Monotone Iterative Method for ψ-Caputo Fractional Differential Equation with Nonlinear Boundary Conditions
Abstract
:1. Introduction
2. Relevant Preliminaries
- ,
- for ,
- ,
- ,
- , for all , .
3. Main Results
- (H1)
- There exist and as lower and upper solutions of (1) in , respectively, with and;
- (H2)
- satisfies the following condition:for and the following:for each .
- (H3)
- There exist constants and , such that for and ,
- (H4)
- There exist constants and , such that for the following:and the following obtains.
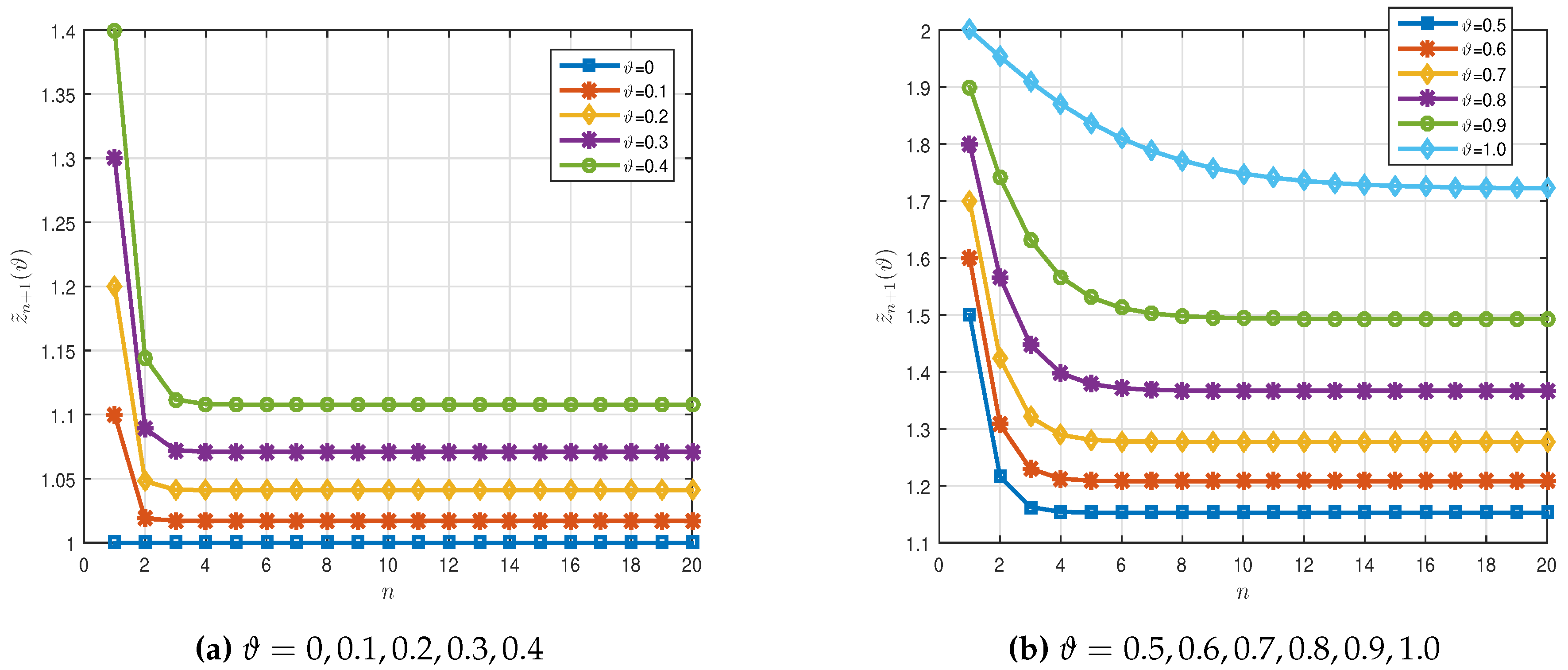
4. Illustration
5. Conclusions
Author Contributions
Funding
Institutional Review Board Statement
Informed Consent Statement
Data Availability Statement
Acknowledgments
Conflicts of Interest
References
- Hilfer, R. Applications of Fractional Calculus in Physics; World Scientific: Singapore, 2000. [Google Scholar]
- Podlubny, I. Fractional Differential Equations; Academic Press: San Diego, CA, USA, 1999. [Google Scholar]
- Sabatier, J.; Agrawal, O.P.; Machado, J.A.T. Advances in Fractional Calculus-Theoretical Developments and Applications in Physics and Engineering; Springer: Dordrecht, The Netherlands, 2007. [Google Scholar]
- Tarasov, V.E. Fractional Dynamics, Nonlinear Physical Science; Springer: Berlin/Heidelberg, Germany, 2010. [Google Scholar]
- Pratap, A.; Raja, R.; Alzabut, J.; Dianavinnarasi, J.; Rajchakit, G. Finite-time Mittag-Leffler stability of fractional-order quaternion-valued memristive neural networks with impulses. Neural Process. Lett. 2020, 51, 1485–1526. [Google Scholar] [CrossRef]
- Caputo, M.; Fabrizio, M. A new definition of fractional derivative without singular kernel. Progr. Fract. Differ. Appl. 2015, 1, 1–13. [Google Scholar]
- Jarad, F.; Abdeljawad, T.; Alzabut, J. Generalized fractional derivatives generated by a class of local proportional derivatives. Eur. Phys. J. Spec. Top. 2017, 226, 3457–3471. [Google Scholar] [CrossRef]
- Khalil, R.; Horani, M.A.; Yousef, A.; Sababheh, M. A new definition of fractional derivative. J. Comput. Appl. Math. 2014, 264, 65–70. [Google Scholar] [CrossRef]
- Almeida, R. A Caputo fractional derivative of a function with respect to another function. Commun. Nonlinear Sci. Numer. Simul. 2017, 44, 460–481. [Google Scholar] [CrossRef] [Green Version]
- Almeida, R.; Malinowska, A.; Monteiro, M. Fractional differential equations with a Caputo derivative with respect to a kernel function and their applications. Math. Meth. Appl. Sci. 2018, 41, 336–352. [Google Scholar] [CrossRef] [Green Version]
- Abdo, M.; Panchal, S.K.; Saeed, A.M. Fractional boundary value problem with Ψ-Caputo fractional derivative. Proc. Math. Sci. 2019, 129, 65. [Google Scholar] [CrossRef]
