Longitudinal Perching Trajectory Planning for a Fixed-Wing Unmanned Aerial Vehicle at High Angle of Attack Based on the Estimation of Region of Attraction
Abstract
1. Introduction
- (1)
- This paper systematically considers the continuity of energy changes during the high AOA perching process of a fixed-wing UAV and selects the moment when the flight mechanism touches the wall as the boundary to reasonably decompose the perching process into two segments: the flight and the landing.
- (2)
- The connection between the flight dynamics model of the UAV and the structural dynamics model of the landing gear is analyzed through detailed and precise segmented mathematical modeling, and this connection is proven to satisfy the Locally Lipschitz condition.
- (3)
- The ROA of the landing gear based on structural dynamics is estimated and incorporated into flight trajectory planning. This integration clearly demonstrates the impact of landing gear performance on the vehicle’s flight trajectory. It also indicates that the strategy of considering landing gear performance constraints in trajectory planning can significantly increase the number of available flight trajectories for fixed-wing UAVs to perch at high AOA on the wall.
2. Dynamic Modeling of Perching Process
2.1. Analysis of Perching Processes
2.2. Flight and Landing Segments Modeling
2.2.1. Modeling of Flight Segment
2.2.2. Modeling of Landing Segment
2.2.3. Demonstration of the Two-Segment Continuity
3. Estimation of ROA
3.1. Algorithm for Estimating the ROA
| Algorithm 1 Estimating the ROA |
|
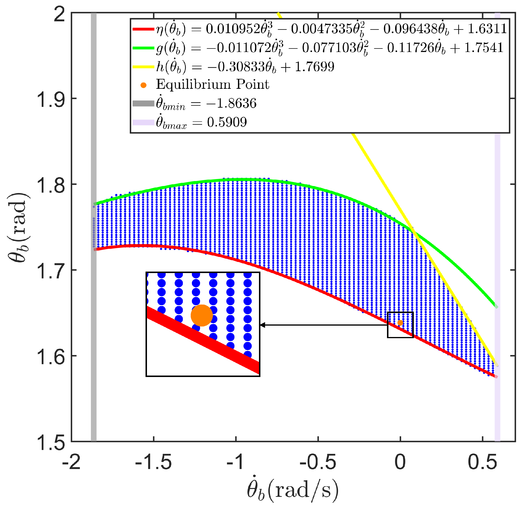
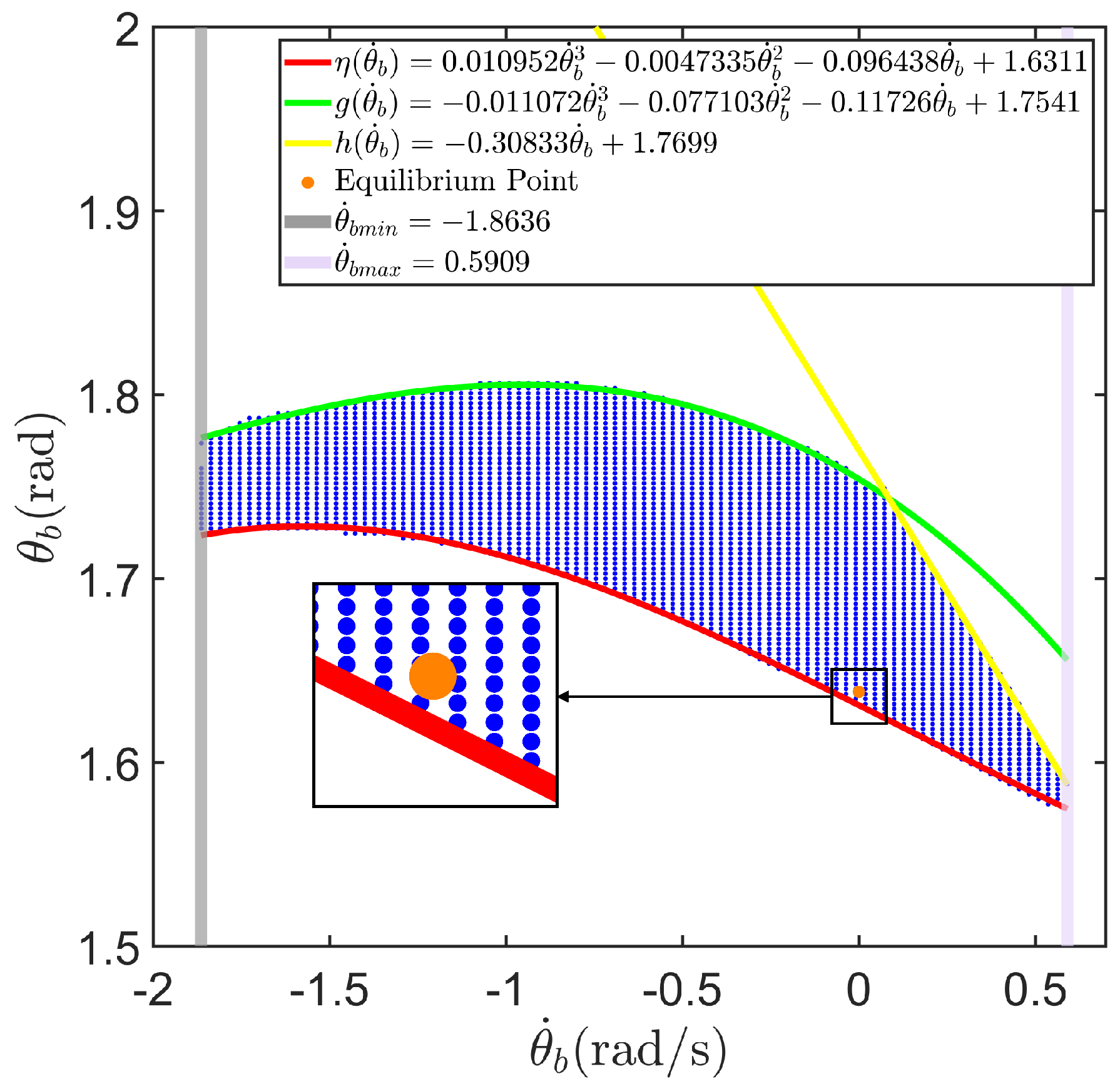
3.2. Estimation of the Region of Attraction and Boundary Fitting
4. Flight Segment Trajectory Planning
4.1. Problem Description
- (1)
- Kinetic constraints.Equation (16) represents the dynamic constraint for trajectory planning, hereinafter referred to as
- (2)
- Boundary constraint.The steady-state wing-level flight of the UAV represents the initial phase of the flight segment, and it is governed by the initial state constraint as described inMeanwhile, when the system state and of the UAV both fall into the ROA described by Equation (55) at , the end of the flight segment, it can be considered as a successful landing. At this time, the terminal constraint of the UAV is
- (3)
- Path constraint.The constraints of states and controllers for the UAV are defined by
- (4)
