Fast Terminal Sliding Mode Fault-Tolerant Control for Markov Jump Nonlinear Systems Based on an Adaptive Observer
Abstract
:1. Introduction
- We consider the specificity of the work environment, and the UAV system is regarded as a Markov jump nonlinear system that is proven to be stochastically stable. The nonlinear term is satisfied with the quasi-one-sided Lipschitz condition, which relaxes the constraints and contains more nonlinear information.
- The FAFE algorithm is utilized to design the adaptive observer to estimate the fault and disturbance, where there is is no need to know the bound of the fault in advance.
- Based on the estimation given by the observer, a nonsingular fast terminal sliding-mode fault-tolerant controller is applied to control the MJNS, which is proven stable by the LKF.
- The simulation results on a quadrotor UAV system show the feasibility of the theory.
2. System Description and Preliminaries
2.1. Quadrotor Kinematic Model
2.2. Markov Jump Nonlinear Systems Dynamic Model
3. Main Results
3.1. Observer Design and Fault Estimation
3.2. Observer-Based Nonsingular Fast Terminal Sliding Mode Fault-Tolerant Control Design
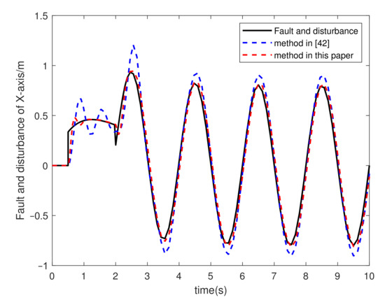
4. Simulation Study
5. Conclusions
Author Contributions
Funding
Institutional Review Board Statement
Informed Consent Statement
Data Availability Statement
Conflicts of Interest
References
- Krasovskii, N.M.; Lidskii, E.A. Analytical design of controllers in systems with random attributes. Remote Control 1961, 22, 1021–2025. [Google Scholar]
- Fang, H.Y.; Zhu, G.Z.; Stojanovic, V.; Nie, R.; He, S.P.; Luan, X.L.; Liu, F. Adaptive optimization algorithm for nonlinear Markov jump systems with partial unknown dynamics. Int. J. Robust Nonlinear Control 2021, 31, 2126–2140. [Google Scholar] [CrossRef]
- Ren, Y.H.; Wang, W.Q.; Hua, D.L.; Shen, M.X. Incremental dissipative control for nonlinear stochastic Markovian jump systems. J. Frankl. Inst.-Eng. Appl. Math. 2021, 358, 3757–3778. [Google Scholar] [CrossRef]
- Alattas, K.A.; Mohammadzadeh, A.; Mobayen, S.; Abo-Dief, H.M.; Alanazi, A.K.; Vu, M.T.; Chang, A.R. Automatic Control for Time Delay Markov Jump Systems under Polytopic Uncertainties. Mathematics 2020, 10, 187. [Google Scholar] [CrossRef]
- Altan, A.; Hacioglu, R. Model predictive control of three-axis gimbal system mounted on UAV for real-time target tracking under external disturbances. Mech. Syst. Signal Process. 2020, 138, 106548. [Google Scholar] [CrossRef]
- Maimaitijiang, M.; Sagan, V.; Sidike, P.; Hartling, S.; Esposito, F.; Fritschi, F.B. Soybean yield prediction from UAV using multimodal data fusion and deep learning. Remote Sens. Environ. 2020, 237, 111599. [Google Scholar] [CrossRef]
- Dai, Y.Y.; Xu, D.; Zhang, K.; Maharjan, S.; Zhang, Y. Deep Reinforcement Learning and Permissioned Blockchain for Content Caching in Vehicular Edge Computing and Networks. IEEE Trans. Veh. Technol. 2020, 69, 4312–4324. [Google Scholar] [CrossRef]
