You are currently viewing a new version of our website. To view the old version click .
Infrastructures
  • Article
  • Open Access

24 October 2025

Statistical Analysis of the Tensile Strength of Cold Recycled Cement-Treated Materials and Its Influence on Pavement Design

,
,
,
and
Postgraduate Program in Civil Engineering: Civil Construction and Infrastructure, Federal University of Rio Grande do Sul, Porto Alegre 90035-190, Brazil
*
Author to whom correspondence should be addressed.
This article belongs to the Special Issue Cold and Warm Techniques for Sustainable Pavement Construction and Maintenance

Abstract

The tensile behavior of cold recycled cement-treated mixtures (CRCTMs), typically produced through full-depth reclamation (FDR), is critical for pavement design. Since no universal design method exists, different tests are applied, leading to varying results. In this context, this study aimed (a) to statistically analyze the flexural tensile strength (FTS) and indirect tensile strength (ITS) of CRCTMs incorporating reclaimed asphalt pavement (RAP) and lateritic soil (LS); (b) to evaluate how using FTS or ITS influences the design of CRCTM layers. FTS and ITS tests were conducted with different cement (1–7%) and RAP (7–93%) contents at multiple curing times (3–28 days), and results were used for statistical and mechanistic analyses. Results showed that cement and RAP contents significantly increased FTS and ITS. RAP exhibited the strongest influence on ITS. This indicates that CRCTMs with similar materials benefit from higher RAP contents. Mechanistic analysis revealed that lower RAP contents require thicker pavement structures, suggesting that increasing RAP can reduce costs and environmental impacts. FTS was about 65% higher than ITS, but using ITS in design led to structures 1.7–3.3 times thicker for the same service life. These findings highlight the need for proper CRCTM characterization, with flexural tests recommended for more reliable and cost-effective pavement design.

1. Introduction

The use of chemically stabilized layers is an efficient solution to increase the structural capacity of asphalt pavements. Such materials also enhance pavement resilience against climatic effects, for example, by reducing their sensitivity to water [1,2,3,4,5]. This is particularly important in the context of environmental changes.
In recent years, there has been a growing pursuit of sustainable alternatives in civil construction. The adoption of practices aligned with the principles of the circular economy has driven the valorization of material recycling, with the goal of reducing the extraction of non-renewable natural resources. In this context, asphalt pavement recycling has emerged as a promising solution in the transportation infrastructure sector [6,7,8].
Portland cement can be used as a stabilizing agent in pavement recycling, typically in contents ranging from 2% to 6% [9]. The addition of cement provides the recycled layers with the typical properties of chemically stabilized materials, while the presence of reclaimed asphalt pavement (RAP) provides increased flexibility [10]. The structural design of these layers is generally based on their fatigue performance, considered their main degradation mechanism. Shrinkage is also a relevant phenomenon, as it may induce early cracking. Despite the importance of these factors, studies addressing both fatigue [11,12,13,14,15] and shrinkage [4,5,16,17] on cold recycled cement-treated mixtures are still scarce.
The analysis of fatigue behavior in chemically stabilized layers is often performed using models based on the stress ratio (i.e., the ratio between the acting tensile stress and the tensile strength of the material) [18,19,20]. This approach highlights the need for an accurate determination of the tensile strength of these mixtures in the laboratory. However, since no universally adopted design method exists [21], different testing approaches are employed worldwide, which may yield varying strength values. In addition, correction factors and default values are often adopted. For instance, in France, direct tensile strength (DTS) is used for design purposes. However, some laboratories are not equipped for direct tension testing; instead, they measure indirect tensile strength (ITS) and estimate DTS by applying a factor of 0.8 to the former [22]. This can affect pavement structural design and result in under- or overestimations of service life.
Previous research reported analytical and numerical evaluations of various tests and found that only the biaxial flexural test was able to reproduce the stress path of chemically stabilized subgrades for railway infrastructure. However, the four-point bending (flexural) test and the direct tensile test showed results closer to the stress state than the ITS test [23].
In the case of cold recycled cement-treated mixtures (CRCTMs), there is a lack of a well-defined structural design method [21]. Previous studies reported that the modulus values obtained from four-point bending (flexural) tests are more consistent with those observed in the field [21,24], but no studies have yet assessed the effect of the selected method for determining tensile strength on pavement design, even though some investigations have employed more than one type of test [17,25,26,27,28]. This knowledge gap can affect decision-making in the design process, since distinct laboratory parameters may lead to different estimates. Thus, it is essential to study this topic in order to provide consistent technical guidelines.
Furthermore, lateritic soils (LSs) are often used as pavement materials in some regions [29,30,31], especially in tropical countries with restricted availability of high-quality granular materials, and may therefore be incorporated into CRCTMs. However, studies on cement-treated mixtures of RAP and LS are still limited, particularly regarding their flexural tensile behavior [32,33]. Previous research on these mixtures has predominantly focused on unconfined compressive and indirect tensile strengths [34,35,36].
In this context, the main objectives of this study are as follows: (a) to statistically analyze the effect of cement content, RAP content, and curing time on the tensile strength of CRCTMs of RAP and LS; (b) to evaluate how tensile strength values determined by different test methods (flexural or indirect tensile tests) influence the structural design of cold recycled cement-treated pavement layers.

2. Experimental Program

This section presents the materials and methods used in the experimental part of the study.

2.1. Materials

Laboratory tests were conducted on mixtures composed of cement, lateritic soil (LS), recycled base course, and RAP. Figure 1 illustrates the LS and RAP materials used in this study. LS was classified as a clayey lateritic soil (LG’) according to the MCT (Miniature, Compacted, Tropical) methodology [37]. Its liquid limit and plasticity index were 44% and 12%, respectively. Considering the classical classification systems, the soil is classified as a low-plasticity inorganic silt (ML) according to the Unified Soil Classification System (USCS) and as a plastic silt (A-7-5) according to the AASHTO Soil Classification System. It is important to note that, although the soil’s plasticity index is relatively high, the technical literature indicates that values up to 20% are acceptable for cement stabilization [38], whereas the limit should be restricted to 10% for asphalt stabilization [9]. The RAP contained 5.3% asphalt binder (6.0% in the fine fraction and 4.6% in the coarse fraction). LS and RAP were collected during a full-depth reclamation project from the base layer and wearing course of an actual pavement, respectively. Portland cement with ground-granulated blast-furnace slag addition (Brazilian type CP II E 32) was used.
Figure 1. Base layer and wearing course recycled materials used in the study: (a) LS and (b) RAP.

2.2. Methods

The test methods employed in the present study are described in this section.

