Barrel Shifter Physical Unclonable Function Based Encryption
Abstract
:1. Introduction
2. General Encryption Protocol
- Bob encrypts the message m with .
- Bob sends to Alice.
- Alice encrypts with (At this point, Alice does not know the message m).
- Alice sends to Bob.
- Bob decrypts with and obtains .
- Bob sends to Alice.
- Alice decrypts with and obtains the message m.
3. Block Encryption Protocol
3.1. Invertible and Commutative PUF
3.2. Asymmetric Encryption
- Step 1: Apply to resulting in , which equals .
- Step 3: Apply to ’s output as in . This equals .
- Step 5: Now invert the output. Apply to . results in which equals . denotes the backward path delay from output to input i. According to post-layout simulations, is always equal to in BS-PUFs.
- Step 7: Further applying as in results in . This logical result is correct in routing back to the ith bit position, but the physical delay terms are completely mixed up and do not cancel each other.
3.2.1. Revised Asymmetric Encryption
- Step 1: permutes as in . It computes the physical delay encrypted bit vector, . Before sending it to Alice, Bob’s complementary permutation, called permutator in Figure 5 is applied to generate .In this new permutation protocol, the logical permutation adds no confusion unlike the permutations in AES and Keccak protocols. Confusion is achieved by the permuted physical delay properties of the PUF. Which path delay bits are combined with each input bit is hidden (through confusion) from the adversary through driven .
- Step 3: is applied as , resulting in . Applying Alice’s complementary permutation results in .
- Step 5: Apply to .Decryption follows a similar process. However, the direction of message transmission is reversed and the inverse permutations are used. Physical invertibility recovers the original forward delay vector in the reverse direction.Thus, is rearranged by Bob’s permutator first. This is . This rearranged result is given to to resulting in .Transmission gates show symmetric delays for forward and backward paths; always equals . Thus, the delay terms cancel. The result after applying is equal to .
- Step 7: is applied. First, Alice’s permutator will rotate the bits giving . Rotated bits are then given to in the reverse direction resulting in . The delay terms cancel. Alice receives the original message sent by Bob.
- Inferring Bob’s PUF delay information by taking XOR of and . .
- Then the original message can be extracted by an XOR of and Bob’s PUF’s delay, .
3.2.2. Symmetric Encryption
- Step 1: Bob permutes with and gets . It is sent to Alice without any further bit-level routing; this achieves bit-level confusion of the public message.
- Step 3: performs the reverse permutation of and simultaneously applies Alice’s delay (). After is applied, all bits are rotated back to their original position, but each bit is encrypted with two physical delay values. In this example, after applying we get .
- Step 5: is applied. Permutation is applied again and the delay added in Step 1 is negated by XOR. Then, the message sent to Alice is converted to which is
- Step 7: is applied, bit positions are rotated back again, and the delay added in Step 3 is negated by XOR. The message from the previous step is converted to , which equals the original message .
4. Barrel Shifter PUF Design
5. Circuit Implementation
5.1. Input Logic
5.2. Shift Unit
5.3. Output Logic
5.4. Path Delay Testing
- Set as text input and reset input logic.
- Wait for to arrive at output logic.
- Reset input logic and clock counter, set as text input.
- Wait as travels the path determined by the , triggering a transition at the output logic.
- Encrypt using the captured counter value.
