Abstract
The current work proposes the development of composite membranes based on bacterial cellulose (BC) loaded with silver (Ag) and zinc oxide (ZnO) nanostructures by in situ impregnation. The research involves the production and purification of BC, followed by its loading with different types of phases with the help of different precipitating solutions, turmeric extract (green synthesis) and ammonia (classic route). Additionally, the combination of both antibacterial agents into a single BC matrix to valorise the benefits of each, proposing a novel BC-Ag-ZnO composite with distinct characteristics, was explored. Overall, the synthesis was marked by colour changes from the light beige of the BC membrane to dark brown, dark orange and dark green for BC-Ag, BC-ZnO and BC-Ag-ZnO samples, which is proof of successful composites formation. The results proved that the antibacterial phases are attached as nanoparticles or nanosheets on BC fibres, with Ag being in a crystalline state, while ZnO showed a rather amorphous structure. Regarding the antibacterial efficiency, the BC-ZnO composite obtained by employing two precipitating solutions turned out to be the best material against both tested Gram-negative and Gram-positive bacterial strains.
1. Introduction
The field of wound dressings addresses the pathologies of the largest organ in the human body, the skin, whose role is crucial in several important processes, like sensing, regulating and protecting [1]. The classic and commercial products developed to treat skin damage are made from a variety of materials, such as cotton fabrics, polyurethane foams, polymer membranes, hydrocolloids, hydrogels [2] and, more recently, composites [3]. Composites offer a series of advantages, since they are designed to respond to multiple requirements and restore the physiological functions of the skin in a shorter period and with increased efficiency. Overall, the criteria that should be considered when proposing a new system for such applications refer to temperature, moist and pain management, microbial infection prevention, as well as healing stimulation, with the final aim of minimizing patient discomfort. Moreover, depending on the type and severity of the wound, personalized complex dressings can be manufactured, since combining more materials offers various benefits, each component serving specific purposes. Considering the antimicrobial dressings, usually, they are impregnated or loaded with agents like drugs or nanoparticles to reduce the infection risk at wound site. Such an approach is highly desirable because it stops or at least hinders bacterial colonization and subsequently infection, at the same time speeding up the healing process. In addition to antibiotics, natural oils and honey, the use of particulate phases in the nanometric range as components of different pharmaceutical formulations has led to excellent results [4,5]. Moreover, nanoparticles with photothermal or photodynamic properties have also been tackled to further enhance the bactericidal effect [6]. The future seems to belong to nanoparticle-based smart dressings, systems that address both diagnostic and therapy processes by incorporating stimuli-responsive and self-healing materials [7].
Bacterial cellulose (BC) is a well-known biopolymer, produced through a fermentation process by certain strains of bacteria who convert sugars into cellulose. The obtained material has unique properties, making it suitable for a wide range of fields, like healthcare (wound healing, drug delivery, tissue engineering) [8], filtration [9], food packing [10], electronics [11] and textiles [12]. In terms of structure, BC has a semicrystalline character that can be tuned by controlling the synthesis conditions, while its morphology can be described as a nanofibrillar one, with thin fibres randomly oriented in a self-sustained network of variable thickness, ensuring a high surface area for a potential functionalization. Other important properties are its excellent hydrophilicity, water retention capacity and gas permeability, which are vital when used in contact with living cells. Moreover, its superior flexibility and mechanical strength make it ideal for structural support, its high purity and biocompatibility reduce the risk of allergic reactions and it has obvious sustainability, as it is a renewable resource [13]. Production costs and scalability have been indicated as the main challenges in BC use at an industrial scale. Some studies even suggested that BC can inhibit the growth of certain bacteria. However, most of the research focused on the incorporation of certified antibacterial phases by different methods [14], from simple approaches, like impregnation [15], to advanced techniques, like magnetron sputtering [16]. When BC is composited with nanoparticles, the healing process of a potential wound is improved on the one hand by the capacity of maintaining a moist environment offered by BC and on the other hand by the antibacterial action of the employed agents, improving the overall clinical outcomes and leading to greater patient friendliness [17,18].
Silver (Ag) and zinc oxide (ZnO) nanoparticles are widely recognized as prominent antimicrobial agents, being effective across a wide range of microorganisms and controlling the growth of both Gram-positive and Gram-negative bacteria. Their preparation methods, which involve natural reducing agents, represent an economically viable and ecologically friendly approach and have been increasingly studied in the past years [19,20,21,22]. The antibacterial effect occurs both by way of physical interaction with bacterial cells, which leads to mechanical injury, and chemical interaction, which includes ion release and protein/DNA binding for killing bacteria. The release of Ag+ and Zn2+ ions is detrimental for the cell membrane integrity of bacteria and the normal operation of their intracellular components, causing their death. Another path for attacking bacterial cells is represented by the generation of reactive oxygen species (ROS), this mechanism being better suited for dealing with Gram-positive bacteria [23]. The size, morphology, concentration and surface modifications of such nanoparticles can affect their antibacterial performance, such that smaller particles exhibit higher reactivity due to their larger specific surface area and a higher concentration triggers a better response due to the enhanced action [24].
Jinga et al. [25] deposited in situ Ag nanoparticles on BC membranes using tannic acid as reducing agent and all developed BC-Ag composites showed inhibitory activity against E. coli, the advantages of the proposed method residing in the use of eco-friendly materials and the possibility of obtaining Ag-based composite materials at room temperature in a short reaction time. Another research group [26] fabricated BC-Ag hybrid materials as well, but a TEMPO-mediated oxidation was carried out before Ag nanoparticles precipitation and two distinct reductive reagents (sodium borohydride and sodium citrate) were employed. It was demonstrated that the efficiency of the sodium borohydride-reduced sample is slightly higher and the antibacterial activity against Gram-negative bacteria is better than that against Gram-positive bacteria. Ag nanoparticles were also prepared by a facile green synthesis method on BC fibres, using BC as both a reducing and protecting agent, in an autoclave, without any other chemicals [27]. Such a straightforward technique can be applied to prepare BC-Ag composites with high antimicrobial activity for potential applications in the fields of wound dressings and implant coatings. An innovative in situ strategy was applied by Sarkandi et al. [28] to prepare BC-Ag composites through a one-step, facile, environmentally friendly approach using green tea as both the substrate for the fermentation of bacteria and a reducing agent for the deposition of Ag nanoparticles. The results indicated an excellent antibacterial activity, with 100% bacterial reduction against Gram-positive and Gram-negative bacteria, supporting composite hydrogels as candidates for future wound-healing applications. In another study [29], BC pellicles were impregnated with green-synthesized Ag2O and Ag nanoparticles, employing Moringa oleifera leaf extract as a bioreducing agent. These displayed the same holding capacities as primary BC, as well as excellent antibacterial activity against Gram-positive and Gram-negative bacteria, findings that recommend them for future use as antimicrobial membranes for wound healing treatment.
