Abstract
Lignin is the largest renewable source of aromatic biopolymers on Earth, and it is commercially available as by-product of biorefineries and pulp/paper industries. It is mainly burned for heat and power, but pyrolysis can provide high-value-added products. In this study, the pyrolysis characteristics of alkali lignin pellets are investigated using a packed-bed reactor at a laboratory scale for heating temperatures of 800–900 K. Conversion dynamics are analyzed by means of the thermal field and the rates of gaseous species release, which is a very innovative aspect of the study. The yields of the lumped product classes do not vary significantly in the range of heating temperatures examined (biochar yields around 58–63 wt%, together with gas and liquid yields around 9–12 and 28–30 wt%, respectively). Carbon dioxide is the most abundant gaseous product, followed by methane and carbon monoxide (smaller amounts of C2 hydrocarbons and hydrogen), while bio-oil is rich in phenolic compounds, especially guaiacols, cresols, and phenol. A comparison with the conversion dynamics of fir, beech, and straw reveals that, mainly as a consequence of softening and melting, the lignin heat- and mass-transfer rates as well as actual reaction temperatures are profoundly different. In fact, the characteristic process size becomes the diameter of the reactor rather than that of the pellets.
1. Introduction
Thermochemical conversion is an effective approach for the recycling and recovery of biomass, a renewable source of bioenergy, biofuels, and biomaterials, often in the form of waste from industrial processes [1] that needs to be adequately treated to avoid envir onmental threats. Lignin is one of the structural components of lignocellulosic biomass, together with hemicellulose and cellulose, amounting to about 10–40 wt%, on a dry basis, and is the largest renewable source of aromatic biopolymers on Earth [2]. Yet, comprehensive characterization is still not accomplished, owing to its complex chemical structure and the variability of its botanical origin and isolation process.
From the chemical point of view, lignin is a heteropolymer constituted by p-coumaryl (H), coniferyl (G), and sinapyl (S) monomers, arranged in a variety of C-O and C-C linkages, whose contents depend on the softwood, hardwood, or herbaceous biomass origin [2]. The Klason method is applied to isolate and evaluate the lignin content of the lignocellulosic biomass, while technical lignins are by-products of biorefineries and paper industries [3]. There are two main groups of technical lignins [3,4]: sulfur-containing lignins, including lignosulfonates and Kraft lignin, and sulfur-free lignins, including alkaline or soda lignin and organosolv lignin. Alkaline/soda lignin is typically obtained from herbaceous biomass using a pulping process where the feedstock is solubilized in an aqueous solution containing sodium hydroxide at high pressure and moderate temperature to break the linkages with hemicellulose and cellulose, while other C-C bonds are formed. Lignin residues are thus dissolved in the aqueous solution (black liquor).
Due to the recalcitrant, complex, and heterogeneous structure, about 95% of technical lignins are used as a low-grade fuel for heat and power or even discarded [5], causing serious environmental pollution and finally resulting in a huge bioresource wastefulness [6]. However, unlike combustion, other thermochemical processes, such as pyrolysis, can transform lignin wastes into value-added products [7]. More specifically, lignin pyrolysis results in phenol-rich bio-oils, carbon-rich biochar, and a gaseous stream. Apart from the usual applications in the bioenergy sector, the first two product classes can be used as starting substrates for the synthesis of phenol-formaldehyde resins, wood adhesives, and other applications in the polymer industry (bio-oil) or for soil amendment, bitumen additive, activated carbon, and various carbonaceous materials (biochar). Alkaline lignin is considered potentially attractive for the synthesis of aromatic chemicals through pyrolysis, though its behavior has been examined in only a few studies.
Micro-scale investigations, typically Py_GC/MS [8,9,10,11], tube reactors [11,12,13,14], or pyroprobe [15], report for the alkali lignin bio-oil the presence of guaiacols, syringols, alkylphenols, catechols, aldehydes, ketones, acids, and alcohols. Yields increase with temperature and retention time [10,13]; more specifically, depolymerization is favored for linear carbonyl (acetaldehyde) and guaiacyl-type aromatic compounds. The bio-oil yields are rather low compared with the biomass, with values around 20–40 wt% [11,12,13,15], to the advantage of biochar, owing to the strong aromatic rings and C–C bonds in the lignin structure [12]. To modify and tailor the pyrolysis reaction selectivity toward specific products, the catalyst role has also been investigated for transition metal oxides (Co3O4, MnO3, NiO, Fe2O3, CuO) [15], metal chlorides (KCl, CaCl2, FeCl3) [12], and transition metal-modified composite molecular sieves [11]. Table 1, which summarizes the experimental conditions of the various investigations [8,9,10,11], confirms that the emphasis is on semi-quantitative characterization of the volatile products based on the chromatogram peak areas. In some cases [11,12,13,14,15], the yields of the lumped product classes are also evaluated, though the gaseous [13] or liquid [15] products are assumed to close the global mass balance. Moreover, none of these studies provide information about the heat and mass transfer dynamics, which closely interact with chemical reactions and affect their activity and extent.
Table 1.
Experimental conditions and characteristics of alkali lignin pyrolysis.
The yields and compositions of the lumped classes of pyrolysis products from lignocellulosic biomass are strongly affected by the conditions established during conversion (i.e., temperature, heating rate, solid and volatile retention times), which are determined by the feedstock properties and the reactor configuration [16,17,18,19]. Packed-bed pyrolysis has been extensively applied to investigate the pyrolysis of wood and various agro-industrial residues, also providing data of paramount importance on conversion dynamics, including the thermal field [20,21,22,23,24,25], often showing conditions highly different from those planned and an uncontrolled regime indicated as “pyrolytic runaway” (see [26,27] and related references). These aspects are of paramount importance for the design and development of autothermal torrefaction and pyrolysis [28,29] at an industrial scale. However, such information is not available for alkali lignin pyrolysis. In this case, as reported in Table 1 and observed in the interesting review [30], “current studies focus mainly on small quantities of lignin”, essentially providing semi-quantitative analysis of the products which, at the reactor scale, are also expected to be modified, owing to [31] “differences in process conditions, such as heating rate and hot-vapor-residence times leading to secondary degradation reaction of the individual monomers”.