2.2.1. Compaction Tests

Modified Proctor compaction tests were performed to establish the optimum moisture content (OMC) and maximum dry unit weight (MDUW) of the studied mixtures, which served as the basis for specimen preparation. The procedure followed Method D of AASHTO T180-01 [39]. Mixtures were compacted in five layers within a mold with a diameter of 152.40 ± 0.70 mm and a height of 116.40 ± 0.50 mm, with 56 blows per layer applied using a 4.54 kg hammer dropped from a height of 457 mm. Not all mixtures were tested, since in some cases the cement contents (1.17% and 2%) or the RAP contents (70% and 80%) were very close to each other. Thus, the number of tests was reduced without compromising the quality of the data obtained. The mixtures that were not tested are highlighted in the following sections.

2.2.2. Flexural Tensile Strength Tests

A full factorial design with three levels (3k) for each factor k (cement and RAP contents) was considered, as presented in Table 1. The used cement and RAP levels were based on previous studies [4,10,33]. Flexural tensile strength (FTS) tests were carried out in triplicate and the results were evaluated through regression using Minitab® 22.4.0 software. Analysis of Variance (ANOVA) was used to assess the significance of each model and its individual factors, and the significance level (α) adopted was 0.05. Table 1 also presents the compaction characteristics of the mixtures (OMC and MDUW), while their grain size distributions are shown in Figure 2. The same figure also presents the LS and RAP grain size distributions. The grain size distributions of the mixtures were defined exclusively from those of the LS and RAP materials, without considering the cement. Although some standards specify gradation envelopes [38] and some of the studied mixtures may fall outside those limits, it was decided not to modify the materials by adding virgin aggregates for correction. This approach aimed to accurately assess the influence of the soil–RAP proportion on the mixture, without altering its original composition. It is important to highlight that the mixtures with 2% and 4% of cement were also studied by Fedrigo et al. [33], which evaluated their resilient and fatigue behavior.
Table 1. Experimental matrix of the flexural tensile strength tests.
Figure 2. Grain size distribution of the mixtures used in the flexural tests.
Prismatic beams (100 mm × 100 mm × 400 mm) were produced from LS + RAP mixtures containing the specified amounts of cement and water at OMC (calculated considering the dry mass of solids). The RAP and LS were air-dried until reaching constant mass. After weighing RAP, LS, cement, and water, the solids were first blended, and then water was gradually incorporated while mixing continued. The mixtures were statically compacted in three equal layers to reach the MDUW using a hydraulic press, based on previous studies [10,33]. To enhance interlayer bonding, the surface of each compacted layer was carefully scarified. The specimens were cured for 28 days at room temperature in sealed plastic bags to preserve the mixtures’ moisture content.
Tests were carried out using a four-point bending configuration, following the experience of the National Cooperative Highway Research Program [18,19,20]. A testing machine with a 250 kN capacity was employed. As in the methodology of Castañeda López et al. [10], the testing temperature and relative humidity were kept at 24 ± 3 °C and 55 ± 15%, respectively. Tests were carried out under controlled-stress conditions, with stress increasing monotonically at a rate of 0.69 MPa/min. The flexural tensile stress was calculated using Equation (1). The flexural tensile strength is defined as the maximum flexural stress that the material can withstand.
σ i = P i L w h 2
where σi (MPa) is the flexural tensile stress corresponding to force Pi (N); L is the length between supporting rollers (300 mm); w and h are the average width and height of the specimen (mm), respectively.

2.2.3. Indirect Tensile Strength Tests

Indirect tensile strength (ITS) test specimens are easier to prepare than those used for flexural tests; therefore, this test was selected to analyze more levels of cement and RAP contents, as well as to include curing time as a factor. In this case, Design of Experiments (DoE) was used to define the experimental matrix. The Central Composite Design (CCD) was selected because it allows accurate estimation of the response while avoiding the large number of tests required in a full factorial design. CCD and other statistical techniques have been employed for mix design evaluation and optimization of chemically stabilized materials [40,41]. A concise description of the CCD is provided based on the literature [42,43,44,45].
The CCD is structured on a two-level factorial design (2k), supplemented with 2 * k axial (star) points positioned along the coordinate axes, plus replicated runs at the centroid (0, 0). The 2k factorial points (−1, +1) enable the estimation of first-order effects (linear terms and interactions), while the axial points (−α, +α) provide information on second-order effects. The error estimated at the center point (in this study, six replicates of mixture 4 C-50 RAP) offers a reliable measure of experimental variability. Table 2 presents the experimental matrix of the ITS tests. Minitab® 22.4.0 software randomized the run order to reduce systematic bias. It should be emphasized that curing time was not included as a factor in the CCD; instead, separate CCDs were conducted for each curing period. Once the DoE was completed, regression analysis was applied to the results. ANOVA with a significance level of 0.05 was used. Additional details on the CCD employed can be found in Kleinert et al. [46]. Table 2 also summarizes the compaction properties of the mixtures, while Figure 3 shows their grain size distributions. The same considerations made for the grain size distributions of the mixtures tested for FTS also apply to those tested for ITS.
Table 2. Experimental matrix of the indirect tensile strength tests.
Figure 3. Grain size distribution of the mixtures used in the indirect tensile strength tests.
Mixtures were prepared following the same procedures as in the flexural tests. Cylindrical specimens, 102 mm in diameter and 65 mm in height (Marshall mold), were compacted by applying blows of the Marshall hammer to both faces and then cured for 3, 7, 14, and 28 days under the same conditions as the flexural specimens. The testing procedures followed ASTM D6931 [47]. Tests were carried out under controlled-strain/displacement conditions, with displacement increasing at a rate of 50 mm/min until specimen failure. Equation (2) was used to calculate the indirect tensile strength (MPa).
I T S = 2 P π D h
where P is the peak load (N); D is the diameter of the specimen (mm); h is the height of the specimen (mm).

3. Mechanistic Pavement Design

The hypothetic pavement structure shown in Table 3 was initially used in the mechanistic analyses. The studied CRCTMs were considered as base layer material. The initial thickness of the base layer was set to 200 mm and the Poisson’s ratio was assumed to be 0.25, following research on CRCTMs by Kleinert [48]. Since the focus of the study was the cold recycled cement-treated layers, the Brazilian National Design Method (MeDiNa) default materials were used for the other layers [49]. However, it is important to note that all MeDiNa database is derived from previous experimental research on the default materials. The AEMC (Multiple layer elastic analysis), a linear elastic analysis program from the MeDiNa package, was used, and full-adhesion condition was assumed between the pavement layers.
Table 3. Analyzed pavement structure.
Table 4 presents the data for the CRCTMs. The resilient modulus values and the coefficients of the fatigue models were obtained by Fedrigo et al. [33] through flexural tests conducted after 28 days of curing. The authors investigated the same mixtures with 4% of cement as those used in the present study, which were considered in the mechanistic design. The fatigue models are expressed by Equation (3). It is important to note that the fatigue models were derived from laboratory tests and were not calibrated to field condition.
N = 10 k 1 + k 2 . S R
where N is the number of cycles to failure; SR is the stress ratio, that is, the ratio between applied tensile stress and tensile strength (in decimal); k1 and k2 are regression coefficients.
Table 4. CRCTM data used in the mechanistic analysis.
Although a thickness of 200 mm was initially defined for the CRCTM layers, the appropriate thicknesses of the mixtures presented in Table 4 were designed based on the fatigue models, first using the FTS values obtained in the present study and assuming a fatigue life of one million load cycles (maximum failure criterion considered for the laboratory tests). Subsequently, the analyses were repeated using the ITS values obtained in the present study in the fatigue models instead of the FTS. In this case, as later presented in the results section, the structure designed using the FTS was not sufficient. Since the CRCTM layers obtained in the first design stage were already too thick, they were limited to those values. Therefore, the thickness of the asphalt wearing course was increased until it ensured the same one million load cycles.

