Hybrid-Actuated Multimodal Cephalopod-Inspired Underwater Robot
Abstract
1. Introduction
2. Overall Design of the Robot
2.1. Main Components of the Robot
2.2. Design of Undulatory Fin
2.3. Design of Water-Flapping Tentacles
3. Mathematical Modeling and Analysis of Bionic Propulsors
3.1. Hydrodynamics of Underwater Propulsion
3.2. Water-Flapping Tentacles
4. Experiment
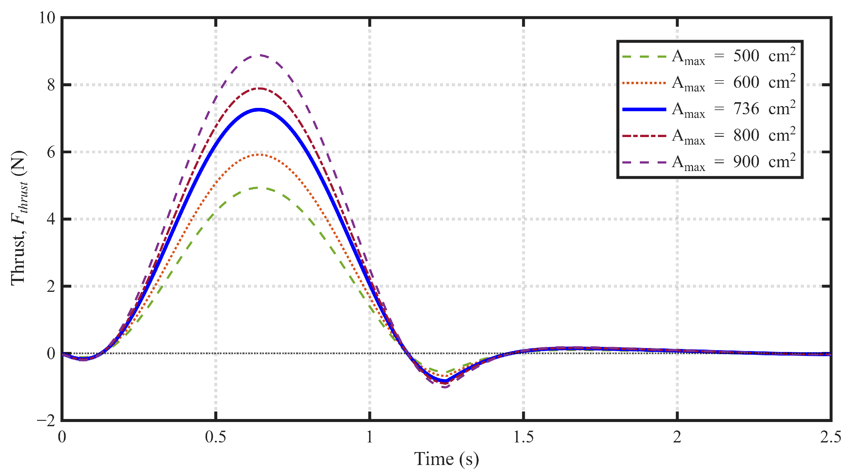
4.1. Static Thrust Performance
4.2. Dynamic Hydrodynamic Performance Analysis
4.2.1. Drag Coefficient Identification
4.2.2. Multimodal Performance Comparison
- 1.
- Fin only: low (0.5 Hz), medium (0.65 Hz), and high (0.975 Hz) frequencies.
- 2.
- Tentacle only: standard bursting mode.
- 3.
- Hybrid mode: combining tentacles with the three fin frequencies.
4.3. Efficiency and Cost of Transport Analysis
4.3.1. Power Estimation and Metrics
- Propulsive Efficiency (): This represents the conversion rate of electrical energy to hydrodynamic work.
- Cost of Transport (CoT): This parameter measures the energy efficiency of transporting the robot’s mass over a unit distance. A lower CoT indicates better energy economy [28].where m represents the physical mass of the robot.
4.3.2. Comparative Results
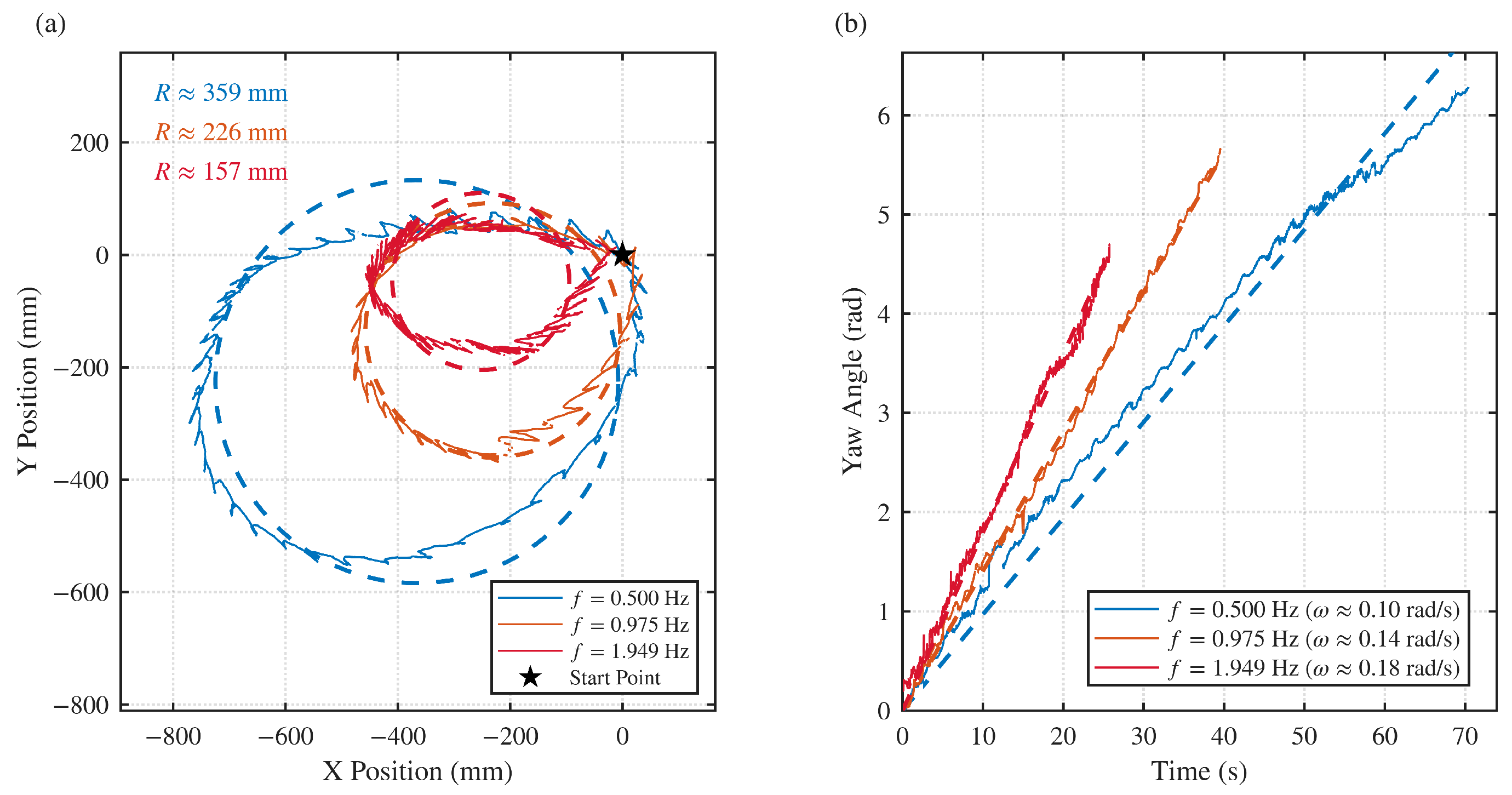
4.4. Maneuverability Verification
4.4.1. Turning Test
4.4.2. Diving and Surfacing Test
4.4.3. Open-Water Swimming
5. Discussion
6. Conclusions
Author Contributions
Funding
Institutional Review Board Statement
Informed Consent Statement
Data Availability Statement
Acknowledgments
Conflicts of Interest
References
- Li, Y.; Xu, Y.; Wu, Z.; Ma, L.; Guo, M.; Li, Z.; Li, Y. A comprehensive review on fish-inspired robots. Int. J. Adv. Robot. Syst. 2022, 19, 17298806221103707. [Google Scholar] [CrossRef]
- Sfakiotakis, M.; Lane, D.M.; Davies, J.B.C. Review of fish swimming modes for aquatic locomotion. IEEE J. Ocean. Eng. 2002, 24, 237–252. [Google Scholar] [CrossRef]
- Wang, Y.; Tan, J.; Zhao, D. Design and experiment on a biomimetic robotic fish inspired by freshwater stingray. J. Bionic. Eng. 2015, 12, 204–216. [Google Scholar] [CrossRef]
- Rahman, M.M.; Toda, Y.; Miki, H. Computational study on a squid-like underwater robot with two undulating side fins. J. Bionic. Eng. 2011, 8, 25–32. [Google Scholar] [CrossRef]
- Guo, S.; Zhang, J.; Yang, Y.; Cheng, H.; Hong, J. Design and experimental study of a pneumatic bionic stingray undulatory soft robot. In Proceedings of the 17th International Conference on Informatics in Control, Automation and Robotics (ICINCO), Paris, France, 7–9 July 2020; pp. 363–368. [Google Scholar]