An effort is made in this study to improve the current knowledge about alkali lignin pyrolysis using a laboratory-scale packed-bed reactor where, for the first time, important quantitative data are provided about the heat and mass transfer effects during conversion. Commercial alkali lignin is first thermogravimetrically characterized and then, after pelletization, subjected to pyrolysis. Product yields are evaluated and characterized, but the main scope of the study is to obtain data about the thermal field and the release rate of gaseous species, to put into evidence the complications and challenges introduced by this feedstock with respect to the widely investigated lignocellulosic biomass (wood and straw pellets).
2. Materials and Methods
2.1. Materials
Alkali lignin (CAS number 8068-05-1), in powder form and with a melting point of 530 K, was purchased from Sigma-Aldrich Corporation. According to [9], the ultimate analysis, on an ash-free basis, consisted of 62.46 wt% C, 3.72 wt% H, 32.37 wt% O, 0.26 wt% N, and 1.19 wt% S (oxygen content by mass closure), while the proximate analysis (ASTMD3172-07a), on a dry basis, gave 64.66 wt% volatile matter, 32.47 wt% fixed carbon, and 2.87 wt% ash. Though the origin of the alkali lignin was not specified by the producer, a previous micro-scale characterization [10], based on the bio-oil composition, indicates softwood as the origin substrate. This is “one of the most frequently used commercially available lignin[s]” [10], so the presentation and discussion of its conversion dynamics can attract wide scientific interest. On the other hand, it is also known [2,3,4,8,13] that the quantitative characteristics of lignin pyrolysis are largely affected by origin and isolation methods.
2.2. Thermogravimetric Measurements
Thermogravimetric characterization is carried out (Mettler TGA 1) using a 5 mg mass of alkali lignin heated at 5 K/min up to 773 K under a nitrogen flow of 50 mL/min, including a drying step at 383 K for 30 min. Integral (TG) and differential (DTG) curves are analyzed using characteristic devolatilization rates, temperatures, and mass fractions. For comparison purposes, similar data obtained for Klason lignin isolated from beech wood, fir wood, and wheat straw [32] and the origin substrates, in the form of fine powder (sizes below 80 microns), are also examined (these substrates represent, in some way, typical lignocellulosic materials). Chief properties of the lignocellulosic materials are reported in [22].
2.3. Pelletization
To facilitate the feeding for packed-bed pyrolysis, the alkali lignin powder is amalgamated with water, prepared in the form of cubic tablets 0.5 cm thick (indicated in the following as pellets), and subjected to oven drying. Furthermore, commercial pellets, cylindrically shaped, are considered for the wheat straw and wood samples, with a characteristic size (diameter) of 0.5 cm (straw) or 0.6 cm (wood). The intrinsic pellet densities are 0.88 (straw), 1.04 (beech), 1.14 (fir), and 1.35 (lignin) g/cm3.
2.4. Packed-Bed Reactor
A schematic of the laboratory-scale system, already used in previous work of the authors [22], is reported in Figure 1. The cylindrical steel reactor has an internal diameter of 6.3 cm and a length of 45 cm. The inert reaction environment inside the reactor is established by a nitrogen flow from the bottom perforated plate, which supports the pellet bed. Nitrogen is fed at the top of an outer steel cylinder (8 L/min), having an internal diameter of 9 cm, which is externally heated by an electrical furnace. The thermal field along the bed axis is measured by seven thermocouples, positioned at distances of 1, 5, 10, 15, 20, 25, and 30 cm from the perforated plate. Thermocouples, with their tips touching the bed, are allocated inside a small steel tube. Following preheating, an isothermal zone about 20 cm high over the plate is established at a temperature (indicated as heating temperature) that depends on the setpoint of the furnace. It should be noticed that reactor preheating is generally carried out under oxidizing conditions (air), which also allow cleaning of any small carbon residues deposited from previous pyrolysis tests to be achieved. Switching from air to nitrogen takes place once the heating temperature is reached. Inert flushing is then maintained for at least 30 min before the experiment begins.
Figure 1.
Schematic of the fixed-bed pyrolysis reactor.
Heating temperatures of 800–900 K are achieved after a preheating time of 180–220 min. For packed-bed conditions, these are shown [22] to cause maximum liquid yields for numerous biomasses, while, based on thermogravimetric curves discussed in the following, alkali lignin also reaches high conversion levels. After the attainment of a steady thermal field, pellets (about 175–185 g) are suddenly fed into the reactor through the top isolation valve. Feeding starts at time t = 0 s and is completed in about 20–30 s. The packed bed of pellets is always within the isothermal zone of the reactor, with initial heights around 10 cm for the wood and lignin pellets and about 16 cm for the straw pellets. Once decomposition begins, the volatile products mix with nitrogen and flow upward, first across the bed/reactor and then across a series of condensers, where the liquid product is collected, followed by scrubbers, cotton traps, and silica gel beds.