4. Results and Discussion

This section presents the experimental results and the outcomes from the mechanistic pavement design.

4.1. Flexural Tensile Strength

Table 5 presents the 28-day FTS results. It is important to note the high standard deviation shown by mixture 2 C-70 RAP. This mixture contains the highest RAP content and the lowest cement content simultaneously. Since RAP is a highly heterogeneous material, it is possible that one of the specimens of this mixture contained chunks or a higher amount of a certain RAP fraction, which caused greater variability. In addition, the lower cement content may have been insufficient to make the mixture more homogeneous in terms of mechanical behavior. In this regard, mixture 4 C-70 RAP also shows higher standard deviation compared to the others with the same cement content.
Table 5. Flexural tensile strength results.
Table 6 summarizes the outcomes of the statistical analysis, showing the coefficients of the significant terms and their corresponding p-values. The interactions were evaluated but were not found to be statistically significant. The coefficient of determination (R2) of the regression model was 77.56%. The levels of the independent variables were standardized between −1 and +1; therefore, the model is presented using coded units (as presented in Table 1).
Table 6. FTS statistical analysis results.
Figure 4 illustrates the main effects of the significant independent variables on the mean FTS. It is important to note that the main effects plots depict how each factor individually influences the response.
Figure 4. Main effects of cement and RAP contents on the mean of FTS.
Figure 4 shows that FTS increases with both higher cement content and higher RAP content. The magnitude of these effects is also similar, with values ranging approximately from 0.5 MPa to 1.0 MPa. Although it is well known that FTS of CRCTMs increases with cement content [10,21,24,28,50], the increase in FTS with RAP content diverges from the findings reported in the literature, which indicate that cement-treated recycled pavement materials tend to lose strength with RAP addition [10,17,21,24,25,26,28,50], or may even present FTS values similar to those of conventional cement-treated materials [51]. As reported by Fedrigo et al. [33], this behavior may be attributed to the increase in LS percentage, which raised the finer fraction (clay) of the mixtures and consequently their specific surface area. The higher the specific surface area, the greater the cement demand required to bond the particles together. In addition, increasing RAP percentages resulted in well-graded grain size distributions, thereby enhancing strength.