- Objective function.When the UAV satisfies two consecutive stages, it can perform a landing maneuver. Therefore, a smooth and collision-free objective function for the UAV is set:In summary, the flight trajectory planning of a fixed-wing UAV in post-stall perching can be modeled as the following optimal control problem:
4.2. Simulation Results
5. Conclusions
Author Contributions
Funding
Data Availability Statement
Conflicts of Interest
References
- Anderson, J.D. Fundamentals of Aerodynamics, 5th ed.; McGraw-Hill: New York, NY, USA, 2011; pp. 387–397. [Google Scholar]
- Wüest, V.; Jeger, S.; Feroskhan, M. Agile perching maneuvers in birds and morphing-wing drones. Nat. Commun. 2024, 15, 8330. [Google Scholar] [CrossRef]
- Stevens, B.L.; Lewis, F.L.; Johnson, E.N. Aircraft Control and Simulation, 3rd ed.; Wiley: New Jersey, NJ, USA, 2016; pp. 108–116. [Google Scholar]
- Avanzini, G.; Capello, E.; Piacenza, I.A. Mixed Newtonian-Lagrangian approach for the analysis of flexible aircraft dynamics. J. Aircr. 2014, 51, 1410–1421. [Google Scholar] [CrossRef]
- Shi, R.Q.; Song, J.M. Dynamics and control for an in-plane morphing wing. Aircr. Eng. Aerosp. Technol. 2013, 85, 24–31. [Google Scholar]
- Zhao, Z.J.; Zhao, Z.W.; Yan, Y. Dynamics, stability, and control of a four-cable mount system for wind tunnel test. Chin. J. Aeronaut. 2023, 36, 58–75. [Google Scholar] [CrossRef]
- Knowles, J.A.C.; Krauskopf, B.; Lowenberg, M. Numerical continuation analysis of a three-dimensional aircraft main landing gear mechanism. Nonlinear Dyn. 2013, 71, 331–352. [Google Scholar] [CrossRef][Green Version]
- Yin, Y.; Xu, K.; Nie, H. Dynamics Analysis of Spatial Landing-Gear Mechanism with Hinge Clearance and Axis Deviation. J. Aircr. 2020, 58, 1–13. [Google Scholar] [CrossRef]
- Awrejcewicz, J.; Bilichenko, D.; Cheib, A.K. Estimating the region of attraction based on a polynomial Lyapunov function. Appl. Math. Model. 2021, 90, 1143–1152. [Google Scholar] [CrossRef]
- Zhou, Y.; Li, J.D.; Sun, M.W. Cascade control design for supercavitating vehicles with actuator saturation and the estimation of the domain of attraction. Ocean Eng. 2023, 282, 114996. [Google Scholar] [CrossRef]
- Ferguson, J.; Cucuzzella, M.; Scherpen, J. Increasing the region of attraction in DC microgrids. Automatica 2023, 151, 110883. [Google Scholar] [CrossRef]
- Zhang, L.Y.; Li, Z.K.; Han, H.Y. A review of perched design technology of micro-UAV. Acta Aeronaut. Astronaut. Sin. 2023, 44, 1–26. [Google Scholar]