2.5. Product Characterization
Gas sampling is performed at selected times, followed by chemical analysis (GC Perkin-Elmer Auto-System XL with TCD and a packed column (Supelco60-80Carboxen1000, 15ft) using helium as carrier gas). These data are exploited to obtain the yields of permanent gaseous species (indicated as “gas”). The condensable products are collected (in condensers) for subsequent analysis. These products and those weighed from the other elements of the condensation train are used to evaluate the yields of liquid product (bio-oil). When decomposition terminates, the furnace is turned off while the bed is left under a nitrogen flow until the ambient temperature is reached, allowing for collection and weighing of the carbonaceous residue (biochar). The yields of the three classes of lumped products (biochar, bio-oil, and gas) are evaluated as percentages of the initial dry sample mass. Separate evaluations of the lumped product classes also allow the accuracy of the total mass closure to be checked. The liquids are chemically characterized by means of GC/MS (Focus GC-DSQ, Thermo Electron, Austin TX, USA) with a quadrupole detector and a DB-1701 capillary column using the same conditions as in [22].
3. Results
The thermogravimetric behavior of the alkali lignin is compared with that of Klason lignin isolated from beech wood, fir wood, and wheat straw (and that of the original materials). Then, the packed-bed dynamics and products of alkali lignin pyrolysis are discussed. A comparison is also made with the pyrolytic behavior of wood (beech and fir) and straw pellets.
3.1. Thermogravimetric Curves
The integral and differential curves of commercial alkali lignin and Klason lignin, isolated from beech and fir woods and wheat straw [32], are reported versus temperature in Figure 2a for a heating rate of 5 K/min. Figure 2b shows a comparison between alkali lignin and the lignocellulosic materials, again for a heating rate of 5 K/min. As expected, the curves confirm the important role of the origin substrate and the isolation method. As already observed [32], the qualitative features of Klason lignin decomposition are not affected by the origin. A well-defined peak rate is always attained, delimited by a shoulder and a tail at lower and higher temperatures, respectively. However, the decomposition process for those originated from wood, especially softwood, occurs at higher temperatures, a trend similar to that of the origin materials. Among others, the decomposition of straw occurs at a lower temperature than wood owing to the catalysis of indigenous minerals [33]. The decomposition of alkali lignin is both qualitatively and quantitatively different. In the first place, it exhibits a wide zone of high rates over the temperature range 470–650 K, followed by a rather long tail at high temperatures, without an evident peak rate. On average, it degrades at lower temperatures and slower rates. For instance, with reference to the Klason straw lignin, the solid residue evaluated at 820 K is around 0.67 (versus 0.52) and the peak rate, positioned at 608 K (versus 629 K), is about 1.4 × 10−3 s−1 (versus 0.21 × 10−3 s−1). Indeed, alkali lignin preserves the weak ether bounds of the native component, resulting in a lower thermal stability compared with the sample obtained by means of the Klason method [34,35]. From the results of the thermogravimetric analysis, it appears that, independent from origin and isolation method, lignin decomposition is a multi-stage process [36,37,38,39] requiring the description of at least three overlapping zones [32] corresponding to dehydration, depolymerization, and further decomposition/carbonization/polymerization [37].

Figure 2.
Thermogravimetric curves for the thermal degradation of alkali lignin and Klason lignin [32] isolated from beech wood, fir wood, and wheat straw (a) and for alkali lignin and the lignocellulosic materials (b) at a heating rate of 5 K/min.
Both alkali and Klason lignins degrade over the entire range of temperatures of the substrate material, with a complete overlap with the decomposition of hemicellulose and cellulose, thus testifying to the difficulty of the identification of in situ decomposition of the native components. Also, the yields of char generated from lignin decomposition are much higher than those of the origin substrates (mass fractions around 0.5–0.7 for the lignins versus 0.18–0.25 for the substrates). Hence, primary char, which predominates over secondary char for the thermogravimetric conditions, mainly originates from lignin.
