Convergence Investigation for the Exponential Matrix and Mathematical Layers in the Static Analysis of Multilayered Composite Structures
Abstract
:1. Introduction
2. Three-Dimensional Equilibrium Equations for Static Analysis
3. Use of the Exponential Matrix and Mathematical Layers in the Solution of 3D Equilibrium Equations
4. Results
5. Conclusions
Author Contributions
Conflicts of Interest
References
- Tornabene, F.; Fantuzzi, N. Mechanics of Laminated Composite Doubly-Curved Shell Structures. The Generalized Differential Quadrature Method and the Strong Formulation Finite Element Method; Società Editrice Esculapio: Bologna, Italy, 2014. [Google Scholar]
- Tornabene, F. Meccanica delle Strutture a Guscio in Materiale Composito; Società Editrice Esculapio: Bologna, Italy, 2012. [Google Scholar]
- Gustafson, G.B. Systems of Differential Equations. Available online: http://www.math.utah.edu/gustafso/2250systems-de.pdf (accessed on 7 March 2016).
- Molery, C.; Van Loan, C. Nineteen dubious ways to compute the exponential of a matrix, twenty-five years later. SIAM Rev. 2003, 45, 1–46. [Google Scholar] [CrossRef]
- Pagano, N.J. Exact solutions for composite laminates in cylindrical bending. J. Compos. Mater. 1969, 3, 398–411. [Google Scholar] [CrossRef]
- Pagano, N.J. Exact solutions for rectangular bidirectional composites and sandwich plates. J. Compos. Mater. 1970, 4, 20–34. [Google Scholar] [CrossRef]
- Pagano, N.J.; Wang, A.S.D. Further study of composite laminates under cylindrical bending. J. Compos. Mater. 1971, 5, 521–528. [Google Scholar] [CrossRef]
- Demasi, L. Three-dimensional closed form solutions and exact thin plate theories for isotropic plates. Compos. Struct. 2007, 80, 183–195. [Google Scholar] [CrossRef]
- Fan, J.; Ye, J. An exact solution for the statics and dynamics of laminated thick plates with orthotropic layers. Int. J. Solids Struct. 1990, 26, 655–662. [Google Scholar]
- Srinivas, S.; Joga Rao, C.V.; Rao, A.K. An exact analysis for vibration of simply-supported homogeneous and laminated thick rectangular plates. J. Sound Vib. 1970, 12, 187–199. [Google Scholar] [CrossRef]
- Rokni Damavandi Taher, H.; Omidi, M.; Zadpoor, A.A.; Nikooyan, A.A. Short Communication: Free vibration of circular and annular plates with variable thickness and different combinations of boundary conditions. J. Sound Vib. 2006, 296, 1084–1092. [Google Scholar] [CrossRef]
- Hosseini-Hashemi, S.; Salehipour, H.; Atashipour, S.R. Exact three-dimensional free vibration analysis of thick homogeneous plates coated by a functionally graded layer. Acta Mech. 2012, 223, 2153–2166. [Google Scholar] [CrossRef]