- Guitart, A.; Demouge, C.; Delahaye, D. Multicriteria methodology for aircraft trajectory planning algorithm selection: A survey. IEEE Trans. Intell. Transp. Syst. 2024, 25, 12893–12911. [Google Scholar] [CrossRef]
- Hote, S.; Ghose, D. Optimal trajectory planning for unmanned aerial vehicles in three-dimensional space. J. Aircr. 2014, 51, 681–687. [Google Scholar] [CrossRef]
- Babaei, A.R.; Maghsoudi, H. Aircraft three-dimensional hard-constrained trajectory planning using pseudospectral optimization method. J. Aerosp. Technol. Manag. 2021, 13, e3521. [Google Scholar] [CrossRef]
- Rudnick-Cohen, E.S.; Reich, G.W.; Pankonien, A.M. Robust optimal design and trajectory planning of an aircraft with morphing airfoil sections. Struct. Multidiscip. Optim. 2023, 66, 214. [Google Scholar] [CrossRef]
- Alikhan, M.; Peyada, N.K.; Go, T.H. Flight dynamics and optimization of three-dimensional perching maneuver. J. Guid. Control Dyn. 2013, 36, 1791–1796. [Google Scholar] [CrossRef]
- Waldock, A.; Greatwood, C.; Salama, F. Learning to perform a perched landing on the ground using deep reinforcement learning. J. Intell. Robot. Syst. Theory Appl. 2018, 92, 685–704. [Google Scholar] [CrossRef]
- Chow, T.L. Classical Mechanics, 3rd ed.; CRC Press: Boca Raton, FL, USA, 2025; pp. 108–119. [Google Scholar]
- Desbiens, A.L.; Asbeck, A.T.; Cutkosky, M.R. Landing, perching and taking off from vertical surfaces. Int. J. Robot. Res. 2011, 30, 355–370. [Google Scholar] [CrossRef]
- Cory, R.; Tedrake, R. Experiments in Fixed-Wing UAV Perching. Autonomous System Technology I. In Proceedings of the AIAA Guidance, Navigation and Control Conference and Exhibit, Honolulu, HI, USA, 18–21 August 2008; pp. 1–12. [Google Scholar]
- Moore, J.L. Robust Post-Stall Perching with a Fixed-Wing UAV. Ph.D. Dissertation, Massachusetts Institute of Technology, Cambridge, MA, USA, 2014. [Google Scholar]
- Glassman, E.; Desbiens, A.L.; Tobenkin, M. Region of attraction estimation for a perching aircraft: A Lyapunov method exploiting barrier certificates. In Proceedings of the 2012 IEEE International Conference on Robotics and Automation, Saint Paul, MN, USA, 14–18 May 2012; pp. 2235–2242. [Google Scholar]
- Khalil, H.K. Nonlinear Systems, 3rd ed.; Prentice Hall: New Jersey, NJ, USA, 2002; pp. 2, 128. [Google Scholar]
- GPOPS-II: Next-Generation Optimal Control Software. Available online: https://www.gpops2.com/ (accessed on 1 July 2024).













