use a metric that accounts for the variation of the input features. We employ the weighted metric , with being the empirical standard deviation of the i-th input. In practice, is replaced by its estimate from the labeled dataset . An alternative would be to employ a Mahalanobis distance.
As there is a one-to-one correspondence between the assignment function A and an n-tuple of anchor points for each , they are in turn identified. For an LoE classifier, anchor points correspond to the center points of the experts’ territories, for which they are referred to as such.
3.1.2. Algorithm Training
An assignment function A partitions not only the feature space but also the labeled dataset . Namely,
We approximate the optimization (6) for the class of assignment functions with the following heuristic algorithm illustrated in Figure 3. The algorithm starts with n initial anchor points , and a corresponding assignment function A. Next, (6b) is approximated for the assignment function A by training one classifier for part of the partition of the labeled dataset . This yields an ensemble and, hence, an LoE being “quasi-optimal for A”. Next, the anchor points are updated. We shift the center points of the experts’ territories, whereby is replaced by the following:
where is the update’s step size. Here, each expert’s performance is evaluated over the whole training data . The centers are shifted into the direction of points, for which the expert performs well as measured by the performance function . The new center points define an assignment function and a new partition of the feature space, for which a new LoE is trained. This step is repeated with potentially decreasing step sizes. Finally, the LoE classifier with the overall best performance is chosen, which is referred to as a “quasi-optimal LoE”. This procedure is described as a pseudocode in Algorithm 1. The updating step depends on the choice of the performance function. For simplicity, the Kronecker delta (1) is used for the examples presented here.
| Algorithm 1: Basic League of Experts Training Procedure |
![]() |
![]() |
Figure 3.
Training process of LoE with two experts separated into three steps: (1) data-to-model assignment (A), (2) evaluation phase, and (3) optimization phase (movement). Experts are illustrated as gear wheels. The training data are shown using purple and yellow circles, whereas each color depicts a distinct class of the learning problem. In (2), a model’s expected prediction performance on different partitions of the feature space are colored in green and red, relating to good and a bad performance, respectively.
3.1.3. LoE Inference
3.2. Deriving Explanations
In the previous sections, we described a functional and modular machine learning algorithm. Instantiated using glass box models as experts, the model itself can already be employed to train a set of diverse (i.e., due to being trained on disjoint data) and interplaying classification problems (i.e., solving a common task). While the resulting experts can unveil information about the learning problem on their own by directly representing a part of the underlying decision process, the assignment function is still not yet directly visible. The following sections will therefore extend on this missing part by further utilizing the properties of the model in order to derive explanations.
In our context, explainability involves two aspects: (i) understanding the assignment process, i.e., why a query is assigned to a specific expert, and (ii) understanding the experts themselves, i.e., why an expert predicts a specific outcome inside its territory. The latter implies either that the experts themselves are glass box models—as assumed here—or that post hoc methods are applied otherwise (see also Section 2.1). To explain the assignment process, the decision boundaries of the assignment function A must be understood, which might be nontrivial. Their explanation should be accurate, comprehensible, and comprehensive, where requirements are naturally leading to a trade-off as “One Explanation Does Not Fit All [Alike]” [54]. While there is a multitude of options to explain an assignment function A (or the implied partitions), we will focus on revealing a functional relationship and their interactions between relevant attributes. To achieve this, we transform the assignment process into an equivalent classification problem that is solved by employing a glass box model that acts as a surrogate for A. Although employing surrogates to model a process imposes risks, as mentioned in Section 2.6, LoE exhibits properties that allow the mitigation of the mentioned risks. Particularly, a part of the model’s decision process remains intact as the experts themselves will not be approximated by the surrogate. By steering the concrete complexity of the surrogate models and by employing different modeling strategies (Section 3.5.1) and feature space reduction techniques induced by a slightly modified training routine (Section 3.3.1), the faithfulness of the surrogate can be further optimized. Although any model can be employed for this purpose, this work will focus on using decision trees as they allow for a direct transformation of the learned LoE model into the rule set learner, called RuleLoE.
3.2.1. Making the Assignment Function Explainable
To make the assignment function explainable, a glass box model is trained as a surrogate model for the assignment function A. Let denote the family of such surrogates, which require a training dataset. The inputs of the assignment function are elements of the feature space , while the labels are elements of the set . For a subset of the feature space, the graph of the assignment function A restricted to is as follows:
Surrogates are assignment functions, but in general, their corresponding partitions are not members of . Such a set can be used as labeled data to train a surrogate . The set is called assignment dataset. In the following, A will be the assignment function of a given LoE . We model A as a decision tree trained on (i.e., A is learning how to map a data point to a specific expert). The whole decision process for classifying a data point is expressed as a concatenation of the decision paths of the two models A and with , whereas the final prediction is . This process is illustrated in Figure 4.
Figure 4.
Exemplified LoE instance containing two experts ( and ) with A being replaced by a single decision tree (surrogate). The orange line denotes a decision path of a query (where satisfies ) through both the surrogate and one expert. At this point, it is also noted that only the expert is relevant for the query .
3.2.2. The Surrogate’s Faithfulness
The surrogate’s performance in mimicking the original assignment function A (i.e., the assignment accuracy) must be evaluated over a sample . The level of agreement between the surrogate h and A is measured by (, where denotes the power set), with high values indicating good agreement. If surrogates have unsatisfactory agreement, the class might not capture the same mechanisms as the elements in , or it does cover the correct mechanisms but is too constrained. In these cases, the class can be extended (i.e., relaxing regularizations, e.g., allowing larger decision trees). Alternatively, the amount of input features considered by the surrogate can be reduced, e.g., by reducing their feature space. Appropriate projections can be identified during LoE’s training procedure (Section 3.3.1).
As the ultimate goal is to obtain comprehensible explanations of the whole decision process, the surrogate’s comprehensibility has to be ensured. Hence, surrogates must be understandable. As the employed decision trees can be of arbitrary complexity, we have to introduce a measure thereof. To do so, we first introduce a basic notation.