- Hu, T.; Shen, L.; Lin, L.; Xu, H. Biological inspirations, kinematics modeling, mechanism design and experiments on an undulating robotic fin inspired by Gymnarchus niloticus. Mech. Mach. Theory 2009, 44, 633–645. [Google Scholar] [CrossRef]
- Sefati, S.; Neveln, I.; MacIver, M.A.; Fortune, E.S.; Cowan, N.J. Counter-propagating waves enhance maneuverability and stability: A bio-inspired strategy for robotic ribbon-fin propulsion. In Proceedings of the 2012 4th IEEE RAS & EMBS International Conference on Biomedical Robotics and Biomechatronics (BioRob), Rome, Italy, 24–27 June 2012; pp. 1620–1625. [Google Scholar]
- Ruiz-Torres, R.; Curet, O.M.; Lauder, G.V.; MacIver, M.A. Kinematics of the ribbon fin in hovering and swimming of the electric ghost knifefish. J. Exp. Biol. 2013, 216, 823–834. [Google Scholar]
- Ma, R.; Wang, Y.; Wang, R.; Wang, S. Development of a propeller with undulating fins and its characteristics. In Proceedings of the 2019 IEEE International Conference on Real-time Computing and Robotics (RCAR), Irkutsk, Russia, 4–9 August 2019; pp. 737–742. [Google Scholar]
- Low, K.H. Modelling and parametric study of modular undulating fin rays for fish robots. Mech. Mach. Theory 2009, 44, 615–632. [Google Scholar] [CrossRef]
- Low, K.H. Locomotion consideration and implementation of robotic fish with modular undulating fins: Analysis and experimental study. In Proceedings of the 2006 IEEE/RSJ International Conference on Intelligent Robots and Systems, Beijing, China, 9–15 October 2006; pp. 2424–2429. [Google Scholar]
- Zhou, H.; Hu, T.; Xie, H.; Zhang, D.; Shen, L. Computational and experimental study on dynamic behavior of underwater robots propelled by bionic undulating fins. Sci. China Technol. Sc. 2010, 53, 2966–2971. [Google Scholar] [CrossRef]
- Zhou, H.; Hu, T.; Xie, H.; Zhang, D.; Shen, L. Computational hydrodynamics and statistical modeling on biologically inspired undulating robotic fins: A two-dimensional study. J. Bionic. Eng. 2010, 7, 66–76. [Google Scholar] [CrossRef]
- Wei, C.; Hu, Q.; Li, S.; Zhang, T.; Shi, X. Hydrodynamic performance analysis of undulating fin propulsion. Phys. Fluids 2023, 35, 9. [Google Scholar] [CrossRef]
- Liu, H.; Curet, O. Swimming performance of a bio-inspired robotic vessel with undulating fin propulsion. Bioinspir. Biomim. 2018, 13, 056006. [Google Scholar] [CrossRef]