3.2. Packed-Bed Pyrolysis of Alkali Lignin
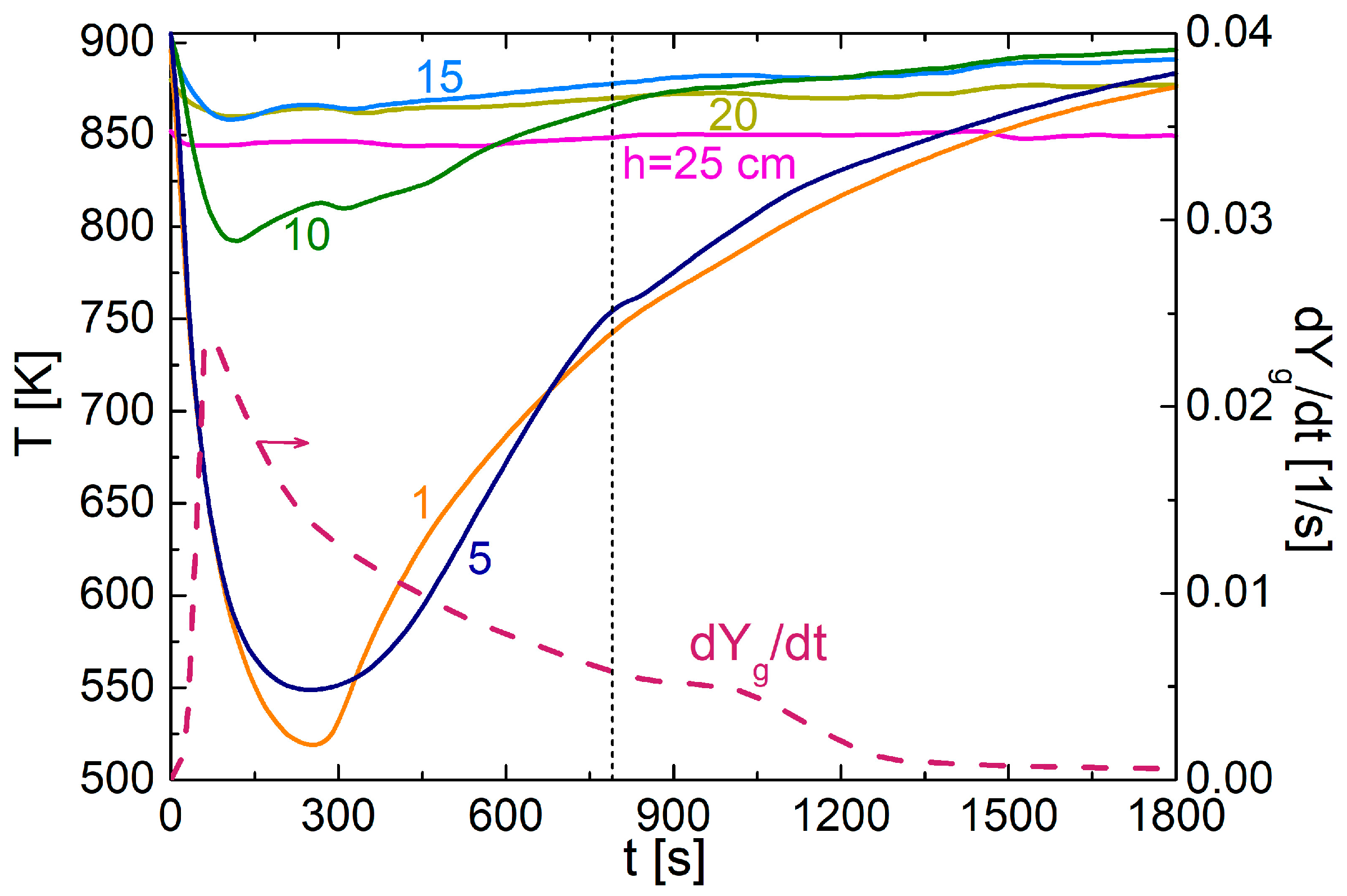
The main features of the packed-bed pyrolysis of alkali lignin can be observed by means of the temporal profiles of the temperature at various positions along the reactor axis, the global release rate of gas (Figure 3), and the temporal profiles of the release rates of the single gaseous species (Figure 4) for a reactor heating temperature of 900 K. As expected, pyrolytic conversion is a highly unsteady process. At the time t = 0 s after feeding, a rapid decrease in the recorded temperature is observed for the positions corresponding to the bed height (0–10 cm), especially for the bottom part (5 cm). This behavior is due to the cold feed, which is heated at rates depending on the pellet properties and the subsequent transformations, the reaction endothermicity/exothermicity, and the sensible heat transported by the volatile products outside the bed. Then, after a minimum, which can be associated with a strong reduction in the devolatilization rate and the formation of a charred solid product, the temperature starts to increase toward the initial values established by furnace heating. Pellet heating takes place by convective exchange with the preheated nitrogen stream and thermal radiation from the reactor wall, where both the pellet size and the reactor diameters play a role in the heating rate established during conversion. The measured temperatures can be considered average values between the condensed and the volatile phases, though intra-pellet and intra-bed gradients are expected to be established. The mixture of the forced nitrogen stream and the volatile pyrolysis products flows across the bed and then the upper, colder zone of the reactor, to be separated downstream into condensable products and permanent gases. As already anticipated, it also transports sensible heat outside the bed, causing the so-called “convective cooling” [22]. Finally, the remarkable flow rate guarantees a reduced activity of the secondary reactions of vapor-phase organic products across the reactor space above the bed.
Figure 3.
Temporal profiles of temperatures measured at various bed heights and release rates of total gas (dry sample mass basis), dYg/dt, for alkali lignin pellets (heating temperature 900 K). The vertical dashed line indicates the conversion time.
Figure 4.
Release rates of gaseous species (dry sample mass basis) as functions of time for alkali lignin pellets (heating temperature 900 K).
The global rate of gas release attains the maximum quickly as, owing to the high initial temperature of the reactor, the external surface of the feed is promptly heated and degraded. However, following the appearance of spatial gradients, the reaction process is slowed and maintains approximately a constant rate during a large part of the conversion (up to about 1200 s). Before the initial thermal conditions are slowly re-established, it is likely that condensation and polymerization prevail over devolatilization. The species quantitatively most important are CO2, CH4, and CO. The sole remarkable difference in the profile shape of these species is the very rapid decay in the release rate of CO2. Minor contributions to the total gas product are given by C2H6, C2H4, and H2. The formation of non-condensable low-molecular-weight species was also observed in other studies [9,11,12,13,15], associated with the breakage of the lignin functional units. The degradation of the methoxy, methyl, and methylene group results in the formation of CH4, while CO is generated from the breakage of the ether bonds [9] and other decarbonylation reactions. Decarboxylation reactions together with the rupture of the carbonyl groups lead to CO2 formation. The yield of total gas for a heating temperature of 900 K is around 12 wt% (expressed as the percent of the initial sample mass) with yields of 7.8, 2.2, and 1.4 wt% for CO2, CH4, and CO, respectively (C2 hydrocarbon and H2 yields of 0.30 and 0.2 wt%). The temporal profile of the total gas release can also be used to evaluate the conversion time, assumed to coincide with the release of 75% of the total amount [22], corresponding to 790 s (indicated by the dashed vertical line in Figure 3). This treatment is valid, as the release of the gaseous species occurs simultaneously with that of H2O and the condensable organic compounds [40].
