Two-Time-Scale Cooperative UAV Transportation of a Cable-Suspended Load: A Minimal Swing Approach
Abstract
1. Introduction
2. Problem Statement and Solution
2.1. Reference Frames
- (a)
- Earth frame —a North–East–Down triad with origin fixed on the Earth’s surface. The axes point to geodetic north, east, and downward, respectively. A flat, non-rotating Earth renders this frame inertial for the present purposes.
- (b)
- Body frames , —attached to each vehicle at its center of gravity. The axis runs out the nose, toward the belly, and completes the right-handed set.
- (c)
- Structural frame , —used for component layout. It is parallel to but flips the longitudinal and vertical axes: , , . Stations () are positive aft, buttlines () positive starboard, and waterlines () positive upward.
2.2. Equations of Motion
2.3. Formation Modeling
2.4. Formation Control
- each vehicle has knowledge of both position and velocity of other objects in the formation, including the payload;
- inner-loop autopilot systems allow the i-th agent to track the desired control force with sufficient accuracy;
- the controller is generated by disregarding the aerodynamic drag affecting both the UAVs and the payload.
3. Results
3.1. Simulation Setup
3.2. Performance Indicators
- Maneuver time: . It is the total time required to conclude a prescribed maneuver, according to a stop criterion. Based on the expected asymptotic nature of convergence, the maneuver is considered terminated at time when the total error falls below a certain threshold, namely .
- Average swing angle: . The oscillation angle is defined by the intersection of (i) the local–vertical plane that contains the multirotors (plane 1) and (ii) the plane that contains all the objects of the formation, including the payload (plane 2). Given and , the unit vector orthogonal to plane 2 is obtained as . The oscillation angle is retrieved as , provided is the third component of as expressed in . According to the selected convention, a positive oscillation angle is obtained from positive rotation about vector . Finally, the average swing angle is calculated as , where the integralis evaluated over maneuver time and provides an indication of how much and how long plane 2 remains inclined with respect to plane 1.
- Average swing rate: . It is calculated as , where the integralis adopted to characterize the swing rate during the entire maneuver.
- Load kinetic energy, . It is given byand provides a direct measure of residual swing and undesired motion.
- Total propulsive energy, . It is the mechanical energy delivered by electrical motors to propellers, calculated by the integralwhere is the output shaft power generated by the j-th motor, , obtained from required torque and angular rate under the assumption of null friction torque. Without loss of generality, is calculated for Agent 1 only.
3.3. Test Cases
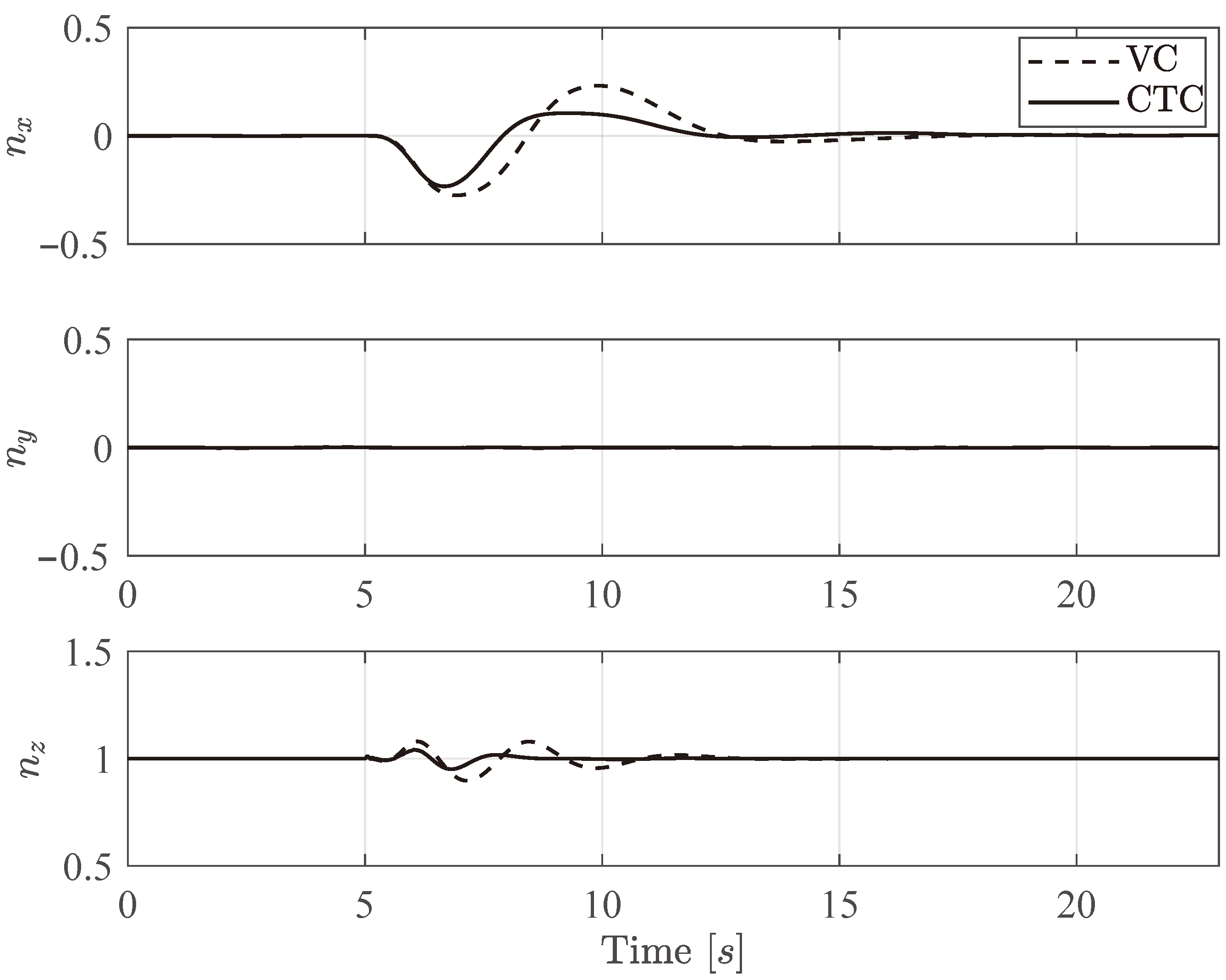