- Messina, A. Three dimensional free vibration analysis of cross-ply laminated plates through 2D and exact models. Mech. Adv. Mater. Struct. 2012, 19, 250–264. [Google Scholar] [CrossRef]
- Ye, J.Q. A three-dimensional free vibration analysis of cross-ply laminated rectangular plates with clamped edges. Comput. Methods Appl. Mech. Eng. 1997, 140, 383–392. [Google Scholar] [CrossRef]
- Varadan, T.K.; Bhaskar, K. Bending of laminated orthotropic cylindrical shells—An elasticity approach. Compos. Struct. 1991, 17, 141–156. [Google Scholar] [CrossRef]
- Fan, J.-R.; Zhang, J.-Y. Exact solutions for thick laminated shells. Sci. China 1992, 35, 1343–1355. [Google Scholar]
- Huang, N.N. Exact analysis for three-dimensional free vibrations of cross-ply cylindrical and doubly-curved laminates. Acta Mech. 1995, 108, 23–34. [Google Scholar] [CrossRef]
- Soldatos, K.P.; Ye, J. Axisymmetric static and dynamic analysis of laminated hollow cylinders composed of monoclinic elastic layers. J. Sound Vib. 1995, 184, 245–259. [Google Scholar] [CrossRef]
- Khalili, S.M.R.; Davar, A.; Malekzadeh, F.K. Free vibration analysis of homogeneous isotropic circular cylindrical shells based on a new three-dimensional refined higher-order theory. Int. J. Mech. Sci. 2012, 56, 1–25. [Google Scholar] [CrossRef]
- Brischetto, S. Three-dimensional exact free vibration analysis of spherical, cylindrical, and flat one-layered panels. Shock Vib. 2014, 2014, 479738. [Google Scholar] [CrossRef]
- Brischetto, S. An exact 3D solution for free vibrations of multilayered cross-ply composite and sandwich plates and shells. Int. J. Appl. Mech. 2014, 6, 1–42. [Google Scholar] [CrossRef]
- Brischetto, S. Exact three-dimensional static analysis of single- and multi-layered plates and shells. Compos. Part B Eng. 2017, 119, 230–252. [Google Scholar] [CrossRef]
- Brischetto, S. A closed-form 3D shell solution for multilayered structures subjected to different load combinations. Aerosp. Sci. Technol. 2017, 70, 29–46. [Google Scholar] [CrossRef]
- Brischetto, S. Convergence analysis of the exponential matrix method for the solution of 3D equilibrium equations for free vibration analysis of plates and shells. Compos. Part B Eng. 2016, 98, 453–471. [Google Scholar] [CrossRef]
- Brischetto, S. Exponential matrix method for the solution of exact 3D equilibrium equations for free vibrations of functionally graded plates and shells. J. Sandw. Struct. Mater. 2017. [Google Scholar] [CrossRef]
- Brischetto, S. Exact elasticity solution for natural frequencies of functionally graded simply-supported structures. CMES Comput. Model. Eng. Sci. 2013, 95, 391–430. [Google Scholar]