- Jarad, F.; Abdeljawad, T.; Rashid, S. More properties of the proportional fractional integrals and derivatives of a function with respect to another function. Adv. Differ. Equ. 2020, 2020, 303. [Google Scholar] [CrossRef]
- Promsakon, C.; Suntonsinsoungvon, E.; Ntouyas, S.K. Impulsive boundary value problems containing Caputo fractional derivative of a function with respect to another function. Adv. Differ. Equ. 2019, 2019, 486. [Google Scholar] [CrossRef] [Green Version]
- da C. Sousa, J.V.; de Oliveira, E.C. On the ψ-Hilfer fractional derivative. Commun. Nonlinear Sci. Numer. Simul. 2018, 60, 72–91. [Google Scholar]
- Alzabut, J.; Viji, J.; Muthulakshmi, V.; Sudsutad, W. Oscillatory behavior of a type of generalized proportional fractional differential equations with forcing and damping terms. Mathematics 2020, 8, 1037. [Google Scholar] [CrossRef]
- Alzabut, J.; Mohammadaliee, B.; Samei, M.E. Solutions of two fractional q–integro–differential equations under sum and integral boundary value conditions on a time scale. Adv. Differ. Equ. 2020, 2020, 304. [Google Scholar] [CrossRef]
- Samei, M.E.; Hedayati, V.; Rezapour, S. Existence results for a fraction hybrid differential inclusion with caputo-hadamard type fractional derivative. Adv. Differ. Equ. 2019, 2019, 163. [Google Scholar] [CrossRef]
- Abbas, S.; Benchohra, M.; Hamidi, N.; Henderson, J. Caputo–Hadamard fractional differential equations in Banach spaces. Fract. Calc. Appl. Anal. 2018, 2139, 1027–1045. [Google Scholar] [CrossRef]
- Matar, M.M.; Lubbad, A.A.; Alzabut, J. On p-Laplacian boundary value problem involving Caputo-Katugampula fractional derivatives. Math. Methods Appl. Sci. 2020, 51, 1485–1526. [Google Scholar] [CrossRef]
- Rezapour, S.; Imran, A.; Hussain, A.; Martínez, F.; Etemad, S.; Kaabar, M.K.A. Condensing Functions and Approximate Endpoint Criterion for the Existence Analysis of Quantum Integro-Difference FBVPs. Symmetry 2021, 13, 469. [Google Scholar] [CrossRef]
- Matar, M.M.; Abbas, M.I.; Alzabut, J.; Kaabar, M.K.A.; Etemad, S.; Rezapour, S. Investigation of the p-Laplacian nonperiodic nonlinear boundary value problem via generalized Caputo fractional derivatives. Adv. Differ. Equ. 2021, 2021, 1–18. [Google Scholar]
- Abbas, S.; Benchohra, M.; Samet, B.; Zhou, Y. Coupled implicit Caputo fractional q-difference systems. Adv. Differ. Equ. 2019, 2019, 527. [Google Scholar] [CrossRef]
- Kucche, K.D.; da, C.; Sousa, J.V. On the nonlinear Ψ-Hilfer fractional differential equations. Comput. Appl. Math. 2019, 38, 25. [Google Scholar] [CrossRef]
- Zhou, Y. Basic Theory of Fractional Differential Equations; World Scientific: Singapore, 2014. [Google Scholar]
- Zhou, Y. Fractional Evolution Equations and Inclusions: Analysis and Control; Elsevier: Amsterdam, The Netherlands, 2016. [Google Scholar]
