On a Preloaded Compliance System of Fractional Order: Numerical Integration
Abstract
1. Introduction
2. Switch Dynamical Systems of IO
3. Switch Dynamical Systems of FO
3.1. Notions and Utilized Results
3.2. Numerical Integration of FO Switch Systems
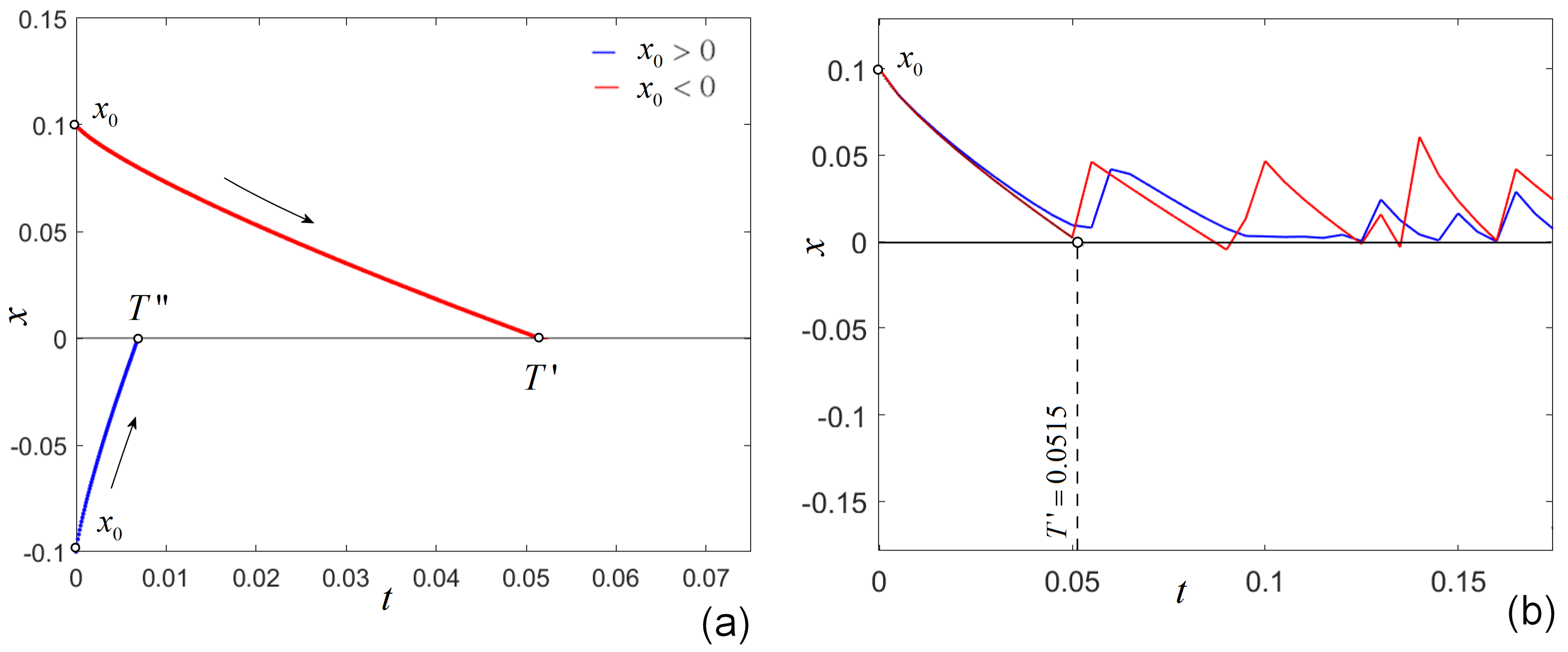
3.3. Preloaded Compliance System of FO
4. Discussion and Conclusions
Funding
Data Availability Statement
Conflicts of Interest
References
- Wiercigroch, M.; de Kraker, B. Applied Nonlinear Dynamics and Chaos of Mechanical Systems with Discontinuities; Marian Wiercigroch and Bram de Kraker, World Scientific Series on Nonlinear Science; Chua, L.O., Ed.; World Scientific: Singapore, 2000. [Google Scholar]
- Acary, V.; Brogliato, B. Numerical Methods for Nonsmooth Dynamical Systems: Applications in Mechanics and Electronics; Lecture Notes in Applied and Computational Mechanics; Springer: New York, NY, USA, 2008. [Google Scholar]
- Ray, S.S.; Atangana, A.; Noutchie, S.C.O.; Kurulay, M.; Bildik, N.; Kilicman, A. Fractional calculus and its applications in applied mathematics and other sciences. Math. Probl. Eng. 2014, 2014, 849395. [Google Scholar] [CrossRef]
- Bagley, R.; Torvik, P. On the fractional calculus model of viscoelastic behavior. J. Rheol. 1986, 30, 133–155. [Google Scholar] [CrossRef]
- Oustaloup, A.; Mathieu, B.; Lanusse, P. The CRONE control of resonant plants: Application to a flexible transmission. Eur. J. Control 1995, 1, 113–121. [Google Scholar] [CrossRef]
- Nakagawa, M.; Sorimachi, K. Basic characteristics of a fractance device. IEICE Trans. Fundam. Electron. Commun. Comput. Sci. 1992, 75, 1814–1819. [Google Scholar]
- Danca, M.-F. Fractional order logistic map: Numerical approach. Chaos Soliton. Fract. 2022, 157, 111851. [Google Scholar] [CrossRef]
- Danca, M.-F. Chaotic hidden attractor in a fractional order system modelling the interaction between dark matter and dark energy. Commun. Nonlinear Sci. 2024, 131, 107838. [Google Scholar] [CrossRef]
- Danca, M.F.; Fečkan, M. Memory Principle of the MATLAB Code for Lyapunov Exponents of Fractional-Order. Int. J. Bifurcat. Chaos 2024, 34, 2450156. [Google Scholar] [CrossRef]
- Podlubny, I. Fractional Differential Equations; Academic Press: New York, NY, USA, 1999. [Google Scholar]
- Teodoro, G.S.; Machado, J.A.T.; de Oliveira, E.C. A review of definitions of fractional derivatives and other operators. J. Comput. Phys. 2019, 388, 195–208. [Google Scholar] [CrossRef]