- Hildebrand, F.B.; Reissner, E.; Thomas, G.B. Notes on the Foundations of the Theory of Small Displacements of Orthotropic Shells; NACA Technical Note No. 1833; NACA: Washington, DC, USA, 1949. [Google Scholar]
- Soedel, W. Vibration of Shells and Plates; Marcel Dekker, Inc.: New York, NY, USA, 2004. [Google Scholar]
- Reddy, J.N. Mechanics of Laminated Composite Plates and Shells: Theory and Analysis, 2nd ed.; CRC Press: New York, NY, USA, 2004. [Google Scholar]
- Carrera, E.; Brischetto, S.; Nali, P. Plates and Shells for Smart Structures: Classical and Advanced Theories for Modeling and Analysis; John Wiley & Sons, Ltd.: New Delhi, India, 2011. [Google Scholar]
- Boyce, W.E.; DiPrima, R.C. Elementary Differential Equations and Boundary Value Problems; John Wiley & Sons, Ltd.: New York, NY, USA, 2001. [Google Scholar]
- Zwillinger, D. Handbook of Differential Equations; Academic Press: New York, NY, USA, 1997. [Google Scholar]
- Brischetto, S. A general exact elastic shell solution for bending analysis of functionally graded structures. Compos. Struct. 2017, 175, 70–85. [Google Scholar] [CrossRef]
- Ren, J.G. Exact solutions for laminated cylindrical shells in cylindrical bending. Compos. Sci. Technol. 1987, 29, 169–187. [Google Scholar]
- Fan, J.; Zhang, J. Analytical solutions for thick, doubly curved, laminated shells. J. Eng. Mech. 1992, 118, 1338–1356. [Google Scholar] [CrossRef]







| Composite for Cases 1–4 | |
|---|---|
| [psi] | |
| [psi] | |
| [psi] | |
| [psi] | |
| [psi] | |
| [psi] | |
| Parameter | Case 1 [6] | Case 2 [34] | Case 3 [15] | Case 4 [35] |
|---|---|---|---|---|
| a[in] | 1 | 10 | ||
| b[in] | 3 | 1 | 40 | 10 |
| [in] | ∞ | 10 | 10 | 10 |
| [in] | ∞ | ∞ | ∞ | 10 |
| h/3 | h/2 | h/3 | h/3 | |
| h/3 | h/2 | h/3 | h/3 | |
| h/3 | - | h/3 | h/3 | |
| lamination | 0/90/0 | 90/0 | 0/90/0 | 0/90/0 |
| [psi] | 1 (top) | 1 (top) | 1 (bottom) | 1 (top) |
| p[-] | 1 | 1 | 8 | 1 |
| q[-] | 1 | 0 | 1 | 1 |
| ; a/h = 4 | ||||||||||||
| 3.07 | 1.82 | 3.31 | 2.60 | 2.89 | 2.80 | 2.83 | 2.82 | 2.82 | 2.82 | 2.82 | 2.82 | |
| 2.82 | 2.64 | 2.84 | 2.81 | 2.82 | 2.82 | 2.82 | 2.82 | 2.82 | 2.82 | 2.82 | 2.82 | |
| 2.83 | 2.80 | 2.82 | 2.82 | 2.82 | 2.82 | 2.82 | 2.82 | 2.82 | 2.82 | 2.82 | 2.82 | |
| 2.83 | 2.82 | 2.82 | 2.82 | 2.82 | 2.82 | 2.82 | 2.82 | 2.82 | 2.82 | 2.82 | 2.82 | |
| 2.82 | 2.82 | 2.82 | 2.82 | 2.82 | 2.82 | 2.82 | 2.82 | 2.82 | 2.82 | 2.82 | 2.82 | |
| 2.82 | 2.82 | 2.82 | 2.82 | 2.82 | 2.82 | 2.82 | 2.82 | 2.82 | 2.82 | 2.82 | 2.82 | |
| 2.82 | 2.82 | 2.82 | 2.82 | 2.82 | 2.82 | 2.82 | 2.82 | 2.82 | 2.82 | 2.82 | 2.82 | |
| 2.82 | 2.82 | 2.82 | 2.82 | 2.82 | 2.82 | 2.82 | 2.82 | 2.82 | 2.82 | 2.82 | 2.82 | |
| 2.82 | 2.82 | 2.82 | 2.82 | 2.82 | 2.82 | 2.82 | 2.82 | 2.82 | 2.82 | 2.82 | 2.82 | |