6. Post-Layout Simulation Results
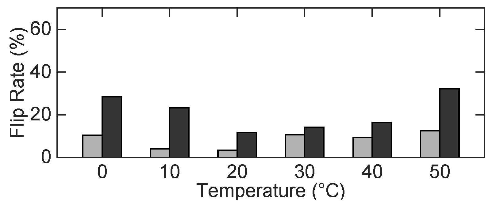
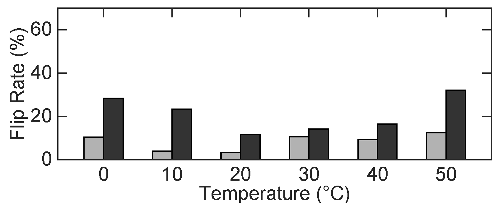
6.1. Inter-Chip Variability
6.2. Intra-Chip Reproducibility
6.3. Inter-Chip Uniqueness
6.4. Randomness
6.5. Commutativity
7. Modeling Attack
8. Conclusions and Future Work
Author Contributions
Funding
Conflicts of Interest
Abbreviations
| PUF | Physical Unclonable Function |
| BS-PUF | Barrel Shifter Physical Unclonable Function |
| RO-PUF | Ring Oscillator Physical Uncloable Function |
| CBC | Cipher Block Chaining |
| IV | Initialization Vector |
| LSB | Least Significant Bit |
| DFF | D Flip-Flop |
| HD | Hamming Distance |
| LR | Logistic Regression |
| ES | Evolution Strategies |
| CRP | Challenge Response Pairs |
| PCP | Plaintext–Ciphertext Pairs |
References
- Boneh, D. Twenty years of attacks on the RSA cryptosystem. Not. AMS 1999, 46, 203–213. [Google Scholar]
- Yanambaka, V.P.; Mohanty, S.P.; Kougianos, E.; Singh, J. Secure Multi-Key Generation Using Ring Oscillator based Physical Unclonable Function. In Proceedings of the 2016 IEEE International Symposium on Nanoelectronic and Information Systems (iNIS), Gwalior, India, 19–21 December 2016; pp. 200–205. [Google Scholar]
- Chen, Q.; Csaba, G.; Ju, X.; Natarajan, S.; Lugli, P.; Stutzmann, M.; Schlichtmann, U.; Rührmair, U. Analog circuits for physical cryptography. In Proceedings of the 2009 12th International Symposium on Integrated Circuits, Singapore, 14–16 December 2009; pp. 121–124. [Google Scholar]
- Choi, W.; Kim, S.; Kim, Y.; Park, Y.; Ahn, K. PUF-based Encryption Processor for the RFID Systems. In Proceedings of the 2010 10th IEEE International Conference on Computer and Information Technology, Bradford, UK, 29 June–1 July 2010; pp. 2323–2328. [Google Scholar]
- Devadas, S.; Suh, E.; Paral, S.; Sowell, R.; Ziola, T.; Khandelwal, V. Design and implementation of PUF-based “unclonable” RFID ICs for anti-counterfeiting and security applications. In Proceedings of the 2008 IEEE International Conference on RFID, Las Vegas, NV, USA, 16–17 April 2008; pp. 58–64. [Google Scholar]
- Che, W.; Saqib, F.; Plusquellic, J. PUF-based authentication. In Proceedings of the 2015 IEEE/ACM International Conference on Computer-Aided Design (ICCAD), Austin, TX, USA, 2–6 November 2015; pp. 337–344. [Google Scholar]
- Urbi Chatterjee, R.S.C.; Mukhopadhyay, D. A PUF-Based Secure Communication Protocol for IoT; Cryptology ePrint Archive, Report 2016/674; ACM: New York, NY, USA, 2016; Available online: http://eprint.iacr.org/2016/674 (accessed on 30 August 2018).
- Yanambaka, V.P.; Mohanty, S.P.; Kougianos, E. Novel FinFET based physical unclonable functions for efficient security integration in the IoT. In Proceedings of the 2016 IEEE International Symposium on Nanoelectronic and Information Systems (iNIS), Gwalior, India, 19–21 December 2016; pp. 172–177. [Google Scholar]
- Yanambaka, V.P.; Mohanty, S.P.; Kougianos, E.; Sundaravadivel, P.; Singh, J. Reconfigurable Robust Hybrid Oscillator Arbiter PUF for IoT Security Based on DL-FET. In Proceedings of the 2017 IEEE Computer Society Annual Symposium on VLSI (ISVLSI), Bochum, Germany, 3–5 July 2017; pp. 665–670. [Google Scholar]
- Kleber, S.; Unterstein, F.; Matousek, M.; Kargl, F.; Slomka, F.; Hiller, M. Secure Execution Architecture based on PUF-driven Instruction Level Code Encryption. IACR Cryptol. ePrint Arch. 2015, 2015, 651. [Google Scholar]
