Insights into the Various Cellular Antimicrobial Responses, Biocompatibility, Osteogenesis, Wound Healing, and Angiogenesis of Copper-Doped Nano-Hydroxyapatite Composite Calcium Phosphate Bone Cement In Vitro
Abstract
1. Introduction
2. Materials and Methods
2.1. Raw Materials
2.2. Preparations of CPC, Cu–nHA Nanoparticles, and Cu–nHA/CPC Composites
2.3. Analysis of nHA/CPC Composites
2.3.1. Infrared Spectra and Diffraction Pattern Analyses
2.3.2. Antibacterial Tests
2.3.3. Injectability, Anti-Disintegration, and Working/Setting Times of CPC Composites
2.3.4. Nanoparticles, Compressive Strength, and Morphologies of Fracture Surfaces
2.4. In Vitro Bioactivity Measurements
2.4.1. Cytotoxicity
2.4.2. Vascular Endothelial Cell Migration, Angiogenesis, and Fluorescent Staining
2.4.3. Progenitor Bone Cell Proliferation, Alkaline Phosphatase Staining, and Semi-Quantitative Analyses
2.5. Statistical Analysis
3. Results
3.1. Characterization of nHA/CPC Composites
3.1.1. FTIR and XRD
3.1.2. Antibacterial Activities
3.1.3. Injectability, Anti-Disintegration, Working/Setting Times, and CS
3.1.4. Morphologies of Fracture Surfaces
3.2. In Vitro Bioactivities
3.2.1. Biocompatibility
3.2.2. HUVEC Migration, Angiogenesis, and Fluorescent Staining
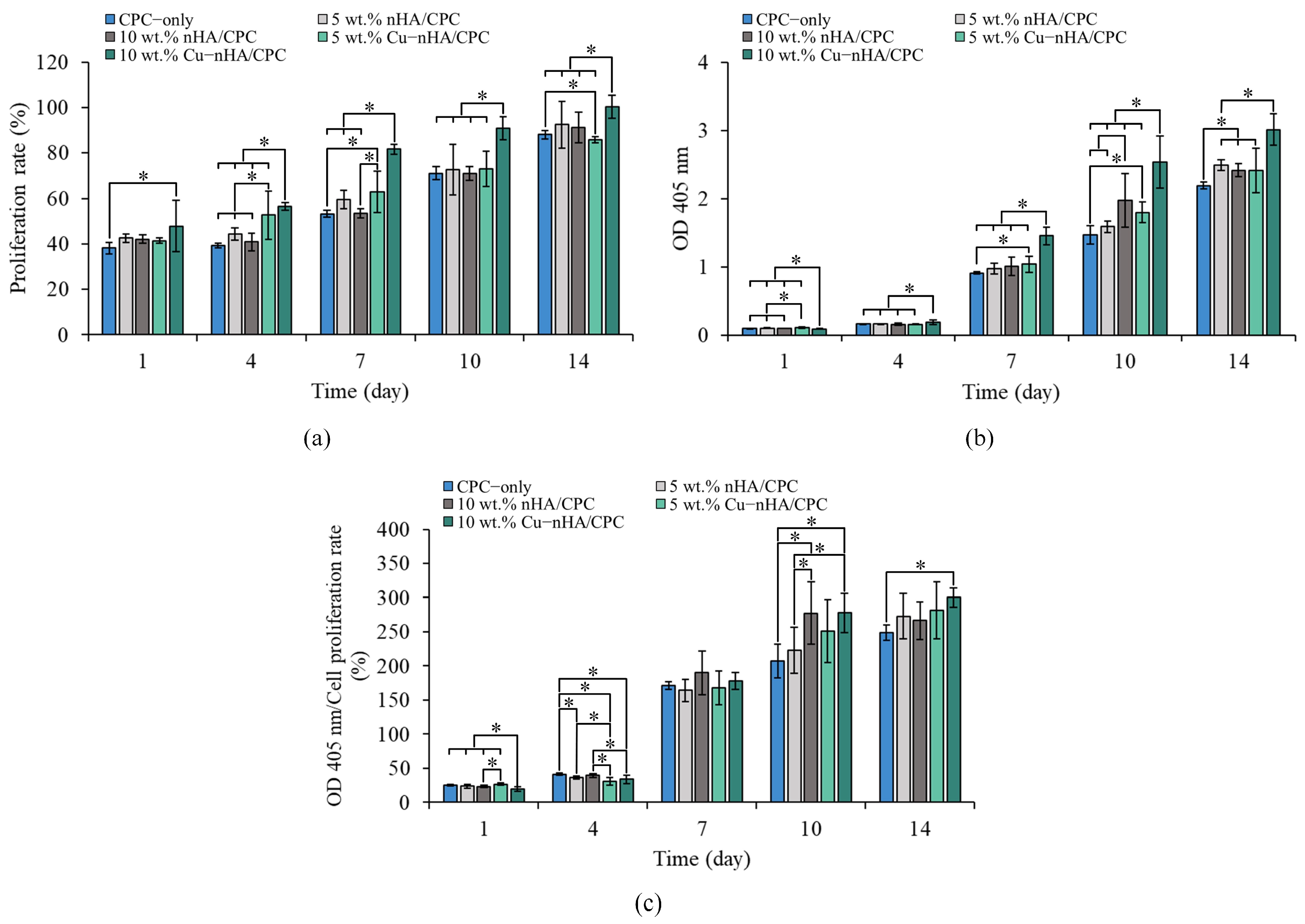
3.2.3. D1 Cell Proliferation, ALP Staining, and Semi-Quantitation
4. Discussion
5. Conclusions
Author Contributions
Funding
Data Availability Statement
Acknowledgments
Conflicts of Interest
References
- Huang, S.-M.; Chen, W.-C.; Wu, C.-C.; Liu, S.-M.; Ko, C.-L.; Chen, J.-C.; Shih, C.-J. Synergistic effect of drug/antibiotic-impregnated micro/nanohybrid mesoporous bioactive glass/calcium phosphate composite bone cement on antibacterial and osteoconductive activities. Biomater. Adv. 2023, 152, 213524. [Google Scholar] [CrossRef] [PubMed]
- Wang, Z.; Li, Q.; Ren, S.; Zhang, H.; Chen, J.; Li, A.; Chen, Y. Composite monetite/amorphous calcium phosphate bone cement promotes bone regeneration. Ceram. Int. 2023, 49, 7888–7904. [Google Scholar] [CrossRef]
- Liu, H.; Li, P.; Tang, Z.; Liu, H.; Zhang, R.; Ge, J.; Yang, H.; Ni, X.; Lin, X.; Yang, L. Study on injectable silver-incorporated calcium phosphate composite with enhanced antibacterial and biomechanical properties for fighting bone cement-associated infections. Colloids Surf. B 2023, 227, 113382. [Google Scholar] [CrossRef] [PubMed]
- Lu, T.; Wang, J.; Yuan, X.; Tang, C.; Wang, X.; He, F.; Ye, J. Zinc-doped calcium silicate additive accelerates early angiogenesis and bone regeneration of calcium phosphate cement by double bioactive ions stimulation and immunoregulation. Biomater. Adv. 2022, 141, 213120. [Google Scholar] [CrossRef]