| ; a/h = 10 | ||||||||||||
| 0.474 | 0.324 | 0.431 | 0.417 | 0.420 | 0.420 | 0.420 | 0.420 | 0.420 | 0.420 | 0.420 | 0.420 | |
| 0.432 | 0.396 | 0.421 | 0.420 | 0.420 | 0.420 | 0.420 | 0.420 | 0.420 | 0.420 | 0.420 | 0.420 | |
| 0.422 | 0.416 | 0.420 | 0.420 | 0.420 | 0.420 | 0.420 | 0.420 | 0.420 | 0.420 | 0.420 | 0.420 | |
| 0.421 | 0.419 | 0.420 | 0.420 | 0.420 | 0.420 | 0.420 | 0.420 | 0.420 | 0.420 | 0.420 | 0.420 | |
| 0.420 | 0.420 | 0.420 | 0.420 | 0.420 | 0.420 | 0.420 | 0.420 | 0.420 | 0.420 | 0.420 | 0.420 | |
| 0.420 | 0.420 | 0.420 | 0.420 | 0.420 | 0.420 | 0.420 | 0.420 | 0.420 | 0.420 | 0.420 | 0.420 | |
| 0.420 | 0.420 | 0.420 | 0.420 | 0.420 | 0.420 | 0.420 | 0.420 | 0.420 | 0.420 | 0.420 | 0.420 | |
| 0.420 | 0.420 | 0.420 | 0.420 | 0.420 | 0.420 | 0.420 | 0.420 | 0.420 | 0.420 | 0.420 | 0.420 | |
| 0.420 | 0.420 | 0.420 | 0.420 | 0.420 | 0.420 | 0.420 | 0.420 | 0.420 | 0.420 | 0.420 | 0.420 | |
| ; | ||||||||||||
| 2.39 | 0.209 | −2.26 | 0.432 | 1.41 | 0.730 | 0.894 | 0.834 | 0.851 | 0.846 | 0.847 | 0.847 | |
| 0.794 | 0.633 | 0.905 | 0.834 | 0.856 | 0.851 | 0.852 | 0.852 | 0.852 | 0.852 | 0.852 | 0.852 | |
| 0.868 | 0.827 | 0.852 | 0.850 | 0.850 | 0.850 | 0.850 | 0.850 | 0.850 | 0.850 | 0.850 | 0.850 | |
| 0.864 | 0.849 | 0.854 | 0.854 | 0.854 | 0.854 | 0.854 | 0.854 | 0.854 | 0.854 | 0.854 | 0.854 | |
| 0.859 | 0.852 | 0.854 | 0.854 | 0.854 | 0.854 | 0.854 | 0.854 | 0.854 | 0.854 | 0.854 | 0.854 | |
| 0.856 | 0.853 | 0.854 | 0.854 | 0.854 | 0.854 | 0.854 | 0.854 | 0.854 | 0.854 | 0.854 | 0.854 | |
| 0.855 | 0.853 | 0.854 | 0.854 | 0.854 | 0.854 | 0.854 | 0.854 | 0.854 | 0.854 | 0.854 | 0.854 | |
| 0.855 | 0.854 | 0.854 | 0.854 | 0.854 | 0.854 | 0.854 | 0.854 | 0.854 | 0.854 | 0.854 | 0.854 | |
| 0.855 | 0.854 | 0.854 | 0.854 | 0.854 | 0.854 | 0.854 | 0.854 | 0.854 | 0.854 | 0.854 | 0.854 | |
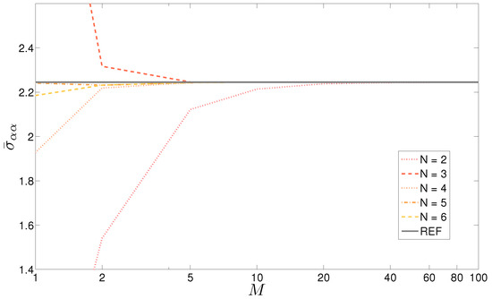
| ; | ||||||||||||
| −25.44 | 0.381 | 3.883 | 1.928 | 2.241 | 2.185 | 2.195 | 2.194 | 2.194 | 2.194 | 2.194 | 2.194 | |
| 4.943 | 1.541 | 2.317 | 2.219 | 2.232 | 2.232 | 2.232 | 2.232 | 2.232 | 2.232 | 2.232 | 2.232 | |
| 2.947 | 2.122 | 2.246 | 2.243 | 2.243 | 2.243 | 2.243 | 2.243 | 2.243 | 2.243 | 2.243 | 2.243 | |
| 2.563 | 2.214 | 2.245 | 2.245 | 2.245 | 2.245 | 2.245 | 2.245 | 2.245 | 2.245 | 2.245 | 2.245 | |
| 2.397 | 2.238 | 2.245 | 2.245 | 2.245 | 2.245 | 2.245 | 2.245 | 2.245 | 2.245 | 2.245 | 2.245 | |
| 2.319 | 2.243 | 2.245 | 2.245 | 2.245 | 2.245 | 2.245 | 2.245 | 2.245 | 2.245 | 2.245 | 2.245 | |
| 2.294 | 2.244 | 2.245 | 2.245 | 2.245 | 2.245 | 2.245 | 2.245 | 2.245 | 2.245 | 2.245 | 2.245 | |
| 2.282 | 2.245 | 2.245 | 2.245 | 2.245 | 2.245 | 2.245 | 2.245 | 2.245 | 2.245 | 2.245 | 2.245 | |