Hu et al. [30] synthesized ZnO nanoparticles with wurtzite structures by using a BC fibrous matrix as a template and different calcination temperatures. This approach provides an environmentally friendly, simple and efficient technique for the preparation of well-dispersed ZnO nanostructures with a narrow size distribution and high photocatalytic activity. Another study [31] described the fabrication of BC-ZnO composites by immersing BC pellicles in zinc nitrate solutions, followed by treatment with sodium hydroxide. These composites demonstrated high photocatalytic activity under UV irradiation and antibacterial properties against Gram-positive and Gram-negative bacterial strains, being suitable for food packaging or wound-healing applications. BC-ZnO films were also prepared by immersing BC membranes in ZnO suspension under ultrasound irradiation and showed enhanced mechanical properties, but diminished water absorption and water vapor permeability compared to pure BC [32]. The corresponding antibacterial activity against Gram-positive bacteria was more than Gram-negative bacteria. The results suggest that BC-ZnO materials may be used as novel food packaging materials with controlled release of antimicrobial agent. Dinca et al. [33] used matrix-assisted pulsed laser evaporation to decorate BC supports with ZnO nanoparticles in order to determine or modulate both the biocompatibility and antibacterial properties of BC-based materials. BC-ZnO composites exhibited excellent antibacterial activity against Gram-positive and Gram-negative bacteria, as well as good biocompatibility with human dermal fibroblasts cells. Even a very thin layer of ZnO can completely inhibit bacterial growth, without a noticeable effect against eukaryotic cells. Finally, BC-ZnO composites were manufactured by coating a nanolayer of ZnO on BC substrate; first, a seed layer of ZnO was coated on BC fibres, and then the seeded BC substrate was subjected to hydrothermal synthesis [34]. BC-ZnO samples demonstrated impressive microbiostatic and microbicidal efficiencies against Gram-negative bacteria and uni- and pluricellular fungal strains, meaning promising applications in food preservation and microbial filtering.
In this work, bacterial cellulose (BC) membranes were loaded with silver (Ag) and zinc oxide (ZnO) nanostructures by a simple precipitation procedure. The influence of green and classic approaches was assessed, as well as the presence of one or both types of deposited phases on the antibacterial behaviour. The novelty of the study resides in the use of turmeric extract as a precipitating agent, followed by the co-loading attempt for the purpose of synergy, in order to clarify the possible occurrence of a hindering effect between Ag and ZnO phases during precipitation.
2. Materials and Methods
2.1. Materials
The following materials, reagents and solvents were employed for the composites’ synthesis: bacterial cellulose (BC), commercial turmeric powder, silver nitrate (AgNO3, ≥99.8%, Riedel-de Haën, Charlotte, NC, USA), zinc acetate dihydrate (Zn(CH3CO2)2·2H2O, ≥98%, Sigma-Aldrich, Burlington, MA, USA), turmeric extract (TE), ammonium hydroxide (NH4OH, 25%, Sigma-Aldrich, Burlington, MA, USA), ethylic alcohol (C2H5OH, ≥99.8%, Sigma-Aldrich, Burlington, MA, USA) and distilled water (H2O).
2.2. Synthesis Methods
2.2.1. Bacterial Cellulose Production and Purification
Bacterial cellulose (BC) membranes were obtained within the Department of Chemical and Biochemical Engineering of National University of Science and Technology POLITEHNICA Bucharest, using a wild strain of Gluconacetobacter saccharivorans isolated from apple vinegar. The details of BC production were previously described in other papers [35,36]. To inactivate the bacterial cells from BC membranes, these were treated with 0.5 N NaOH aqueous solution at 90 °C and washed several times with distilled water until neutral pH. To obtain the composite materials, BC was used as a wet membrane after being cut into pieces of 1.5 × 1.5 cm2, without any kind of drying between the purification procedure and the stage of loading with nanoparticles.
2.2.2. Turmeric Extract Production
The turmeric extract (TE) was obtained in a Soxhlet apparatus. First, 250 mL ethanol was introduced in a round bottom flask and continuously evaporated, the vapours being condensed and slowly collected in a thimble holder containing 10 g of turmeric powder. When the liquid reached the overflow level, the solution was unloaded in the distillation flask. In this way, the solute accumulated in the bulk liquid, while solvent was again evaporated. Complete extraction was achieved in approximately 3 h. TE was previously characterized by ultra-high-performance liquid chromatography, and the results were integrated into the supplementary material of a published paper [35].
2.2.3. Series 1
The synthesis of BC-Ag-1 composite involved the deposition of Ag nanoparticles on BC matrix using a precursor solution containing Ag+ ions. Five square pieces of BC were immersed in 100 mL of 0.1 M AgNO3 aqueous solution and maintained at 80 °C for 30 min. To promote nanoparticles precipitation, 50 mL TE was then added, followed by vigorous stirring for 30 min. BC membranes underwent a colour change during this process, from light beige to dark brown, indicating the occurrence of a Ag phase. The pieces were afterwards extracted from the suspension, washed several times with distilled water until the water pH became neutral and dried in controlled conditions (stored and pressed between paper sheets at 100 °C for 24 h) to obtain flat surfaces.
The synthesis of the BC-ZnO-1 composite involved the incorporation of ZnO nanoparticles into the BC matrix starting from a precursor solution containing Zn2+ ions, namely 100 mL of 0.1 M Zn(CH3CO2)2·2H2O aqueous solution. To further induce nanoparticles precipitation, the approach formerly described was repeated. BC membranes underwent a colour change from light beige to dark orange, demonstrating the emergence of a new phase, probably ZnO. BC has a porous structure, and the existence of many hydroxyl groups on its surface provides an effective interaction between BC chains and Zn2+ ions.
To combine the benefits of both BC-ZnO and BC-Ag composites, a procedure involving the simultaneous addition of Ag and ZnO nanoparticles to BC matrix was established. The synthesis of BC-Ag-ZnO-1 sample followed the procedure detailed above, the only difference being in the composition of the precursor solution, which contained both AgNO3 and Zn(CH3CO2)2·2H2O in equal proportions and a total concentration of salts equal to that previously employed. BC membranes underwent a colour change from light beige to dark green, indicating the occurrence of new phases.
2.2.4. Series 2
In the second type of experiments, the concentration of the precursor solutions was raised from 0.1 to 0.5 M with the aim of increasing the quantity of precipitated materials and subsequently improving the antibacterial response of the composites. To promote nanoparticles precipitation, 50 mL of TE and 5 mL of ammonia were added, the second precipitating agent being employed in order to ensure a high yield deposition of nanoparticles at the surface of BC fibres. Otherwise, the same experimental conditions were maintained. BC membranes suffered the same colour changes as in the case of the first series, showing the synthesis of BC-Ag-2, BC-ZnO-2 and BC-Ag-ZnO-2 composites.
2.3. Characterization Methods
Scanning electron microscopy (SEM) coupled with energy-dispersive X-ray spectroscopy (EDX) was used to visually assess the surface morphology of BC composites and to conduct an elemental analysis for confirming the presence of Ag, Zn and other potential contaminating elements. A FEI Quanta Inspect F (FEI Company, Hillsboro, OR, USA) microscope equipped with an EDX probe was used, the samples being coated with a thin layer of gold by DC magnetron sputtering for 60 s before investigation. The operating conditions were as follows: 30 kV accelerating voltage, 3.5 spot size and 10 cm working distance. This combination provides a powerful tool for checking the size, distribution and aggregation of nanoparticles on BC fibres.
Fourier transform infrared spectroscopy (FTIR) was used to measure the infrared absorbance of the samples as a function of wavenumber, with the aim of characterizing the chemical composition of BC composites, as well as the possible interactions between the deposited nanoparticles and BC matrix. Thermo Scientific Nicolet iS50 (Thermo Fisher Scientific, Waltham, MA, USA) model spectrometer was employed, recording in 400–4000 cm−1 wavenumber range, with 4 cm−1 resolution and 32 scans/sample. Attenuated total reflection (ATR) mode did not involve any kind of sample preparation. Through absorption spectra, the presence of ZnO and Ag nanoparticles in BC membranes was estimated, due to the occurrence of changes in the existing bonds.
X-ray diffraction was used to study the crystal structure of Ag and ZnO nanoparticles within BC membranes. Shimadzu XRD 6000 equipment (Shimadzu Corporation, Kyoto, Japan) in Bragg–Brentano geometry, with Ni-filtered Cu Kα radiation (λ = 1.54 Å), was used. The crystalline phases and their structure were determined, with a general evaluation of the crystallites’ size. The working protocol involved the following parameters: 10–70° 2θ range, 2°/min scan speed, 0.02° step size and 0.6 s preset time. Thus, it is possible to understand how the synthesis conditions trigger the structural properties of the components and, subsequently, the performance of the corresponding applications.