- Yu, Z.Q.; Zhang, Y.M.; Jiang, B.; Fu, J.; Jin, Y.; Chai, T.Y. Composite Adaptive Disturbance Observer-Based Decentralized Fractional-Order Fault-Tolerant Control of Networked UAVs. IEEE Trans. Syst. Man Cybern.-Syst. 2022, 52, 799–813. [Google Scholar] [CrossRef]
- Guan, C.; Fei, Z.; Park, P.G. Modified looped functional for sampled-data control of T-S fuzzy Markovian jump systems. IEEE Trans. Fuzzy Syst. 2020, 29, 2543–2552. [Google Scholar] [CrossRef]
- Wang, S.; Wu, Z. Asynchronous Control of Uncertain Markov Jump Systems With Actuator Saturation. IEEE Trans. Circuits Syst. II Express Briefs 2022, 69, 3269–3273. [Google Scholar] [CrossRef]
- Chen, H.; Liu, M. Finite-time stability for a kind of Markovian jump systems subject to random delays and external disturbances. J. Nanjing Univ. Inf. Sci. Technol. (Nat. Sci. Ed.) 2017, 9, 430–436. [Google Scholar]
- Jiang, H.; Zhang, H.; Luo, Y.; Wang, J. Optimal tracking control for completely unknown nonlinear discrete-time Markov jump systems using data-based reinforcement learning method. Neurocomputing 2016, 194, 176–182. [Google Scholar] [CrossRef]
- He, S.; Zhang, M.; Fang, H.; Liu, F.; Luan, X.; Ding, Z. Reinforcement learning and adaptive optimization of a class of Markov jump systems with completely unknown dynamic information. Neural Comput. Appl. 2020, 32, 14311–14320. [Google Scholar] [CrossRef]
- Liu, Z.; Karimi, H.R.; Yu, J. Passivity-based robust sliding mode synthesis for uncertain delayed stochastic systems via state observer. Automatica 2020, 111, 108596. [Google Scholar] [CrossRef]
- Le, Q.D.; Kang, H.J. Implementation of Fault-Tolerant Control for a Robot Manipulator Based on Synchronous Sliding Mode Control. Appl. Sci. 2020, 10, 2534. [Google Scholar] [CrossRef]
- Mao, Z.; Yan, X.; Jiang, B.; Chen, M. Adaptive Fault-Tolerant Sliding-Mode Control for High-Speed Trains with Actuator Faults and Uncertainties. IEEE Trans. Intell. Transp. Syst. 2020, 21, 2449–2460. [Google Scholar] [CrossRef]
- Guo, X.; Xu, W.; Wang, J.; Park, J. Distributed Neuroadaptive Fault-tolerant Sliding-mode Control for 2-D Plane Vehicular Platoon Systems with Spacing Constraints and Unknown Direction Faults. Automatica 2021, 129, 109673. [Google Scholar] [CrossRef]
- Zhao, J.; Ding, X.; Jiang, B.; Jiang, G.; Xie, F. A novel sliding mode fault-tolerant control strategy for variable-mass quadrotor. Int. J. Robust Nonlinear Control 2022, 1, 1–28. [Google Scholar] [CrossRef]
- Yu, Z.Q.; Zhang, Y.M.; Jiang, B.; Su, C.Y.; Fu, J.; Jin, Y.; Chai, T.Y. Decentralized fractional-order backstepping fault-tolerant control of multi-UAVs against actuator faults and wind effects. Aerosp. Sci. Technol. 2020, 104, 105939. [Google Scholar] [CrossRef]
- Wang, N.; Deng, Z.C. Finite-Time Fault Estimator Based Fault-Tolerance Control for a Surface Vehicle with Input Saturations. IEEE Trans. Ind. Inform. 2020, 16, 1172–1181. [Google Scholar] [CrossRef]
- Xu, Y.; Wu, Z.G. Distributed Adaptive Event-Triggered Fault-Tolerant Synchronization for Multiagent Systems. IEEE Trans. Ind. Electron. 2020, 68, 1537–1547. [Google Scholar] [CrossRef]