4.2. Indirect Tensile Strength

Table 7 presents the ITS results obtained at different curing times. The standard deviation of mixture 4 C-50 RAP, which was used to determine the experimental error, is presented in brackets. The coefficients of the significant terms and their corresponding p-values are shown in Table 8. The resulting regression model yielded a R2 of 65.06%. Although the R2 value was lower than that obtained for FTS, it is still considered acceptable for this type of material, as mixtures composed of RAP and soil exhibit inherent heterogeneity and variability. Nevertheless, the model was statistically significant (p-value < 0.05), and the residual analysis confirmed that the regression adequately represents the experimental data within the studied range. The levels of the independent variables were standardized between −1 and +1; therefore, the model is presented using coded units (as presented in Table 2).
Table 7. Indirect tensile strength results.
Table 8. ITS statistical analysis results.
Table 8 shows that cement and RAP contents had a significant effect on ITS, as did their interaction. Furthermore, cement exhibited a quadratic effect on ITS. The interaction between RAP content and curing time was also significant, although curing time alone was not. This can be observed in Table 7, where no clear pattern is seen across different curing times. The non-significant effect of curing time on ITS may be linked to variations in OMC during specimen preparation. After molding, the actual moisture content was verified using part of the same material, but these variations were not considered in the statistical analysis.
Figure 5 presents the Pareto chart, in which the red value (1.986) represents the critical t value from Student’s t-distribution, calculated for a 95% confidence level (α = 0.05) based on the residual degrees of freedom. This threshold is used to identify statistically significant effects in the Pareto chart, where factors with absolute t values exceeding 1.986 are considered significant. From the chart, it can be inferred that RAP content had the most significant effect, closely followed by cement content, while the least significant effect was the interaction between RAP content and curing time.
Figure 5. Pareto chart of standardized effects for the ITS.
Figure 6 illustrates the main effects of the significant independent variables on the mean ITS. Confirming the outcomes of the Pareto chart, the mean ITS varies from 0.2 MPa to 0.8 MPa with RAP content, a wider range than that produced by cement content (0.2 MPa to 0.6 MPa). Moreover, the quadratic effect of cement content can be observed graphically, with the mean ITS stabilizing at 6% cement and then tending to decrease. As with FTS, ITS increased with cement content and RAP content; the former agrees with the literature [21,24,28,36,52,53,54,55,56,57,58], while the latter contrasts with previous findings on the ITS of CRCTMs [17,21,24,25,26,28,52,53,54,55,58,59], for which possible explanations were provided in Section 4.1.
Figure 6. Main effects of cement and RAP contents on the mean of ITS.
Figure 7 shows the interaction effects on the mean of ITS. It can be observed that for RAP contents lower than 30%, 4% cement results in a higher ITS than 6.83% cement. Conversely, for RAP contents greater than 30%, the higher cement content yields higher ITS. This behavior may be related to the fact that at lower RAP contents (i.e., higher LS content), cement levels even above 6.83% would be required due to the greater quantity of fines present in the mixture. The effect of curing time also depends on RAP content. For RAP contents below 50%, shorter curing times lead to higher ITS, while the opposite trend is observed for higher RAP contents. A possible explanation is that, although the mixtures were cured in sealed conditions, they still lost some water due to hydration reactions. At shorter curing times, specimens with higher LS content would retain more water than mixtures with higher RAP content, possibly generating suction effects during testing. At longer curing times, more water would be consumed by hydration, reducing suction and consequently lowering ITS; an effect even more pronounced in mixtures with lower LS content. However, it is also important to note that, due to possible variations in OMC during specimen preparation, as previously mentioned, the OMC might not have been constant, and some mixtures may have contained more water in the matrix, affecting the curing process.
Figure 7. Effects of the interactions between the control factors on the mean of ITS: (a) RAP and cement; (b) RAP and curing time.
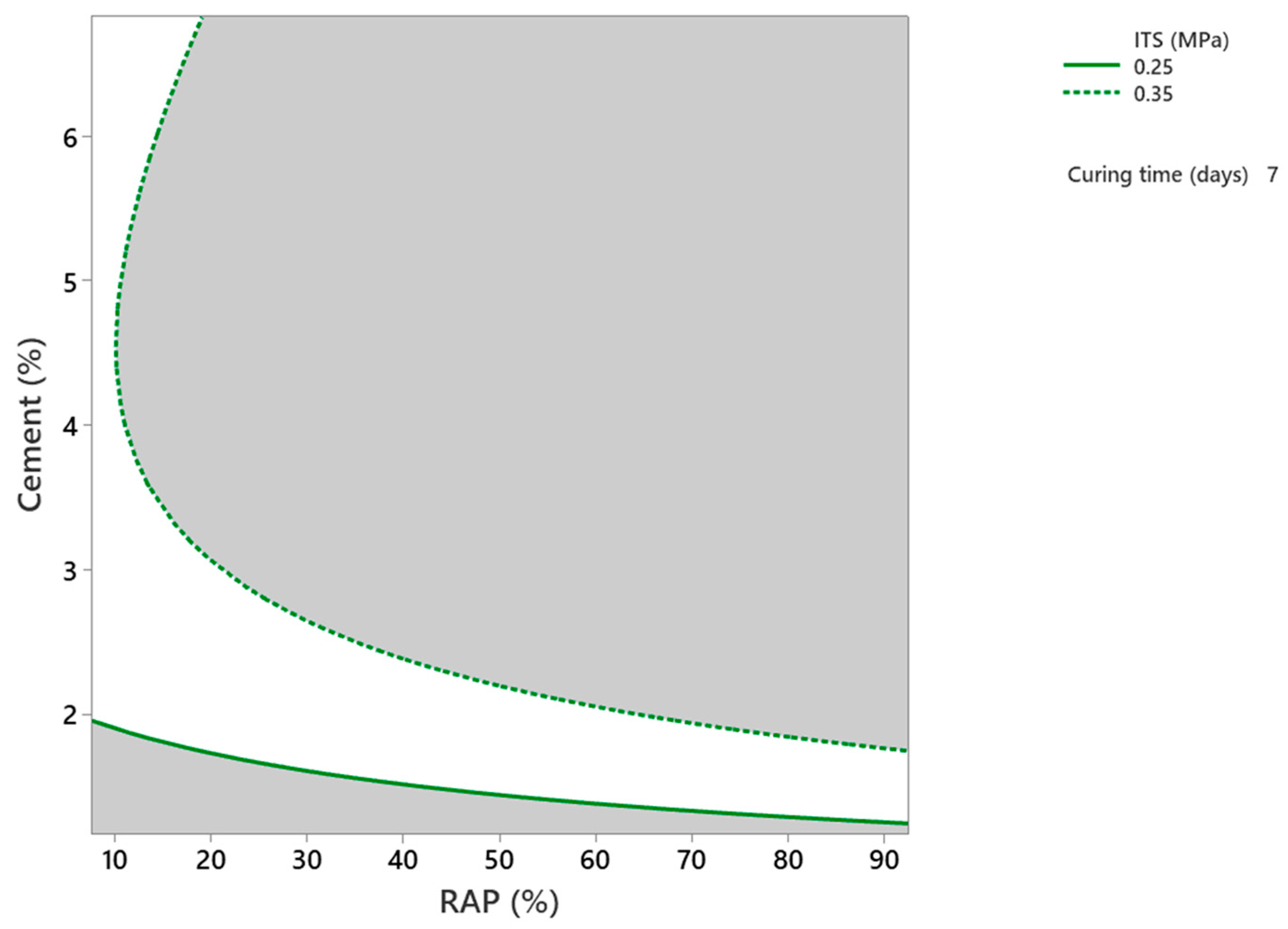
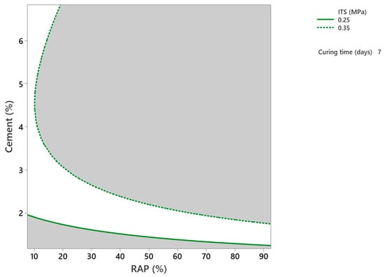
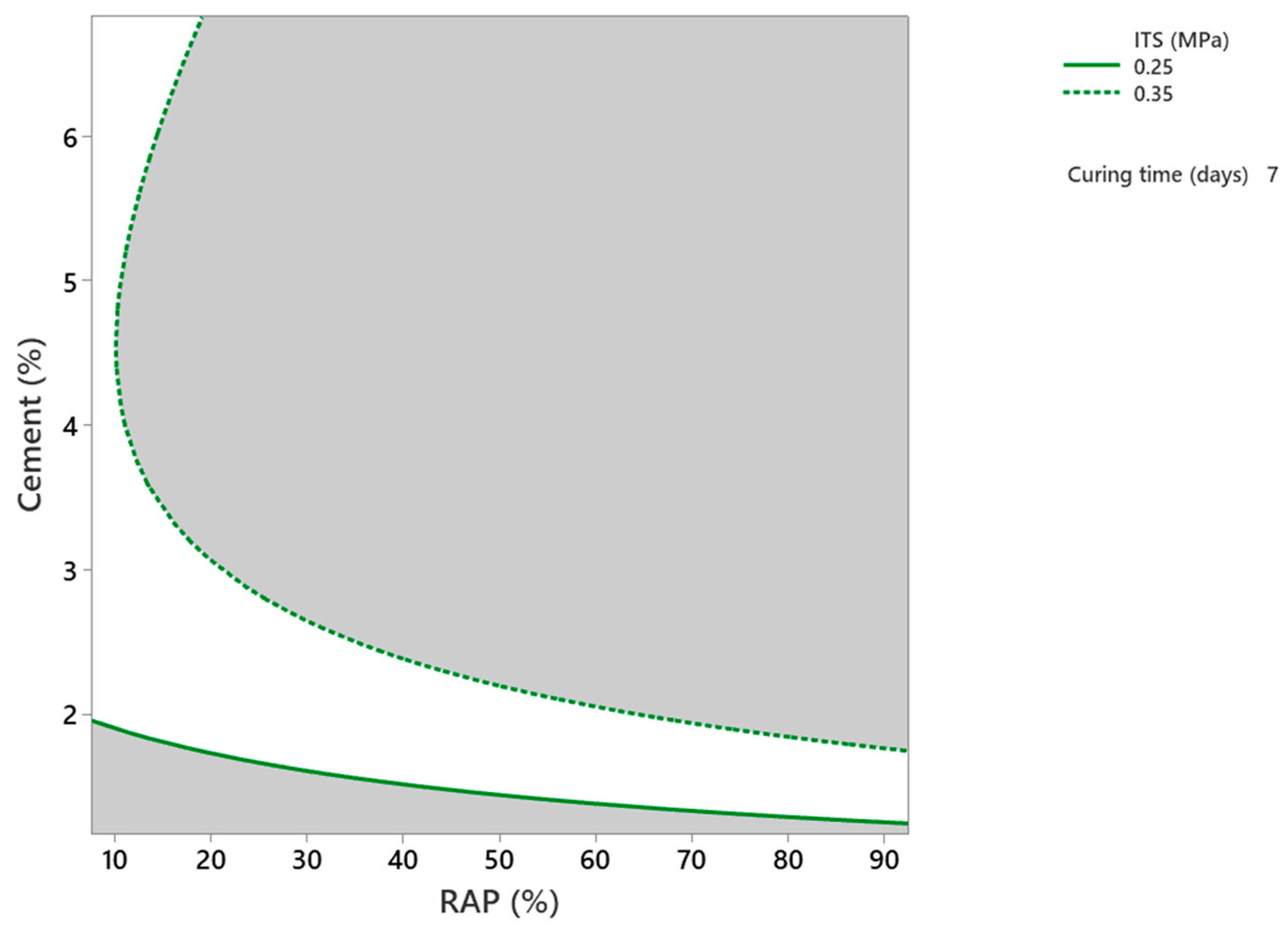
The Brazilian technical specification for full-depth reclamation with Portland cement (FDR-PC) [60] states that the 7-day ITS range for such materials should be between 0.25 MPa and 0.35 MPa. Figure 8 presents a contour plot showing that, when recycling an LS base layer, achieving these limits would require maximizing the use of RAP; otherwise, the cement content would need to be increased. However, since the specification limits RAP content to 50%, it would then be necessary to incorporate natural aggregates to stabilize the mixture, in contradiction with the principles of the circular economy. It should be noted that the specification does not establish any recommended or maximum value for the cement content.
Figure 8. Contour plot of 7-day ITS according to the Brazilian specification for FDR-PC.