The samples were tested in terms of swelling by immersion in distilled water and weight checks at 24 h. The process started with a dried sample, which was then completely immersed in distilled water at room temperature. After the predefined interval, the sample was removed from the liquid. During extraction, excess water was carefully removed from the surface. The accurate weight of the samples was measured to evaluate the changes due to the swelling process. The swelling degree (SD) was calculated by reference to the initial mass, according to Equation (1):
where m24h is the weight of the sample after 24 h of immersion in distilled water (g) and mi is the initial weight of the sample before immersion in distilled water (g). The evaluation was performed in triplicate.
When it comes to the antibacterial activity, the following microorganisms were analysed: Gram-negative bacteria Escherichia coli (DH5K strain from the collection of microorganisms of the Bioreactor Laboratory, FICBi) and Gram-positive bacteria Bacillus subtilis spizizenii nakamura (ATCC 6633). The culture medium was nutrient agar (NA), a general-purpose nutrient medium used for the cultivation of nutritionally undemanding microorganisms. The composition of NA is as follows: 0.5% peptone, 0.3% beef extract/yeast extract, 0.5% NaCl and 1.5% agar. The pH was adjusted to neutral (7.4) at 25 °C. The culture medium was sterilized by autoclaving at 121 °C for 20 min and then it was poured into Petri dishes. The plates were inoculated with 0.1 mL of bacterial suspension (optical density at 600 nm of inoculum was 0.625 for E. coli and 0.452 for B. subtilis) by the depletion inoculation technique. The plates were left for about 1 h in the oven with controlled humidity, so that the bacterial suspension was uniformly impregnated in the medium and there was no excess liquid on the plate. The antibacterial activity of the films was tested using the modified agar disc method (M-ADM) adapted for the diffusion of compounds with antimicrobial activity from films specially constructed to be loaded with such compounds. Films were cut into 6 mm punch-sized holes by using a paper puncher. The samples were sterilized under UV (256 nm) for 30 min and then aseptically placed on the surface of the medium in the Petri dishes. They were incubated for at 37 °C for 24 h. The result of the antimicrobial activity was expressed as the zone of inhibition (IZ), and it is represented by the clear zone that differentiates around the sample with the active substance. The antibacterial activity of each sample was tested in triplicate.
3. Results and Discussion
3.1. Material Characterization
The SEM images from Figure 1a,b reveal the aspect of pristine BC membrane, as a dense network of fibrous elements that cross each other, randomly and evenly distributed, which can contribute to uniform mechanical properties. The fibre length is particularly long, but we were not able to measure them because of the way they are packed; however, they appear to be uniform in thickness across the different areas, without bacterial debris from the production step. At higher magnification, it can be observed that the diameter remains below 20 nm and individual features become more prominent, namely the smooth surface of the BC sample (Figure 1b) and the rough surfaces of BC-Ag-1 and BC-ZnO-1 composites (Figure 1d,f). More specifically, BC-Ag-1 shows some signs of Ag nanoparticles deposition, which arise as confined clusters having dimensions between 50 and 300 nm, approximately. In the case of BC-ZnO-1, ZnO nanoparticles were found to be well-dispersed, without too much crowding, indicating that ZnO is quite homogeneously distributed within the fibrous matrix, exhibiting sizes of around 50 nm. The combination of Ag and ZnO resulted in complex morphologies for the BC-Ag-ZnO-1 sample (Figure 1h), which suggests possible interactions at atomic scale level between the ions found in the precursor solution and possibly at nanoscale between the nanoparticles that crystallise and grow on the membrane fibres. Overall, the morphology seems to be a combination of the first two, with individual particles and small clusters. In terms of nanoparticles’ spatial distribution and long-range homogeneity, Figure 1c,e,g highlight the appearance of the BC surface after the precipitation procedures, that is, areas of different dimensions where the new phases are anchored to the fibres, resulting in a bumpy morphology, which is coarser in the case of Ag but finer and laced in the case of ZnO and their combination. In conclusion, Ag seems to be more prone to precipitation in the presence of TE, with its particles showing a higher crystal growth and an agglomeration tendency, while the presence of both types of ions in the precursor solution hinders this process.

Figure 1.
SEM images of the samples from series 1: (a,b) BC, (c,d) BC-Ag-1, (e,f) BC-ZnO-1 and (g,h) BC-Ag-ZnO-1.
When using Moringa oleifera leaf extract for the green synthesis of Ag nanoparticles and subsequent impregnation on BC membranes by immersion in Ag nanoparticle suspensions, the results confirmed the obtaining of particles at nanoscale, with an average size ranging from 24 to 40 nm [29]. Compared to our work, in which both the concentration of the Ag+-containing precursor solution and working temperature were higher but the particles were smaller (~10 nm, Figure 1d), the reported outcomes are intriguing. A possible explanation could start from the concentration of leaf extract or the fact that Ag nanoparticles were prepared separately in aqueous medium, without any constraints imposed by the 3D architecture of BC. Ag nanoparticles with sizes in the rage 5–12 nm, either as individual particles or aggregates, were photochemically deposited onto BC membranes from very diluted solutions (10−2–10−4 M) [37]. In another study [38], BC single-network and BC–calcium alginate double-network films were employed as templates to synthesize Ag nanoparticles in situ by the facile method of UV irradiation. The Ag content of these composites was around 1–2%, with the denser microstructure of the single network retarding Ag+ ions’ penetration into the inner zone of the film. In both cases, TEM investigation revealed average particle sizes around 25 nm, which seems to be a bit larger than the dimension achieved in the present work, probably because UV radiation stimulates the growth process of particles by locally delivering an important amount of energy.
The green synthesis of ZnO nanoparticles using Aloe vera leaf extract as both reducing and capping agents, at 150 °C, and their subsequent incorporation into regenerated cellulose film through the immersion phase-conversion method led to spherical-shaped particles of approximately 30 nm, placed as agglomerates [39]. Naiel et al. [40] synthesized ZnO nanoparticles by employing an aqueous extract of sea lavender as a reducing, capping and stabilizing agent. According to the conclusions, a hexagonal/cubic shape and an average particle size of approximately 41 nm were achieved. The dimensions are a bit larger than those of the current ZnO nanoparticles grown on a BC membrane (~20 nm, Figure 1f), probably because the 3D network of fibres hinders the excessive development of the deposited entities.
Figure 2 shows the effects of the addition of a second precipitating agent (ammonia). For BC-Ag-2 and BC-ZnO-2 composites, the presence of Ag and ZnO nanostructures can be observed as different phases distributed in the BC matrix, changing the membrane topography. It is worth noting that Ag seems to individualize as nanoparticles or aggregates of nanoparticles with different sizes (Figure 2b), while ZnO has a proclivity towards the morphology of nanosheets, forming wrinkled shapes that create bridges between neighbouring BC fibres (Figure 2d). For the BC-Ag-ZnO-2 sample, the SEM micrograph displays a more balanced character, in which both the nanoparticles and clusters are more uniform in size, attached to or embedded in the BC membrane (Figure 2f). Moreover, the composites differ in their coverage with Ag and ZnO phases (Figure 2a,c,e), a fact that may lead to synergistic effects with respect to the antimicrobial activity. In addition, different material distributions result in thicker films and rougher areas, which can affect the overall material properties, such as porosity and mechanical response.
Figure 2.
SEM images of the samples from series 2: (a,b) BC-Ag-2, (c,d) BC-ZnO-2 and (e,f) BC-Ag-ZnO-2.
When a sodium hydroxide activation pretreatment was applied to BC, spherical and dispersed Ag nanoparticles were obtained on the surface of BC, with diameters higher than 20 nm [41]. Larger Ag nanoparticles (few hundreds of nm) with high density were grown in situ on a BC network by immersion in freshly prepared silver ammonia solution, followed by transfer into glucose solution at 50 °C to carry out the reduction reaction [42].