| 2.274 | 2.245 | 2.245 | 2.245 | 2.245 | 2.245 | 2.245 | 2.245 | 2.245 | 2.245 | 2.245 | 2.245 | |
| ; | ||||||||||||
| 4.436 | 1.668 | 6.346 | 2.967 | 4.578 | 3.820 | 4.085 | 3.999 | 4.023 | 4.017 | 4.019 | 4.018 | |
| 3.701 | 3.593 | 4.093 | 3.982 | 4.017 | 4.011 | 4.012 | 4.012 | 4.012 | 4.012 | 4.012 | 4.012 | |
| 3.952 | 3.974 | 4.012 | 4.009 | 4.009 | 4.009 | 4.009 | 4.009 | 4.009 | 4.009 | 4.009 | 4.009 | |
| 3.983 | 4.001 | 4.009 | 4.009 | 4.009 | 4.009 | 4.009 | 4.009 | 4.009 | 4.009 | 4.009 | 4.009 | |
| 3.997 | 4.007 | 4.009 | 4.009 | 4.009 | 4.009 | 4.009 | 4.009 | 4.009 | 4.009 | 4.009 | 4.009 | |
| 4.003 | 4.009 | 4.009 | 4.009 | 4.009 | 4.009 | 4.009 | 4.009 | 4.009 | 4.009 | 4.009 | 4.009 | |
| 4.005 | 4.009 | 4.009 | 4.009 | 4.009 | 4.009 | 4.009 | 4.009 | 4.009 | 4.009 | 4.009 | 4.009 | |
| 4.006 | 4.009 | 4.009 | 4.009 | 4.009 | 4.009 | 4.009 | 4.009 | 4.009 | 4.009 | 4.009 | 4.009 | |
| 4.007 | 4.009 | 4.009 | 4.009 | 4.009 | 4.009 | 4.009 | 4.009 | 4.009 | 4.009 | 4.009 | 4.009 | |
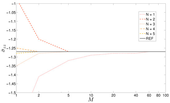
| ; | ||||||||||||
| −1.72 | −0.97 | −1.35 | −1.25 | −1.28 | −1.27 | −1.27 | −1.27 | −1.27 | −1.27 | −1.27 | −1.27 | |
| −1.41 | −1.20 | −1.28 | −1.27 | −1.27 | −1.27 | −1.27 | −1.27 | −1.27 | −1.27 | −1.27 | −1.27 | |
| −1.32 | −1.26 | −1.27 | −1.27 | −1.27 | −1.27 | −1.27 | −1.27 | −1.27 | −1.27 | −1.27 | −1.27 | |
| −1.29 | −1.27 | −1.27 | −1.27 | −1.27 | −1.27 | −1.27 | −1.27 | −1.27 | −1.27 | −1.27 | −1.27 | |
| −1.28 | −1.27 | −1.27 | −1.27 | −1.27 | −1.27 | −1.27 | −1.27 | −1.27 | −1.27 | −1.27 | −1.27 | |
| −1.28 | −1.27 | −1.27 | −1.27 | −1.27 | −1.27 | −1.27 | −1.27 | −1.27 | −1.27 | −1.27 | −1.27 | |
| −1.27 | −1.27 | −1.27 | −1.27 | −1.27 | −1.27 | −1.27 | −1.27 | −1.27 | −1.27 | −1.27 | −1.27 | |
| −1.27 | −1.27 | −1.27 | −1.27 | −1.27 | −1.27 | −1.27 | −1.27 | −1.27 | −1.27 | −1.27 | −1.27 | |
| −1.27 | −1.27 | −1.27 | −1.27 | −1.27 | −1.27 | −1.27 | −1.27 | −1.27 | −1.27 | −1.27 | −1.27 | |
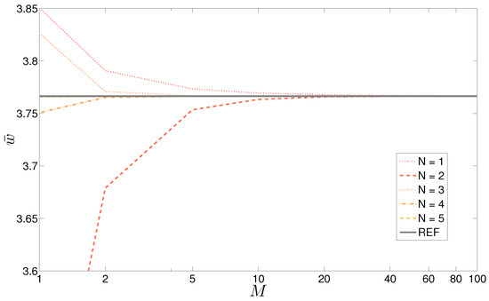
| ; | ||||||||||||
|---|---|---|---|---|---|---|---|---|---|---|---|---|
| 3.8504 | 3.3701 | 3.8261 | 3.7507 | 3.7658 | 3.7642 | 3.7644 | 3.7644 | 3.7644 | 3.7644 | 3.7644 | 3.7644 | |
| 3.7907 | 3.6788 | 3.7708 | 3.7652 | 3.7660 | 3.7659 | 3.7659 | 3.7659 | 3.7659 | 3.7659 | 3.7659 | 3.7659 | |
| 3.7732 | 3.7534 | 3.7666 | 3.7663 | 3.7664 | 3.7664 | 3.7664 | 3.7664 | 3.7664 | 3.7664 | 3.7664 | 3.7664 | |
| 3.7693 | 3.7633 | 3.7664 | 3.7664 | 3.7664 | 3.7664 | 3.7664 | 3.7664 | 3.7664 | 3.7664 | 3.7664 | 3.7664 | |
| 3.7678 | 3.7657 | 3.7664 | 3.7664 | 3.7664 | 3.7664 | 3.7664 | 3.7664 | 3.7664 | 3.7664 | 3.7664 | 3.7664 | |