Biochar is the most important product of alkali lignin pyrolysis. This, for the heating temperature of 900 K under examination, reaches a yield around 58 wt% versus a residue of 64 wt% measured under thermogravimetric conditions for the same temperature. By mass balance closure, it follows that the yield of the total liquid-phase product is 30 wt%, although the quantity collected/weighed amounts to 20 wt%. The yields of the main components, expressed as percentages of the liquid product, are listed in Table 2 and include several phenolic compounds, such as phenol, propionic acid, guaiacol, 4-methylsyringol, hydroquinone, o-m-p-cresol, ethylguiacol, 4-acetonguiacol, 2-ethylphenol, cis-trans-eugenol, and 4-methylguiacol. The most abundant species are phenol, guaiacols, and cresols. The absence of syringols confirms the softwood origin of the commercial alkali lignin examined in this study. No sulfur compounds are identified, most likely owing to the low content of this compound in the alkali lignin (see the elemental composition reported above) and the high yields of biochar. From the qualitative point of view, these results are in line with what is reported in the previous literature [8,9,10,11,12,13,14,15], but in this study, the main components of the bio-oil are rigorously quantified. Instead of a semi-quantitative analysis based on the areas of the chromatographic peaks, the method uses calibration lines, typically constructed with four injections using concentrations selected according to the response coefficient, and an internal standard (fluoranthene). Finally, it should be noticed that, as further commented below, standard deviations are always below 10% (typical values 5–7%) for both product yields and characteristic temperatures and times (for an in-depth discussion of these aspects, see reference 18 reported in [22]).
Table 2.
Some compounds of the alkali lignin bio-oil identified with the retention time (RT) and quantified, with yields expressed as percent of the collected liquid product, amounting to 20 wt% of the dry feed (heating temperature 900 K) and average standard deviation ∆σ (%).
3.3. Comparison of Packed-Bed Pyrolysis of Alkali Lignin and Lignocellulosic Materials
The dynamics of packed-bed pyrolysis of alkali lignin carried out at a heating temperature of 800 K are qualitatively similar to those already presented above. The biochar yield is slightly higher (63 wt%; the corresponding yield for the thermogravimetric conditions at the same temperature is 67 wt%) while the gas yield is lower (9 wt%). The results of this experiment are used to carry out a comparison with the packed-bed pyrolysis of widely used lignocellulosic materials, i.e., beech wood, fir wood, and straw pellets, at the same heating conditions (heating temperature 800 K) [22]. The temperature dynamics shown in Figure 5a–d are qualitatively similar, but quantitative differences are large in terms of the actual conversion temperature and times between lignin and lignocellulosic materials. A further comparison among the various feedstocks can be made through the temporal profiles and the corresponding time derivative of the temperature measured at a bed height of 5 cm (Figure 6a,b), the temporal profiles of the gas release rate (Figure 7), and the yields of the lumped product classes listed in Table 3, together with some characteristic parameters describing the process dynamics (average standard deviations are also listed). As already shown in [22], the release of volatile products is quantified in terms of the maximum gas release rate, dYgm (with the percentage of gas released), and the corresponding time, tgm. The minimum temperature, Tmin, and the corresponding time, tmin, are also considered together with the conversion time, tc, already defined above, and the corresponding temperature, Tc, measured at a bed height of 5 cm.
Figure 5.
Temporal profiles of temperature measured at various bed heights for lignocellulosic materials (a–c) and alkali lignin (d) pellets (heating temperature 800 K). The vertical dashed line indicates the conversion time.
Figure 6.
Temporal profiles of the time derivative of temperature and the temperature for a bed height of 5 cm for lignocellulosic materials and alkali lignin pellets (heating temperature 800 K).
Figure 7.
Release rates of gaseous species (dry sample mass basis) as functions of time for lignocellulosic materials and alkali lignin pellets (heating temperature 800 K).
Table 3.
Packed-bed parameters (maximum gas release rate dYgm (with the percentage of gas released) and corresponding time tgm; minimum temperature Tmin and corresponding time tmin; conversion time tc and corresponding temperature Tc, measured at a bed height of 5 cm) and yields of biochar, bio-oil, and gas (expressed as percent of the dry feed and the percent of collected liquid product reported in brackets together with the bio-oil figure) and total mass closure, with the average standard deviation ∆σ (%), for alkali lignin and lignocellulosic materials (heating temperature 800 K).
It is interesting to observe (Table 3) that the gas yields are comparable for the four feedstocks with a maximum of 15 wt% (straw) and a minimum of 9 wt% (alkali lignin), with wood pellets giving values of 11–12 wt%. Hence, the high yields of biochar measured for alkali lignin (63 wt% versus 29 wt% for straw and 24 wt% for woods) are associated with much lower bio-oil yields compared with the lignocellulosic materials. Moreover, as reported above, this product lacks components originated from the carbohydrate decomposition typical of straw and wood [22]. It is also worth noticing that for the lignocellulosic materials, the second most abundant gaseous species is CO [22], which is substituted by CH4 for lignin. Given the severe thermal conditions (heating temperatures of 800–900 K) of lignin pyrolysis, it can be speculated that an increase in the production of bio-oil can be achieved only with modifications in the reaction pathways caused, for example, by suitable catalysts. Also, the average deviations listed in Table 3 are very small for the biochar yields (around 1%), whereas for the other two product classes, they are around 5%.
As for the conversion dynamics, at first glance, it is evident that alkali lignin experiences much lower temperatures compared with the lignocellulosic materials with consequent slower decomposition rates, as testified by the gaseous species release, and longer conversion times. In quantitative terms (Table 3), the conversion times are longer by factors of 1.8–3 (with respect to fir wood and straw) with longer values for tmin (323 s versus 143–170 s). These are also associated with much lower Tmin (403 K versus 508–537 K) and slightly higher Tc (757 K versus 654–690 K). On the other hand, the time corresponding to the maximum rate of gas release is much shorter (70 s versus 120–195 s), accompanied by significantly smaller rates.