3.3.1. Test Case 1
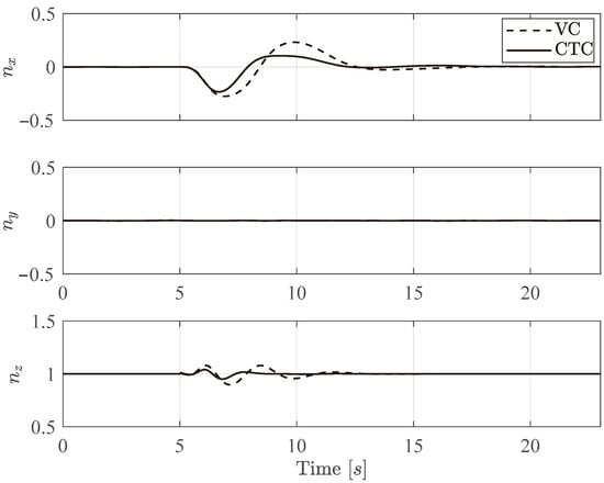
3.3.2. Test Case 2
4. Conclusions
Author Contributions
Funding
Data Availability Statement
Conflicts of Interest
Appendix A. Proof of Lemma 1

Appendix B. Proof of Theorem 1
References
- de Angelis, E.L.; Giulietti, F.; Rossetti, G.; Bellani, G. Performance analysis and optimal sizing of electric multirotors. Aerosp. Sci. Technol. 2021, 118, 107057. [Google Scholar] [CrossRef]
- Lim, D.; Kim, H.; Yee, K. Uncertainty propagation in flight performance of multirotor with parametric and model uncertainties. Aerosp. Sci. Technol. 2022, 122, 107398. [Google Scholar] [CrossRef]
- Pounds, P.E.I.; Bersak, D.R.; Dollar, A.M. Grasping From the Air: Hovering Capture and Load Stability. In Proceedings of the IEEE International Conference on Robotics and Automation, Shanghai, China, 9–13 May 2011; pp. 2491–2498. [Google Scholar] [CrossRef]
- Chen, H.; Quan, F.; Fang, L.; Zhang, S. Aerial Grasping with a Lightweight Manipulator Based on Multi–Objective Optimization and Visual Compensation. Sensors 2019, 19, 4253. [Google Scholar] [CrossRef]
- Li, X.; Zhang, J.; Han, J. Trajectory planning of load transportation with multi–quadrotors based on reinforcement learning algorithm. Aerosp. Sci. Technol. 2021, 116, 106887. [Google Scholar] [CrossRef]
- Costantini, E.; de Angelis, E.L.; Giulietti, F. Cooperative Drone Transportation of a Cable-Suspended Load: Dynamics and Control. Drones 2024, 8, 434. Available online: https://www.mdpi.com/2504-446X/8/9/434 (accessed on 20 May 2025). [CrossRef]
- Pounds, P.E.I.; Bersak, D.; Dollar, A. Stability of small–scale UAV helicopters and quadrotors with added payload mass under PID control. Auton Robot 2012, 33, 129–142. [Google Scholar] [CrossRef]
- Palunko, I.; Fierro, R.; Cruz, P. Trajectory generation for swing–free maneuvers of a quadrotor with suspended payload: A dynamic programming approach. In Proceedings of the 2012 IEEE International Conference on Robotics and Automation, Saint Paul, MN, USA, 14–18 May 2012; pp. 2691–2697. [Google Scholar] [CrossRef]
- Dai, S.; Lee, T.; Bernstein, D.S. Adaptive Control of a Quadrotor UAV Transporting a Cable–Suspended load with Unknown Mass. In Proceedings of the 53rd Conference on Decision and Control (CDC), Los Angeles, CA, USA, 15–17 December 2014; pp. 6149–6154. [Google Scholar] [CrossRef]
- Sreenath, K.; Lee, T.; Kumar, V. Geometric control and differential flatness of a quadrotor UAV with a cable–suspended load. In Proceedings of the 52nd IEEE Conference on Decision and Control (CDC), Firenze, Italy, 10–13 December 2013; pp. 2269–2274. [Google Scholar] [CrossRef]
- Nicotra, M.M.; Garone, E.; Naldi, R.; Marconi, L. Nested saturation control of an UAV carrying a suspended load. In Proceedings of the 2014 American Control Conference, Portland, OR, USA, 4–6 June 2014; pp. 3585–3590. [Google Scholar] [CrossRef]