3.2.3. Decision-Tree-Related Notation
For a decision tree t, its root node, the set of leaves, and the set of ancestors from node v to the root are denoted by , , and , respectively. The decision tree assigns each data point a leaf. The path of this leaf is the nodes from the root to its starting point. For a subset of the data, evaluated over the tree t, let be the number of data points in that follow paths passing through node v. As the root is contained in every path, and exactly one path is leading to each leaf, (i.e., all data points start at the root node).
3.2.4. Complexity of a Decision Tree
Although decision trees can always be visualized as a graphical representation or linearized as rules, this can be impractical due to their size, i.e., depth, width, or structure, which are measuring the tree’s complexity. This argument ignores the distribution of queries. Namely, if the majority of queries utilize only a simple subtree, a complex tree remains practical for most instances. The distribution of queries is taken into account when measuring the decision tree’s complexity by the average trace length to the leafs of a representative sample , i.e.,
If the choice of does not follow naturally, it can be constructed for a uniform sample distribution over the leaves, i.e.,
3.3. Reducing the Complexity of Explanations
Comprehensiveness depends on the cognitive load confronting users. We introduce a concept to reduce cognitive load by effectively restricting the LoE model to a lower-dimensional feature space. The process impacts the training process of LoE while preserving its predictive power. This also affects the assignment process and inherits to surrogates. Although surrogates approximate complex nonlinear decision boundaries, most practically relevant datasets are aligned along a lower-dimensional manifold [55] being well approximated by projections. A high-dimensional feature space, i.e., a large number of attributes, typically compromises the generalization properties of ML models due to overfitting. For LoE’s training procedure, the number of classifiers increases exponentially such that several surrogates not faithfully explaining A will still have good performance, which justify the assignment but do not reflect true causality (see Section 2.6). This is known as Rashomon set [54].
3.3.1. Feature Space Reduction
We mitigate high-dimensional drawbacks by projecting the feature space onto a lower-dimensional subspace. Let , defined by , be the projection of onto the r components (). The metric d is replaced by the (pseudo) metric , which is the restriction of d to the projection space defined by . Thus, (7) is replaced by the following:
The updating step of the center points of the experts’ territories is restricted to the lower-dimensional projection space, while leaving the remaining components unchanged; i.e., (9) becomes the following:
where the performance is still evaluated over the original unprojected sample . However, surrogates are trained on the projected feature space. This reduces complexity and the Rashomon effect (Section 2.6), thereby increasing the faithfulness of the surrogate’s explanations. Moreover, users’ understandability could be increased as they are confronted with interpreting fewer attributes.
If decision trees are built with fewer attributes, they are more likely to appear multiple times along a decision path. They can be merged into a single rule, facilitating explainability. For instance, if and occur along a path, the two rules can be reduced to . Similarly, and reduce to .
3.3.2. Projections Obtained from Leveraging LoE’s Properties
A projection is based on a selection of attributes. Ideally, “important” attributes are retained. For instance, attributes that seem to be strongly correlated, have low predictive power, or seem noisy can be removed. Advanced approaches make use of permutation feature importances [42] (Chapter 5.5), SHAP feature importances [42] (Chapter 5.10) based on Shapley values [41], or individual experts’ assessments of the importances of the attributes.
Concerning LoE (and other DCS methods), attributes contributing most to the assignment process also determine their importance. Each expert in LoE is able to individually calculate the importances of the attributes, which can be combined into an importance score. Approximately, the importance scores can be determined based on a surrogate h rather than on the original assignment function A (see also Section 3.2.1). A requirement is that the choice of the surrogate is capable of reporting feature importance. One possibility is to choose a second surrogate family for this purpose, which is not necessarily explainable but able to report feature importances. A possible choice is extra trees (extremely randomized trees) [56], which are ensembles of decision trees using a randomized collection of attributes and cut points. They do not optimize a split criterion and, hence, can be generated fast while yielding good approximations of the feature importance given a sufficiently large ensemble. Moreover, they are not biased by an optimization procedure (e.g., by optimizing for the Gini index) during the construction step.
The feature importance within LoE is partly determined during its iterative procedure. The importance scores are obtained in every step. These can be combined to rolling means or other time-dependent quantities indicative of attributes’ importances.
3.3.3. Concrete Calculation of Feature Importances
We present a concrete implementation for calculating feature importances by utilizing decision trees as a primary example. Although decision trees are a natural choice for this purpose, it is worth noting that other models capable of reporting feature importances can also be used as alternatives. For the construction of decision trees, the importance of attributes is naturally incorporated. An attribute’s importance is identified with its performance as readily calculated by the relative change of a measure such as the Gini index during the decision tree’s construction [57]. In the described example of extra trees, the measure is not already used when generating the ensemble.
For an LoE with expert ensemble (here, decision trees) and data , let be the subsample assigned to expert (corresponding to ). An importance function assigns every expert the relative importance of each attribute; i.e., it is a map from the LoE ensemble to the -dimensional simplex () defined by . The ensemble’s feature importance of the attributes is the weighted relative importances across all experts, i.e.,
For the assignment process, the importance of the features are calculated separately. From the second surrogate family , here, an extra tree ensemble of 1000 decision trees, a surrogate is trained to approximate the assignment function A. An importance function analogous to is evaluated at the trained surrogate h to yield each attribute’s importance. The total importance averages the above quantities with weight , i.e.,
The total feature importance is updated in every step of the LoE algorithm. Rather than using these importances directly, a time average is calculated. The time-averaged total feature importance in step t with geometric decay is derived as follows:
The projection to reduce the dimension of the feature space is constructed by projecting on the r features with the highest importance.
3.4. Runtime Analysis
To determine the runtime complexity of LoE in terms of its training process, the following considerations are taken into account. First, LoE’s runtime complexity’s determinative factors are reiterated. Second, LoE’s training complexity is derived.
- T = number of iterations
- = ensemble of experts
- = labeled dataset
- = training complexity for model g for data
- = evaluation complexity for model g for data
The upper bound of the process in (18) is determined by four factors that repeat for T times: First, the assignment is evaluated (1). This step calculates the distance between each expert and each data point. Second, the expert training process and model movement is carried out (2). The experts are trained on their respectively allocated data points (i.e., trained within their territory), which is bound by the training complexity of the concrete model types of . Third, the trained models are moved in the direction of their best-performing feature space. Lastly, the trained experts are used for inference in order to measure their performance (4). This step is bound by the chosen models’ inference complexity.