- Song, S.; Park, J.H.; Zhang, B.Y.; Song, X.N. Observer-Based Adaptive Hybrid Fuzzy Resilient Control for Fractional-Order Nonlinear Systems with Time-Varying Delays and Actuator Failures. IEEE Trans. Fuzzy Syst. 2021, 29, 471–485. [Google Scholar] [CrossRef]
- Yao, X.M.; Wu, L.G.; Guo, L. Disturbance-Observer-Based Fault Tolerant Control of High-Speed Trains: A Markovian Jump System Model Approach. IEEE Trans. Syst. Man Cybern.-Syst. 2020, 50, 1476–1485. [Google Scholar] [CrossRef]
- Yang, H.Y.; Yin, S. Reduced-order sliding-mode-observer-based fault estimation for Markov jump systems. IEEE Trans. Autom. Control 2019, 64, 4733–4740. [Google Scholar] [CrossRef]
- Yang, H.Y.; Jiang, Y.C.; Yin, S. Adaptive Fuzzy Fault-Tolerant Control for Markov Jump Systems with Additive and Multiplicative Actuator Faults. IEEE Trans. Fuzzy Syst. 2021, 29, 772–785. [Google Scholar] [CrossRef]
- Wang, G.L.; Huang, Y.F. Fault Estimation for Continuous-Time Markovian Jump Systems: An Auxiliary System Approach. IEEE Access 2021, 9, 83163–83174. [Google Scholar] [CrossRef]
- Bahreini, M.; Zarei, J.; Razavi-Far, R.; Saif, M. Robust and Reliable Output Feedback Control for Uncertain Networked Control Systems Against Actuator Faults. IEEE Trans. Syst. Man Cybern. Syst. 2022, 52, 2555–2564. [Google Scholar] [CrossRef]
- Chen, L.H.; Zhu, Y.Z.; Wu, F.; Zhao, Y.X. Fault Estimation Observer Design for Markovian Jump Systems With Nondifferentiable Actuator and Sensor Failures. IEEE Trans. Cybern. 2022, 1, 1–15. [Google Scholar] [CrossRef]
- Chen, F.Y.; Jiang, R.Q.; Zhang, K.K.; Jiang, B.; Tao, G. Robust Backstepping Sliding-Mode Control and Observer-Based Fault Estimation for a Quadrotor UAV. IEEE Trans. Ind. Electron. 2016, 63, 5044–5056. [Google Scholar] [CrossRef]
- Nian, X.H.; Chen, W.Q.; Chu, X.Y.; Xu, Z.W. Robust adaptive fault estimation and fault tolerant control for quadrotor attitude systems. Int. J. Control 2020, 93, 725–737. [Google Scholar] [CrossRef]
- Youn, W.; Choi, H.; Cho, A.; Kim, S.; Rhudy, M.B. Accelerometer Fault-Tolerant Model-Aided State Estimation for High-Altitude Long-Endurance UAV. IEEE Trans. Instrum. Meas. 2020, 69, 8539–8553. [Google Scholar] [CrossRef]
- Hajiyev, C.; Cilden-Guler, D.; Hacizade, U. Two-Stage Kalman Filter for Fault Tolerant Estimation of Wind Speed and UAV Flight Parameters. Meas. Sci. Rev. 2020, 20, 35–42. [Google Scholar] [CrossRef] [Green Version]
- Goslinski, J.; Giernacki, W.; Krolikowski, A. A Nonlinear Filter for Efficient Attitude Estimation of Unmanned Aerial Vehicle (UAV). J. Intell. Robot. Syst. 2019, 95, 1079–1095. [Google Scholar] [CrossRef]
- Eva, H.D.; Mihnea, S.; Cristina, I.M.; Liviu, C.M. An Efficient Design and Implementation of a Quadrotor Unmanned Aerial Vehicle Using Quaternion-Based Estimator. Mathematics 2020, 8, 1829. [Google Scholar]
- Minh, C.; Nguyen, H.T. Reduced-order observer design for one-sided Lipschitz time-delay systems subject to unknown inputs. IET Control Theory Appl. 2016, 10, 1097–1105. [Google Scholar]