4.3. Comparison Between Flexural and Indirect Tensile Strengths

Figure 9a,b present the contour plots for the 28-day results of FTS and ITS, respectively. Although the contour plots present the cement and RAP contents in uncoded levels, the software used the coded models presented in Table 6 and Table 8 to generate them. The graphs facilitate the determination of tensile strength as a function of cement and RAP contents. They may also be useful in the preliminary mix design phase for mixtures composed of similar materials. Furthermore, the minimum limit of the tensile strength ranges shown in the graphs confirms that FTS values (0.4 MPa) are generally higher than those of ITS (0.2 MPa).
Figure 9. Contour plots of the influence of cement and RAP contents on the 28-day (a) FTS and (b) ITS.
The relationship between FTS and ITS is presented in Figure 10. The 28-day ITS of the mixtures that were not experimentally obtained were estimated using the ITS model, whose coefficients are shown in Table 8. This was necessary because the experimental matrix for ITS differed from that of FTS. The model presented in Figure 10 allows one to obtain the 28-day FTS based on the 28-day ITS with high predictive power (R2 of approximately 98%). The model also confirms that FTS is generally higher than ITS, by a factor of approximately 65%. It is important to highlight that, although such a model is presented, the relationship between FTS and ITS is not constant (ranging from 1.3 to 2.5), possibly due to mix design variables. This variability is illustrated in Figure 11, where the isoline corresponding to the 1.65 ratio is highlighted (color changing from red to green). Another important aspect to be considered is that, by isolating the load in Equations (1) and (2) and equating them in terms of stress, an FTS/ITS ratio of 2.83 is obtained. Therefore, when considering only the geometry and not the material type, the ratio between the two tensile stresses is even higher.
Figure 10. Relationship between 28-day FTS and ITS (filled markers represent experimentally obtained ITS values, while unfilled markers represent ITS values obtained from the regression model; the red line represents the obtained model, while the dotted black line represents equality).
Figure 11. Contour plot illustrating the variation in the FTS/ITS ratio.
It also is important to point out that controlled-stress tests (FTS) are more aggressive than controlled-strain/displacement tests (ITS), as also observed in cyclic testing [61]. Nevertheless, the FTS results were still higher. Another relevant observation is that, based on the tensile strength models (Table 6 and Table 8), the coefficients associated with cement and RAP are higher for ITS, suggesting a stronger influence on ITS compared to FTS.

4.4. Mechanistic Pavement Design Results

Table 9 shows the results of the mechanistic design for pavement structures with CRCTM base layers. It can be observed that using FTS in the fatigue model to predict a service life of one million cycles resulted in CRCTM base layers 400–450 mm thick, depending on the RAP content. When ITS was used in the fatigue model, in addition to the base layer thickness, the asphalt concrete wearing course had to be increased from 150 mm to 260–500 mm, also depending on the RAP content. This increase in the wearing course thickness corresponds to a factor of 1.7 to 3.3, whereas the ratio between the used FTS and ITS values ranges from 1.3 to 2.5, as shown in Figure 11. This indicates that the impact of using ITS on the pavement design is approximately 30–40% greater than its difference relative to FTS.
Table 9. Mechanistic design of the pavements with CRCTM base layers.
It is important to note that the lower RAP content (20%) resulted in the thickest wearing course and base layer. This is controversial because, as previously stated, according to the Brazilian specification for FDR-PC [60], this would be the only adequate mixture, with RAP content lower than 50% and ITS within the range of 0.25–0.35 MPa. It is also worth noting that the designed pavement structures are quite thick. Such results are related to the fatigue model used in the design process, which was derived solely from laboratory flexural fatigue tests, known to be more severe than field conditions.

5. Conclusions

This paper presented a statistical analysis of the flexural tensile strength (FTS) and indirect tensile strength (ITS) of cold recycled cement-treated mixtures (CRCTMs) incorporating lateritic soil (LS) and reclaimed asphalt pavement (RAP). The paper also investigated the influence of using FTS or ITS on the structural design of CRCTM layers, similar to those obtained using full-depth reclamation. Based on the analysis, the following conclusions can be drawn:
  • The effects of cement and RAP contents on tensile strength were significant, with both contributing to its increase. This suggests that CRCTMs incorporating similar materials may benefit from higher RAP contents, in contrast to much of the academic and industry experience. Furthermore, mechanistic analysis showed that a lower RAP content leads to the necessity for thicker pavement structures. Such findings suggest that optimizing RAP content could help reduce costs and environmental impacts.
  • For ITS, both cement content and curing time showed significant interactions with RAP content. Moreover, RAP content had the most significant effect on the ITS. These outcomes demonstrate the key role of RAP in achieving an adequate mix design of CRCTMs.
  • FTS is, on average, about 65% higher than ITS. However, when ITS is used in pavement design, the resulting structures are 1.7 to 3.3 times thicker than those designed with FTS for the same service life. This emphasizes the importance of properly characterizing CRCTMs for design purposes. In this regard, flexural tests are recommended, as they not only provide a closer simulation of field behavior but also appear to result in more cost-effective pavement structures.
Further research on CRCTMs should focus on evaluating their static and cyclic behavior through different testing methods and on comparing the outcomes both across laboratory procedures and against field performance. This could support the development of a calibrated mechanistic–empirical structural design method. The influence of RAP content also needs continued investigation, including through full-scale experiments, particularly accelerated pavement testing, to provide more reliable results within shorter periods.
It is also important to acknowledge some limitations and potential concerns of this study. The results are based on CRCTMs produced with a single source of base material (LS) and RAP. Different types of soils could lead to different results and conclusions due to their interaction with cement. In addition, the laboratory fatigue models were not calibrated against field conditions, and the mechanistic analysis focused only on the CRCTM layers’ behavior. As mentioned above, further studies are required, encompassing a wider range of materials and additional tests. Moreover, it is important to highlight that, although using FTS for pavement design may lead to thinner structures compared to using ITS, the layer thicknesses obtained in the present study are already considerable even when using FTS, which mitigates concerns about a possible underestimation.