- Humbert, P.; Kampleitner, C.; De Lima, J.; Brennan, M.Á.; Lodoso-Torrecilla, I.; Sadowska, J.M.; Blanchard, F.; Canal, C.; Ginebra, M.-P.; Hoffmann, O. Phase composition of calcium phosphate materials affects bone formation by modulating osteoclastogenesis. Acta Biomater. 2024, 176, 417–431. [Google Scholar] [CrossRef]
- Shanmugam, S.; Gopal, B. Copper substituted hydroxyapatite and fluorapatite: Synthesis, characterization and antimicrobial properties. Ceram. Int. 2014, 40, 15655–15662. [Google Scholar] [CrossRef]
- Zhuang, Y.; Liu, A.; Jiang, S.; Liaqat, U.; Lin, K.; Sun, W.; Yuan, C. Promoting vascularized bone regeneration via strontium-incorporated hydroxyapatite bioceramic. Mater. Des. 2023, 234, 112313. [Google Scholar] [CrossRef]
- Li, Y.; Luo, W.; Liu, Y.; Lu, Y.; Geng, W.; Lin, J. Copper-containing titanium alloys promote the coupling of osteogenesis and angiogenesis by releasing copper ions. Biochem. Biophys. Res. Commun. 2023, 681, 157–164. [Google Scholar] [CrossRef]
- Yan, J.; Xia, D.; Xiong, P.; Li, Y.; Zhou, W.; Li, Q.; Wang, P.; Zheng, Y.; Cheng, Y. Polyetheretherketone with citrate potentiated influx of copper boosts osteogenesis, angiogenesis, and bacteria-triggered antibacterial abilities. J. Mater. Sci. Technol. 2021, 71, 31–43. [Google Scholar] [CrossRef]
- Zhang, J.; Wu, H.; He, F.; Wu, T.; Zhou, L.; Ye, J. Concentration-dependent osteogenic and angiogenic biological performances of calcium phosphate cement modified with copper ions. Mater. Sci. Eng. C 2019, 99, 1199–1212. [Google Scholar] [CrossRef]
- Lin, Z.; Cao, Y.; Zou, J.; Zhu, F.; Gao, Y.; Zheng, X.; Wang, H.; Zhang, T.; Wu, T. Improved osteogenesis and angiogenesis of a novel copper ions doped calcium phosphate cement. Mater. Sci. Eng. C 2020, 114, 111032. [Google Scholar] [CrossRef] [PubMed]
- Tao, B.; Lin, C.; Guo, A.; Yu, Y.; Qin, X.; Li, K.; Tian, H.; Yi, W.; Lei, D.; Chen, L. Fabrication of copper ions-substituted hydroxyapatite/polydopamine nanocomposites with high antibacterial and angiogenesis effects for promoting infected wound healing. J. Ind. Eng. Chem. 2021, 104, 345–355. [Google Scholar] [CrossRef]
- Li, Y.; Lu, Y.; Qiu, B.; Ze, Y.; Li, P.; Du, Y.; Gong, P.; Lin, J.; Yao, Y. Copper-containing titanium alloys promote angiogenesis in irradiated bone through releasing copper ions and regulating immune microenvironment. Biomater. Adv. 2022, 139, 213010. [Google Scholar] [CrossRef] [PubMed]
- Li, Y.-J.; Wong, K.W.; Huang, Y.-C.; Chien, C.-S.; Shih, C.-J. Evaluation of in vitro bioactivity and angiogenesis-promoting effect for mesoporous bioactive glass codoped with copper and silver. J. Non Cryst. Solids 2023, 613, 122371. [Google Scholar] [CrossRef]
- Huang, S.-M.; Liu, S.-M.; Chen, W.-C.; Ko, C.-L.; Shih, C.-J.; Chen, J.-C. Morphological changes, antibacterial activity, and cytotoxicity characterization of hydrothermally synthesized metal ions-incorporated nanoapatites for biomedical application. Pharmaceuticals 2022, 15, 885. [Google Scholar] [CrossRef]