The inference complexity of the method given a sample is calculated as follows:
which constitutes finding the relevant expert (i.e., the assignment process) and using this expert for inference. Contrary to ensemble methods such as random forests or AdaBoost, the training runtime scales with the additional factor T. This implies that the algorithm trains T times slower. However, on inference, only one model is evaluated instead of the whole ensemble, for which the results of each ensemble member do not need to be aggregated. This effectively results in distance calculations plus for the assigned or “closest” model for each . This means that the inference time of LoE scales predictably with the number of experts, while other ensemble methods scale with the aggregated complexity of their experts.
3.5. LoE as a Rule Set Learner—RuleLoE
LoE is not a native rule set learner, but it can be transformed into an almost equivalent one, denoted as RuleLoE, by employing its surrogate (Section 3.2.1). For this purpose, we focus on decision trees as experts and surrogates. However, they can also be replaced by other rule learners. Concrete decision rules are derived as logical conjunctions of (i) decision paths leading to specific experts (i.e., the assignment path surrogate → expert) and (ii) the decision paths of the assigned expert to the leaves. Derived decision rules are separated into conjunctions of two components. The complexity can be influenced by user adjustments to the two components: (i) the quality of the surrogate’s approximation and its complexity (e.g., restricting the maximal depth of a decision tree or using feature reductions, Section 3.3) and (ii) the amount and complexity of the experts (a larger, less complex ensemble vs. a smaller, more complex one). Additionally, if a few experts have good global performance (i.e., on the whole sample), pruning assignment rules can efficiently increase performance since pruned assignment rules are more likely to direct to well-performing experts.
3.5.1. One-versus-Rest Surrogate
The derived rules from a decision tree as surrogate have no rule overlap; i.e., no pair of rules is true at the same time. While this is a desired property due to having no ambiguities, it also has potential drawbacks: No matter what query is presented to the process, there will always be some partial overlap as every query starts at the head of the tree, hence sharing at least one common test. This reduces the flexibility and versatility of the resulting set of rules. However, rule overlaps and partial rule overlaps are not desirable as emerging rules will become too similar. In practice, it is worth sacrificing the first property to obtain more diverse rules by minimizing partial overlap. This is achieved by training one surrogate for each expert as follows. The k-th surrogate will learn to model the assignment process relative to the k-th expert in a binary fashion (one-versus-rest strategy, OvR). Effectively, each of the k surrogates is presented with a binary-labeled dataset where the value 1 represents (and 0 otherwise). It learns to decide if the k-th model should be used in predicting a given query. If appropriate, the k-th expert is assigned (i.e., its decision path is followed). Otherwise, no assignment is made (i.e., the expert is not taken into account). A visual example of a scenario using two surrogates is shown in Figure 5. Note that using OvR in a scenario with two experts is equivalent to using exactly one surrogate as the labels that are presented to both surrogates are the inverse of each other.
Figure 5.
Exemplified LoE instance containing two experts ( and ) with A being replaced by two decision trees (surrogates). Note that this example is only illustrative as the surrogates would be inverse instances to each other in a 2-expert scenario.
Since the labels are different for each expert when using more than two experts, each surrogate is trained on a different dataset. Hence, each of them learns different structures, in particular because decision trees are sensitive to the input, ultimately resulting in more diverse and potentially simpler rules. When using surrogates instead of the original assignment function, the process may not always be captured perfectly since the assignment function itself may be arbitrarily complex, whereas the surrogate’s complexity may be limited or not be able to fully model the original function. Therefore, it can happen that none or several of the n surrogates are assigned an expert to the query.
3.5.2. Query Strategy
The problem of overlapping rules and uncovered queries potentially occurring in decision sets created by OvR is still to be resolved. This is done by mimicking human thinking. For competing rules, the rule giving the best overall result is chosen. If no rule applies, the best-fitting one is chosen. Formally, let be the training dataset and a decision rule (e.g., positive class). If is the number of data points to which is applicable, the rule’s coverage is defined as . The number of covered points correctly classified by is , so that the rule’s precision is . Rules are assigned to a query as follows:
- 1.
- Rank rules by descending precision (and coverage on tie).
- 2.
- Assign to the covering rule with the lowest rank.
- 3.
- If no rule covers , return the rule with the highest fraction of clauses being evaluated as “true” (partial rule coverage) with preference given to the rule with higher precision on ties.
This approach, particularly step 3, is possible only because RuleLoE is a multiclass rule learner. It is not applicable to approaches learning only one positive class, including algorithms such as RIPPER, CN2, or BRCG. Consequently, the latter might produce fewer rules but less data insights.
In conclusion, the proposed League of Experts algorithm and its framework reaches out to an audience seeking to apply, develop, and evaluate explainable artificial intelligence by providing the necessary tools. These are available at the project page of LoE and its repository. The project page of the League of Experts (LoE) framework can be found via its repositories under https://github.com/Mereep/loe, https://github.com/Mereep/rule_loe, and https://github.com/Mereep/HDTree, accessed on 2 April 2024.
4. Test Results, Evaluation, and Discussion
In the following sections, we exemplify the utilization of the League of Experts algorithm and its methodology given two different datasets from medicine and finance, the UCI breast cancer dataset and the HELOC dataset. Medicine and finance are two critical domains for the application of explainable models as the decision process may have strong implications. For example, in medicine, a patient’s treatment can be evaluated, adjusted, or justified. In the domain of finance, aspects of accountability and discrimination are to be considered when, for example, credits are to be approved. Therefore, two comprehensive experiments are conducted and analyzed as follows: First, LoE is applied and the effect of feature space reduction is studied (Section 3.3.1). Second, LoE is transformed into RuleLoE, whose explainability and performance are compared with alternative rule learners and black box models (Section 4.2) and commonly known ensemble learners. Subsequently, an in-depth analysis of decision rules is performed on the HELOC dataset. Additionally, we conducted a series of experiments on a collection of datasets from the KEEL dataset repository using a static model setting to allow for a performance-level overview. Following, we provide a dataset overview.