- Samei, M.E.; Ghaffari, R.; Yao, S.W.; Kaabar, M.K.A.; Martínez, F. Existence of Solutions for a Singular Fractional q-Differential Equations under Riemann–Liouville Integral Boundary Condition. Symmetry 2021, 13, 1235. [Google Scholar] [CrossRef]
- Mohammadi, H.; Kaabar, M.K.A.; Alzabut, J.; Selvam, A.G.M.; Rezapour, S. A Complete Model of Crimean-Congo Hemorrhagic Fever (CCHF) Transmission Cycle with Nonlocal Fractional Derivative. J. Funct. Spaces 2021, 2021, 1–12. [Google Scholar] [CrossRef]
- Kaabar, M.K.A.; Martínez, F.; Gómez-Aguilar, J.F.; Ghanbari, B.; Kaplan, M.; Günerhan, H. New approximate analytical solutions for the nonlinear fractional Schrödinger equation with second-order spatio-temporal dispersion via double Laplace transform method. Math. Methods Appl. Sci. 2021, 1–19. [Google Scholar] [CrossRef]
- Alzabut, J.; Selvam, A.; Dhineshbabu, R.; Kaabar, M.K.A. The Existence, Uniqueness, and Stability Analysis of the Discrete Fractional Three-Point Boundary Value Problem for the Elastic Beam Equation. Symmetry 2021, 13, 789. [Google Scholar] [CrossRef]
- Etemad, S.; Souid, M.S.; Telli, B.; Kaabar, M.K.A.; Rezapour, S. Investigation of the neutral fractional differential inclusions of Katugampola-type involving both retarded and advanced arguments via Kuratowski MNC technique. Adv. Differ. Equ. 2021, 2021, 1–20. [Google Scholar]
- Al-Refai, M.; Hajji, M.A. Monotone iterative sequences for nonlinear boundary value problems of fractional order. Nonlinear Anal. 2011, 74, 3531–3539. [Google Scholar] [CrossRef]
- Chen, C.; Bohner, M.; Jia, B. Method of upper and lower solutions for nonlinear Caputo fractional difference equations and its applications. Fract. Calc. Appl. Anal. 2019, 22, 1307–1320. [Google Scholar] [CrossRef]
- Kucche, K.D.; Mali, A.D. Initial time difference quasilinearization method for fractional differential equations involving generalized Hilfer fractional derivative. Comput. Appl. Math. 2020, 39, 33. [Google Scholar] [CrossRef]
- Wang, G. Monotone iterative technique for boundary value problems of a nonlinear fractional differential equation with deviating arguments. J. Comput. Appl. Math. 2012, 236, 2425–2430. [Google Scholar] [CrossRef] [Green Version]
- Zhang, S. Monotone iterative method for initial value problem involving Riemann-Liouville fractional derivatives. Nonlinear Anal. 2009, 71, 2087–2093. [Google Scholar] [CrossRef]
- Gorenflo, R.; Kilbas, A.A.; Mainardi, F.; Rogosin, S.V. Mittag–Leffler Functions, Related Topics and Applications; Springer: New York, NY, USA, 2014. [Google Scholar]


| n | |||||
|---|---|---|---|---|---|
| 0 | 0.1 | 0.2 | 0.3 | 0.4 | |
| 1 | |||||
| 2 | |||||
