Effects of Adding Cinnamon, ZnO, and CuO Nanoparticles on the Antibacterial Properties of a Glass Ionomer Cement as the Luting Agent for Orthodontic Bands and Their Cytotoxicity
Abstract
1. Introduction
2. Materials and Methods
3. Results
4. Discussions
5. Conclusions
Author Contributions
Funding
Data Availability Statement
Conflicts of Interest
References
- Bandeira, A.M.; Martinez, E.F.; Demasi, A.P.D. Evaluation of toxicity and response to oxidative stress generated by orthodontic bands in human gingival fibroblasts. Angle Orthod. 2020, 90, 285–290. [Google Scholar] [CrossRef] [PubMed]
- Al-Banaa, L.R. Evaluation of microleakage for three types of light cure orthodontic band cement. J. Oral Biol. Craniofac. Res. 2022, 12, 352–357. [Google Scholar] [CrossRef] [PubMed]
- Al Qassar, S.S.S.; Taqa, A.A.; Mohiaalden, H.K. Can the Static Magnetic Field Improve Orthodontic Adhesive Polymerization? J. Int. Dent. Med. Res. 2021, 14, 67–73. [Google Scholar]
- Erbe, C.; Hartmann, L.; Schmidtmann, I.; Ohlendorf, D.; Wehrbein, H. A novel method quantifying caries following orthodontic treatment. Sci. Rep. 2021, 11, 21347. [Google Scholar] [CrossRef] [PubMed]
- Sundararaj, D.; Venkatachalapathy, S.; Tandon, A.; Pereira, A. Critical evaluation of incidence and prevalence of white spot lesions during fixed orthodontic appliance treatment: A meta-analysis. J. Int. Soc. Prev. Community Dent. 2015, 5, 433. [Google Scholar]
- Enan, E.T.; Ashour, A.A.; Basha, S.; Felemban, N.H.; El-Rab, S.M.G. Antimicrobial activity of biosynthesized silver nanoparticles, amoxicillin, and glass-ionomer cement against Streptococcus mutans and Staphylococcus aureus. Nanotechnology 2021, 32, 215101. [Google Scholar] [CrossRef] [PubMed]
- Aguilar-Perez, D.; Vargas-Coronado, R.; Cervantes-Uc, J.M.; Rodriguez-Fuentes, N.; Aparicio, C.; Covarrubias, C.; Alvarez-Perez, M.; Garcia-Perez, V.; Martinez-Hernandez, M.; Cauich-Rodriguez, J.V. Antibacterial activity of a glass ionomer cement doped with copper nanoparticles. Dent. Mater. J. 2020, 39, 389–396. [Google Scholar] [CrossRef]
- Lacerda-Santos, R.; de Morais Sampaio, G.A.; de Fátima Liberato de Moura, M.; de Carvalho, F.G.; Dos Santos, A.; Melo Pithon, M.; Muniz Alves, P. Effect of Different Concentrations of Chlorhexidine in Glass-ionomer Cements on In Vivo Biocompatibility. J. Adhes. Dent. 2016, 18, 325–330. [Google Scholar]
- dos Santos Araújo, J.L.; Alvim, M.M.A.; da Silva Campos, M.J.; Apolônio, A.C.M.; Carvalho, F.G.; Lacerda-Santos, R. Analysis of chlorhexidine modified cement in orthodontic patients: A double-blinded, randomized, Controlled Trial. Eur. J. Dent. 2021, 15, 639–646. [Google Scholar]
- Heravi, F.; Bagheri, H.; Rangrazi, A.; Zebarjad, S.M. Incorporation of CPP-ACP into luting and lining GIC: Influence on wear rate (in the presence of artificial saliva) and compressive strength. ACS Biomater. Sci. Eng. 2016, 2, 1867–1871. [Google Scholar] [CrossRef]
- Heravi, F.; Bagheri, H.; Rangrazi, A.; Zebarjad, S.M. An in vitro study on the retentive strength of orthodontic bands cemented with CPP-ACP-containing GIC. Mater. Res. Express 2016, 3, 125401. [Google Scholar] [CrossRef]
- Moheet, I.A.; Luddin, N.; Ab Rahman, I.; Kannan, T.P.; Abd Ghani, N.R.N. Evaluation of mechanical properties and bond strength of nano-hydroxyapatite-silica added glass ionomer cement. Ceram. Int. 2018, 44, 9899–9906. [Google Scholar] [CrossRef]
