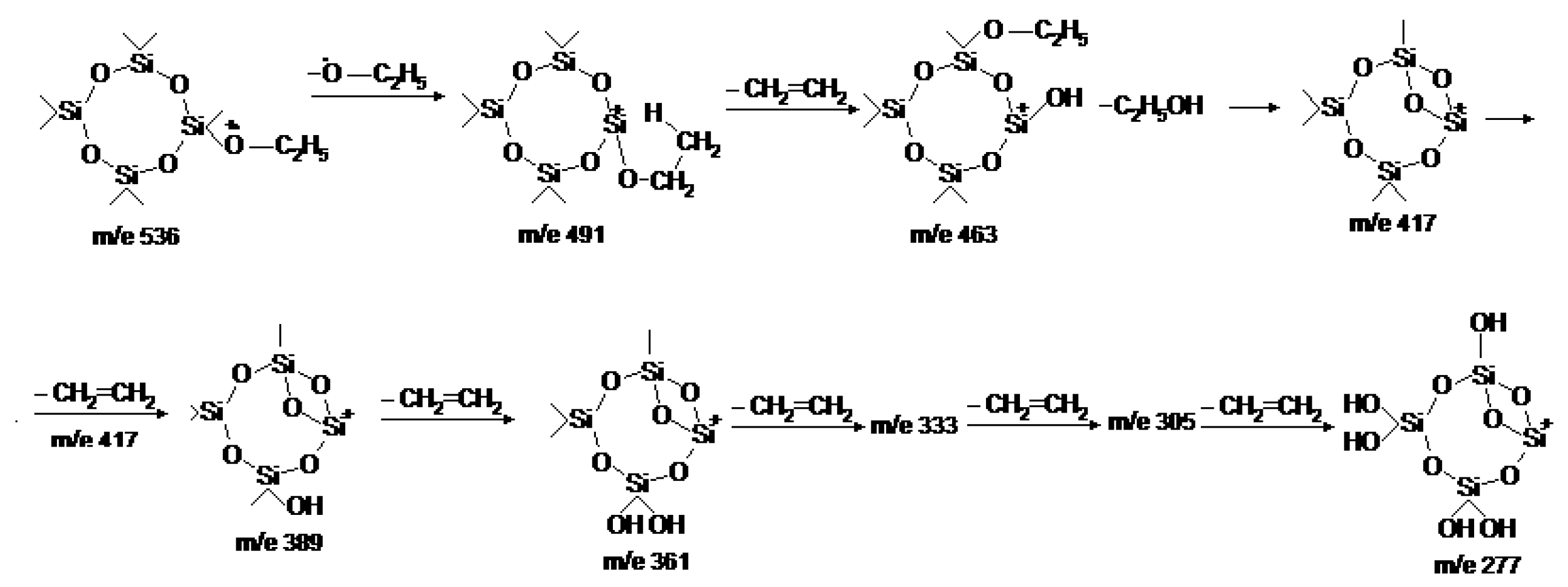
Contributions to the Interpretation of Mass Spectrum of Octaethoxycyclotetrasiloxane: Linked Scansand Isotopic Effects †
Acknowledgments
References
- Badescu, V. Contributions to the interpretation of mass spectrum of hexaethoxydisiloxane. Linked scans and M+1, M+2 isotopic effects. Rev. Chim. (Bucharest), accepted.
- Badescu, V. Contributions to the interpretation of mass spectrum of tetraethoxysilane (TEOS). Part II: Charge induced reactions. Eliminations of neutral fragments. Rev. Roum. Chim. 2015, 60, 1107–1115. [Google Scholar]
- Badescu, V. Contributions to the interpretation of mass spectrum of tetraethoxysilane (TEOS). Part I: The molecular ion. Primary events. Rev. Roum. Chim. 2014, 59, 875–882. [Google Scholar]
- Badescu, V. Reactivita Teaalcoxizilor Studiata Prinreactiiionice in Fazagazoasa. Ph.D. Thesis, Roumanian Academy, Bucharest, Romania, 1998. [Google Scholar]




© 2019 by the author. Licensee MDPI, Basel, Switzerland. This article is an open access article distributed under the terms and conditions of the Creative Commons Attribution (CC BY) license (http://creativecommons.org/licenses/by/4.0/).
Share and Cite
Badescu, V. Contributions to the Interpretation of Mass Spectrum of Octaethoxycyclotetrasiloxane: Linked Scansand Isotopic Effects. Proceedings 2019, 29, 103. https://doi.org/10.3390/proceedings2019029103
Badescu V. Contributions to the Interpretation of Mass Spectrum of Octaethoxycyclotetrasiloxane: Linked Scansand Isotopic Effects. Proceedings. 2019; 29(1):103. https://doi.org/10.3390/proceedings2019029103
Chicago/Turabian StyleBadescu, Virgil. 2019. "Contributions to the Interpretation of Mass Spectrum of Octaethoxycyclotetrasiloxane: Linked Scansand Isotopic Effects" Proceedings 29, no. 1: 103. https://doi.org/10.3390/proceedings2019029103
APA StyleBadescu, V. (2019). Contributions to the Interpretation of Mass Spectrum of Octaethoxycyclotetrasiloxane: Linked Scansand Isotopic Effects. Proceedings, 29(1), 103. https://doi.org/10.3390/proceedings2019029103