Mocanu et al. [43] generated ZnO nanoparticles directly on the surface of BC films by adding ammonia and applying ultrasound. This type of approach led to uniformly distributed particles due to a reduced growth effect, as well as their entrapment not only on the surface, but also in the porous parts of the membranes, with diameters in the range 70–90 nm. It was not clear what kind of morphology was achieved at the nanometric level. BC was also impregnated with ZnO nanoparticles by successive immersion in Zn2+-containing precursor solutions, with concentrations from 0.005 to 0.05 M, and then sodium hydroxide [31]. A narrow particle size distribution was found for ZnO nanoparticles, with average particle sizes between 70 and 110 nm, decreasing with the increase in the content of ZnO.
The formation of Ag nanoparticles was explained considering the interaction with OH− groups of BC, which may play a significant role in reducing Ag+ to Ag0 and stabilizing the corresponding nanoparticles within the BC matrix by acting as a capping agent [44]. The occurrence of such nanoparticles may also trigger the oxidation of hydroxyl and aldehyde groups to form carbonyl groups. In terms of proposed mechanism of ZnO nanoparticles’ formation on BC fibres, Katepetch et al. [45] discussed the formation of various species of Zn2+ ion complexes (especially hydroxides), which are further converted into ZnO.
By applying EDX investigation, the elemental composition of the first series of BC samples, with and without antibacterial agents like Ag and ZnO, was determined (Figure 3a). The primary elements constituting cellulose, carbon (C) and oxygen (O), are represented by intense peaks in all cases. Of note is that the BC-Ag-1 composite has distinct silver (Ag) peaks and the BC-ZnO-1 composite presents visible zinc (Zn) peaks. Thus, it can be inferred that the antimicrobial agents were successfully incorporated. The BC-Ag-ZnO-1 complex sample displays Ag and Zn signals, indicating a composite material that can accommodate the antibacterial properties of both elements. More than that, the dual presence of Ag and Zn shows that the approached synthesis procedure is a suitable pathway towards co-loading, wherein nanoparticles different in nature can coexist in the same matrix. Additionally, there are trace amounts of other elements, such as sodium (Na) or calcium (Ca), which may originate from either biomass sources or operating conditions. In terms of concentration, it is quite difficult to make comparisons between different samples since the deposition process is not homogeneous on the entire surface of the BC membrane and evaluations performed on distinct areas of the same specimen could lead to values placed in a wide range.

Figure 3.
EDX spectra of the samples from (a) series 1 and (b) series 2.
The practice of EDX analysis on the second series of BC samples that were impregnated with Ag and ZnO antibacterial agents reveals the same main chemical elements for BC (Figure 3b), consistent with its cellulose nature. In the case of BC-Ag-2 and BC-ZnO-2, the presence of significant Ag and Zn peaks indicates that new phases were embedded into the membranes. The higher intensity may reflect either spatial uniformity or extended compact aggregations within the BC matrix. BC-Ag-ZnO-2 shows peaks for both Ag and Zn, demonstrating that it represents a ternary composite material. The intensity and ratio of these signals might give some information about the content in antibacterial agents compared to the previous series, namely a higher quantity of Ag and Zn when they are integrated alone by precipitation with TE and ammonia, subsequently addressing the effectiveness when they are used synergistically.
The characteristic absorption bands of pure BC and BC composites with Ag and ZnO nanoparticles were revealed by FTIR investigation (Figure 4). The hydroxyl (OH−) groups in cellulose vibrate in the range of 3200–3600 cm−1 [46], corresponding to the broad band observed in this region. This feature is common to all samples studied, implying that the incorporation of Ag and ZnO does not affect or affects to a small extent the hydrogen bonding network in cellulose. Then, the contributions of C-H bonds can be identified through the small vibrational band centred at 2900 cm−1, while the intense and complex one placed between 1000 and 1100 cm−1 is assigned to C-O bonds found in different configurations [29,47]. No new peaks are observed upon embedding the antibacterial agents, suggesting that the fundamental structure of cellulose is preserved, and these nanoparticles merely physically cling to the latter. The only variation that should be underlined is the reduction in the intensity of BC characteristic bands when integrating antibacterial agents, as a consequence of a shielding effect provided by the new phases deposited at the surface of BC fibres [48]. Moreover, since the precipitates were physically incorporated into the BC matrix rather than chemically bound, the only contributions that could occur would be the vibrations of metal–oxygen bonds in the case of ZnO, the corresponding peak being placed somewhere around 500 cm−1 [49]. However, this area is marked by the fingerprint of BC [50], hiding the potential signals of a minor phase. Residual components from TE could be responsible for other small signals, such as curcumin or different curcuminoids [51].
Figure 4.
FTIR spectra of the samples from (a) series 1 and (b) series 2.
The lack of interactions between the green synthesized Ag nanoparticles and BC was also confirmed by other studies [29,37]. Rarely, slight band shifts were identified, which might be caused by Ag nanoparticles interfering with the hydrogen bonding of the BC network [52].
An extra band at 438 cm−1 assigned to ZnO nanoparticles was reported by Wahid et al. [31] in the case of BC-ZnO nanocomposites synthesized by a route that involves sodium hydroxide. In addition, a stronger peak at 1062 cm−1 and a shift in the peak at 3342 cm−1 were observed, which could be due to the interaction of ZnO nanoparticles and OH− groups of BC fibres. None of these changes were identified in Figure 4, demonstrating the physical incorporation of ZnO nanoparticles.
Figure 5 presents the XRD curves for the initial and modified BC membranes from both series. The high diffraction maxima characterized by Miller indices of (101), (101−) and (002) within the pristine BC pattern suggest the typical crystalline structure of cellulose type I [53]. Some other small peaks are present in the case of the BC sample, indicated by arrows, and these could represent a particularity of the BC network used in this study, obtained in the described conditions. The intensity of the major diffraction maxima is smaller in the XRD patterns of BC-Ag-1 and BC-Ag-ZnO-1 composites because the Ag phase is deposited on the surface of BC fibres and may act as a shielding layer [54]. The pronounced degree of shielding could suggest the deposition of a considerable quantity of material during the precipitation process, obviously higher when the antibacterial agent is integrated alone. In addition, only the samples containing Ag present a reduced peak corresponding to (111) crystalline planes in the face-centred cubic structure (ICDD 00-004-0783), indicating the presence of Ag crystallites [55]. For ZnO, either the maxima intensity is too small to be detected, as a consequence of a scarce deposition, or these present a low crystallinity, even an amorphous character.

Figure 5.
XRD patterns of the samples from (a) series 1 and (b) series 2. Arrows indicate several small diffraction peaks that appear in the spectra of pure BC.
The XRD analysis also reveals that the only crystalline phases present in the case of the samples produced in the second series are BC and Ag. Thus, Ag nanoparticles were successfully incorporated into the BC matrix, as evidenced by the distinct diffraction peaks attributed to (111), (200) and (220) crystalline planes [55], validating the presence and crystallinity of this antibacterial agent, whose crystallites are of small size due to the large width of the corresponding maxima. Overall, upon the addition of ammonia, taller diffraction peaks occur for Ag-containing composites that corresponds to a higher amount of deposited nanoparticles. Otherwise, it seems that Ag precipitates with a higher yield in the absence of Zn2+ ions, since the relative intensity of its maxima decreases when it becomes BC-Ag-ZnO-2.
When using sodium hydroxide alone as a reducing agent for Ag nanoparticles’ deposition on BC membranes, the diffraction peaks assigned to the metallic phase were sharper than those seen in Figure 5b, even though the processing temperature was quite low (60 °C) [44]. The essential role of the approached reduction agent for the phase composition was previously highlighted in the case of BC-Ag composites, showing that either a single phase of cubic Ag or a combination of Ag and Ag2O can be achieved as a function of the selected route [52].