- Example dataset 1: UCI breast cancer
The UCI breast cancer dataset (UCI breast cancer dataset, https://archive.ics.uci.edu/ml/datasets/Breast+Cancer+Wisconsin+(Diagnostic), accessed on 2 April 2024) [58] contains 569 data points with 32 real-valued attributes, describing the characteristics of cell nuclei found in digitized images of a fine-needle aspirate of breast mass, including information on, e.g., mean radius, worst perimeter, or smoothness of the contour. Data points are classified as malignant or benign.
- Example dataset 2: HELOC
The HELOC dataset, used in the FICO Explainable Machine Learning Challenge (HELOC dataset, https://community.fico.com/community/xml, accessed on 2 April 2024) and different applications of explainable AI [38,59,60], describes the credit history of individuals (9872 after removing identical entries), which are characterized by 23 metric features. The risk of default is categorized as good or bad if the individual had overdue payments for at least 90 days during a 24-month period.
- Example dataset 3: KEEL
The KEEL dataset repository (Knowledge Extraction based on Evolutionary Learning) is a dataset that “aims at providing to the machine learning researchers a set of benchmarks to analyze the behavior of (...) learning methods” [61]. KEEL contains various datasets of different properties. For this work, we chose a subset of the repository using medium-sized datasets with a size between 5000 and samples (Table 1).
Table 1.
Overview of our selected subset of the KEEL dataset with sample sizes between 5000 and samples.
- Used Software
All implementations were developed in Python (Python project page, https://www.python.org, accessed on 2 April 2024, version 3.8). The package scikit-learn (scikit-learn project page, https://scikit-learn.org, accessed on 2 April 2024, version 0.22.2.post1) was used for our experiments with random forests, gradient boosting, extra trees, AdaBoost, support vector classifiers (SVC), and multilayer perceptrons (MLP). The repositories Wittgenstein (Wittgenstein project page, https://github.com/imoscovitz/wittgenstein, accessed on 2 April 2024, version 0.1.6) and AIX360 (AI Explainability 360) [54] (AIX360 project page, https://github.com/IBM/AIX360, accessed on 2 April 2024, version 0.2.0) were used for RIPPER and BRCG, respectively.
4.1. Feature Space Reduction
The amount of features affects the assignment of the surrogate model h and the updates of the expert territories’ center points. In this case, the surrogate model is a decision tree. Intuitively, the surrogate’s complexity reduces with fewer features while becoming more accurate in the sense of approximating LoE’s assignment function A.
For our experiments, the datasets are split into training data and test data. The family of surrogates consists of decision trees of maximum depth 6. LoE’s structure is fixed to an ensemble of experts from the class of decision trees with maximum depth 3. However, the number of features retained by the projections varies between 10 and 100% in 5% increments ( with ). For each r, LoE is trained and evaluated over 20 runs. For these runs, different training and test data partitions are employed, which are repeatedly used for every value of r. The test and training accuracies, the average length of the surrogates’ decision trees h, and the assignment performance (i.e., the level of the surrogate’s agreement with LoE’s assignment function) are obtained.
The feature importance is calculated via (17) with weights (Equation (16)) and geometric decay (Equation (17)). The parameters themselves were not optimized. The surrogates’ decision rules were not simplified by merging.
- Test Results
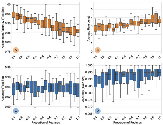
For the UCI breast cancer dataset, LoE with three experts slightly overfits the training data as seen from comparing the training with the test accuracy (Figure 6, comparison of C and D). The former results in almost 100% accuracy, while the latter is close to 94% accuracy. We surmise that it would be advisable to remove one of the experts or to constrain them.
Figure 6.
UCI breast cancer dataset results. Shown are paired box plots with their proportions of retained features over 20 runs for (A) assignment accuracy (), measured on test data, (B) average rule/path length, (C) accuracy for the test data, and (D) accuracy for the train data.
Feature reduction strongly influences the complexity and quality of the surrogate model. As shown in Figure 6A,B, the average rule length (average weighted path length) has a significant positive correlation with the amount of features (Pearson’s test: , ), while showing a significant negative correlation with the assignment accuracy (surrogate’s level of agreement with ; , ).
Similar results are obtained for the FICO data (Figure 7). The accuracy is lower with both the training and the test dataset. However, the effect of overfitting is similar to the UCI dataset (Figure 7C,D). However, feature reduction has an even stronger effect, whereas the rule length has a stronger positive correlation with the amount of features (, ). A stronger negative correlation with the assignment accuracy is observable (, ). The strong correlations underline the importance of exploring the optimal dimensionality for feature space reduction. When retaining more than 35% of the attributes, the average rule length quickly approaches the maximum admissible length of 6 imposed by the surrogate family. This trend suggests that the derived decision rules would become more complex if they were allowed to; i.e., the surrogate would tend to overfit .
Figure 7.
FICO dataset results. Shown are paired box plots with their proportions of retained features over 20 runs for (A) assignment accuracy (), measured on test data, (B) average rule/path length, (C) accuracy for the test data, and (D) accuracy for the train data.
4.2. Rule Set Generation with RuleLoE
The properties of RuleLoE (Section 3.5) concerning (i) explainability (average rule length, ⌀ rules, and # rules), (ii) faithfulness (rule coverage), and (iii) accuracy are compared with alternative rule set learners, in particular with (1) RIPPER [36] (despite its age still state of the art; see [46] (p. 52) and [38]), (2) Boolean decision rules via column generation (BRCG) [38], and (3) classical CART decision trees. In terms of accuracy, RuleLoE is compared with two black box models, namely, SVC and MLP, using, if not noted otherwise, standard configurations.
As LoE is a form of ensemble learning, we furthermore compared LoE with a set of different well-known ensemble learners, namely, random forest, gradient boosting, extra trees, and AdaBoost, to allow for a more comparative analysis. As tree-based ensemble methods possess a notion of ensemble size and and maximum tree depth analogous to LoE, we trained two versions each: default and adjusted. Default refers to the algorithm having default hyperparameter settings. The adjusted versions diverge from the default by setting the ensemble size and the maximum tree depth to match LoE’s parameterization. Our default ensemble configurations as pairs of ensemble size and max tree depth are as follows:
- Random forest: 100/∞
- Gradient boosting: 100/3
- Extra trees: 100/∞
- AdaBoost: 50/1
At this point, it is also noted that, technically, default AdaBoost only learns decision stumps, i.e., trees with a maximum depth of one. Although the employed ensemble learners are using decision trees, the ensemble methods cannot easily be used for explanations as their results must be blended in the final stage. Especially using default hyperparameters, the models produce very big ensembles, which essentially renders them to black box models.