Author Contributions

Conceptualization, W.F., T.R.K. and W.P.N.; methodology, W.F., T.R.K., G.G.S. and W.P.N.; software, W.F. and T.R.K.; formal analysis, W.F., T.R.K. and G.G.S.; investigation, W.F., T.R.K. and G.G.S.; resources, L.A.T.B. and W.P.N.; writing—original draft preparation, W.F., T.R.K. and G.G.S.; writing—review and editing, W.F., T.R.K., G.G.S., L.A.T.B. and W.P.N.; supervision, W.P.N.; project administration, W.P.N.; funding acquisition, L.A.T.B. and W.P.N. All authors have read and agreed to the published version of the manuscript.

Funding

This research was funded by the Brazilian government agencies National Council for Scientific and Technological Development (CNPq), and Coordination for the Improvement of Higher Education Personnel (CAPES).

Data Availability Statement

The original contributions presented in this study are included in the article. Further inquiries can be directed to the corresponding author.

Acknowledgments

The authors thank the Brazilian government agencies CAPES and CNPq for supporting the research.

Conflicts of Interest

The authors declare no conflicts of interest.

Abbreviations

The following abbreviations are used in this manuscript:
AEMCMultiple layer elastic analysis
ANOVAAnalysis of Variance
BLBase Layer
CCement
CCDCentral Composite Design
CRCTMCold recycled cement-treated mixtures
DoEDesign of Experiments
DTSDirect Tensile Strength
FDR-PCFull-depth reclamation with Portland cement
FTSFlexural tensile strength
ITSIndirect tensile strength
LSLateritic soil
MCTMiniature, Compacted, Tropical
MDUWMaximum dry unit weight
MeDiNaNational Design Method
NS’Non-lateritic silty soil
OMCOptimum moisture content
RAPReclaimed asphalt pavement
SRStress Ratio
WCWearing Course