Considering the use of sodium hydroxide as a precipitating agent for ZnO nanoparticles on BC films, the XRD patterns also displayed typical diffraction peaks for cellulose I, as well as additional peaks attributed to the crystalline planes of ZnO with a hexagonal wurtzite structure, which were gradually strengthened by increasing the ZnO content [31]. Even though the processing temperature was restricted to 80 °C for the drying step, ZnO degree of crystallinity was high, which could be a consequence of the use of hydroxide for synthesis.
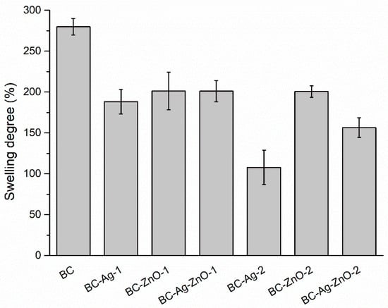
The swelling degree was determined as a proof of the material suitability for wound dressing applications, since it is well-known that hydrophilic materials able to absorb even the most excessive wound exudate and remove harmful drainage while minimizing the adherence to the wound surface represent the best choice for wound management. The swelling results, calculated as percentages to evaluate the influence of the nanoparticles (Ag, ZnO or both) on this property of pure BC, are displayed in Figure 6. The basic material, without any alteration, has the largest swelling ability, almost three times higher than the initial mass of the sample, as shown by the first bar in the graph. The modification with Ag and ZnO phases reduces the swelling degree by various extents, in correlation with the precipitation yield. The response of each membrane differs as a function of the nature and amount of integrated nanoparticles in the BC matrix. If for the first series the values are comparable, around 200%, with a slightly lower swelling in the case of the BC-Ag-1 sample, the situation is clearly different in the case of the second series, in which case the lowest swelling degree was achieved for the BC-Ag-2 composite (namely, the highest loading degree), while the lowest loading degree was assigned to the BC-ZnO-2 composite, the membrane containing both phases being placed between these two. To conclude, this test is important from two different points of view: first, to assess the degree of loading in each experimental situation because the attached nanoparticles reduce the highly absorptive potential of BC fibres by obstructing the hydrogen bonding sites on their surface, which means that a higher loading generates a lower swelling; and second, to have an estimation of the clinical applicability of the composite as a wound dressing able to meet the requirements of an efficient healing process, in which exudate management is crucial.
Figure 6.
Swelling behaviour for the samples from series 1 and series 2.
It was reported that the weak water swelling ability of BC after drying can be improved by combining it with calcium alginate or by impregnating Ag nanoparticles [38], which contradicts our findings to a certain extent. The explanation provided by the researchers is related to the increase in pore volume, which allows more water molecules to penetrate the material. However, maybe only the incorporation of alginate into the BC network was responsible for such behaviour, since it reduces the hydrogen bond formation between cellulose fibres during drying. In another study [52], where BC-Ag composites were prepared by different methods of in situ reduction of Ag+ ions, using sodium hydroxide, ascorbic acid, chitosan and UV irradiation, the high water absorption capacity of pure BC was attributed to its porosity and surface area, the water molecules being physically trapped both on the surface and within BC matrix, while the composited samples showed lower values due to the incorporation of Ag nanoparticles, which made the microstructure more compact, thereby reducing water penetration.
Jebel and Almasi [32] found that the moisture absorption of a pure BC film was higher than that of BC-ZnO nanocomposites produced by immersion of BC in ZnO suspensions; that is, the addition of ZnO improves the water resistance of BC. Probably, BC fibres are able to form new bonds with the oxygen in ZnO, and this could reduce the diffusion of water molecules in the material or ZnO nanoparticles could fill the voids in the BC matrix, decreasing the length of free way for water uptake.
3.2. Biological Characterization
The antibacterial potential was tested against E. coli and B. subtilis in order to obtain a general view on the antimicrobial activity of the samples from both series. Figure 7 confirms the antibacterial activity for all investigated materials, but a random variation can be seen within each series. The increased susceptibility of B. subtilis to the reactive oxygen species (ROS) generated by the presence of Ag and ZnO nanoparticles is determined by the structure of its cell wall, which is more sensitive to ROS than that of Gram-negative bacteria [56,57,58]. Moreover, for both strains, the test emphasizes the superiority of the BC-ZnO-2 composite, which embeds a ZnO phase in the form of nanosheets, the only sample having such an appearance. Probably, the high surface area of this morphology, combined with the low crystallinity of the oxide phase, which allows the easy leakage of Zn2+ ions, are the two main reasons for which this result was obtained [59,60,61,62].
Figure 7.
Antibacterial activity for the samples from series 1 and series 2 (n.d.—not determined).
Mutiara et al. [44] reported that BC-Ag composites present a concentration-dependent antibacterial activity, and a larger inhibition zone was generated against Gram-positive bacteria compared to Gram-negative bacteria. Similar Ag-impregnated composites achieved a high killing ratio above 99.9% and showed a long-term antibacterial performance, namely complete inhibition of Gram-negative bacteria growth over a prolonged period time of 48 h [38]. The excellent antibacterial activity against both Gram-positive and Gram-negative bacterial strains, with minimal inhibitory concentrations and minimal bactericidal concentrations of 1.25 mg/mL, as well as its dependence on nanoparticle concentration, was also demonstrated in the case of BC membranes impregnated with prior green-synthesized Ag nanoparticles [29]. The suitability of BC-Ag materials in wound-healing applications was clearly proven by the insignificant amount of Ag released even after a long soaking time in distilled water at room temperature, since it confirms the stability of Ag nanoparticles inside the BC matrix, reducing the risk of toxicity [37].
The lack of inhibition against bacterial strains of pristine BC was confirmed by other researchers as well, together with the significant bactericidal activity against all strains for BC-ZnO nanocomposites, with a stronger effect on Gram-positive bacteria than Gram-negative bacteria [31].
Since the presence of nanoparticles on both the surface of and inside the BC membrane is essential for the designed application and its long-term efficiency; the samples that turned out to have the best antibacterial effect were investigated in cross-sections. For this purpose, samples were frozen in liquid nitrogen and fractured to expose a new surface from the material core to the electron beam. Thus, Figure 8 shows the recorded SEM images for BC-Ag-1, BC-ZnO-2 and BC-Ag-ZnO-2 samples. As it can be noticed, the low-magnification approach captures the layered and fibrillar morphology of BC, but entities that were formed as a result of the precipitation process also emerge among the layers. At high magnification, the deposited nanostructures are more evident, sometimes creating compact regions, sometimes in the form of well-defined shapes attached to BC fibres. Obviously, the spatial constraints imposed by the BC matrix during the chemical reaction strongly influences the aspect of the grown phases, so that the features of those placed inside may be quite different compared to the ones found on the surface.
Figure 8.
SEM images in cross-section of the best samples: (a,b) BC-Ag-1, (c,d) BC-ZnO-2 and (e,f) BC-Ag-ZnO-2.
4. Conclusions
The synthesis procedures developed for binary or ternary composites of bacterial cellulose (BC) with silver (Ag) and zinc oxide (ZnO) involved the use of turmeric extract (green) and ammonia (classic) as precipitating agents. The effectiveness of the approach was evidenced by the colour changes and property modifications. The performed characterization confirmed the successful incorporation of Ag and ZnO as nanoparticles or nanosheets into the BC matrix, namely a relatively homogeneous distribution of the deposited phases, the preservation of the fundamental cellulose structure despite the precipitation process and the crystalline or amorphous nature of the incorporated nanostructures. Furthermore, the swelling test indicated that the addition of Ag and ZnO affects BC hydrophilicity and water retention capacity. The reduced swelling for BC composites reveals stability and suitability for various biomedical applications with controlled water absorption. The antimicrobial activity evaluation confirmed that BC-based materials, especially those containing ZnO, exhibit significant antimicrobial activity against both Gram-negative (Escherichia coli) and Gram-positive (Bacillus subtilis) bacteria. This demonstrates the wound dressing potential of such composites.