- Ko, C.-L.; Chen, J.-C.; Hung, C.-C.; Wang, J.-C.; Tien, Y.-C.; Chen, W.-C. Biphasic products of dicalcium phosphate-rich cement with injectability and nondispersibility. Mater. Sci. Eng. C 2014, 39, 40–46. [Google Scholar] [CrossRef] [PubMed]
- Hu, M.-H.; Chu, P.-Y.; Huang, S.-M.; Shih, B.-S.; Ko, C.-L.; Hu, J.-J.; Chen, W.-C. Injectability, processability, drug loading, and antibacterial activity of gentamicin-impregnated mesoporous bioactive glass composite calcium phosphate bone cement in vitro. Biomimetics 2022, 7, 121. [Google Scholar] [CrossRef]
- ISO 10993-5:2009; Biological Evaluation of Medical Devices—Part 5: Tests for In Vitro Cytotoxicity. International Organization for Standardization: Geneve, Switzerland, 2009.
- Fu, P.-S.; Wang, J.-C.; Lai, P.-L.; Liu, S.-M.; Chen, Y.-S.; Chen, W.-C.; Hung, C.-C. Biodegradable Hydrogel Beads Combined with Calcium Phosphate Bone Cement for Bone Repair: In Vitro and In Vivo Characterization. Polymers 2022, 14, 505. [Google Scholar] [CrossRef]
- Godoy-Gallardo, M.; Eckhard, U.; Delgado, L.M.; de Roo Puente, Y.J.; Hoyos-Nogués, M.; Gil, F.J.; Perez, R.A. Antibacterial approaches in tissue engineering using metal ions and nanoparticles: From mechanisms to applications. Bioact. Mater. 2021, 6, 4470–4490. [Google Scholar] [CrossRef]
- Liu, S.-M.; Chen, J.-C.; Huang, S.-M.; Lin, S.-H.; Chen, W.-C. Enhanced Cell Osteogenic Differentiation in Alendronate Acid and Flufenamic Acid Drug-Impregnated Nanoparticles of Mesoporous Bioactive Glass Composite Calcium Phosphate Bone Cement In Vitro. Pharmaceuticals 2023, 16, 680. [Google Scholar] [CrossRef]
- Marinozzi, F.; Bini, F.; Marinozzi, A. Evidence of entropic elasticity of human bone trabeculae at low strains. J. Biomech. 2011, 44, 988–991. [Google Scholar] [CrossRef] [PubMed]
- Li, H.; Chang, J. Stimulation of proangiogenesis by calcium silicate bioactive ceramic. Acta Biomater. 2013, 9, 5379–5389. [Google Scholar] [CrossRef] [PubMed]
- Alasvand, N.; Behnamghader, A.; Milan, P.B.; Simorgh, S.; Mobasheri, A.; Mozafari, M. Tissue-engineered small-diameter vascular grafts containing novel copper-doped bioactive glass biomaterials to promote angiogenic activity and endothelial regeneration. Mater. Today Bio. 2023, 20, 100647. [Google Scholar] [CrossRef] [PubMed]
- Abdollahi, F.; Saghatchi, M.; Paryab, A.; Malek Khachatourian, A.; Stephens, E.D.; Toprak, M.S.; Badv, M. Angiogenesis in bone tissue engineering via ceramic scaffolds: A review of concepts and recent advancements. Biomater. Adv. 2024, 159, 213828. [Google Scholar] [CrossRef] [PubMed]