Useful information about the dynamics of the thermal field can be gained from Figure 6a,b. Two main zones are evident, the first of decreasing temperatures (and negative time derivatives) and the second of increasing temperatures (and positive time derivatives) separated by the minimum temperature (zero time derivative). As for the first zone and very short times, all the feedstocks show approximately the same values, possibly dictated by a stage of superficial feed heating and decomposition. For longer times, though some differences appear among the lignocellulosic materials, their behavior remains comparable. Instead, the derivative for the alkali lignin first slows down and then attains an almost constant value (for times between about 1180 and 1250 s) before reaching a zero value. The softening/melting and the higher exothermicity of lignin decomposition with respect to the other structural components [41] may play a role in this finding. As for the second zone (of increasing temperature), two qualitative trends can be observed for the woods, on one side, and for the straw and lignin, on the other. For the wood pellets, after the rapid increase in the time derivatives corresponding to very slow devolatilization rates, a constant value is maintained for the time interval 300–600 s, testifying to the heating of the inert biochar. For the other two feedstocks, the rising stage is much slower, especially for alkali lignin, suggesting that convective cooling is still important as it is associated with the occurrence of further devolatilization of the substrate. Then, the process of inert char heating is very rapid, terminating at about 280 s (straw) or 700 s (lignin) (it starts around 200 and 330 s, respectively). The faster conversion of straw with respect to wood can be ascribed, from the physical point of view, to the lower intrinsic density, and for the chemical composition, to the larger content of alkali compounds, which catalyze primary and secondary charring, displacing the process at lower temperatures and promoting the global exothermicity of the process [26,27].
3.4. Effects of Lignin Melting
The very large differences between lignocellulosic materials and lignin require careful consideration not only of the different chemicophysical properties but also of the peculiar phenomena of softening and melting at low temperature (530 K) undergone by the latter. These are known [30] to complicate lignin powder feeding and to cause agglomeration and de-fluidization during fluidized-bed pyrolysis. Based on the shape of the carbonaceous residues collected from the pyrolysis experiments examined herein and shown in Figure 8 (charred fir wood pellets and a piece of alkali lignin char), it can be stated that melting induces the loss of the pellet identity and the formation of a single reacting volume practically coincident with the entire bed size. In this way, for lignin, the characteristic process size changes from the pellet thickness to the bed diameter (with an order of magnitude increase), while for the lignocellulosic materials it is always that of the single pellet, which preserves its shape during and after conversion (apart from limited shrinkage). Hence, the huge modification in the characteristic process size, combined with a higher density and the almost negligible porosity of the pellets and the bed, can be considered responsible for the slow heating and conversion rate of lignin. The change in the characteristic process size not only affects the heat-transfer rates but also the mass-transfer rates, increasing the residence time of volatile products inside the reacting solid and, in this way, the activity of secondary reactions.
Figure 8.
Snapshots of biochar for pellets of fir wood (a) and a piece of alkali lignin biochar (b) obtained with a heating temperature of 800 K.
It is worth observing that the melting phenomenon in lignin also causes a biochar structure similar with that of the carbonaceous residue formed, through a plastic phase, from the devolatilization and combustion of bio-oils [42,43]. Compared with primary char, secondary char from bio-oils is characterized by a reduced reactivity [43]. On the other hand, as noticed in [30], the lignin char surface is smooth and does not exhibit pores. These are aspects that deserve careful consideration with a view to specific biochar applications, which are highly dependent on the morphological structure. As the melting behavior of lignins appears to be affected by the level crosslinking and condensation in their structures, pretreatments apt to cause modifications in this regard need to be explored [30], such as the reaction with calcium formate or pelletization using natural clay as a binder. The latter could be promising for packed-bed reactor conversion, to avoid the setting of very large characteristic sizes that hinder real-scale exploitation of lignin through pyrolysis, and to improve the quality/properties of the products.
4. Conclusions
While most of the currently available studies consider lignin pyrolysis at the micro-scale level using samples on the order of milligrams, in this study, the process is investigated at the laboratory scale using a packed-bed reactor. The emphasis of the investigation is on the conversion dynamics by measuring the thermal field and the release rates of the gaseous (non-condensable) species. This aspect is very innovative as it has not been considered in the previous literature.
Alkali lignin that is commercially available was considered. The comparison with lignocellulosic materials (beech, fir, and straw) showed that the lignin degradation process was much slower and occurred, on average, at much lower temperatures. Although in all cases, pellets of comparable size were fed to the reactor, while the initial dimensions were preserved in the lignocellulosic materials, the lignin pellets, following softening and melting at relatively low temperatures, lost their identity, giving rise to a single fuel element of characteristic size coinciding with the reactor diameter. The change in the characteristic size on an order of magnitude for the system used here was the main factor causing the peculiar conversion dynamics, with dramatic effects on the heat- and mass-transfer rates. Since this adverse behavior is expected to be even worse on a real scale, future investigations should consider pretreatments aimed at reducing lignin’s tendency to melt at low temperatures.
The yields and compositions of the lignin products were also determined and were in line with the literature results. For reactor heating temperatures of 800–900 K, biochar was the most important product, with yields around 58–63 wt%, followed by bio-oil, with yields of 28–30 wt%, especially rich in guaiacols, cresols, and phenol. Instead, for the lignocellulosic material, the yields of bio-oil were the highest, associated with reduced amounts of biochar. The gas yields were comparable for all the feedstocks, with CH4 being an important compound for lignin. Owing to melting, the structure of the lignin biochar did not show the porous network typical of lignocellulosic materials. Instead, it was like that of the carbonaceous residues formed during bio-oil evaporation and combustion. These features are expected to be affected by pretreatments for reducing the lignin melting tendency. In any case, they should be properly considered (and possibly upgraded) in view of the specific applications of lignin biochar.
Author Contributions
C.B.: conceptualization; methodology; formal analysis; investigation; data curation; writing—original draft preparation; writing—review and editing. C.D.B.: conceptualization; methodology; formal analysis; investigation; data curation; writing—original draft preparation; writing—review and editing. All authors have read and agreed to the published version of the manuscript.