- Shirgaonkar, A.A.; Curet, O.M.; Patankar, N.A.; MacIver, M.A. The hydrodynamics of ribbon-fin propulsion during impulsive motion. J. Exp. Biol. 2008, 211, 3490–3503. [Google Scholar] [CrossRef]
- Neveln, I.D.; Bale, R.; Bhalla, A.P.S.; Curet, O.M.; Patankar, N.A.; MacIver, M.A. Undulating fins produce off-axis thrust and flow structures. J. Exp. Biol. 2014, 217, 201–213. [Google Scholar] [CrossRef]
- Giorgio-Serchi, F.; Arienti, A.; Laschi, C. Underwater soft-bodied pulsed-jet thrusters: Actuator modeling and performance profiling. Int. J. Robot. Res. 2016, 35, 1308–1329. [Google Scholar] [CrossRef]
- Krieg, M.; Mohseni, K. Thrust characterization of a bioinspired vortex ring thruster for locomotion of underwater robots. IEEE J. Ocean. Eng. 2008, 33, 123–132. [Google Scholar] [CrossRef]
- Rahman, M.M.; Sugimori, S.; Miki, H.; Yamamoto, R.; Sanada, Y.; Toda, Y. Braking performance of a biomimetic squid-like underwater robot. J. Bionic. Eng. 2013, 10, 265–273. [Google Scholar] [CrossRef]
- Lighthill, M.J. Aquatic animal propulsion of high hydromechanical efficiency. J. Fluid Mech. 1970, 44, 265–301. [Google Scholar] [CrossRef]
- Eloy, C.; Michelin, S. Flow associated with Lighthill’s elongated-body theory. J. Fluid Mech. 2025, 1009, A72. [Google Scholar] [CrossRef]
- Dehkordi, S.F. Dynamic analysis of flexible-link manipulator in underwater applications using Gibbs-Appell formulations. Ocean Eng. 2021, 241, 110057. [Google Scholar] [CrossRef]
- Dehkordi, S.F. Dynamic modeling of flexible-link manipulators with time-varying link lengths operating in fluid medium. Ocean Eng. 2024, 313, 119643. [Google Scholar] [CrossRef]
- Sane, S.P. The aerodynamics of insect flight. J. Exp. Biol. 2003, 206, 4191–4208. [Google Scholar] [CrossRef]
- Sánchez-Rodríguez, J.; Raufaste, C.; Argentina, M. Scaling the tail beat frequency and swimming speed in underwater undulatory swimming. Nat. Commun. 2023, 14, 5569. [Google Scholar] [CrossRef]
- Thandiackal, R.; Lauder, G. In-line swimming dynamics revealed by fish interacting with a robotic mechanism. Elife 2023, 12, e81392. [Google Scholar] [CrossRef] [PubMed]
- Tucker, V.A.; Catlett, R. Energetic cost of locomotion in animals. Readings Anim. Energetics 1973, 34, 109. [Google Scholar] [CrossRef] [PubMed]
- Bujard, T.; Giorgio-Serchi, F.; Weymouth, G.D. A resonant squid-inspired robot unlocks biological propulsive efficiency. Sci. Robot. 2021, 6, eabd2971. [Google Scholar] [CrossRef] [PubMed]