- Soygun, K.; Soygun, A.; Dogan, M.C. The effects of chitosan addition to glass ionomer cement on microhardness and surface roughness. J. Appl. Biomater. Funct. Mater. 2021, 19, 2280800021989706. [Google Scholar] [CrossRef]
- Heravi, F.; Bagheri, H.; Rangrazi, A.; Zebarjad, S.M. Effects of the addition of casein phosphopeptide-amorphous calcium phosphate (CPP-ACP) on mechanical properties of luting and lining glass ionomer cement. Mater. Res. Express 2016, 3, 075405. [Google Scholar] [CrossRef]
- Urnukhsaikhan, E.; Bold, B.-E.; Gunbileg, A.; Sukhbaatar, N.; Mishig-Ochir, T. Antibacterial activity and characteristics of silver nanoparticles biosynthesized from Carduus crispus. Sci. Rep. 2021, 11, 21047. [Google Scholar] [CrossRef]
- Shahabi, M.; Movahedi Fazel, S.; Rangrazi, A. Incorporation of Chitosan Nanoparticles into a Cold-Cure Ortho-Dontic Acrylic Resin: Effects on Mechanical Properties. Biomimetics 2021, 6, 7. [Google Scholar] [CrossRef]
- Yaseen, S.N.; Taqa, A.A.; Al-Khatib, A.R. The effect of incorporation Nano Cinnamon powder on the shear bond of the orthodontic composite (an in vitro study). J. Oral Biol. Craniofac. Res. 2020, 10, 128–134. [Google Scholar] [CrossRef]
- Yanakiev, S. Effects of cinnamon (Cinnamomum spp.) in dentistry: A review. Molecules 2020, 25, 4184. [Google Scholar] [CrossRef]
- Barma, M.D.; Muthupandiyan, I.; Samuel, S.R.; Amaechi, B.T. Inhibition of Streptococcus mutans, antioxidant property and cytotoxicity of novel nano-zinc oxide varnish. Arch. Oral Biol. 2021, 126, 105132. [Google Scholar] [CrossRef]
- Malekhoseini, Z.; Rezvani, M.B.; Niakan, M.; Atai, M.; Bassir, M.M.; Alizade, H.S.; Siabani, S. Effect of zinc oxide nanoparticles on physical and antimicrobial properties of resin-modified glass ionomer cement. Dent. Res. J. 2021, 18, 73. [Google Scholar]
- Comeau, P.; Burgess, J.; Malekafzali, N.; Leite, M.L.; Lee, A.; Manso, A. Exploring the Physicochemical, Mechanical, and Photocatalytic Antibacterial Properties of a Methacrylate-Based Dental Material Loaded with ZnO Nanoparticles. Materials 2022, 15, 5075. [Google Scholar] [CrossRef] [PubMed]
- Tiwari, A.K.; Jha, S.; Singh, A.K.; Mishra, S.K.; Pathak, A.K.; Ojha, R.P.; Yadav, R.S.; Dikshit, A. Innovative Investigation of Zinc Oxide Nanoparticles Used in Dentistry. Crystals 2022, 12, 1063. [Google Scholar] [CrossRef]
- Ansarifard, E.; Zareshahrabadi, Z.; Sarafraz, N.; Zomorodian, K. Evaluation of antimicrobial and antibiofilm activities of copper oxide nanoparticles within soft denture liners against oral pathogens. Bioinorg. Chem. Appl. 2021, 2021, 9939275. [Google Scholar] [CrossRef] [PubMed]
- Amiri, M.; Etemadifar, Z.; Daneshkazemi, A.; Nateghi, M. Antimicrobial effect of copper oxide nanoparticles on some oral bacteria and candida species. J. Dent. Biomater. 2017, 4, 347. [Google Scholar] [PubMed]
- Suresh, P.; Ingle, V.; Vijayalakshmi, V. Antibacterial activity of eugenol in comparison with other antibiotics. J. Food Sci. Technol. (Mysore) 1992, 29, 254–256. [Google Scholar]
- Cliford, R.-N.M.; Adams, M. Quantitative structure activity relationship for the effect of benzoic acid, cinnamic acids and benzaldehydes on Listeria monocytogenes. J. Appl. Microbiol. 1996, 80, 303–310. [Google Scholar]