In conclusion, the development of BC-Ag, BC-ZnO and BC-Ag-ZnO composites opens new possibilities for the application of BC in tissue engineering. The assessed physicochemical and antibacterial properties of these materials make them potential candidates for wound dressings, tissue scaffolds and other biomedical devices. Future research will focus on additional studies in cell lines and animal models to further capture how these materials can be used effectively and safely in real-world medicine.
Author Contributions
Conceptualization, C.B.; methodology, G.-O.I., I.-M.D. and C.B.; investigation, M.K., G.-O.I., I.-M.D. and C.B.; resources, G.-O.I., I.-M.D., S.-I.J. and C.B.; writing—original draft preparation, M.K. and C.B.; writing—review and editing, C.B. and G.-O.I.; supervision, S.-I.J. and C.B. All authors have read and agreed to the published version of the manuscript.
Funding
This research received no external funding.
Data Availability Statement
The original contributions presented in the study are included in the article, further inquiries can be directed to the corresponding author.
Conflicts of Interest
The authors declare no conflict of interest.
References
- Su, L.; Jia, Y.; Fu, L.; Guo, K.; Xie, S. The Emerging Progress on Wound Dressings and Their Application in Clinic Wound Management. Heliyon 2023, 9, e22520. [Google Scholar] [CrossRef] [PubMed]
- Nguyen, H.M.; Le, T.T.N.; Nguyen, A.T.; Le, H.N.T.; Pham, T.T. Biomedical Materials for Wound Dressing: Recent Advances and Applications. RSC Adv. 2023, 13, 5509–5528. [Google Scholar] [CrossRef] [PubMed]
- Yang, Y.; Wang, P.; Zhang, G.; He, S.; Xu, B. Inorganic-Nanomaterial-Composited Hydrogel Dressings for Wound Healing. J. Compos. Sci. 2024, 8, 46. [Google Scholar] [CrossRef]
- Yousefian, F.; Hesari, R.; Jensen, T.; Obagi, S.; Rgeai, A.; Damiani, G.; Bunick, C.G.; Grada, A. Antimicrobial Wound Dressings: A Concise Review for Clinicians. Antibiotics 2023, 12, 1434. [Google Scholar] [CrossRef]
- Simoes, D.; Miguel, S.P.; Ribeiro, M.P.; Coutinho, P.; Mendonca, A.G.; Correia, I.J. Recent Advances on Antimicrobial Wound Dressing: A Review. Eur. J. Pharm. Biopharm. 2018, 127, 130–141. [Google Scholar] [CrossRef] [PubMed]
- Xu, C.; Akakuru, O.U.; Ma, X.; Zheng, J.; Zheng, J.; Wu, A. Nanoparticle-Based Wound Dressing: Recent Progress in the Detection and Therapy of Bacterial Infections. Bioconjugate Chem. 2020, 31, 1708–1723. [Google Scholar] [CrossRef] [PubMed]
- Dong, R.; Guo, B. Smart Wound Dressings for Wound Healing. Nanotoday 2021, 41, 101290. [Google Scholar] [CrossRef]
- Swingler, S.; Gupta, A.; Gibson, H.; Kowalczuk, M.; Heaselgrave, W.; Radecka, I. Recent Advances and Applications of Bacterial Cellulose in Biomedicine. Polymers 2021, 13, 412. [Google Scholar] [CrossRef]
- Xi, J.; Lou, Y.; Chu, Y.; Meng, L.; Wei, H.; Dai, H.; Xu, Z.; Xiao, H.; Wu, W. High-Flux Bacterial Cellulose Ultrafiltration Membrane with Controllable Pore Structure. Colloids Surf. A 2023, 656, 130428. [Google Scholar] [CrossRef]
- Cazon, P.; Vazquez, M. Bacterial Cellulose as a Biodegradable Food Packaging Material: A Review. Food Hydrocoll. 2021, 113, 106530. [Google Scholar] [CrossRef]
- Prilepskii, A.; Nikolaev, V.; Klaving, A. Conductive Bacterial Cellulose: From Drug Delivery to Flexible Electronics. Carbohydr. Polym. 2023, 313, 120850. [Google Scholar] [CrossRef] [PubMed]
- Provin, A.P.; dos Reis, V.O.; Hilesheim, S.E.; Bianchet, R.T.; de Aguiar Dutra, A.R.; Cubas, A.L.V. Use of Bacterial Cellulose in the Textile Industry and the Wettability Challenge—A Review. Cellulose 2021, 28, 8255–8274. [Google Scholar] [CrossRef]
- Gregory, D.A.; Tripathi, L.; Fricker, A.T.R.; Asare, E.; Orlando, I.; Raghavendran, V.; Roy, I. Bacterial Cellulose: A Smart Biomaterial with Diverse Applications. Mater. Sci. Eng. R 2021, 145, 100623. [Google Scholar] [CrossRef]
- Lahiri, D.; Nag, M.; Dutta, B.; Dey, A.; Sarkar, T.; Pati, S.; Edinur, H.A.; Kari, Z.A.; Noor, N.H.M.; Ray, R.R. Bacterial Cellulose: Production, Characterization, and Application as Antimicrobial Agent. Int. J. Mol. Sci. 2021, 22, 12984. [Google Scholar] [CrossRef] [PubMed]
- Khalid, A.; Khan, R.; Ul-Islam, M.; Khan, T.; Wahid, F. Bacterial Cellulose-Zinc Oxide Nanocomposites as a Novel Dressing System for Burn Wounds. Carbohydr. Polym. 2017, 164, 214–221. [Google Scholar] [CrossRef]
- Vasil’kov, A.; Budnikov, A.; Gromovykh, T.; Pigaleva, M.; Sadykova, V.; Arkharova, N.; Naumkin, A. Effect of Bacterial Cellulose Plasma Treatment on the Biological Activity of Ag Nanoparticles Deposited Using Magnetron Deposition. Polymers 2022, 14, 3907. [Google Scholar] [CrossRef]
- Ahmed, J.; Gultekinoglu, M.; Edirisinghe, M. Bacterial Cellulose Micro-Nano Fibres for Wound Healing Applications. Biotechnol. Adv. 2020, 41, 107549. [Google Scholar] [CrossRef]
- Ozelin, S.D.; Esperandim, T.R.; Dias, F.G.G.; de Freitas Pereira, L.; Garcia, C.B.; de Souza, T.O.; Magalhaes, L.F.; da Silva Barud, H.; Sabio, R.M.; Tavares, D.C. Nanocomposite Based on Bacterial Cellulose and Silver Nanoparticles Improve Wound Healing Without Exhibiting Toxic Effect. J. Pharm. Sci. 2024, 113, 2383–2393. [Google Scholar] [CrossRef]
- Tippayawat, P.; Phromviyo, N.; Boueroy, P.; Chompoosor, A. Green Synthesis of Silver Nanoparticles in Aloe Vera Plant Extract Prepared by a Hydrothermal Method and Their Synergistic Antibacterial Activity. PeerJ 2016, 4, e2589. [Google Scholar] [CrossRef]
- Fernando, K.M.; Gunathilake, C.A.; Yalegama, C.; Samarakoon, U.K.; Fernando, C.A.N.; Weerasinghe, G.; Pamunuwa, G.K.; Soliman, I.; Ghulamullah, N.; Rajapaksha, S.M.; et al. Synthesis of Silver Nanoparticles Using Green Reducing Agent: Ceylon Olive (Elaeocarpus serratus): Characterization and Investigating Their Antimicrobial Properties. J. Compos. Sci. 2024, 8, 43. [Google Scholar] [CrossRef]