- Pizetta, I.H.B.; Brandão, A.S.; Sarcinelli–Filho, M. Modelling and control of a PVTOL quadrotor carrying a suspended load. In Proceedings of the 2015 International Conference on Unmanned Aircraft Systems (ICUAS), Denver, CO, USA, 9–12 June 2015; pp. 444–450. [Google Scholar] [CrossRef]
- Potter, J.; Singhose, W.; Costelloy, M. Reducing swing of model helicopter sling load using input shaping. In Proceedings of the 9th IEEE International Conference on Control and Automation (ICCA), Santiago, Chile, 19–21 December 2011; pp. 348–353. [Google Scholar] [CrossRef]
- de Angelis, E.L.; Giulietti, F. Stability and control issues of multirotor suspended load transportation: An analytical closed–form approach. Aerosp. Sci. Technol. 2023, 135, 108201. [Google Scholar] [CrossRef]
- Michael, N.; Fink, J.; Kumar, V. Cooperative manipulation and transportation with aerial robots. Auton Robot 2011, 30, 73–86. [Google Scholar] [CrossRef]
- Bacelar, T.; Madeiras, J.; Melicio, R.; Cardeira, C.; Oliveira, P. On–board implementation and experimental validation of collaborative transportation of loads with multiple UAVs. Aerosp. Sci. Technol. 2020, 107, 106284. [Google Scholar] [CrossRef]
- Ariyibi, S.O.; Tekinalp, O. Quaternion–based nonlinear attitude control of quadrotor formations carrying a slung load. Aerosp. Sci. Technol. 2020, 105, 105995. [Google Scholar] [CrossRef]
- Klausen, K.; Meissen, C.; Fossen, T.I.; Arcak, M.; Johansen, T.A. Cooperative Control for Multirotors Transporting an Unknown Suspended Load Under Environmental Disturbances. IEEE Trans. Control Syst. Technol. 2020, 28, 653–660. [Google Scholar] [CrossRef]
- Tognon, M.; Gabellieri, C.; Pallottino, L.; Franchi, A. Aerial Co–Manipulation With Cables: The Role of Internal Force for Equilibria, Stability, and Passivity. IEEE Robot 2018, 3, 2577–2583. [Google Scholar] [CrossRef]
- Tasooji, T.K.; Khodadadi, S.; Liu, G.; Wang, R. Cooperative Control of Multi-Quadrotors for Transporting Cable-Suspended Payloads: Obstacle-Aware Planning and Event-Based Nonlinear Model Predictive Control. arXiv 2025, arXiv:2503.19135. [Google Scholar]
- Sun, S.; Wang, X.; Sanalitro, D.; Franchi, A.; Tognon, M.; Alonso-Mora, J. Agile and Cooperative Aerial Manipulation of a Cable-Suspended Load. arXiv 2025, arXiv:2501.18802. [Google Scholar]
- Wang, B.; Huang, R.; Zhao, L. Auto-Multilift: Distributed Learning and Control for Cooperative Load Transportation With Quadrotors. arXiv 2024, arXiv:2406.04858. [Google Scholar]
- Villa, D.K.D.; Brandão, A.S.; Sarcinelli-Filho, M. Cooperative Load Transportation with Quadrotors using Adaptive RISE Control. J. Intell. Robot. Syst. 2024, 110, 138. [Google Scholar] [CrossRef]
- de Angelis, E.L.; Giulietti, F.; Rossetti, G. Multirotor aircraft formation flight control with collision avoidance capability. Aerosp. Sci. Technol. 2018, 77, 733–741. [Google Scholar] [CrossRef]