- Wang, T.; Lidtke, A.K.; Giorgio-Serchi, F.; Weymouth, G.D. Manoeuvring of an aquatic soft robot using thrust-vectoring. In Proceedings of the 2019 2nd IEEE International Conference on Soft Robotics (RoboSoft), Seoul, Republic of Korea, 14–18 April 2019; pp. 186–191. [Google Scholar]

















| Item | Specifications |
|---|---|
| Dimensions | 1200 mm × 450 mm × 310 mm |
| Weight | 11.84 kg |
| MCU | STM32F103RCT6 |
| IMU | WT1-IMU |
| Servos | 63 kgf·cm × 8 |
| Electric drive pusher | 12V 60 mm/s 90 N |
| Battery | 4 S 5200 mAh |
| Mode | Freq | Speed | Thrust | Power () | Eff () | CoT |
|---|---|---|---|---|---|---|
| (Hz) | (m/s) | (N) | (W) | (%) | (-) | |
| Tentacle only | - | 0.046 | 0.16 | 16.80 | 0.04 | 3.17 |
| Fin only | 0.500 | 0.051 | 0.18 | 19.37 | 0.05 | 3.28 |
| 0.650 | 0.075 | 0.40 | 26.06 | 0.11 | 3.00 | |
| 0.975 | 0.123 | 0.93 | 45.09 | 0.25 | 3.15 | |
| Hybrid | 0.500 | 0.120 | 0.90 | 36.17 | 0.30 | 2.59 |
| 0.650 | 0.151 | 1.39 | 42.86 | 0.49 | 2.45 | |
| 0.975 | 0.234 | 3.05 | 61.89 | 1.15 | 2.28 |
Disclaimer/Publisher’s Note: The statements, opinions and data contained in all publications are solely those of the individual author(s) and contributor(s) and not of MDPI and/or the editor(s). MDPI and/or the editor(s) disclaim responsibility for any injury to people or property resulting from any ideas, methods, instructions or products referred to in the content. |
© 2026 by the authors. Licensee MDPI, Basel, Switzerland. This article is an open access article distributed under the terms and conditions of the Creative Commons Attribution (CC BY) license.
Share and Cite
Jian, Z.; Han, Q.; He, T.; Chang, C.; Long, S.; Liang, G.; Xu, Z.; Xian, Y.; Guo, X. Hybrid-Actuated Multimodal Cephalopod-Inspired Underwater Robot. Biomimetics 2026, 11, 29. https://doi.org/10.3390/biomimetics11010029
Jian Z, Han Q, He T, Chang C, Long S, Liang G, Xu Z, Xian Y, Guo X. Hybrid-Actuated Multimodal Cephalopod-Inspired Underwater Robot. Biomimetics. 2026; 11(1):29. https://doi.org/10.3390/biomimetics11010029
Chicago/Turabian StyleJian, Zeyu, Qinlin Han, Tongfu He, Chen Chang, Shihang Long, Gaoming Liang, Ziang Xu, Yuhan Xian, and Xiaohan Guo. 2026. "Hybrid-Actuated Multimodal Cephalopod-Inspired Underwater Robot" Biomimetics 11, no. 1: 29. https://doi.org/10.3390/biomimetics11010029
APA StyleJian, Z., Han, Q., He, T., Chang, C., Long, S., Liang, G., Xu, Z., Xian, Y., & Guo, X. (2026). Hybrid-Actuated Multimodal Cephalopod-Inspired Underwater Robot. Biomimetics, 11(1), 29. https://doi.org/10.3390/biomimetics11010029