- Jayachandran, A.; Aswathy, T.R.; Nair, A.S. Green Synthesis and Characterization of Zinc Oxide Nanoparticles using Cayratia Pedata Leaf Extract. Biochem. Biophys. Rep. 2021, 26, 100995. [Google Scholar] [CrossRef] [PubMed]
- Faisal, S.; Jan, H.; Shah, S.A.; Shah, S.; Khan, A.; Akbar, M.T.; Rizwan, M.; Jan, F.; Akhtar, N.; Khattak, A.; et al. Green Synthesis of Zinc Oxide (ZnO) Nanoparticles Using Aqueous Fruit Extracts of Myristica fragrans: Their Characterizations and Biological and Environmental Applications. ACS Omega 2021, 6, 9709–9722. [Google Scholar] [CrossRef] [PubMed]
- Ahmad, S.A.; Das, S.S.; Khatoon, A.; Ansari, M.T.; Afzal, M.; Hasnain, M.S.; Nayak, A.K. Bactericidal Activity of Silver Nanoparticles: A Mechanistic Review. Mater. Sci. Energy Technol. 2020, 3, 756–769. [Google Scholar] [CrossRef]
- Mendes, C.R.; Dilarri, G.; Forsan, C.F.; de Moraes Ruy Sapata, V.; Lopes, P.R.M.; de Moraes, P.B.; Montagnolli, R.N.; Ferreira, H.; Bidoia, E.D. Antibacterial Action and Target Mechanisms of Zinc Oxide Nanoparticles Against Bacterial Pathogens. Sci. Rep. 2022, 12, 2658. [Google Scholar] [CrossRef] [PubMed]
- Jinga, S.I.; Isopencu, G.; Stoica-Guzun, A.; Stroescu, M.; Ferdes, M.; Ohreac, B. Silver Green Synthesis on Bacterial Cellulose Membranes Using Tannic Acid. Dig. J. Nanomater. Biostruct. 2013, 8, 1711–1717. [Google Scholar]
- Feng, J.; Shi, Q.; Li, W.; Shu, X.; Chen, A.; Xie, X.; Huang, X. Antimicrobial Activity of Silver Nanoparticles in Situ Growth on TEMPO-Mediated Oxidized Bacterial Cellulose. Cellulose 2014, 21, 4557–4567. [Google Scholar] [CrossRef]
- Li, Z.; Wang, L.; Chen, S.; Feng, C.; Chen, S.; Yin, N.; Yang, J.; Wang, H.; Xu, Y. Facilely Green Synthesis of Silver Nanoparticles into Bacterial Cellulose. Cellulose 2015, 22, 373–383. [Google Scholar] [CrossRef]
- Sarkandi, A.F.; Montazer, M.; Harifi, T.; Rad, M.M. Innovative Preparation of Bacterial Cellulose/Silver Nanocomposite Hydrogels: In Situ Green Synthesis, Characterization, and Antibacterial Properties. J. Polym. Sci. 2021, 138, 49824. [Google Scholar]
- Shaaban, M.T.; Zayed, M.; Salama, H.S. Antibacterial Potential of Bacterial Cellulose Impregnated with Green Synthesized Silver Nanoparticle Against S. aureus and P. aeruginosa. Curr. Microbiol. 2023, 80, 75. [Google Scholar] [CrossRef]
- Hu, W.; Chen, S.; Zhou, B.; Wang, H. Facile Synthesis of ZnO Nanoparticles Based on Bacterial Cellulose. Mater. Sci. Eng. B 2010, 170, 88–92. [Google Scholar] [CrossRef]
- Wahid, F.; Duan, Y.X.; Hu, X.H.; Chu, L.Q.; Jia, S.R.; Cui, J.D.; Zhong, C. A Facile Construction of Bacterial Cellulose/ZnO Nanocomposite films and Their Photocatalytic and Antibacterial Properties. Int. J. Biol. Macromol. 2019, 132, 692–700. [Google Scholar] [CrossRef] [PubMed]
- Jebel, F.S.; Almasi, H. Morphological, Physical, Antimicrobial and Release Properties of ZnO Nanoparticles-Loaded Bacterial Cellulose Films. Carbohydr. Polym. 2016, 149, 8–19. [Google Scholar] [CrossRef] [PubMed]
- Dinca, V.; Mocanu, A.; Isopencu, G.; Busuioc, C.; Brajnicov, S.; Vlad, A.; Icriverzi, M.; Roseanu, A.; Dinescu, M.; Stroescu, M.; et al. Biocompatible Pure ZnO Nanoparticles-3D Bacterial Cellulose Biointerfaces with Antibacterial Properties. Arab. J. Chem. 2020, 13, 3521–3533. [Google Scholar] [CrossRef]
- Dao, K.Q.; Hoang, C.H.; Nguyen, T.V.; Nguyen, D.H.; Mai, H.H. High Microbiostatic and Microbicidal Efficiencies of Bacterial Cellulose-ZnO Nanocomposites for In Vivo Microbial Inhibition and Filtering. Colloid Polym. Sci. 2023, 301, 389–399. [Google Scholar] [CrossRef]
- Isopencu, G.; Deleanu, I.; Busuioc, C.; Oprea, O.; Surdu, V.A.; Bacalum, M.; Stoica, R.; Stoica-Guzun, A. Bacterial Cellulose-Carboxymethylcellulose Composite Loaded with Turmeric Extract for Antimicrobial Wound Dressing Applications. Int. J. Mol. Sci. 2023, 24, 1719. [Google Scholar] [CrossRef]
- Busuioc, C.; Isopencu, G.; Banciu, A.; Banciu, D.D.; Oprea, O.; Mocanu, A.; Deleanu, I.; Zaulet, M.; Popescu, L.; Tanasuica, R.; et al. Bacterial Cellulose Hybrid Composites with Calcium Phosphate for Bone Tissue Regeneration. Int. J. Mol. Sci. 2022, 23, 16180. [Google Scholar] [CrossRef]
- Pal, S.; Nisi, R.; Stoppa, M.; Licciulli, A. Silver-Functionalized Bacterial Cellulose as Antibacterial Membrane for Wound-Healing Applications. ACS Omega 2017, 2, 3632–3639. [Google Scholar] [CrossRef]
- Yang, G.; Yao, Y.; Wang, C. Green Synthesis of Silver Nanoparticles Impregnated Bacterial Cellulose-Alginate Composite Film with Improved Properties. Mater. Lett. 2017, 209, 11–14. [Google Scholar] [CrossRef]
- Wu, C.; Zhang, T.; Ji, B.; Chou, Y.; Du, X. Green Synthesis of Zinc Oxide Nanoparticles Using Aloe vera Leaf Extract and Evaluation of the Antimicrobial and Antioxidant Properties of the ZnO/Regenerated Cellulose Film. Cellulose 2024, 31, 4849–4864. [Google Scholar] [CrossRef]
- Naiel, B.; Fawzy, M.; Halmy, M.W.A.; Mahmoud, A.E.D. Green Synthesis of Zinc Oxide Nanoparticles Using Sea Lavender (Limonium pruinosum L. Chaz.) Extract: Characterization, Evaluation of Anti-Skin Cancer, Antimicrobial and Antioxidant Potentials. Sci. Rep. 2022, 12, 20370. [Google Scholar] [CrossRef]
- Zhou, S.; Peng, H.; Zhao, A.; Zhang, R.; Li, T.; Yang, X.; Lin, D. Synthesis of Bacterial Cellulose Nanofibers/Ag Nanoparticles: Structure, Characterization and Antibacterial Activity. Int. J. Biol. Macromol. 2024, 259, 129392. [Google Scholar] [CrossRef] [PubMed]