- de Angelis, E.L.; Giulietti, F.; Pipeleers, G. Two–time–scale control of a multirotor aircraft for suspended load transportation. Aerosp. Sci. Technol. 2019, 84, 193–203. [Google Scholar] [CrossRef]
- Khalil, H.K. Nonlinear Systems, 3rd ed.; Prentice Hall: Upper Saddle River, NJ, USA, 2002; pp. 456–459. [Google Scholar]
- Costantini, E.; de Angelis, E.L.; Giulietti, F. Cooperative Transportation Using Rotorcraft: Swing State Estimation and Control. Aerosp. Sci. Technol. 2025, 167, 110713. [Google Scholar] [CrossRef]
- de Angelis, E.L. Swing angle estimation for multicopter slung load applications. Aerosp. Sci. Technol. 2019, 89, 264–274. [Google Scholar] [CrossRef]
- How, J.P.; Behihke, B.; Frank, A.; Dale, D.; Vian, J. Realtime indoor autonomous vehicle test environment. IEEE Control Syst. Mag. 2008, 28, 51–64. [Google Scholar] [CrossRef]
- Lupashin, S.; Hehn, M.; Mueller, M.W.; Schoellig, A.P.; Sherback, M.; D’Andrea, R. A platform for aerial robotics research and demonstration: The flying machine arena. Mechatronics 2014, 24, 41–54. [Google Scholar] [CrossRef]
- Zürn, M.; Morton, K.; Heckmann, A.; McFadyen, A.; Notter, S.; Gonzalez, F. MPC controlled multirotor with suspended slung load: System architecture and visual load detection. In Proceedings of the IEEE Aerospace Conference, Big Sky, MT, USA, 5–12 March 2016; pp. 1–11. [Google Scholar] [CrossRef]
- Ebrahimi, M.; Ghayour, M.; Madani, S.M.; Khoobroo, A. Swing angle estimation for anti–sway overhead crane control using load cell. Int. J. Control Autom. Syst. 2011, 9, 301–309. [Google Scholar] [CrossRef]
- Feng, Y.; Wang, J. GPS RTK Performance Characteristics and Analysis. J. Glob. Position. Syst. 2008, 7, 1–8. [Google Scholar] [CrossRef]
- Kim, Y.S.; Hong, K.S.; Sul, S.K. Anti–Sway Control of Container Cranes: Inclinometer, Observer, and State Feedback. Int. J. Control Autom. Syst. 2004, 2, 435–449. [Google Scholar]
- Paul, H.; Ono, K.; Ladig, R.; Shimonomura, K. A Multirotor Platform Employing a Three–Axis Vertical Articulated Robotic Arm for Aerial Manipulation Tasks. In Proceedings of the IEEE/ASME International Conference on Advanced Intelligent Mechatronics (AIM), Auckland, New Zealand, 9–12 July 2018; pp. 478–485. [Google Scholar] [CrossRef]
- Najm, A.A.; Ibraheem, I.K. Nonlinear PID controller design for a 6–DOF UAV quadrotor system. Int. J. Eng. Sci. Technol. 2019, 22, 1087–1097. [Google Scholar] [CrossRef]
- Rinaldi, F.; Chiesa, S.; Quagliotti, F. Linear quadratic control for quadrotors UAVs dynamics and formation flight. J. Intell. Robot. Syst. 2013, 70, 203–220. [Google Scholar] [CrossRef]
- Zhang, Y.; Chen, Z.; Sun, M.; Zhang, X. Trajectory tracking control of a quadrotor UAV based on sliding mode active disturbance rejection control. Nonlinear Anal. Model. Control 2019, 24, 545–560. [Google Scholar] [CrossRef]