- Fu, X.; Pang, X. Robust fault estimation and fault-tolerant control for nonlinear Markov jump systems with time-delays. Automatika 2021, 62, 21–31. [Google Scholar] [CrossRef]
- Ren, H.; Zong, G.; Yang, D. Input-output finite-time stabilization for MJSs with time-varying delay: An observer-based approach. J. Frankl. Inst. 2019, 356, 9689–9712. [Google Scholar] [CrossRef]
- Yu, P.; Ma, Y. Observer-based asynchronous control for Markov jump systems. Appl. Math. Comput. 2020, 377, 125184. [Google Scholar] [CrossRef]
- Gao, S.; Ma, G.; Guo, Y.; Zhang, W. Fast actuator and sensor fault estimation based on adaptive unknown input observer. ISA Trans. 2022, in press. [Google Scholar] [CrossRef]
- Yang, L.; Yang, J. Nonsingular fast terminal sliding-mode control for nonlinear dynamical systems. Int. J. Robust Nonlinear Control 2011, 21, 1865–1879. [Google Scholar] [CrossRef]
- Guo, K.; Jia, J.; Yu, X.; Guo, L.; Xie, L. Multiple observers based anti-disturbance control for a quadrotor UAV against payload and wind disturbances. Control Eng. Pract. 2020, 102, 104560. [Google Scholar] [CrossRef]
- Wu, Y.; Zhang, G.; Wu, L. Observer-based adaptive fault estimation and fault-tolerant tracking control for a class of uncertain nonlinear systems. IET Control Theory Appl. 2021, 15, 13–23. [Google Scholar] [CrossRef]
- Liang, J.; Chen, Z.H.; Yuan, X.H.; Zhang, B.Q.; Yuan, Y.B. Terminal Sliding Mode Controllers for Hydraulic Turbine Governing System with Bifurcated Penstocks under Input Saturation. CMES-Comput. Model. Eng. Sci. 2020, 123, 603–629. [Google Scholar] [CrossRef]










| Parameter | Numerical Value | Unit |
|---|---|---|
| m | 1.121 | |
| g | 9.80 | |
| 0.010 | ||
| 0.008 | ||
| 0.015 |
Publisher’s Note: MDPI stays neutral with regard to jurisdictional claims in published maps and institutional affiliations. |
© 2022 by the authors. Licensee MDPI, Basel, Switzerland. This article is an open access article distributed under the terms and conditions of the Creative Commons Attribution (CC BY) license (https://creativecommons.org/licenses/by/4.0/).
Share and Cite
Yang, P.; Shen, Z.; Ding, Y.; Feng, K. Fast Terminal Sliding Mode Fault-Tolerant Control for Markov Jump Nonlinear Systems Based on an Adaptive Observer. Drones 2022, 6, 233. https://doi.org/10.3390/drones6090233
Yang P, Shen Z, Ding Y, Feng K. Fast Terminal Sliding Mode Fault-Tolerant Control for Markov Jump Nonlinear Systems Based on an Adaptive Observer. Drones. 2022; 6(9):233. https://doi.org/10.3390/drones6090233
Chicago/Turabian StyleYang, Pu, Ziwei Shen, Yu Ding, and Kejia Feng. 2022. "Fast Terminal Sliding Mode Fault-Tolerant Control for Markov Jump Nonlinear Systems Based on an Adaptive Observer" Drones 6, no. 9: 233. https://doi.org/10.3390/drones6090233
APA StyleYang, P., Shen, Z., Ding, Y., & Feng, K. (2022). Fast Terminal Sliding Mode Fault-Tolerant Control for Markov Jump Nonlinear Systems Based on an Adaptive Observer. Drones, 6(9), 233. https://doi.org/10.3390/drones6090233