- Daemen, J.; Rijmen, V. The Design of Rijndael: AES-the Advanced Encryption Standard; Springer: Berlin, Germany, 2013. [Google Scholar]
- Holcomb, D.E.; Burleson, W.P.; Fu, K. Power-up SRAM state as an identifying fingerprint and source of true random numbers. IEEE Trans. Comput. 2009, 58, 1198–1210. [Google Scholar] [CrossRef]
- Mansouri, S.S.; Dubrova, E. Ring oscillator physical unclonable function with multi level supply voltages. In Proceedings of the 2012 IEEE 30th International Conference on Computer Design (ICCD), Montreal, QC, Canada, 30 September–3 October 2012; pp. 520–521. [Google Scholar]
- Yin, C.E.D.; Qu, G. LISA: Maximizing RO PUF’s secret extraction. In Proceedings of the 2010 IEEE International Symposium on Hardware-Oriented Security and Trust (HOST), Anaheim, CA, USA, 13–14 June 2010; pp. 100–105. [Google Scholar]
- Maiti, A.; Schaumont, P. Improving the quality of a physical unclonable function using configurable ring oscillators. In Proceedings of the 2009 International Conference on Field Programmable Logic and Applications, Prague, Czech Republic, 31 August–2 September 2009; pp. 703–707. [Google Scholar]
- Maiti, A.; Schaumont, P. Improved ring oscillator PUF: An FPGA-friendly secure primitive. J. Cryptol. 2011, 24, 375–397. [Google Scholar] [CrossRef]
- Hori, Y.; Yoshida, T.; Katashita, T.; Satoh, A. Quantitative and statistical performance evaluation of arbiter physical unclonable functions on FPGAs. In Proceedings of the 2010 International Conference on Reconfigurable Computing and FPGAs, Quintana Roo, Mexico, 13–15 December 2010; pp. 298–303. [Google Scholar]
- Tajik, S.; Dietz, E.; Frohmann, S.; Seifert, J.P.; Nedospasov, D.; Helfmeier, C.; Boit, C.; Dittrich, H. Physical characterization of arbiter PUFs. In Proceedings of the International Workshop on Cryptographic Hardware and Embedded Systems, Busan, Korea, 23–26 September 2014; Springer: Berlin, Germany, 2014; pp. 493–509. [Google Scholar]
- Bennett, C.H.; Landauer, R. The fundamental physical limits of computation. Sci. Am. 1985, 253, 48–56. [Google Scholar] [CrossRef]
- Bertoni, G.; Daemen, J.; Peeters, M.; Van Assche, G. The Keccak Sponge Function Family; Technical Report; Team Keccak: Gaithersburg, MD, USA, 2016. [Google Scholar]
- Bertoni, G.; Daemen, J.; Peeters, M.; Van Assche, G. The Keccak Reference. Available online: https://keccak.team/files/Keccak-reference-3.0.pdf (accessed on 30 August 2018).
- Grünebaum, U.; Oehm, J.; Schumacher, K. Mismatch modeling and simulation? A comprehensive approach. Analog Integr. Circuits Signal Process. 2001, 29, 165–171. [Google Scholar] [CrossRef]
- Joshi, S.; Mohanty, S.P.; Kougianos, E. Everything You Wanted to Know about PUFs. IEEE Potentials 2017, 36, 38–46. [Google Scholar] [CrossRef]
- Gao, M.; Lai, K.; Qu, G. A highly flexible ring oscillator PUF. In Proceedings of the 51st Annual Design Automation Conference, San Francisco, CA, USA, 1–5 June 2014; ACM: New York, NY, USA, 2014; pp. 1–6. [Google Scholar]
- Yu, M.D.M.; M’Raihi, D.; Sowell, R.; Devadas, S. Lightweight and secure PUF key storage using limits of machine learning. In Proceedings of the 13th International Workshop on Cryptographic Hardware and Embedded Systems, Nara, Japan, 28 September–1 October 2011; Springer: Berlin, Germany, 2011; pp. 358–373. [Google Scholar]
- Bhargava, M.; Mai, K. An efficient reliable PUF-based cryptographic key generator in 65 nm CMOS. In Proceedings of the conference on Design, Automation & Test in Europe, Dresden, Germany, 24–28 March 2014; p. 70. [Google Scholar]