- Zhou, L.; Zhang, J.; Dou, J.; Wen, B. A fuzzy adaptive backstepping control based on mass observer for trajectory tracking of a quadrotor UAV. Int. J. Adapt. Control Signal Process. 2018, 32, 1675–1693. [Google Scholar] [CrossRef]
- Gong, W.; Li, B.; Yang, Y.; Ban, H.; Xiao, B. Fixed–time integral-type sliding mode control for the quadrotor UAV attitude stabilization under actuator failures. Aerosp. Sci. Technol. 2019, 95, 105444. [Google Scholar] [CrossRef]
- Gao, B.; Liu, Y.J.; Liu, L. Adaptive neural fault–tolerant control of a quadrotor UAV via fast terminal sliding mode. Aerosp. Sci. Technol. 2022, 129, 107818. [Google Scholar] [CrossRef]
- Kim, H.W.; Brown, R.E. A Comparison of Coaxial and Conventional Rotor Performance. J. Am. Helicopter Soc. 2010, 55, 12004. [Google Scholar] [CrossRef][Green Version]
- Forsythe, G.E.; Malcolm, M.A.; Moler, C.B. Computer Methods for Mathematical Computations; Prentice–Hall: Saddle River, NJ, USA, 1976. [Google Scholar]
- NOAA-S/T 76-1562; U.S. Standard Atmosphere. U.S. Government Printing Office: Washington, DC, USA, 1976.
- PX4 Development Team and Community, PX4 Autopilot User Guide (Main). Available online: https://docs.px4.io/main/en/ (accessed on 10 April 2025).
- Press, W.H.; Flannery, B.P.; Teukolsky, S.A.; Vetterling, W.T. Numerical Recipes in C: The Art of Scientific Computing, 2nd ed.; Cambridge University Press: Cambridge, UK, 1992. [Google Scholar]
- Curtiss, D. Recent extensions of Descartes’ rule of signs. Ann. Maths 1918, 19, 251–278. [Google Scholar] [CrossRef]
- Boyer, C.B.; Merzbach, U.C. A History of Mathematics, 3rd ed.; Wiley: Hoboken, NJ, USA, 2010; pp. 255–259. [Google Scholar]
- Naidu, D.S.; Calise, A.J. Singular Perturbations and Time Scales in Guidance and Control of Aerospace Systems: A Survey. J. Guid. Control Dyn. 2001, 24, 1057–1078. [Google Scholar] [CrossRef]
- Narang–Siddarth, A.; Valasek, J. Nonlinear Time Scale Systems in Standard and Nonstandard Forms: Analysis and Control; Society for Industrial and Applied Mathematics: Philadelphia, PA, USA, 2014. [Google Scholar]
- Beard, R.W.; Lawton, J.; Hadaegh, F.Y. A Coordination Architecture for Spacecraft Formation Control. IEEE Trans. Control Syst. Technol. 2001, 9, 777–790. [Google Scholar] [CrossRef]








| Parameter | Symbol | Value | Units |
|---|---|---|---|
| Multirotor | |||
| Mass | m | 70 | kg |
| Center of gravity position | 0 | m | |
| −0.15 | m | ||
| Moments of inertia | 10.61 | kg m2 | |
| 10.31 | kg m2 | ||
| 19.74 | kg m2 | ||
| 0.037 | kg m2 | ||
| −0.043 | kg m2 | ||
| −0.003 | kg m2 | ||
| Center of pressure position | 0 | m | |
| −0.125 | m | ||
| Frame drag areas | 0.22 | m2 | |
| 1.03 | m2 | ||
| Propeller | |||
| Number of blades | 2 | ||
| Radius | R | 0.5 | m |
| Mean aerodynamic chord | 0.086 | m | |
| Chord @ | 0.103 | m | |
| Lift curve slope | a | 5.9 | rad−1 |
| Pre-cone angle | 0 | rad | |
| Root pitch angle | 0.7854 | rad | |
| Total twist | −0.6981 | rad | |
| Load | |||
| Mass | 100 | kg | |