4.2.1. UCI Breast Cancer Dataset
A LoE ensemble of decision trees with a maximum depth of 1 level and surrogate trees of a maximum depth of 2 with a feature reduction to attributes was initially used. After training, one expert having a small territory was manually removed.
The complexity of rules differs substantially between the algorithms with no clear pattern emerging. RIPPER and BRCG focus on a single class to determine rules (positive or negative), whereas LoE and CART incorporate both classes, influencing complexity and performance. Consequently, coverage is lower for RIPPER and BRCG as they assign fewer data points to a rule. Coverage of decision trees (CART) shows 100% accuracy as every query has a valid rule down to the leafs. Here, RuleLoE’s performance is competitive with the other models—including the black box models. Glass box models were furthermore outperformed in terms of test accuracies (Table 2). None of the evaluated algorithms outperform in each other in all categories. In this case, there is no advantage to prefer black over glass box models.
Table 2.
UCI breast cancer results. Shown are the number of rules (# rules), their average length (⌀ rules), rule coverage, and (test/training) accuracies. Italic values for RIPPER and BRCG specify the learned positive class. Our found hyperparameters in Python notation using grid search are (CART, post pruning); and (MLP).
4.2.2. FICO Dataset
A LoE ensemble with experts with a maximum depth of 1 and surrogate decision trees with a maximum depth of 2 retaining features was initially used. One expert was manually augmented to two levels as one of its leaves was assigned too many data points with very low purity (i.e., skewed class distribution).
RIPPER and CART learn a large amount of rules without achieving a higher accuracy (Table 3), whereas RIPPER shows slightly worse results. CART also learned complex rules. Interestingly, BRCG (positive class bad) learns exactly one short rule (Predict y=bad if: ExternalRiskEstimate < 73), which performs well (Table 3). Naturally, ExternalRiskEstimate is a relevant predictor for the credit rating as it is a composition of risk markers scoring the risk by an (undisclosed) functional relationship. Hence, BRCG’s simple for rule determining the credit score is based on a hard threshold that is intransparent to outsiders. This is different for RuleLoE, leading to the following rules (Figure 8).
Table 3.
FICO dataset results. Shown are the number of rules (# rules), their average length (⌀ rules), rule coverage, and (test / training) accuracies. Italic values for RIPPER and BRCG specify the learned positive class. Our found hyperparameters using grid search are (CART, post pruning); (MLP).
Figure 8.
FICO dataset results. Shown are the obtained rules via RuleLoE.
Some of these rules could be further merged, e.g., rules (3) and (5). However, the decisions naturally also involve the same nontransparent attribute ExternalRiskEstimate. Unlike BRCG, however, we gather some further information. If the attribute ExternalRiskEstimate has no clear indication of a good or a bad credit score (≥76 or <70, respectively), the attribute is disputable and the decision is based on two transparent attributes. Individuals are considered to have a good credit score if they appear on average more than 54 months in files and their last credit inquiry dates back by more than 1 month. Concretely, a credit score is good if . Otherwise, it is considered bad.
These more insightful rules of RuleLoE are less complex than the alternatives with the single exception of BRCG with the positive class bad, which can lead to a slightly improved performance (Table 2). Consequently, black box models are, in general, not superior to glass box models in terms of their accuracy given our evaluated test cases, whereas the SVC shows only a slightly higher accuracy than the other models. Considering all aspects, RuleLoE outperformed the other methods as it contributes to knowledge discovery by providing simple and interpretable decision rules, thereby leveraging explainability.
4.2.3. The KEEL Dataset
For all KEEL-based experiments, we used a LoE ensemble of three experts with a maximum depth of 2. This restricted configuration was selected to prioritize the generation of succinct and interpretable rule systems, aligning with the research’s emphasis on explanation-focused outcomes. The data were divided using a split for training and testing purposes. For a comparative analysis, a random forest classifier was again evaluated, adhering to identical ensemble size and tree depth constraints (see Table 4). Despite no dataset-specific fine-tuning being conduced, LoE demonstrates a reasonably good performance. Some of our experiments show a low assignment accuracy (e.g., for the data subsets marketing and texture) and, consequently, yield a RuleLoE with significantly less performance. This effect might be attributed to an insufficient depth of the related assignment trees or an insufficient feature reduction. The data subsets marketing, optdigits, and texture, which show an overall suboptimal performance, feature many classes (Table 1). Those cannot be fully expressed by trees having two levels of depth, naturally leading to misclassifications. On average, LoE and RuleLoE surpass the random forest classifier in accuracy, underscoring the possible benefits of LoE in producing interpretable and efficient rule-based systems within the constraints of the experimental setup. Therefore, future investigations should also address these observed distinctions in more detail, for which further models should be investigated.
Table 4.
Test results for the KEEL dataset, comparing the accuracy of LoE, a derived RuleLoE, and a random forest classifier as pairs of train/test accuracies. Additionally, the number of rules and their average length is reported. Best average results are highlighted in bold.
5. Conclusions and Outlook
In this contribution, we introduced the League of Experts (LoE) framework within the context of explainable artificial intelligence and machine learning (XAI/XML). LoE is a particular instance of an ensemble learner that combines surrogate models in order to leverage explainability and possibilities for human interaction. Moreover, LoE is accompanied by RuleLoE, a derived rule set learner. By choosing the ensemble members—the experts—from a class of glass box models, LoE itself becomes a glass box model, which, as demonstrated, is competitive in performance to existing glass and black box models. Importantly, feature space reductions can be incorporated into the training process of LoE, reducing the complexity of derived explanations. This is contrary to existing methods that navigate through a high-dimensional feature space. Additionally, we would like to address hyperparameter optimization, in terms of both sound default values and the automatic tuning of ensemble members based on the provided dataset and training performance.