| Parameters | Symbol | Value |
|---|---|---|
| Mass of the airplane | m | 0.4 kg |
| Plane inertia about center of mass (COM) | 0.0164 kg · | |
| Distance COM to foot along | 0.15 m | |
| Distance COM to tail along | 0.57 m | |
| Distance COM to hip along | 0.03 m | |
| Hip damping | 0.0012 Nm · | |
| Nature angle of the hip | ||
| Spines stiffness | 0.0041 Nm · | |
| Coefficient of static friction | ||
| Adhesion limit coefficient of wall | 1 | |
| Wing area | 0.155 | |
| Wing chord | 0.1685 m | |
| Gravitational acceleration | g | 9.781 |
| Local air density | 1.1588 | |
| Stalling AOA |
Disclaimer/Publisher’s Note: The statements, opinions and data contained in all publications are solely those of the individual author(s) and contributor(s) and not of MDPI and/or the editor(s). MDPI and/or the editor(s) disclaim responsibility for any injury to people or property resulting from any ideas, methods, instructions or products referred to in the content. |
© 2025 by the authors. Licensee MDPI, Basel, Switzerland. This article is an open access article distributed under the terms and conditions of the Creative Commons Attribution (CC BY) license (https://creativecommons.org/licenses/by/4.0/).
Share and Cite
Li, R.; Chen, G.; Lu, Y.; Qin, K.; Zhou, T.; Wang, W. Longitudinal Perching Trajectory Planning for a Fixed-Wing Unmanned Aerial Vehicle at High Angle of Attack Based on the Estimation of Region of Attraction. Drones 2025, 9, 87. https://doi.org/10.3390/drones9020087
Li R, Chen G, Lu Y, Qin K, Zhou T, Wang W. Longitudinal Perching Trajectory Planning for a Fixed-Wing Unmanned Aerial Vehicle at High Angle of Attack Based on the Estimation of Region of Attraction. Drones. 2025; 9(2):87. https://doi.org/10.3390/drones9020087
Chicago/Turabian StyleLi, Rui, Gong Chen, Yanhui Lu, Kaiyu Qin, Teng Zhou, and Wenzheng Wang. 2025. "Longitudinal Perching Trajectory Planning for a Fixed-Wing Unmanned Aerial Vehicle at High Angle of Attack Based on the Estimation of Region of Attraction" Drones 9, no. 2: 87. https://doi.org/10.3390/drones9020087
APA StyleLi, R., Chen, G., Lu, Y., Qin, K., Zhou, T., & Wang, W. (2025). Longitudinal Perching Trajectory Planning for a Fixed-Wing Unmanned Aerial Vehicle at High Angle of Attack Based on the Estimation of Region of Attraction. Drones, 9(2), 87. https://doi.org/10.3390/drones9020087