Funding
This research received no external funding.
Data Availability Statement
The data presented in this study are available on request from the corresponding author.
Conflicts of Interest
The authors declare no conflicts of interest.
References
- Nunes, L.J.R.; Loureiro, L.M.E.F.; Sa, L.C.R.; Silva, H.F.C. Thermochemical conversion of olive oil industry waste: Circular economy through energy recovery. Recycling 2020, 5, 12. [Google Scholar] [CrossRef]
- Cao, Y.; Chen, S.S.; Zhang, S.; Ok, Y.S.; Matsagard, B.M.; Wud, K.C.-W.; Tsang, D.C.W. Advances in lignin valorization towards bio-based chemicals and fuels: Lignin biorefinery. Bioresour. Technol. 2019, 291, 121878. [Google Scholar] [CrossRef]
- Nandal, P.; Arora, A.; Virmani, S. An appraisal on valorization of lignin: A byproduct from biorefineries and paper industries. Biomass Bioenergy 2021, 155, 106295. [Google Scholar] [CrossRef]
- Liao, J.J.; Latif, N.H.A.; Trache, D.; Brosse, N.; Hussin, M.H. Current advancement on the isolation, characterization and application of lignin. Int. J. Biol. Macromol. 2020, 162, 985–1024. [Google Scholar] [CrossRef]
- Karthäuser, J.; Biziks, V.; Frauendorf, H.; Mai, C.; Militz, H. Vacuum low-temperature microwave-assisted pyrolysis of technical lignins. Polymers 2022, 14, 3383. [Google Scholar] [CrossRef] [PubMed]
- Cui, Y.; Wang, W.; Chang, J. Study on the product characteristics of pyrolysis lignin with calcium salt additives. Materials 2019, 12, 1609. [Google Scholar] [CrossRef] [PubMed]
- Zevallos Torres, L.A.; Woiciechowski, A.L.; Oliveira de Andrade Tanobe, V.; Karp, S.G.; Guimaraes Lorenci, L.C.; Faulds, C.; Soccol, C.R. Lignin as a potential source of high-added value compounds: A review. J. Clean. Prod. 2020, 263, 121499. [Google Scholar] [CrossRef]
- Lin, X.; Sui, S.; Tan, S.; Pittman, C.U.; Sun, J.; Zhang, Z. Fast pyrolysis of four lignins from different isolation processes using Py-GC/MS. Energies 2015, 8, 5107–5121. [Google Scholar] [CrossRef]
- Ma, Z.; Sun, Q.; Ye, J.; Yao, Q.; Zhao, C. Study on the thermal degradation behaviors and kinetics of alkali lignin for production of phenolic-rich bio-oil using TGA–FTIR andPy–GC/MS. J. Anal. Appl. Pyrolysis 2016, 117, 116–124. [Google Scholar] [CrossRef]
- Supriyanto, U.D.O.; Ylitervo, P.; Dou, J.; Sipponen, M.H.; Richards, T. Identifying the primary reactions and products of fast pyrolysis of alkali lignin. J. Anal. Appl. Pyrolysis 2020, 151, 104917. [Google Scholar] [CrossRef]
- Liu, H.; Liu, H.; Hu, J.; Zhong, W.; Hu, Z.; Wang, H. Comprehensive study of alkali lignin pyrolysis catalyzed by composite metal-modified molecular sieves for the preparation of hydrocarbon liquid fuels. J. Anal. Appl. Pyrolysis 2024, 181, 106608. [Google Scholar] [CrossRef]
- Wang, W.-L.; Ren, X.-Y.; Chang, J.-M.; Cai, L.-P.; Shi, S.Q. Characterization of bio-oils and bio-chars obtained from the catalytic pyrolysis of alkali lignin with metal chlorides. Fuel Proc. Technol. 2015, 138, 605–611. [Google Scholar] [CrossRef]
- Biswas, B.; Singh, R.; Kumar, J.; Khan, A.A.; Krishna, B.B.; Bhaskar, T. Slow pyrolysis of prot, alkali and dealkaline lignins for production of chemicals. Bioresour. Technol. 2016, 213, 319–326. [Google Scholar] [CrossRef]
- Damayanti, D.; Wu, H.S. Pyrolysis kinetic of alkaline and dealkaline lignin using catalyst. J. Polym. Res. 2018, 25, 7. [Google Scholar] [CrossRef]
- Ma, Z.; Custodis, V.; van Bokhoven, J.A. Selective deoxygenation of lignin during catalytic fast pyrolysis. Catal. Sci. Technol. 2014, 4, 766–772. [Google Scholar] [CrossRef]
- Vamvuka, D. Bio-oil, solid and gaseous biofuels from biomass pyrolysis procresses—An overview. Int. J. Energy Res. 2011, 35, 835–862. [Google Scholar] [CrossRef]
- Lewandowski, W.M.; Ryms, M.; Kosakowski, W. Thermal biomass conversion: A review. Processes 2020, 8, 516. [Google Scholar] [CrossRef]
- Ciesielski, P.N.; Pecha, M.B.; Lattanzi, A.M.; Bharadwaj, V.S.; Crowley, M.F.; Bu, L.; Vermaas, J.V.; Steirer, K.X.; Crowley, M.F. Advances in multiscale modeling of lignocellulosic biomass. ACS Sustain. Chem. Eng. 2020, 8, 3512–3531. [Google Scholar] [CrossRef]
- Tan, Z.; Li, Y.; Chen, F.; Liu, J.; Zhong, J.; Guo, L.; Zhang, R.; Chen, R. Challenges and perspectives of the conversion of lignin waste to high-value chemicals by pyrolysis. Processes 2024, 12, 589. [Google Scholar] [CrossRef]