Consequently, many possibilities to improve LoE and RuleLoE have yet to be further explored in regard to usability, performance, and presentation. Within our experiments, LoE was based on decision trees. However, LoE is not limited to them. Different models may be able to capture different attribute distributions, whereas a combination of different models might capture more complex distributions while furthermore retaining explainability. To guarantee the applicability of these methods, possibilities for user interaction (e.g., cutting nodes from decision trees, white- or blacklisting specific attributes to specific experts, or removing individual rules from RuleLoE) have to be integrated into accessible user interfaces, for which user studies will have to be conducted. Such an interface ideally facilitates the integration of intuitive human understanding of a concrete application into the corresponding machine learning pipeline. Proper user interactivity potentially reduces hidden biases and improves causal decision mining. This introduction into the LoE framework is hence a starting point for future developments.
Author Contributions
R.V., K.A.S., and T.S. conducted this contribution’s writing process and the related research project’s implementation and evaluation with the help of R.M. in typesetting and finalizing this manuscript. R.V., K.A.S., and T.S. designed this contribution, whereas M.R., M.V., M.E., and K.A.S. designed and supervised the related research project. All authors have read and agreed to the published version of the manuscript.
Funding
This study was carried out in the group of junior scientists “Agile Publika”, which is funded by the European Social Fund (ESF) and the Free State of Saxony, Germany. The work of Kristan Alexander Schneider was partially performed within the DFG project “SCH 1480/2-1”.
Institutional Review Board Statement
Not applicable.
Informed Consent Statement
Not applicable.
Data Availability Statement
The project page of the League of Experts (LoE) framework can be found via its repositories under https://github.com/Mereep/loe, https://github.com/Mereep/rule_loe, and https://github.com/Mereep/HDTree, accessed on 2 April 2024. Our used datasets are available with their related publications (see also Section 4).
Conflicts of Interest
The authors declare no conflicts of interest.
Abbreviations
The following abbreviations are used in this manuscript:
| ANN | artificial neural network |
| BRCG | Boolean decision rules via column generation |
| CART | classification and regression trees algorithm |
| DCS | dynamic classifier selection |
| DES | dynamic ensemble selection |
| DS | dynamic selection |
| DSEL | split of training data used in some MCS algorithms |
| ICE | individual conditional expectation plots |
| k-NN | k-nearest neighbors |
| LoE | League of Experts |
| MCS | multiple classifier system |
| ML | machine Learning |
| MLP | multilayer perceptron |
| OvR | one-versus-rest |
| PDP | partial dependence plots |
| RuleLoE | League of Experts rule set learner |
| SVC | support vector classifier |
| SVM | support vector machine |
| TreeSHAP | decision-tree-based SHAP |
| XAI | explainable artificial intelligence |
| XML | explainable machine learning |
References
- Maurer, M.; Gerdes, J.C.; Lenz, B.; Winner, H. Autonomous Driving; Springer: Berlin/Heidelberg, Germany, 2016. [Google Scholar]
- Haynes, R.B.; Wilczynski, N.L. Effects of computerized clinical decision support systems on practitioner performance and patient outcomes: Methods of a decision-maker-researcher partnership systematic review. Implement. Sci. IS 2010, 5, 12. [Google Scholar] [CrossRef] [PubMed]
- Bennett Moses, L.; Chan, J. Algorithmic prediction in policing: Assumptions, evaluation, and accountability. Polic. Soc. 2018, 28, 806–822. [Google Scholar] [CrossRef]
- Goodman, B.; Flaxman, S. European Union regulations on algorithmic decision-making and a “right to explanation”. AI Mag. 2017, 38, 50–57. [Google Scholar] [CrossRef]
- Deeks, A. The Judicial Demand for Explainable Artificial Intelligence. Columbia Law Rev. 2019, 119, 1829–1850. [Google Scholar]
- Doshi-Velez, F.; Kortz, M.; Budish, R.; Bavitz, C.; Gershman, S.; O’Brien, D.; Schieber, S.; Waldo, J.; Weinberger, D.; Wood, A. Accountability of AI Under the Law: The Role of Explanation. arXiv 2017, arXiv:1711.01134. [Google Scholar] [CrossRef]
- Rudin, C. Stop explaining black box machine learning models for high stakes decisions and use interpretable models instead. Nat. Mach. Intell. 2019, 1, 206–215. [Google Scholar] [CrossRef] [PubMed]
- Swartout, W.; Paris, C.; Moore, J. Explanations in knowledge systems: Design for explainable expert systems. IEEE Expert 1991, 6, 58–64. [Google Scholar] [CrossRef]
- Paris, C.L. Generation and explanation: Building an explanation facility for the explainable expert systems framework. In Natural Language Generation in Artificial Intelligence and Computational Linguistics; Springer: Berlin/Heidelberg, Germany, 1991; pp. 49–82. [Google Scholar]
- Confalonieri, R.; Coba, L.; Wagner, B.; Besold, T.R. A historical perspective of explainable Artificial Intelligence. Wiley Interdiscip. Rev. Data Min. Knowl. Discov. 2021, 11, e1391. [Google Scholar] [CrossRef]
