A Fast Computational Scheme for Solving the Temporal-Fractional Black–Scholes Partial Differential Equation
Abstract
1. Introduction
1.1. PDE Formulation
1.2. Initial Conditions
1.3. Boundary Conditions
1.4. Caputo Fractional Derivative
1.5. Time Discretization
1.6. Background on Numerical Methods
1.7. Paper’s Outline
2. Spatial Discretization Nodes
3. A Fast High-Order Discretization
4. Construction of the Solver
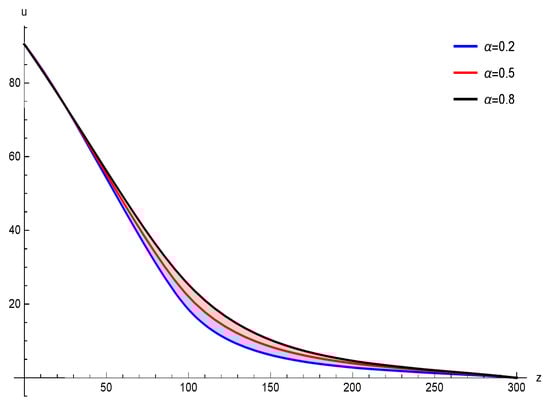
5. Numerical Tests
6. Conclusions
Author Contributions
Funding
Institutional Review Board Statement
Informed Consent Statement
Data Availability Statement
Conflicts of Interest
References
- Wyss, W. The fractional Black-Scholes equation. Fract. Calc. Appl. Anal. 2000, 3, 51–62. [Google Scholar]
- Jumarie, G. Derivation and solutions of some fractional Black-Scholes equations in coarse-grained space and time: Application to Merton’s optimal portfolio. Comput. Math. Appl. 2010, 59, 1142–1164. [Google Scholar] [CrossRef]
- Hurst, H.E. Long-term storage capacity of reservoirs. Trans. Am. Soc. Civil Eng. 1951, 116, 770–799. [Google Scholar] [CrossRef]
- Seydel, R.U. Tools for Computational Finance, 6th ed.; Springer: London, UK, 2017. [Google Scholar]
- Soleymani, F.; Zhu, S. Error and stability estimates of a time-fractional option pricing model under fully spatial-temporal graded meshes. J. Comput. Appl. Math. 2023, 425, 115075. [Google Scholar] [CrossRef]
- Jumarie, G. Modified Reimann-Liouville derivative and fractional Taylor series of non-differentiable functions further results. Comput. Math. Appl. 2006, 51, 1367–1376. [Google Scholar]
- Caputo, M. Linear model of dissipation whose Q is almost frequency independent II. Geophys. J. Int. 1967, 13, 529–539. [Google Scholar] [CrossRef]
- Diethelm, K. An algorithm for the numerical solution of differential equations of fractional order. Electron. Trans. Numer. Anal. 1997, 5, 1–6. [Google Scholar]
- Soleymani, F.; Barfeie, M. Pricing options under stochastic volatility jump model: A stable adaptive scheme. Appl. Numer. Math. 2019, 145, 69–89. [Google Scholar] [CrossRef]
- Soheili, A.R.; Soleymani, F. Some derivative-free solvers for numerical solution of SODEs. SeMA 2015, 68, 17–27. [Google Scholar] [CrossRef]
- Love, E.; Rider, W.J. On the convergence of finite difference methods for PDE under temporal refinement. Comput. Math. Appl. 2013, 66, 33–40. [Google Scholar] [CrossRef]
- Nikan, O.; Avazzadeh, Z.; Tenreiro Machado, J.A. Localized kernel-based meshless method for pricing financial options underlying fractal transmission system. Math. Meth. Appl. Sci. 2021. [Google Scholar] [CrossRef]
- Roul, P.; Prasad Goura, V.M.K. A compact finite difference scheme for fractional Black-Scholes option pricing model. Appl. Numer. Math. 2021, 166, 40–60. [Google Scholar] [CrossRef]
- Torres-Hernandez, A.; Brambila-Paz, F.; Torres-Martínez, C. Numerical solution using radial basis functions for multidimensional fractional partial differential equations of type Black-Scholes. Comput. Appl. Math. 2017, 40, 1–25. [Google Scholar] [CrossRef]
- He, J.; Zhang, A. Finite difference/Fourier spectral for a time fractional Black-Scholes model with option pricing. Math. Prob. Eng. 2020, 2020, 1393456. [Google Scholar] [CrossRef]
- Kluge, T. Pricing Derivatives in Stochastic Volatility Models Using the Finite Difference Method. Ph.D. Thesis, TU Chemnitz, Chemnitz, Germany, 2002. [Google Scholar]