- Wendakoon, C.N.; Sakaguchi, M. Inhibition of amino acid decarboxylase activity of Enterobacter aerogenes by active components in spices. J. Food Prot. 1995, 58, 280–283. [Google Scholar] [CrossRef]
- Zainal-Abidin, Z.; Mohd-Said, S.; Adibah, F.; Majid, A.; Mustapha, W.A.W.; Jantan, I. Anti-bacterial activity of cinnamon oil on oral pathogens. Open Conf. Proc. J. 2013, 4, 12–16. [Google Scholar] [CrossRef]
- Bersy, D.A.; Mostafa, M.H.; El-Araby, S.M. Evaluation of the Antibacterial Effect of Cinnamon Extract on Streptococcus Mutans. Al-Azhar Dent. J. Girls 2021, 8, 123–128. [Google Scholar] [CrossRef]
- Vanajassun, P.P.; Nivedhitha, M.; Nishad, N.; Soman, D. Effects of zinc oxide nanoparticles in combination with conventional glass ionomer cement: In vitro study. Adv. Hum. Biol. 2014, 4, 31. [Google Scholar]
- Kung, M.-L.; Tai, M.-H.; Lin, P.-Y.; Wu, D.-C.; Wu, W.-J.; Yeh, B.-W.; Hung, H.-S.; Kuo, C.-H.; Chen, Y.-W.; Hsieh, S.-L. Silver decorated copper oxide (Ag@ CuO) nanocomposite enhances ROS-mediated bacterial architecture collapse. Colloids Surf. B Biointerfaces 2017, 155, 399–407. [Google Scholar] [CrossRef] [PubMed]
- Toodehzaeim, M.H.; Zandi, H.; Meshkani, H.; Firouzabadi, A.H. The effect of CuO nanoparticles on antimicrobial effects and shear bond strength of orthodontic adhesives. J. Dent. 2018, 19, 1. [Google Scholar]
- Berntsen, P.; Park, C.; Rothen-Rutishauser, B.; Tsuda, A.; Sager, T.; Molina, R.; Donaghey, T.; Alencar, A.; Kasahara, D.; Ericsson, T. Biomechanical effects of environmental and engineered particles on human airway smooth muscle cells. J. R. Soc. Interface 2010, 7 (Suppl. S3), S331–S340. [Google Scholar] [CrossRef] [PubMed]
- Argueta-Figueroa, L.; Scougall-Vilchis, R.J.; Morales-Luckie, R.A.; Olea-Mejía, O.F. An evaluation of the antibacterial properties and shear bond strength of copper nanoparticles as a nanofiller in orthodontic adhesive. Aust. Orthod. J. 2015, 31, 42–48. [Google Scholar]
- Swales, N.; Caldwell, J. Studies on trans-cinnamaldehyde II: Mechanisms of cytotoxicity in rat isolated hepatocytes. Toxicol. Vitr. 1996, 10, 37–42. [Google Scholar] [CrossRef]
- Marcoux, E.; Lagha, A.B.; Gauthier, P.; Grenier, D. Antimicrobial activities of natural plant compounds against endodontic pathogens and biocompatibility with human gingival fibroblasts. Arch. Oral Biol. 2020, 116, 104734. [Google Scholar]
- Ramasamy, M.; Das, M.; An, S.S.A.; Yi, D.K. Role of surface modification in zinc oxide nanoparticles and its toxicity assessment toward human dermal fibroblast cells. Int. J. Nanomed. 2014, 9, 3707. [Google Scholar]
- Eslami, N.; Fasihi, F.; Jamalinasab, A.; Ahrari, F. Biocompatibility of several colloidal solutions containing nanoparticles on human gingival fibroblasts. Dent. Res. J. 2021, 18, 8. [Google Scholar]
- Fahmy, B.; Cormier, S.A. Copper oxide nanoparticles induce oxidative stress and cytotoxicity in airway epithelial cells. Toxicol. Vitr. 2009, 23, 1365–1371. [Google Scholar] [CrossRef]
- Naz, S.; Gul, A.; Zia, M. Toxicity of copper oxide nanoparticles: A review study. IET Nanobiotechnol. 2020, 14, 1–13. [Google Scholar] [CrossRef]