- Yoshitake, Y.; Sueoka, A. Forced Self-Excited Vibration with Dry Friction. In Applied Nonlinear Dynamics and Chaos of Mechanical Systems with Discontinuities; Marian Wiercigroch and Bram de Kraker, World Scientific Series on Nonlinear Science; Chua, L.O., Ed.; World Scientific: Singapore, 2000. [Google Scholar]
- Shimizu, T.; Morioka, N. On the bifurcation of a symmetric limit cycle to an asymmetric one in a simple model. Phys. Lett. A 1980, 76, 201–204. [Google Scholar] [CrossRef]
- Belea, C. Automatica Neliniara; Teorie, Exemple si Aplicatii; Editura Tehnica: Bucuresti, Romania, 1983. (In Romanian) [Google Scholar]
- Sprott, J.C. A new class of chaotic circuit. Phys. Lett. A 2000, 266, 19–23. [Google Scholar] [CrossRef]
- Tenreiro Machado, J.A.; Silva, M.F.; Barbosa, R.S.; Jesus, I.S.; Reis, C.M.; Marcos, M.G.; Galhano, A.F. Some Applications of Fractional Calculus in Engineering. Math. Probl. Eng. 2010, 2010, 639801. [Google Scholar] [CrossRef]
- Wang, J.-L.; Li, H.-F. Surpassing the fractional derivative: Concept of the memory-dependent derivative. Comput. Math. Appl. 2011, 62, 1562–1567. [Google Scholar] [CrossRef]
- Podlubny, I. Fractional Differential Equations. An Introduction to Fractional Derivatives, Fractional Differential Equations, to Methods of their Solution and Some of their Applications; Academic Press: San Diego, CA, USA, 1999. [Google Scholar]
- Diethelm, K.; Ford, N.J.; Freed, A.D. A predictor-corrector approach for the numerical solution of fractional differential equations. Nonlinear Dyn. 2002, 29, 3–22. [Google Scholar] [CrossRef]
- Aubin, J.-P.; Cellina, A. Differential Inclusions Set-Valued Maps and Viability Theory; Springer: Berlin/Heidelberg, Germany, 1984. [Google Scholar]
- Aubin, J.-P.; Frankowska, H. Set-Valued Analysis; Birkhuser: Boston, MA, USA, 1990. [Google Scholar]
- Deimling, K. Multivalued Differential Equations; de Gruyter: Berlin, Germany; New York, NY, USA, 1992. [Google Scholar]
- Filippov, A.F. Differential Equations with Discontinuous Right-Hand Sides; Kluwer Academic: Dordrecht, The Netherlands, 1988. [Google Scholar]
- El-Sayed, A.M.A.; Ibrahim, A.G. Multivalued fractional differential equations of arbitrary orders. Appl. Math. Comput. 1995, 68, 15–25. [Google Scholar]
- Elliot, C.M. On the convergence of a onestep method for the numerical solution of an ordinary differential inclusion. IMA J. Numer. Anal. 1985, 5, 3–21. [Google Scholar] [CrossRef]
- Lempio, F. Modified Euler methods for differential inclusions. In Set-Valued Analysis and Differential Inclusions; A Collection of Papers Resulting from a Workshop; Kurzanski, A.B., Veliov, V.M., Eds.; Birkhäuser: Boston, MA, USA, 1993. [Google Scholar]