- Akgül, A.; Soleymani, F. How to construct a fourth-order scheme for Heston-Hull-White equation? In Proceedings of the AIP Conference Proceedings of ICNAAM, Rhodes, Greece, 13–18 September 2018; pp. 1–5. [Google Scholar]
- Henderson, H.V.; Pukelsheim, F.; Searle, S.R. On the history of the kronecker product. Linear Multilinear Algebra 1983, 14, 113–120. [Google Scholar] [CrossRef]
- Zhang, H.; Liu, F.; Turner, I.; Yang, Q. Numerical solution of the time fractional Black-Scholes model governing European options. Comput. Math. Appl. 2016, 71, 1772–1783. [Google Scholar] [CrossRef]
- Song, Y.; Shateyi, S. Inverse multiquadric function to price financial options under the fractional Black-Scholes model. Fractal Fract. 2022, 6, 599. [Google Scholar] [CrossRef]
- Georgakopoulos, N.L. Illustrating Finance Policy with Mathematica; Springer International Publishing: Cham, Switzerland, 2018. [Google Scholar]



| m,n | T | T | T | ||||||
|---|---|---|---|---|---|---|---|---|---|
| 10 | 16.070 | 2.11 × 10 | 0.01 | 17.378 | 8.1 × 10 | 0.01 | 17.381 | 8.0 × 10 | 0.01 |
| 20 | 17.889 | 2.98 × 10 | 0.02 | 17.694 | 4.94 × 10 | 0.02 | 17.701 | 4.8 × 10 | 0.02 |
| 40 | 17.913 | 2.75 × 10 | 0.16 | 18.003 | 1.85 × 10 | 0.18 | 18.091 | 9.7 × 10 | 0.16 |
| 80 | 18.039 | 1.48 × 10 | 3.96 | 18.213 | 2.46 × 10 | 3.84 | 18.205 | 1.6 × 10 | 3.63 |
| 120 | 18.055 | 1.33 × 10 | 20.02 | 18.190 | 1.64 × 10 | 20.96 | 18.187 | 1.3 × 10 | 19.17 |
| m,n | T | T | T | ||||||
|---|---|---|---|---|---|---|---|---|---|
| 11 | 23.914 | 7.1 × 10 | 0.01 | 23.631 | 9.9 × 10 | 0.03 | 23.712 | 9.1 × 10 | 0.02 |
| 21 | 24.316 | 3.1 × 10 | 0.03 | 24.117 | 5.1 × 10 | 0.05 | 24.239 | 3.9 × 10 | 0.05 |
| 41 | 24.466 | 1.6 × 10 | 0.15 | 24.356 | 2.7 × 10 | 0.21 | 24.546 | 8.3 × 10 | 0.19 |
| 81 | 24.545 | 8.4 × 10 | 4.14 | 24.565 | 6.4 × 10 | 4.69 | 24.601 | 2.8 × 10 | 4.37 |
| 161 | 24.580 | 4.9 × 10 | 63.97 | 24.636 | 6.1 × 10 | 64.01 | 24.624 | 5.9 × 10 | 62.64 |
Disclaimer/Publisher’s Note: The statements, opinions and data contained in all publications are solely those of the individual author(s) and contributor(s) and not of MDPI and/or the editor(s). MDPI and/or the editor(s) disclaim responsibility for any injury to people or property resulting from any ideas, methods, instructions or products referred to in the content. |
© 2023 by the authors. Licensee MDPI, Basel, Switzerland. This article is an open access article distributed under the terms and conditions of the Creative Commons Attribution (CC BY) license (https://creativecommons.org/licenses/by/4.0/).
Share and Cite
Ghabaei, R.; Lotfi, T.; Ullah, M.Z.; Shateyi, S. A Fast Computational Scheme for Solving the Temporal-Fractional Black–Scholes Partial Differential Equation. Fractal Fract. 2023, 7, 323. https://doi.org/10.3390/fractalfract7040323
Ghabaei R, Lotfi T, Ullah MZ, Shateyi S. A Fast Computational Scheme for Solving the Temporal-Fractional Black–Scholes Partial Differential Equation. Fractal and Fractional. 2023; 7(4):323. https://doi.org/10.3390/fractalfract7040323
Chicago/Turabian StyleGhabaei, Rouhollah, Taher Lotfi, Malik Zaka Ullah, and Stanford Shateyi. 2023. "A Fast Computational Scheme for Solving the Temporal-Fractional Black–Scholes Partial Differential Equation" Fractal and Fractional 7, no. 4: 323. https://doi.org/10.3390/fractalfract7040323
APA StyleGhabaei, R., Lotfi, T., Ullah, M. Z., & Shateyi, S. (2023). A Fast Computational Scheme for Solving the Temporal-Fractional Black–Scholes Partial Differential Equation. Fractal and Fractional, 7(4), 323. https://doi.org/10.3390/fractalfract7040323