| Reference area | 0.785 | m2 | |
| Drag coefficient (sphere) | 0.5 | ||
| Cable | |||
| Nominal cable length | L | 10 | m |
| Hooke’s constant | K | 130 | kN m−1 |
| Damping coefficient | C | 215 | N m−1 s |
| Hook point position | 0 | m | |
| −0.15 | m |
| Indicator | Cooperative Transportation Controller (CTC) | ||
|---|---|---|---|
| Nominal | () | () | |
| [s] | 24.54 | 20.91 (−14.8%) | 22.77 (−7.21%) |
| [deg s] | 39.67 | 38.90 (−1.94%) | 46.44 (+17.07%) |
| [deg] | 1.61 | 1.86 (+15.08%) | 2.04 (+26.17%) |
| [deg] | 0.138 | 0.140 (−1.03%) | 0.231 (+63.64%) |
| [deg s] | 0.0058 | 0.0067 (+16.15%) | 0.0102 (+76.37%) |
| [Wh] | 223.74 | 190.65 (−14.8%) | 207.53 (−7.24%) |
| Index | VC | CTC |
|---|---|---|
| [s] | 21.33 | 24.54 (+15.05%) |
| [deg s] | 67.39 | 39.67 (−41.14%) |
| [deg] | 3.16 | 1.61 (−48.84%) |
| [deg] | 0.15 | 0.14 (−8.26%) |
| [deg/s] | 0.0072 | 0.0058 (−20.26%) |
| [Wh] | 194.29 | 223.74 (+15.05%) |
| i-th Waypoint | [m] | [m] | [m] |
|---|---|---|---|
| 1 | 0 | 0 | −11.39 |
| 2 | 10 | 0 | −11.39 |
| 3 | 20 | −10 | −11.39 |
| 4 | 20 | 10 | −11.39 |
| 5 | 30 | 0 | −11.39 |
| 6 | 30 | 10 | −11.39 |
| Index | VC | CTC |
|---|---|---|
| [s] | 80.72 | 79.43 (−1.60%) |
| [deg s] | 139.67 | 82.84 (−40.69%) |
| [deg] | 1.73 | 1.04 (−39.72%) |
| [deg] | 0.0953 | 0.0071 (−92.57%) |
| [deg/s] | 0.0012 | 0.00009 (−92.45%) |
| [Wh] | 736.73 | 724.35 (−1.68%) |
Disclaimer/Publisher’s Note: The statements, opinions and data contained in all publications are solely those of the individual author(s) and contributor(s) and not of MDPI and/or the editor(s). MDPI and/or the editor(s) disclaim responsibility for any injury to people or property resulting from any ideas, methods, instructions or products referred to in the content. |
© 2025 by the authors. Licensee MDPI, Basel, Switzerland. This article is an open access article distributed under the terms and conditions of the Creative Commons Attribution (CC BY) license (https://creativecommons.org/licenses/by/4.0/).
Share and Cite
Costantini, E.; de Angelis, E.L.; Giulietti, F. Two-Time-Scale Cooperative UAV Transportation of a Cable-Suspended Load: A Minimal Swing Approach. Drones 2025, 9, 559. https://doi.org/10.3390/drones9080559
Costantini E, de Angelis EL, Giulietti F. Two-Time-Scale Cooperative UAV Transportation of a Cable-Suspended Load: A Minimal Swing Approach. Drones. 2025; 9(8):559. https://doi.org/10.3390/drones9080559
Chicago/Turabian StyleCostantini, Elia, Emanuele Luigi de Angelis, and Fabrizio Giulietti. 2025. "Two-Time-Scale Cooperative UAV Transportation of a Cable-Suspended Load: A Minimal Swing Approach" Drones 9, no. 8: 559. https://doi.org/10.3390/drones9080559
APA StyleCostantini, E., de Angelis, E. L., & Giulietti, F. (2025). Two-Time-Scale Cooperative UAV Transportation of a Cable-Suspended Load: A Minimal Swing Approach. Drones, 9(8), 559. https://doi.org/10.3390/drones9080559