- Emami, M.H.; Sereshki, N.; Malakoutikhah, Z.; Dehkordi, S.A.E.; Fahim, A.; Mohammadzadeh, S.; Maghool, F. Nrf2 signaling pathway in trace metal carcinogenesis: A cross-talk between oxidative stress and angiogenesis. Comp. Biochem. Phys. C 2022, 254, 109266. [Google Scholar] [CrossRef]
- Pfeiffenberger, M.; Damerau, A.; Lang, A.; Buttgereit, F.; Hoff, P.; Gaber, T. Fracture Healing Research—Shift towards In Vitro Modeling? Biomedicines 2021, 9, 748. [Google Scholar] [CrossRef]
- Zhang, M.; Xu, F.; Cao, J.; Dou, Q.; Wang, J.; Wang, J.; Yang, L.; Chen, W. Research advances of nanomaterials for the acceleration of fracture healing. Bioact. Mater. 2024, 31, 368–394. [Google Scholar] [CrossRef]
- Pietraszek, A.; Ledwójcik, G.; Lewandowska-Łańcucka, J.; Horak, W.; Lach, R.; Łatkiewicz, A.; Karewicz, A. Bioactive hydrogel scaffolds reinforced with alkaline-phosphatase containing halloysite nanotubes for bone repair applications. Int. J. Biol. Macromol. 2020, 163, 1187–1195. [Google Scholar] [CrossRef]
- Sekar Jeyakumar, G.F.; Velswamy, P.; Gunasekaran, D.; Panneerselvam Manimegalai, N.; Manikantan Syamala, K.; Tiruchirappalli Sivagnanam, U. Enhancing the effectiveness of Alkaline Phosphatase and bone matrix proteins by tunable metal-organic composite for accelerated mineralization. Int. J. Biol. Macromol. 2023, 252, 126524. [Google Scholar] [CrossRef]
- Kantam, M.L.; Venkanna, G.; Sridhar, C.; Kumar, K.S. Copper fluorapatite catalyzed N-arylation of heterocycles with bromo and iodoarenes. Tetrahedron Lett. 2006, 47, 3897–3899. [Google Scholar] [CrossRef]
- Kantam, M.L.; Venkanna, G.T.; Sridhar, C.; Sreedhar, B.; Choudary, B.M. An efficient base-free N-arylation of imidazoles and amines with arylboronic acids using copper-exchanged fluorapatite. J. Org. Chem. 2006, 71, 9522–9524. [Google Scholar] [CrossRef] [PubMed]
- Zykin, M.A.; Vasiliev, A.V.; Trusov, L.A.; Dinnebier, R.E.; Jansen, M.; Kazin, P.E. Solid state solubility of copper oxides in hydroxyapatite. J Solid State Chem. 2018, 262, 38–43. [Google Scholar] [CrossRef]
- Noori, A.; Hoseinpour, M.; Kolivand, S.; Lotfibakhshaiesh, N.; Ebrahimi-Barough, S.; Ai, J.; Azami, M. Exploring the various effects of Cu doping in hydroxyapatite nanoparticle. Sci. Rep. 2024, 14, 3421. [Google Scholar] [CrossRef] [PubMed]










| Samples | Working Time (min) | Setting Time (min) | Compressive Strength (MPa) |
|---|---|---|---|
| CPC only | 8.53 ± 0.50 | 16.54 ± 0.29 | 58.01 ± 3.89 |
| 5 wt.% Cu–nHA/CPC | 7.36 ± 0.27 * | 15.56 ± 0.47 * | 51.49 ± 2.38 * |
| 10 wt.% Cu–nHA/CPC | 6.77 ± 0.25 * | 14.74 ± 0.45 * | 46.74 ± 2.45 * |
| HUVEC Culture Time/ | 6 h | 12 h | 24 h |
|---|---|---|---|
| Samples | Wound Closure % (Mean ± Standard Deviation) | ||
| ECM (0.5% FBS) | 2.47 ± 0.37 | 7.14 ± 0.40 | 8.45 ± 0.66 |
| CPC only | 2.99 ± 0.22 | 8.70 ± 0.42 | 10.92 ± 0.09 * |