- Longo, L.; Brcic, M.; Cabitza, F.; Choi, J.; Confalonieri, R.; Del Ser, J.; Guidotti, R.; Hayashi, Y.; Herrera, F.; Holzinger, A.; et al. Explainable artificial intelligence (XAI) 2.0: A manifesto of open challenges and interdisciplinary research directions. arXiv 2023, arXiv:2310.19775. [Google Scholar]
- Markus, A.F.; Kors, J.A.; Rijnbeek, P.R. The role of explainability in creating trustworthy artificial intelligence for health care: A comprehensive survey of the terminology, design choices, and evaluation strategies. J. Biomed. Inform. 2021, 113, 103655. [Google Scholar] [CrossRef]
- Zini, J.E.; Awad, M. On the explainability of natural language processing deep models. ACM Comput. Surv. 2022, 55, 1–31. [Google Scholar] [CrossRef]
- Band, S.S.; Yarahmadi, A.; Hsu, C.C.; Biyari, M.; Sookhak, M.; Ameri, R.; Dehzangi, I.; Chronopoulos, A.T.; Liang, H.W. Application of explainable artificial intelligence in medical health: A systematic review of interpretability methods. Inform. Med. Unlocked 2023, 40, 101286. [Google Scholar] [CrossRef]
- Ali, S.; Abuhmed, T.; El-Sappagh, S.; Muhammad, K.; Alonso-Moral, J.M.; Confalonieri, R.; Guidotti, R.; Del Ser, J.; Díaz-Rodríguez, N.; Herrera, F. Explainable Artificial Intelligence (XAI): What we know and what is left to attain Trustworthy Artificial Intelligence. Inf. Fusion 2023, 99, 101805. [Google Scholar] [CrossRef]
- Crook, B.; Schlüter, M.; Speith, T. Revisiting the performance-explainability trade-off in explainable artificial intelligence (XAI). In Proceedings of the 2023 IEEE 31st International Requirements Engineering Conference Workshops (REW), Hannover, Germany, 4–5 September 2023; IEEE: Piscataway, NJ, USA, 2023; pp. 316–324. [Google Scholar]
- Hastie, T.; Tibshirani, R.; Friedman, J.; Franklin, J. The elements of statistical learning: Data mining, inference and prediction. Math. Intell. 2005, 27, 83–85. [Google Scholar]
- Cruz, R.M.O.; Sabourin, R.; Cavalcanti, G.D.C. Dynamic classifier selection: Recent advances and perspectives. Inf. Fusion 2018, 41, 195–216. [Google Scholar] [CrossRef]
- Breiman, L. Bagging predictors. Mach. Learn. 1996, 24, 123–140. [Google Scholar] [CrossRef]
- Guidotti, R.; Monreale, A.; Ruggieri, S.; Turini, F.; Giannotti, F.; Pedreschi, D. A survey of methods for explaining black box models. ACM Comput. Surv. (CSUR) 2018, 51, 1–42. [Google Scholar] [CrossRef]
- Adadi, A.; Berrada, M. Peeking inside the black-box: A survey on explainable artificial intelligence (XAI). IEEE Access 2018, 6, 52138–52160. [Google Scholar] [CrossRef]
- Loyola-Gonzalez, O. Black-box vs. white-box: Understanding their advantages and weaknesses from a practical point of view. IEEE Access 2019, 7, 154096–154113. [Google Scholar] [CrossRef]
- Bodria, F.; Giannotti, F.; Guidotti, R.; Naretto, F.; Pedreschi, D.; Rinzivillo, S. Benchmarking and survey of explanation methods for black box models. Data Min. Knowl. Discov. 2023, 37, 1719–1778. [Google Scholar] [CrossRef]
- LeCun, Y.; Bengio, Y.; Hinton, G. Deep learning. Nature 2015, 521, 436. [Google Scholar] [CrossRef]
- Canziani, A.; Paszke, A.; Culurciello, E. An Analysis of Deep Neural Network Models for Practical Applications. arXiv 2016, arXiv:1605.07678. [Google Scholar]
- Drucker, H.; Burges, C.J.C.; Kaufman, L.; Smola, A.J.; Vapnik, V. Support vector regression machines. In Proceedings of the Advances in Neural Information Processing Systems, Denver, CO, USA, 2–5 December 1996; pp. 155–161. [Google Scholar]
- Freund, Y.; Schapire, R.E. A Decision-Theoretic Generalization of On-Line Learning and an Application to Boosting. J. Comput. Syst. Sci. 1997, 55, 119–139. [Google Scholar] [CrossRef]
- Breiman, L. Random Forests. Mach. Learn. 2001, 45, 5–32. [Google Scholar] [CrossRef]
- Breiman, L.; Friedman, J.H.; Olshen, R.A.; Stone, C.J. Classification And Regression Trees; Routledge: London, UK, 2017. [Google Scholar]
- Das, A.; Rad, P. Opportunities and challenges in explainable artificial intelligence (xai): A survey. arXiv 2020, arXiv:2006.11371. [Google Scholar]
- Hassija, V.; Chamola, V.; Mahapatra, A.; Singal, A.; Goel, D.; Huang, K.; Scardapane, S.; Spinelli, I.; Mahmud, M.; Hussain, A. Interpreting black-box models: A review on explainable artificial intelligence. Cogn. Comput. 2024, 16, 45–74. [Google Scholar] [CrossRef]
- Altman, N.S. An Introduction to Kernel and Nearest-Neighbor Nonparametric Regression. Am. Stat. 1992, 46, 175–185. [Google Scholar] [CrossRef]
- Friedman, N.; Geiger, D.; Goldszmidt, M. Bayesian Network Classifiers. Mach. Learn. 1997, 29, 131–163. [Google Scholar] [CrossRef]
- Lakkaraju, H.; Bach, S.H.; Leskovec, J. Interpretable Decision Sets: A Joint Framework for Description and Prediction. In Proceedings of the 22nd ACM SIGKDD International Conference on Knowledge Discovery and Data Mining, New York, NY, USA, 13–17 August 2016; KDD ’16. pp. 1675–1684. [Google Scholar]
- Clark, P.; Niblett, T. The CN2 Induction Algorithm. Mach. Learn. 1989, 3, 261–283. [Google Scholar] [CrossRef]
- Cohen, W.W. Fast Effective Rule Induction. In Proceedings of the Twelfth International Conference on Machine Learning, Tahoe City, CA, USA, 9–12 July 1995; Morgan Kaufmann: Burlington, MA, USA, 1995; pp. 115–123. [Google Scholar]
- Yang, H.; Rudin, C.; Seltzer, M. Scalable Bayesian Rule Lists. arXiv 2016, arXiv:1602.08610. [Google Scholar]