- Lempio, F.; Veliov, V. Discrete approximations of differential inclusions. Bayreuth. Math. Schr. 1998, 54, 149–232. [Google Scholar]
- Dontchev, A.; Lempio, F. Difference Methods for Differential Inclusions: A Survey. SIAM Rev. 1992, 34, 263–294. [Google Scholar] [CrossRef]
- Agarwal, R.; Benchohra, M. A Survey on Existence Results for Boundary Value Problems of Nonlinear Fractional Differential Equations and Inclusions. Acta Appl. Math. 2010, 109, 973–1033. [Google Scholar] [CrossRef]
- Kastner-Maresch, A.; Lempio, F. Difference methods with selection strategies for differential inclusions. Numer. Funct. Anal. Optim. 1993, 14, 555–572. [Google Scholar] [CrossRef]
- Danca, M.-F. On a Class of Discontinuous Dynamical Systems. Miskolt Math. Notes 2001, 2, 103–116. [Google Scholar]
- Danca, M.-F. Continuous approximations of a class of piecewise continuous systems. Int. J. Bifurcat. Chaos 2015, 25, 1550146. [Google Scholar] [CrossRef]
- Tavazoei, M.S.; Haeri, M. A proof for non existence of periodic solutions in time invariant fractional order systems. Automatica 2009, 45, 1886–1890. [Google Scholar] [CrossRef]
- Shen, J.; Lam, J. Non-existence of finite-time stable equilibria in fractional-order nonlinear systems. Automatica 2014, 50, 547–551. [Google Scholar] [CrossRef]







Disclaimer/Publisher’s Note: The statements, opinions and data contained in all publications are solely those of the individual author(s) and contributor(s) and not of MDPI and/or the editor(s). MDPI and/or the editor(s) disclaim responsibility for any injury to people or property resulting from any ideas, methods, instructions or products referred to in the content. |
© 2025 by the author. Licensee MDPI, Basel, Switzerland. This article is an open access article distributed under the terms and conditions of the Creative Commons Attribution (CC BY) license (https://creativecommons.org/licenses/by/4.0/).
Share and Cite
Danca, M.-F. On a Preloaded Compliance System of Fractional Order: Numerical Integration. Fractal Fract. 2025, 9, 84. https://doi.org/10.3390/fractalfract9020084
Danca M-F. On a Preloaded Compliance System of Fractional Order: Numerical Integration. Fractal and Fractional. 2025; 9(2):84. https://doi.org/10.3390/fractalfract9020084
Chicago/Turabian StyleDanca, Marius-F. 2025. "On a Preloaded Compliance System of Fractional Order: Numerical Integration" Fractal and Fractional 9, no. 2: 84. https://doi.org/10.3390/fractalfract9020084
APA StyleDanca, M.-F. (2025). On a Preloaded Compliance System of Fractional Order: Numerical Integration. Fractal and Fractional, 9(2), 84. https://doi.org/10.3390/fractalfract9020084