References

  1. Guthrie, W.S.; Brown, A.V.; Eggett, D.L. Cement Stabilization of Aggregate Base Material Blended with Reclaimed Asphalt Pavement. Transp. Res. Rec. J. Transp. Res. Board 2007, 2026, 47–53. [Google Scholar] [CrossRef]
  2. Chen, X.; Wang, H. Enhancement of Roadway Pavement Resilience to Flooding: Impact Assessment and Mitigation Strategies. Transp. Res. D Transp. Environ. 2025, 148, 104946. [Google Scholar] [CrossRef]
  3. Lee, J.L.; Balmaceda, P.; Hansen, B. Pavement Stabilization Techniques to Restore Flood-Affected Roads in Queensland. In Proceedings of the Pavement Performance Monitoring, Modeling, and Management, Yichang, China, 20–22 July 2014; American Society of Civil Engineers: Reston, VA, USA, 2014; pp. 92–99. [Google Scholar]
  4. Fedrigo, W.; Núñez, W.P.; Kleinert, T.R.; Matuella, M.F.; Ceratti, J.A.P. Strength, Shrinkage, Erodibility and Capillary Flow Characteristics of Cement-Treated Recycled Pavement Materials. Int. J. Pavement Res. Technol. 2017, 10, 393–402. [Google Scholar] [CrossRef]
  5. Suddeepong, A.; Intra, A.; Horpibulsuk, S.; Suksiripattanapong, C.; Arulrajah, A.; Shen, J.S. Durability against Wetting-Drying Cycles for Cement-Stabilized Reclaimed Asphalt Pavement Blended with Crushed Rock. Soils Found. 2018, 58, 333–343. [Google Scholar] [CrossRef]
  6. Luvizão, G.; Trichês, G. Case Study on Life Cycle Assessment Applied to Road Restoration Methods. Sustainability 2023, 15, 6679. [Google Scholar] [CrossRef]
  7. Xiao, F.; Yao, S.; Wang, J.; Li, X.; Amirkhanian, S. A Literature Review on Cold Recycling Technology of Asphalt Pavement. Constr. Build. Mater. 2018, 180, 579–604. [Google Scholar] [CrossRef]
  8. Crayton, A.; Schmidt, J.; Torres-Machi, C. Does Recycling Compromise Long-Term Performance and Life-Cycle Costs? A Comparative Analysis of Full-Depth Reclamation and Overlay Pavements. Transp. Res. Rec. J. Transp. Res. Board 2025, 2679, 466–480. [Google Scholar] [CrossRef]
  9. Austroads. Mix Design for Stabilised Pavement Materials; AP-T16; Austroads Publication: Sydney, Australia, 2002; p. 31. [Google Scholar]
  10. Castañeda López, M.A.; Fedrigo, W.; Kleinert, T.R.; Matuella, M.F.; Núñez, W.P.; Ceratti, J.A.P. Flexural Fatigue Evaluation of Cement-Treated Mixtures of Reclaimed Asphalt Pavement and Crushed Aggregates. Constr. Build. Mater. 2018, 158, 320–325. [Google Scholar] [CrossRef]
  11. Ren, J.; Zhang, L.; Zhao, H.; Zhao, Z.; Wang, S. Determination of the Fatigue Equation for the Cement-Stabilized Cold Recycled Mixtures with Road Construction Waste Materials Based on Data-Driven. Int. J. Fatigue 2022, 158, 106765. [Google Scholar] [CrossRef]
  12. Melese, E.; Baaj, H.; Tighe, S. Fatigue Behaviour of Reclaimed Pavement Materials Treated with Cementitious Binders. Constr. Build. Mater. 2020, 249, 118565. [Google Scholar] [CrossRef]
  13. Dong, S.; Wei, J.; Zhao, N.; Dong, Q. Characterization of Fatigue Damage Accumulation and Prediction of Modulus Deterioration for Cement Stabilized Base. Int. J. Pavement Eng. 2023, 24, 2209263. [Google Scholar] [CrossRef]
  14. Lv, S.; Peng, X.; Yuan, J.; Liu, H.; Hu, L.; Yang, S.; Liu, J. Stress Path Investigation of Fatigue Characteristics of Cement Stabilized Macadam. Constr. Build. Mater. 2021, 292, 123446. [Google Scholar] [CrossRef]
  15. Dong, S.; Hao, P.; Wang, J.; Bi, J.; Zhang, M. A Novel Method for Testing the Fatigue Performance of Cement Stabilized Base Field Coring Samples. Constr. Build. Mater. 2021, 274, 122065. [Google Scholar] [CrossRef]
  16. Fedrigo, W.; Kleinert, T.R.; Núñez, W.P.; Graeff, Â.G.; Pinto da Silva Filho, L.C.; Brito, L.A.T. Shrinkage of Cold Recycled Cement-Treated Mixtures of Asphalt Pavement Materials. J. Test. Eval. 2023, 51, 2230–2244. [Google Scholar] [CrossRef]
  17. Euch Khay, S.E.; Euch Ben Said, S.E.; Loulizi, A.; Neji, J. Laboratory Investigation of Cement-Treated Reclaimed Asphalt Pavement Material. J. Mater. Civ. Eng. 2015, 27, 04014192-1–04014192-7. [Google Scholar] [CrossRef]
  18. Mandal, T.; Edil, T.B.; Tinjum, J.M. Study on Flexural Strength, Modulus, and Fatigue Cracking of Cementitiously Stabilised Materials. Road Mater. Pavement Des. 2018, 19, 1546–1562. [Google Scholar] [CrossRef]
  19. Mandal, T.; Tinjum, J.M.; Gokce, A.; Edil, T.B. Protocol for Testing Flexural Strength, Flexural Modulus, and Fatigue Failure of Cementitiously Stabilized Materials Using Third-Point Flexural Beam Tests. Geotech. Test. J. 2016, 39, 91–105. [Google Scholar] [CrossRef]
  20. Wen, H.; Muhunthan, B.; Wang, J.; Li, X.; Edil, T.; Tinjum, J.M. Characterization of Cementitiously Stabilized Layers for Use in Pavement Design and Analysis; Transportation Research Board: Washington, DC, USA, 2014; ISBN 978-0-309-30813-7. [Google Scholar]
  21. Fedrigo, W.; Núñez, W.P.; Visser, A.T. A Review of Full-Depth Reclamation of Pavements with Portland Cement: Brazil and Abroad. Constr. Build. Mater. 2020, 262, 120540. [Google Scholar] [CrossRef]
  22. Abdo, J.; Serfass, J.-P.; Pellevoisin, P. Pavement Cold In-Place Recycling with Hydraulic Binders: The State of the Art in France. Road Mater. Pavement Des. 2013, 14, 638–665. [Google Scholar] [CrossRef]
  23. Preteseille, M.; Lenoir, T.; Gennesseaux, E.; Hornych, P. Structural Test at the Laboratory Scale for the Utilization of Stabilized Fine-Grained Soils in the Subgrades of High Speed Rail Infrastructures: Analytical and Numerical Aspects. Constr. Build. Mater. 2014, 61, 164–171. [Google Scholar] [CrossRef]
  24. Fedrigo, W.; Núñez, W.P.; Castañeda López, M.A.; Kleinert, T.R.; Ceratti, J.A.P. A Study on the Resilient Modulus of Cement-Treated Mixtures of RAP and Aggregates Using Indirect Tensile, Triaxial and Flexural Tests. Constr. Build. Mater. 2018, 171, 161–169. [Google Scholar] [CrossRef]
  25. Kolias, S. Mechanical Properties of Cement-Treated Mixtures of Milled Bituminous Concrete and Crushed Aggregates. Mater. Struct. 1996, 29, 411–417. [Google Scholar] [CrossRef]
  26. Kolias, S. The Influence of the Type of Loading and Temperature on the Modulus of Elasticity of Cement-Bound Mixes of Milled Bituminous Concrete and Crushed Aggregates. Mater. Struct. 1996, 29, 543–551. [Google Scholar] [CrossRef]
  27. Gonzalo-Orden, H.; Linares-Unamunzaga, A.; Pérez-Acebo, H.; Díaz-Minguela, J. Advances in the Study of the Behavior of Full-Depth Reclamation (FDR) with Cement. Appl. Sci. 2019, 9, 3055. [Google Scholar] [CrossRef]
  28. Katsakou, M.; Kolias, S. Mechanical Properties of Cement-Bound Recycled Pavements. Proc. Inst. Civ. Eng.-Constr. Mater. 2007, 160, 171–179. [Google Scholar] [CrossRef]
  29. Biswal, D.R.; Sahoo, U.C.; Dash, S.R. Non-Destructive Strength and Stiffness Evaluation of Cement-Stabilised Granular Lateritic Soils. Road Mater. Pavement Des. 2020, 21, 835–849. [Google Scholar] [CrossRef]
  30. Biswal, D.R.; Sahoo, U.C.; Dash, S.R. Durability and Shrinkage Studies of Cement Stabilsed Granular Lateritic Soils. Int. J. Pavement Eng. 2019, 20, 1451–1462. [Google Scholar] [CrossRef]
  31. Biswal, D.R.; Sahoo, U.C.; Dash, S.R. Mechanical Characteristics of Cement Stabilised Granular Lateritic Soils for Use as Structural Layer of Pavement. Road Mater. Pavement Des. 2020, 21, 1201–1223. [Google Scholar] [CrossRef]