| 5 wt.% nHA/CPC | 5.82 ± 0.43 * | 12.16 ± 0.78 * | 14.24 ± 0.51 * |
| 10 wt.% nHA/CPC | 6.94 ± 0.38 * | 12.79 ± 0.61 * | 14.39 ± 0.43 * |
| 5 wt.% Cu–nHA/CPC | 11.50 ± 0.39 * | 16.18 ± 0.85 * | 19.51 ± 0.38 * |
| 10 wt.% Cu–nHA/CPC | 13.95 ± 0.37 * | 16.22 ± 0.59 * | 20.97 ± 1.41 * |
| Samples | Branch Points | Relative Capillary Length (μm) |
|---|---|---|
| ECM (0.5% FBS) | 579 ± 47 | 8754 ± 640 |
| CPC-only | 637 ± 42 | 9298 ± 374 |
| 5 wt.% nHA/CPC | 634 ± 36 * | 9328 ± 138 |
| 10 wt.% nHA/CPC | 675 ± 48 * | 9582 ± 627 * |
| 5 wt.% Cu–nHA/CPC | 716 ± 58 * | 9815 ± 360 * |
| 10 wt.% Cu–nHA/CPC | 741 ± 60 * | 9968 ± 324 * |
Disclaimer/Publisher’s Note: The statements, opinions and data contained in all publications are solely those of the individual author(s) and contributor(s) and not of MDPI and/or the editor(s). MDPI and/or the editor(s) disclaim responsibility for any injury to people or property resulting from any ideas, methods, instructions or products referred to in the content. |
© 2024 by the authors. Licensee MDPI, Basel, Switzerland. This article is an open access article distributed under the terms and conditions of the Creative Commons Attribution (CC BY) license (https://creativecommons.org/licenses/by/4.0/).
Share and Cite
Huang, S.-M.; Chen, W.-C.; Liu, S.-M.; Ko, C.-L.; Chen, J.-C.; Shih, C.-J. Insights into the Various Cellular Antimicrobial Responses, Biocompatibility, Osteogenesis, Wound Healing, and Angiogenesis of Copper-Doped Nano-Hydroxyapatite Composite Calcium Phosphate Bone Cement In Vitro. J. Compos. Sci. 2024, 8, 424. https://doi.org/10.3390/jcs8100424
Huang S-M, Chen W-C, Liu S-M, Ko C-L, Chen J-C, Shih C-J. Insights into the Various Cellular Antimicrobial Responses, Biocompatibility, Osteogenesis, Wound Healing, and Angiogenesis of Copper-Doped Nano-Hydroxyapatite Composite Calcium Phosphate Bone Cement In Vitro. Journal of Composites Science. 2024; 8(10):424. https://doi.org/10.3390/jcs8100424
Chicago/Turabian StyleHuang, Ssu-Meng, Wen-Cheng Chen, Shih-Ming Liu, Chia-Ling Ko, Jian-Chih Chen, and Chi-Jen Shih. 2024. "Insights into the Various Cellular Antimicrobial Responses, Biocompatibility, Osteogenesis, Wound Healing, and Angiogenesis of Copper-Doped Nano-Hydroxyapatite Composite Calcium Phosphate Bone Cement In Vitro" Journal of Composites Science 8, no. 10: 424. https://doi.org/10.3390/jcs8100424
APA StyleHuang, S.-M., Chen, W.-C., Liu, S.-M., Ko, C.-L., Chen, J.-C., & Shih, C.-J. (2024). Insights into the Various Cellular Antimicrobial Responses, Biocompatibility, Osteogenesis, Wound Healing, and Angiogenesis of Copper-Doped Nano-Hydroxyapatite Composite Calcium Phosphate Bone Cement In Vitro. Journal of Composites Science, 8(10), 424. https://doi.org/10.3390/jcs8100424