- Kumar, R.; Chandrikakutty, H.K.; Kundu, S. On improving reliability of delay based Physically Unclonable Functions under temperature variations. In Proceedings of the 2011 IEEE International Symposium on Hardware-Oriented Security and Trust, San Diego, CA, USA, 5–6 June 2011; pp. 142–147. [Google Scholar]
- Vivekraja, V.; Nazhandali, L. Feedback based supply voltage control for temperature variation tolerant PUFs. In Proceedings of the 2011 24th Internatioal Conference on VLSI Design, Chennai, India, 2–7 January 2011; pp. 214–219. [Google Scholar]
- Rührmair, U.; Sehnke, F.; Sölter, J.; Dror, G.; Devadas, S.; Schmidhuber, J. Modeling attacks on physical unclonable functions. In Proceedings of the 17th ACM conference on Computer and Communications Security, Chicago, IL, USA, 4–8 October 2010; ACM: New York, NY, USA, 2010; pp. 237–249. [Google Scholar]
- Bishop, C.M. Pattern Recognition and Machine Learning; Springer: Berlin, Germany, 2006. [Google Scholar]
- Back, T. Evolutionary Algorithms in Theory and Practice: Evolution Strategies, Evolutionary Programming, Genetic Algorithms; Oxford University Press: Oxford, UK, 1996. [Google Scholar]
- Schwefel, H.P.P. Evolution and Optimum Seeking: The Sixth Generation; John Wiley & Sons, Inc.: Hoboken, NJ, USA, 1993. [Google Scholar]
- Robert, C.P. Monte Carlo Methods; Wiley Online Library: Hoboken, NJ, USA, 2004. [Google Scholar]












| HD | ||||
| % | 0.12% | 2.57% | 15.68% | 37.12% |
| HD | ||||
| % | 37.29% | 6.25% | 0.97% |
| c1 | c2 | c3 | c4 | c5 | c6 | c7 | c8 | c9 | c10 | p-Value | Proportion | Statistical Test |
|---|---|---|---|---|---|---|---|---|---|---|---|---|
| 15 | 24 | 22 | 19 | 15 | 17 | 10 | 21 | 20 | 37 | 0.005166 | 200/200 | Frequency |
| 12 | 18 | 24 | 27 | 15 | 26 | 20 | 13 | 29 | 16 | 0.048716 | 200/200 | BlockFrequency |
| 11 | 21 | 20 | 26 | 16 | 22 | 19 | 9 | 24 | 32 | 0.012650 | 200/200 | CumulativeSums |
| 15 | 21 | 15 | 21 | 18 | 18 | 28 | 11 | 28 | 25 | 0.099513 | 200/200 | CumulativeSums |
| 22 | 25 | 26 | 20 | 18 | 20 | 16 | 18 | 19 | 16 | 0.807412 | 199/200 | Runs |
| 17 | 20 | 22 | 21 | 24 | 22 | 18 | 14 | 20 | 22 | 0.917870 | 197/200 | Serial |
| 24 | 19 | 20 | 19 | 21 | 17 | 18 | 25 | 14 | 23 | 0.825505 | 197/200 | Serial |
| ML Method | Bit Length | Prediction Rate | PCPs | Training Time |
|---|---|---|---|---|
| LR | 64 | 43.2% 52.6% 79.5% | 800 8000 80,000 | 0.0315 s 0.1658 s 1.0104 s |
| LR | 256 | 32.4% 41.0% 62.8% | 1000 10,000 100,000 | 0.0157 s 0.4620 s 1.6245 s |
© 2018 by the authors. Licensee MDPI, Basel, Switzerland. This article is an open access article distributed under the terms and conditions of the Creative Commons Attribution (CC BY) license (http://creativecommons.org/licenses/by/4.0/).
Share and Cite
Guo, Y.; Dee, T.; Tyagi, A. Barrel Shifter Physical Unclonable Function Based Encryption. Cryptography 2018, 2, 22. https://doi.org/10.3390/cryptography2030022
Guo Y, Dee T, Tyagi A. Barrel Shifter Physical Unclonable Function Based Encryption. Cryptography. 2018; 2(3):22. https://doi.org/10.3390/cryptography2030022
Chicago/Turabian StyleGuo, Yunxi, Timothy Dee, and Akhilesh Tyagi. 2018. "Barrel Shifter Physical Unclonable Function Based Encryption" Cryptography 2, no. 3: 22. https://doi.org/10.3390/cryptography2030022
APA StyleGuo, Y., Dee, T., & Tyagi, A. (2018). Barrel Shifter Physical Unclonable Function Based Encryption. Cryptography, 2(3), 22. https://doi.org/10.3390/cryptography2030022