  32. de Paiva, C.E.L.; de Oliveira, P.C.A.; de Franco Peixoto, C. The Influence of Milling Asphalt Rates from Wearing Surface to the Flexural Strength Applied to a Recycled Layer with Portland Cement. Constr. Build. Mater. 2017, 154, 1294–1300. [Google Scholar] [CrossRef]
  33. Fedrigo, W.; Núñez, W.P.; Schreinert, G.G.; Kleinert, T.R.; Matuella, M.F.; Castañeda López, M.A.; Ceratti, J.A.P. Flexural Strength, Stiffness and Fatigue of Cement-Treated Mixtures of Reclaimed Asphalt Pavement and Lateritic Soil. Road Mater. Pavement Des. 2019, 22, 1004–1022. [Google Scholar] [CrossRef]
  34. Suebsuk, J.; Horpibulsuk, S.; Suksan, A.; Suksiripattanapong, C.; Phoo-ngernkham, T.; Arulrajah, A. Strength Prediction of Cement-Stabilised Reclaimed Asphalt Pavement and Lateritic Soil Blends. Int. J. Pavement Eng. 2019, 20, 332–338. [Google Scholar] [CrossRef]
  35. de Oliveira, P.C.A.; de Paiva, C.E.L. Full Depth Reclamation with Cement of Gravel Base with Lateritic Fines. Int. J. Pavement Res. Technol. 2019, 12, 546–552. [Google Scholar] [CrossRef]
  36. Suebsuk, J.; Kampala, A.; Waiyakorn, P.; Suksiripattanapong, C.; Chindaprasirt, P. Variations in Strength and Stiffness of Cement-Stabilized Reclaimed Asphalt Pavement and Marginal Lateritic Soil Blends in Tropical Climate. Constr. Build. Mater. 2023, 409, 134062. [Google Scholar] [CrossRef]
  37. Nogami, J.S.; Villibor, D.F. A New Soil Classification System for Pavement Applications. In Proceedings of the Brazilian Symposium of Tropical Soils in Engineering; COPPE/CNPq/ABMS: Rio de Janeiro, Brazil, 1981. [Google Scholar]
  38. Wirtgen GmbH. Wirtgen Cold Recycling Technology; Wirtgen GmbH: Windhagen, Germany, 2012. [Google Scholar]
  39. AASHTO T 180-01; Standard Method of Test for Moisture-Density Relations of Soils Using a 4.54-Kg (10-Lb) Rammer and a 457-Mm (18-in.) Drop. American Association of State Highway and Transportation Officials (AASHTO): Washington, DC, USA, 2025.
  40. Castaneda-Lopez, M.; Lenoir, T.; Sanfratello, J.P.; Thorel, L. Data-Driven Prediction of Cement-Stabilized Soils Tensile Properties. Infrastructures 2023, 8, 146. [Google Scholar] [CrossRef]
  41. Castaneda-Lopez, M.; Lenoir, T.; Thorel, L.; Sanfratello, J.-P. Determination of Mohr–Coulomb Failure Criterion of Cement-Treated Materials Using Mixture Design Properties. Infrastructures 2025, 10, 267. [Google Scholar] [CrossRef]
  42. Ait-Amir, B.; Pougnet, P.; El Hami, A. Meta-Model Development. In Embedded Mechatronic Systems 2; Elsevier: Amsterdam, The Netherlands, 2015; pp. 151–179. [Google Scholar]
  43. Wagner, J.R.; Mount, E.M.; Giles, H.F. Design of Experiments. In Extrusion; Elsevier: Amsterdam, The Netherlands, 2014; pp. 291–308. [Google Scholar]
  44. Montgomery, D.C. Design and Analysis of Experiments, 5th ed.; John Willey & Sons, Inc.: New York, NY, USA, 2001. [Google Scholar]
  45. Ribeiro, J.L.D.; ten Caten, C.S. Design of Experiments: Quality Monographic Series; Federal University of Rio Grande do Sul: Porto Alegre, Brazil, 2014. [Google Scholar]
  46. Kleinert, T.R.; Fedrigo, W.; ten Caten, C.S.; Núñez, W.P.; Ceratti, J.A.P. Application of the Design of Experiments Methodology to the Mix Design of Full-Depth Reclamation with Cement. Transportes 2019, 27, 111–127. [Google Scholar] [CrossRef][Green Version]
  47. ASTM D6931-12; Test Method for Indirect Tensile (IDT) Strength of Bituminous Mixtures. American Society for Testing and Materials (ASTM): West Conshohocken, PA, USA, 2012.[Green Version]
  48. Kleinert, T.R. Full-Depth Reclamation of Semi-Rigid Pavements with Cement: Contribution the Development of a Mix Design Method. Master’s Dissertation, Federal University of Rio Grande do Sul, Farroupilha, Brazil, 2016. [Google Scholar][Green Version]
  49. Franco, F.A.C.P.; Motta, L.M.G. Manual of Use of the MeDiNa Program Version 1.1.4: Introduction to the Programs; National Department of Transport Infrastructure (DNIT): Brasília, Brazil, 2020. [Google Scholar][Green Version]
  50. Fedrigo, W.; Heller, L.F.; Brito, L.A.T.; Núñez, W.P. Fatigue of Cold Recycled Cement-Treated Pavement Layers: Experimental and Modeling Study. Sustainability 2023, 15, 7816. [Google Scholar] [CrossRef]
  51. Grilli, A.; Bocci, M.; Tarantino, A.M. Experimental Investigation on Fibre-Reinforced Cement-Treated Materials Using Reclaimed Asphalt. Constr. Build. Mater. 2013, 38, 491–496. [Google Scholar] [CrossRef]
  52. Adresi, M.; Khishdari, A.; Ahmadi, A.; Rooholamini, H. Influence of High Content of Reclaimed Asphalt on the Mechanical Properties of Cement-Treated Base under Critical Environmental Conditions. Int. J. Pavement Eng. 2019, 20, 1098–1105. [Google Scholar] [CrossRef]
  53. Chakravarthi, S.; Boyina, A.; Singh, A.K.; Shankar, S. Evaluation of Cement Treated Reclaimed Asphalt Pavement and Recycled Concrete Pavement Bases. Int. J. Pavement Res. Technol. 2019, 12, 581–588. [Google Scholar] [CrossRef]
  54. Ji, X.; Jiang, Y.; Liu, Y. Evaluation of the Mechanical Behaviors of Cement-Stabilized Cold Recycled Mixtures Produced by Vertical Vibration Compaction Method. Mater. Struct. 2016, 49, 2257–2270. [Google Scholar] [CrossRef]
  55. Jiang, Y.; Liu, H.; Xue, J. Fatigue Performance of Vertical Vibration Compacted Cement-Stabilized Recycled Pavement Materials. J. Test. Eval. 2018, 46, 2251–2264. [Google Scholar] [CrossRef]
  56. Isola, M.; Betti, G.; Marradi, A.; Tebaldi, G. Evaluation of Cement Treated Mixtures with High Percentage of Reclaimed Asphalt Pavement. Constr. Build. Mater. 2013, 48, 238–247. [Google Scholar] [CrossRef]
  57. Ma, T.; Wang, H.; Zhao, Y.-L.; Huang, X.-M. Laboratory Investigation on Residual Strength of Reclaimed Asphalt Mixture for Cold Mix Recycling. Int. J. Pavement Res. Technol. 2015, 8, 17–22. [Google Scholar]
  58. Yuan, D.; Nazarian, S.; Hoyos, L.R.; Puppala, A.J. Evaluation and Mix Design of Cement-Treated Base Materials with High Content of Reclaimed Asphalt Pavement. Transp. Res. Rec. J. Transp. Res. Board 2011, 2212, 110–119. [Google Scholar] [CrossRef]
  59. Grilli, A.; Bocci, E.; Graziani, A. Influence of Reclaimed Asphalt Content on the Mechanical Behaviour of Cement-Treated Mixtures. Road Mater. Pavement Des. 2013, 14, 666–678. [Google Scholar] [CrossRef]
  60. DNIT 167/2013–ES; Pavements: Full-Depth Reclamation with Portland Cement–Construction Specification. National Department of Transport Infrastructure (DNIT): Brasília, Brazil, 2013.
  61. Xiao, F. Development of Fatigue Predictive Models of Rubberized Asphalt Concrete (RAC) Containing Reclaimed Asphalt Pavement (RAP) Mixtures. Ph.D. Dissertation, Clemson University, Clemson, SC, USA, 2006. [Google Scholar]
Disclaimer/Publisher’s Note: The statements, opinions and data contained in all publications are solely those of the individual author(s) and contributor(s) and not of MDPI and/or the editor(s). MDPI and/or the editor(s) disclaim responsibility for any injury to people or property resulting from any ideas, methods, instructions or products referred to in the content.

Article Metrics

Citations

Article Access Statistics

Multiple requests from the same IP address are counted as one view.