| 3 | |||||
| 4 | |||||
| 5 | |||||
| 6 | |||||
| 7 | |||||
| 8 | |||||
| 9 | |||||
| 10 | |||||
| 11 | |||||
| 12 | |||||
| 13 | |||||
| 14 | |||||
| 15 | |||||
| 16 | |||||
| 17 | |||||
| 18 | |||||
| 19 | |||||
| 20 | |||||
| n | |||||
|---|---|---|---|---|---|
| 0.5 | 0.6 | 0.7 | 0.8 | 0.9 | |
| 1 | |||||
| 2 | |||||
| 3 | |||||
| 4 | |||||
| 5 | |||||
| 6 | |||||
| 7 | |||||
| 8 | |||||
| 9 | |||||
| 10 | |||||
| 11 | |||||
| 12 | |||||
| 13 | |||||
| 14 | |||||
| 15 | |||||
| 16 | |||||
| 17 | |||||
| 18 | |||||
| 19 | |||||
| 20 | |||||
| n | |||||
|---|---|---|---|---|---|
| 0 | 0.1 | 0.2 | 0.3 | 0.4 | |
| 1 | |||||
| 2 | |||||
| 3 | |||||
| 4 | |||||
| 5 | |||||
| 6 | |||||
| 7 | |||||
| 8 | |||||
| 9 | |||||
| 10 | |||||
| 11 | |||||
| 12 | |||||
| 13 | |||||
| 14 | |||||
| 15 | |||||
| 16 | |||||
| 17 | |||||
| 18 | |||||
| 19 | |||||
| 20 | |||||
| n | ||||||
|---|---|---|---|---|---|---|
| 0.5 | 0.6 | 0.7 | 0.8 | 0.9 | 1.0 | |
| 1 | ||||||
| 2 | ||||||
| 3 | ||||||
| 4 | ||||||
| 5 | ||||||
| 6 | ||||||
| 7 | ||||||
| 8 | ||||||
| 9 | ||||||
| 10 | ||||||
| 11 | ||||||
| 12 | ||||||
| 13 | ||||||
| 14 | ||||||
| 15 | ||||||
| 16 | ||||||
| 17 | ||||||
| 18 | ||||||
| 19 | ||||||
| 20 | ||||||
Publisher’s Note: MDPI stays neutral with regard to jurisdictional claims in published maps and institutional affiliations. |
© 2021 by the authors. Licensee MDPI, Basel, Switzerland. This article is an open access article distributed under the terms and conditions of the Creative Commons Attribution (CC BY) license (https://creativecommons.org/licenses/by/4.0/).
Share and Cite
Baitiche, Z.; Derbazi, C.; Alzabut, J.; Samei, M.E.; Kaabar, M.K.A.; Siri, Z. Monotone Iterative Method for ψ-Caputo Fractional Differential Equation with Nonlinear Boundary Conditions. Fractal Fract. 2021, 5, 81. https://doi.org/10.3390/fractalfract5030081
Baitiche Z, Derbazi C, Alzabut J, Samei ME, Kaabar MKA, Siri Z. Monotone Iterative Method for ψ-Caputo Fractional Differential Equation with Nonlinear Boundary Conditions. Fractal and Fractional. 2021; 5(3):81. https://doi.org/10.3390/fractalfract5030081
Chicago/Turabian StyleBaitiche, Zidane, Choukri Derbazi, Jehad Alzabut, Mohammad Esmael Samei, Mohammed K. A. Kaabar, and Zailan Siri. 2021. "Monotone Iterative Method for ψ-Caputo Fractional Differential Equation with Nonlinear Boundary Conditions" Fractal and Fractional 5, no. 3: 81. https://doi.org/10.3390/fractalfract5030081
APA StyleBaitiche, Z., Derbazi, C., Alzabut, J., Samei, M. E., Kaabar, M. K. A., & Siri, Z. (2021). Monotone Iterative Method for ψ-Caputo Fractional Differential Equation with Nonlinear Boundary Conditions. Fractal and Fractional, 5(3), 81. https://doi.org/10.3390/fractalfract5030081