- Chen, F.-C.; Huang, C.-M.; Yu, X.-W.; Chen, Y.-Y. Effect of nano zinc oxide on proliferation and toxicity of human gingival cells. Hum. Exp. Toxicol. 2022, 41, 09603271221080236. [Google Scholar] [CrossRef] [PubMed]
- Kim, I.-S.; Baek, M.; Choi, S.-J. Comparative cytotoxicity of Al2O3, CeO2, TiO2 and ZnO nanoparticles to human lung cells. J. Nanosci. Nanotechnol. 2010, 10, 3453–3458. [Google Scholar] [CrossRef] [PubMed]
- Ng, C.T.; Yong, L.Q.; Hande, M.P.; Ong, C.N.; Liya, E.Y.; Bay, B.H.; Baeg, G.H. Zinc oxide nanoparticles exhibit cytotoxicity and genotoxicity through oxidative stress responses in human lung fibroblasts and Drosophila melanogaster. Int. J. Nanomed. 2017, 12, 1621. [Google Scholar] [CrossRef] [PubMed]










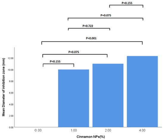
| Groups | Mean (mm) | Standard Deviation | Standard Error |
|---|---|---|---|
| GIC | 0 | 0 | 0 |
| GIC + 1% Cinnamon NPs | 10 | 1.73 | 1 |
| GIC + 2% Cinnamon NPs | 11 | 0 | 0 |
| GIC + 4% Cinnamon NPs | 12.33 | 0.57 | 0.33 |
| Groups | Mean (mm) | Standard Deviation | Standard Error |
|---|---|---|---|
| GIC | 0 | 0 | 0 |
| GIC + 1% CuO NPs | 10 | 0 | 0 |
| GIC + 2% CuO NPs | 10.33 | 1.55 | 0.66 |
| GIC + 4% CuO NPs | 11 | 0 | 0 |
| Groups | Mean (mm) | Standard Deviation | Standard Error |
|---|---|---|---|
| GIC | 0 | 0 | 0 |
| GIC + 1%ZnO NPs | 9.33 | 1.53 | 0.88 |
| GIC + 2% ZnO NPs | 11 | 0 | 0 |
| GIC + 4% ZnO NPs | 12 | 0 | 0 |
| (I) Group | (J) Group | P-Value |
|---|---|---|
| GIC + 4% cinnamon NPs | GIC + 4% CnO NPs | 0.012 |
| GIC + 4% ZnO NPs | 0.617 | |
| GIC + 4% CuO NPs | GIC + 4% ZnO NPs | 0.046 |
Publisher’s Note: MDPI stays neutral with regard to jurisdictional claims in published maps and institutional affiliations. |
© 2022 by the authors. Licensee MDPI, Basel, Switzerland. This article is an open access article distributed under the terms and conditions of the Creative Commons Attribution (CC BY) license (https://creativecommons.org/licenses/by/4.0/).
Share and Cite
Shafaee, H.; Khosropanah, H.; Rahimi, H.; Darroudi, M.; Rangrazi, A. Effects of Adding Cinnamon, ZnO, and CuO Nanoparticles on the Antibacterial Properties of a Glass Ionomer Cement as the Luting Agent for Orthodontic Bands and Their Cytotoxicity. J. Compos. Sci. 2022, 6, 336. https://doi.org/10.3390/jcs6110336
Shafaee H, Khosropanah H, Rahimi H, Darroudi M, Rangrazi A. Effects of Adding Cinnamon, ZnO, and CuO Nanoparticles on the Antibacterial Properties of a Glass Ionomer Cement as the Luting Agent for Orthodontic Bands and Their Cytotoxicity. Journal of Composites Science. 2022; 6(11):336. https://doi.org/10.3390/jcs6110336
Chicago/Turabian StyleShafaee, Hooman, Haida Khosropanah, Hamidreza Rahimi, Majid Darroudi, and Abdolrasoul Rangrazi. 2022. "Effects of Adding Cinnamon, ZnO, and CuO Nanoparticles on the Antibacterial Properties of a Glass Ionomer Cement as the Luting Agent for Orthodontic Bands and Their Cytotoxicity" Journal of Composites Science 6, no. 11: 336. https://doi.org/10.3390/jcs6110336
APA StyleShafaee, H., Khosropanah, H., Rahimi, H., Darroudi, M., & Rangrazi, A. (2022). Effects of Adding Cinnamon, ZnO, and CuO Nanoparticles on the Antibacterial Properties of a Glass Ionomer Cement as the Luting Agent for Orthodontic Bands and Their Cytotoxicity. Journal of Composites Science, 6(11), 336. https://doi.org/10.3390/jcs6110336