- Dash, S.; Gunluk, O.; Wei, D. Boolean Decision Rules via Column Generation. In Advances in Neural Information Processing Systems 31; Bengio, S., Wallach, H., Larochelle, H., Grauman, K., Cesa-Bianchi, N., Garnett, R., Eds.; Curran Associates, Inc.: New York, NY, USA, 2018; pp. 4655–4665. [Google Scholar]
- Ribeiro, M.T.; Singh, S.; Guestrin, C. Why Should I Trust You? Explaining the Predictions of Any Classifier. arXiv 2016, arXiv:1602.04938. [Google Scholar]
- Ribeiro, M.T.; Singh, S.; Guestrin, C. Anchors: High-Precision Model-Agnostic Explanations. In Proceedings of the Thirty-Second AAAI Conference on Artificial Intelligence, New Orleans, LA, USA, 2–7 February 2018. [Google Scholar]
- Lundberg, S.M.; Lee, S. A Unified Approach to Interpreting Model Predictions. In Proceedings of the 31st International Conference on Neural Information Processing Systems, Red Hook, NY, USA, 4–9 December 2017; NIPS’17. pp. 4768–4777. [Google Scholar]
- Molnar, C. Interpretable Machine Learning: A Guide for Making Black Box Models Interpretable; Lulu: Morisville, NC, USA, 2019. [Google Scholar]
- Lundberg, S.M.; Erion, G.G.; Lee, S. Consistent Individualized Feature Attribution for Tree Ensembles. arXiv 2018, arXiv:1802.03888. [Google Scholar]
- Buhrmester, V.; Münch, D.; Arens, M. Analysis of Explainers of Black Box Deep Neural Networks for Computer Vision: A Survey. arXiv 2019, arXiv:1911.12116. [Google Scholar] [CrossRef]
- Arrieta, A.B.; Díaz-Rodríguez, N.; Ser, J.D.; Bennetot, A.; Tabik, S.; Barbado, A.; García, S.; Gil-López, S.; Molina, D.; Benjamins, R.; et al. Explainable Artificial Intelligence (XAI): Concepts, Taxonomies, Opportunities and Challenges toward Responsible AI. Inf. Fusion 2019, 58, 82–115. [Google Scholar] [CrossRef]
- Fürnkranz, J.; Gamberger, D.; Lavrač, N. Foundations of Rule Learning; Springer Publishing Company, Incorporated: Berlin/Heidelberg, Germany, 2014. [Google Scholar]
- Gunning, D. DARPA’s Explainable Artificial Intelligence (XAI) Program. In Proceedings of the 24th International Conference on Intelligent User Interfaces, New York, NY, USA, 16–20 March 2019; IUI ’19. p. ii. [Google Scholar]
- Kotsiantis, S.B. Decision trees: A recent overview. Artif. Intell. Rev. 2013, 39, 261–283. [Google Scholar] [CrossRef]
- Freitas, A.A. Comprehensible classification models. ACM SIGKDD Explor. Newsl. 2014, 15, 1–10. [Google Scholar] [CrossRef]
- Alizadeh, R.; Allen, J.K.; Mistree, F. Managing computational complexity using surrogate models: A critical review. Res. Eng. Des. 2020, 31, 275–298. [Google Scholar] [CrossRef]
- Heider, K.G. The Rashomon effect: When ethnographers disagree. Am. Anthropol. 1988, 90, 73–81. [Google Scholar] [CrossRef]
- Dong, X.; Yu, Z.; Cao, W.; Shi, Y.; Ma, Q. A survey on ensemble learning. Front. Comput. Sci. 2020, 14, 241–258. [Google Scholar] [CrossRef]
- Mienye, I.D.; Sun, Y. A survey of ensemble learning: Concepts, algorithms, applications, and prospects. IEEE Access 2022, 10, 99129–99149. [Google Scholar] [CrossRef]
- Arya, V.; Bellamy, R.K.E.; Chen, P.-Y.; Dhurandhar, A.; Hind, M.; Hoffman, S.C.; Houde, S.; Liao, Q.V.; Luss, R.; Mojsilović, A.; et al. One Explanation Does Not Fit All: A Toolkit and Taxonomy of AI Explainability Techniques. arXiv 2019, arXiv:1909.03012. [Google Scholar]
- Alvarez-Melis, D.; Jaakkola, T.S. Towards Robust Interpretability with Self-Explaining Neural Networks. arXiv 2018, arXiv:1806.07538. [Google Scholar]
- Geurts, P.; Ernst, D.; Wehenkel, L. Extremely randomized trees. Mach. Learn. 2006, 63, 3–42. [Google Scholar] [CrossRef]
- Safavian, S.R.; Landgrebe, D. A survey of decision tree classifier methodology. IEEE Trans. Syst. Man Cybern. 1991, 21, 660–674. [Google Scholar] [CrossRef]
- Street, W.N.; Wolberg, W.H.; Mangasarian, O.L. Nuclear feature extraction for breast tumor diagnosis. In Proceedings of the Biomedical Image Processing and Biomedical Visualization, San Jose, CA, USA, 1–4 February 1993; Volume 1905, pp. 861–870. [Google Scholar]
- Wei, D.; Dash, S.; Gao, T.; Gunluk, O. Generalized Linear Rule Models. In Proceedings of the 36th International Conference on Machine Learning, Long Beach, CA, USA, 9–15 June 2019; Chaudhuri, K., Salakhutdinov, R., Eds.; Proceedings of Machine Learning Research. Volume 97, pp. 6687–6696. [Google Scholar]
- Chen, C.; Lin, K.; Rudin, C.; Shaposhnik, Y.; Wang, S.; Wang, T. An Interpretable Model with Globally Consistent Explanations for Credit Risk. arXiv 2018, arXiv:1811.12615. [Google Scholar]
- Derrac, J.; Garcia, S.; Sanchez, L.; Herrera, F. Keel data-mining software tool: Data set repository, integration of algorithms and experimental analysis framework. J. Mult.Valued Log. Soft Comput. 2015, 17, 255–287. [Google Scholar]
Disclaimer/Publisher’s Note: The statements, opinions and data contained in all publications are solely those of the individual author(s) and contributor(s) and not of MDPI and/or the editor(s). MDPI and/or the editor(s) disclaim responsibility for any injury to people or property resulting from any ideas, methods, instructions or products referred to in the content. |
© 2024 by the authors. Licensee MDPI, Basel, Switzerland. This article is an open access article distributed under the terms and conditions of the Creative Commons Attribution (CC BY) license (https://creativecommons.org/licenses/by/4.0/).