| 3.7671 | 3.7662 | 3.7664 | 3.7664 | 3.7664 | 3.7664 | 3.7664 | 3.7664 | 3.7664 | 3.7664 | 3.7664 | 3.7664 | |
| 3.7669 | 3.7664 | 3.7664 | 3.7664 | 3.7664 | 3.7664 | 3.7664 | 3.7664 | 3.7664 | 3.7664 | 3.7664 | 3.7664 | |
| 3.7668 | 3.7664 | 3.7664 | 3.7664 | 3.7664 | 3.7664 | 3.7664 | 3.7664 | 3.7664 | 3.7664 | 3.7664 | 3.7664 | |
| 3.7667 | 3.7664 | 3.7664 | 3.7664 | 3.7664 | 3.7664 | 3.7664 | 3.7664 | 3.7664 | 3.7664 | 3.7664 | 3.7664 | |
| ; | ||||||||||||
| 0.4726 | 0.4540 | 0.4625 | 0.4623 | 0.4623 | 0.4623 | 0.4623 | 0.4623 | 0.4623 | 0.4623 | 0.4623 | 0.4623 | |
| 0.4665 | 0.4603 | 0.4624 | 0.4624 | 0.4624 | 0.4624 | 0.4624 | 0.4624 | 0.4624 | 0.4624 | 0.4624 | 0.4624 | |
| 0.4638 | 0.4620 | 0.4624 | 0.4624 | 0.4624 | 0.4624 | 0.4624 | 0.4624 | 0.4624 | 0.4624 | 0.4624 | 0.4624 | |
| 0.4631 | 0.4623 | 0.4624 | 0.4624 | 0.4624 | 0.4624 | 0.4624 | 0.4624 | 0.4624 | 0.4624 | 0.4624 | 0.4624 | |
| 0.4627 | 0.4624 | 0.4624 | 0.4624 | 0.4624 | 0.4624 | 0.4624 | 0.4624 | 0.4624 | 0.4624 | 0.4624 | 0.4624 | |
| 0.4625 | 0.4624 | 0.4624 | 0.4624 | 0.4624 | 0.4624 | 0.4624 | 0.4624 | 0.4624 | 0.4624 | 0.4624 | 0.4624 | |
| 0.4625 | 0.4624 | 0.4624 | 0.4624 | 0.4624 | 0.4624 | 0.4624 | 0.4624 | 0.4624 | 0.4624 | 0.4624 | 0.4624 | |
| 0.4625 | 0.4624 | 0.4624 | 0.4624 | 0.4624 | 0.4624 | 0.4624 | 0.4624 | 0.4624 | 0.4624 | 0.4624 | 0.4624 | |
| 0.4624 | 0.4624 | 0.4624 | 0.4624 | 0.4624 | 0.4624 | 0.4624 | 0.4624 | 0.4624 | 0.4624 | 0.4624 | 0.4624 | |
© 2017 by the authors. Licensee MDPI, Basel, Switzerland. This article is an open access article distributed under the terms and conditions of the Creative Commons Attribution (CC BY) license (http://creativecommons.org/licenses/by/4.0/).
Share and Cite
Brischetto, S.; Torre, R. Convergence Investigation for the Exponential Matrix and Mathematical Layers in the Static Analysis of Multilayered Composite Structures. J. Compos. Sci. 2017, 1, 19. https://doi.org/10.3390/jcs1020019
Brischetto S, Torre R. Convergence Investigation for the Exponential Matrix and Mathematical Layers in the Static Analysis of Multilayered Composite Structures. Journal of Composites Science. 2017; 1(2):19. https://doi.org/10.3390/jcs1020019
Chicago/Turabian StyleBrischetto, Salvatore, and Roberto Torre. 2017. "Convergence Investigation for the Exponential Matrix and Mathematical Layers in the Static Analysis of Multilayered Composite Structures" Journal of Composites Science 1, no. 2: 19. https://doi.org/10.3390/jcs1020019
APA StyleBrischetto, S., & Torre, R. (2017). Convergence Investigation for the Exponential Matrix and Mathematical Layers in the Static Analysis of Multilayered Composite Structures. Journal of Composites Science, 1(2), 19. https://doi.org/10.3390/jcs1020019