- Huo, D.; Chen, B.; Meng, G.; Huang, Z.; Li, M.; Lei, Y. Ag-Nanoparticles@Bacterial Nanocellulose as a 3D Flexible and Robust Surface-Enhanced Raman Scattering Substrate. ACS Appl. Mater. Interfaces 2020, 12, 50713–50720. [Google Scholar] [CrossRef] [PubMed]
- Mocanu, A.; Isopencu, G.; Busuioc, C.; Popa, O.M.; Dietrich, P.; Socaciu-Siebert, L. Bacterial Cellulose Films with ZnO Nanoparticles and Propolis Extracts: Synergistic Antimicrobial Effect. Sci. Rep. 2019, 9, 17687. [Google Scholar] [CrossRef] [PubMed]
- Mutiara, T.; Sulistyo, H.; Fahrurrozi, M.; Hidayat, M. Facile Route of Synthesis of Silver Nanoparticles Templated Bacterial Cellulose, Characterization, and its Antibacterial Application. Green Process. Synth. 2022, 11, 361–372. [Google Scholar] [CrossRef]
- Katepetch, C.; Rujiravanit, R.; Tamura, H. Formation of Nanocrystalline ZnO Particles into Bacterial Cellulose Pellicle by Ultrasonic-Assisted In Situ Synthesis. Cellulose 2013, 20, 1275–1292. [Google Scholar] [CrossRef]
- Jinga, S.I.; Draghici, A.D.; Mocanu, A.; Nicoara, A.I.; Iordache, F.; Busuioc, C. Bacterial Cellulose-Assisted Synthesis of Glass-Ceramic Scaffolds with TiO2 Crystalline Domains. Int. J. Appl. Ceram. Technol. 2020, 17, 2017–20124. [Google Scholar] [CrossRef]
- Atykyan, N.; Revin, V.; Shutova, V. Raman and FT-IR Spectroscopy Investigation the Cellulose Structural Differences from Bacteria Gluconacetobacter sucrofermentans During the Different Regimes of Cultivation on a Molasses Media. AMB Express 2020, 10, 84. [Google Scholar] [CrossRef]
- Busuioc, C.; Ghitulica, C.D.; Stoica, A.; Stroescu, M.; Voicu, G.; Ionita, V.; Averous, L.; Jinga, S.I. Calcium Phosphates Grown on Bacterial Cellulose Template. Ceram. Int. 2018, 44, 9433–9441. [Google Scholar] [CrossRef]
- Iqbal, J.; Abbasi, B.A.; Yaseen, T.; Zahra, S.A.; Shahbaz, A.; Shah, S.A.; Uddin, S.; Ma, X.; Raouf, B.; Kanwal, S.; et al. Green synthesis of Zinc Oxide Nanoparticles Using Elaeagnus angustifolia L. Leaf Extracts and Their Multiple In Vitro Biological Applications. Sci. Rep. 2021, 11, 20988. [Google Scholar] [CrossRef]
- Liu, X.; Cao, L.; Wang, S.; Huang, L.; Zhang, Y.; Tian, M.; Li, X.; Zhang, J. Isolation and Characterization of Bacterial Cellulose Produced from Soybean Whey and Soybean Hydrolyzate. Sci. Rep. 2023, 13, 16024. [Google Scholar] [CrossRef]
- Chiaoprakobkij, N.; Suwanmajo, T.; Sanchavanakit, N.; Phisalaphong, M. Curcumin-Loaded Bacterial Cellulose/Alginate/Gelatin as A Multifunctional Biopolymer Composite Film. Molecules 2020, 25, 3800. [Google Scholar] [CrossRef] [PubMed]
- Jenkhongkarn, R.; Phisalaphong, M. Effect of Reduction Methods on the Properties of Composite Films of Bacterial Cellulose-Silver Nanoparticles. Polymers 2023, 15, 2996. [Google Scholar] [CrossRef] [PubMed]
- Ghozali, M.; Meliana, Y.; Chalid, M. Synthesis and Characterization of Bacterial Cellulose by Acetobacter xylinum Using Liquid Tapioca Waste. Mater. Today Proc. 2021, 44, 2131–2134. [Google Scholar] [CrossRef]
- Saska, S.; Barud, H.S.; Gaspar, A.M.M.; Marchetto, R.; Ribeiro, S.J.L.; Messaddeq, Y. Bacterial Cellulose-Hydroxyapatite Nanocomposites for Bone Regeneration. Int. J. Biomater. 2011, 2011, 175362. [Google Scholar] [CrossRef]
- Yang, Q.; Guo, J.; Long, X.; Pan, C.; Liu, G.; Peng, J. Green Synthesis of Silver Nanoparticles Using Jasminum nudiflorum Flower Extract and Their Antifungal and Antioxidant Activity. Nanomaterials 2023, 13, 2558. [Google Scholar] [CrossRef]
- Gudkov, S.V.; Burmistrov, D.E.; Serov, D.A.; Rebezov, M.B.; Semenova, A.A.; Lisitsyn, A.B. A Mini Review of Antibacterial Properties of ZnO Nanoparticles. Front. Phys. 2021, 9, 641481. [Google Scholar] [CrossRef]
- Sirelkhatim, A.; Mahmud, S.; Seeni, A.; Kaus, N.H.M.; Ann, L.C.; Bakhori, S.K.M.; Hasan, H.; Mohamad, D. Review on Zinc Oxide Nanoparticles: Antibacterial Activity and Toxicity Mechanism. Nano-Micro Lett. 2015, 7, 219–242. [Google Scholar] [CrossRef]
- Dutta, R.K.; Nenavathu, B.P.; Gangishetty, M.K.; Reddy, A.V.R. Studies on Antibacterial Activity of ZnO Nanoparticles by ROS Induced Lipid Peroxidation. Colloids Surf. B Biointerfaces 2012, 94, 143–150. [Google Scholar] [CrossRef]
- Saha, R.K.; Debanath, M.K.; Paul, B.; Medhi, S.; Saikia, E. Antibacterial and Nonlinear Dynamical Analysis of Flower and Hexagon-Shaped ZnO Microstructures. Sci. Rep. 2020, 10, 2598. [Google Scholar] [CrossRef]
- Akbar, A.; Sadiq, M.B.; Ali, I.; Muhammad, N.; Rehman, Z.; Khan, M.N.; Muhammad, J.; Khan, S.A.; Rehman, F.U.; Anal, A.K. Synthesis and Antimicrobial Activity of Zinc Oxide Nanoparticles Against Foodborne Pathogens Salmonella typhimurium and Staphylococcus aureus. Biocatal. Agric. Biotechnol. 2019, 17, 36–42. [Google Scholar] [CrossRef]
- Xie, Y.; He, Y.; Irwin, P.L.; Jin, T.; Shi, X. Antibacterial Activity and Mechanism of Action of Zinc Oxide Nanoparticles Against Campylobacter jejuni. Appl. Environ. Microbiol. 2011, 77, 2325–2331. [Google Scholar] [CrossRef] [PubMed]
- Li, M.; Zhu, L.; Lin, D. Toxicity of ZnO Nanoparticles to Escherichia coli: Mechanism and the Influence of Medium Components. Environ. Sci. Technol. 2011, 45, 1977–1983. [Google Scholar] [CrossRef] [PubMed]
Disclaimer/Publisher’s Note: The statements, opinions and data contained in all publications are solely those of the individual author(s) and contributor(s) and not of MDPI and/or the editor(s). MDPI and/or the editor(s) disclaim responsibility for any injury to people or property resulting from any ideas, methods, instructions or products referred to in the content. |
© 2024 by the authors. Licensee MDPI, Basel, Switzerland. This article is an open access article distributed under the terms and conditions of the Creative Commons Attribution (CC BY) license (https://creativecommons.org/licenses/by/4.0/).