- Becidan, M.; Skreiberg, O.; Hustad, J.E. Products distribution and gas release in pyrolysis of thermally thick biomass residues samples. J. Anal. Appl. Pyrolysis 2007, 78, 207–213. [Google Scholar] [CrossRef]
- Manya, J.J.; Ruiz, J.; Arauzo, J. Some peculiarities of conventional pyrolysis of several agricultural residues in a packed bed reactor. Ind. Eng. Chem. Res. 2007, 46, 9061–9070. [Google Scholar] [CrossRef]
- Di Blasi, C.; Branca, C.; Galgano, A. Biomass screening for the production of furfural via thermal decomposition. Ind. Eng. Chem. Res. 2010, 49, 2658–2671. [Google Scholar] [CrossRef]
- Branca, C.; Di Blasi, C.; Galgano, A. Experimental analysis about the exploitation of industrial hemp (Cannabis sativa) in pyrolysis. Fuel Proc. Technol. 2017, 162, 20–29. [Google Scholar] [CrossRef]
- Ábrego, J.; Plaza, D.; Luño, F.; Atienza-Martínez, M.; Gea, G. Pyrolysis of cashew nutshells: Characterization of products and energy balance. Energy 2018, 158, 72–80. [Google Scholar] [CrossRef]
- Bouzarour, A.; Pozzobon, V.; Perré, P.; Salvador, S. Experimental study of torrefied wood fixed bed: Thermal analysis and source term identification. Fuel 2018, 234, 247–255. [Google Scholar] [CrossRef]
- Di Blasi, C.; Branca, C.; Sarnataro, F.E.; Gallo, A. Thermal runaway in the pyrolysis of some lignocellulosic biomasses. Energy Fuels 2014, 28, 2684–2696. [Google Scholar] [CrossRef]
- Branca, C.; Galgano, A.; Di Blasi, C. Dynamics and products of potato crop residue conversion under a pyrolytic runaway regime—Influences of feedstock variability. Energy 2023, 276, 127507. [Google Scholar] [CrossRef]
- Huang, Y.; Li, B.; Liu, D.; Xie, X.; Zhang, H.; Sun, H.; Hu, X.; Zhang, S. Fundamental advances in biomass autothermal/oxidative pyrolysis: A review. ACS Sustain. Chem. Eng. 2020, 8, 11888–11905. [Google Scholar] [CrossRef]
- Graham, S.; Jones, J.M.; Dekker, M. An integrated laboratory and industrial scale study of autothermal torrefaction of hardwood, softwood and Miscanthus. Biomass Bioenergy 2025, 195, 107723. [Google Scholar] [CrossRef]
- Singh-Morgan, A.; Puente-Urbina, A.; van Bokhoven, J.A. Technology overview of fast pyrolysis of lignin: Current state and potential for scale-up. ChemSusChem 2022, 15, e202200343. [Google Scholar] [CrossRef]
- Ghalibaf, M.; Alen, R.; Hita, I.; Deuss, P.J.; Jan Heeres, H.; de Wild, P. Valorization potential of technical lignins from Norway spruce (Picea abies) via pyrolysis. J. Anal. Appl. Pyrolysis 2022, 165, 105549. [Google Scholar] [CrossRef]
- Branca, C.; Di Blasi, C. Multi-step devolatilization kinetics of Klason lignin isolated from beech wood and agro-industrial wastes. Fuel 2024, 374, 132469. [Google Scholar] [CrossRef]
- Nzihou, A.; Stanmore, B.; Lyczko, N.; Pham Minh, D. The catalytic effect of inherent and adsorbed metals on the fast/flash pyrolysis of biomass: A review. Energy 2019, 170, 326–337. [Google Scholar] [CrossRef]
- Jiang, G.; Nowakowski, D.J.; Bridgwater, A.V. A systematic study of the kinetics of lignin pyrolysis. Thermochim. Acta 2010, 498, 61–66. [Google Scholar] [CrossRef]
- Wang, S.; Ru, B.; Lin, H.; Sun, W.; Luo, Z. Pyrolysis behaviors of four lignin polymers isolated from the same pine wood. Biores. Technol. 2015, 182, 120–127. [Google Scholar] [CrossRef] [PubMed]
- Leng, E.; Guo, Y.; Chen, J.; Liu, S.; E, J.Q.; Xue, Y. A comprehensive review on lignin pyrolysis: Mechanism, modeling and the effects of inherent metals in biomass. Fuel 2022, 309, 122102. [Google Scholar] [CrossRef]
- Lu, X.; Gu, X. A review on lignin pyrolysis: Pyrolytic behavior, mechanism, and relevant upgrading for improving process efficiency. Biotechnol. Biofuels Bioprod. 2022, 15, 106. [Google Scholar] [CrossRef] [PubMed]
- Kristanto, J.; Daniyal, A.F.; Pratama, D.Y.; Bening, I.N.M.; Setiawan, L.; Azis, M.M.; Purwono, S. Kinetic study on the slow pyrolysis of isolated cellulose and lignin from teak sawdust. Thermochim. Acta 2022, 711, 179202. [Google Scholar] [CrossRef]
- López-Beceiro, J.; Díaz-Díaz, A.M.; Álvarez-García, A.; Tarrío-Saavedra, J.; Naya, S.; Artiaga, R. The complexity of lignin thermal degradation in the isothermal context. Processes 2021, 9, 1154. [Google Scholar] [CrossRef]
- Kaczor, Z.; Bulinski, Z.; Werle, S. Modelling approaches to waste biomass pyrolysis: A review Renew. Energy 2020, 159, 427–443. [Google Scholar] [CrossRef]
- Basile, L.; Tugnoli, A.; Cozzani, V. Influence of macrocomponents on the pyrolysis heat demand of lignocellulosic biomass. Ind. Eng. Chem. Res. 2017, 56, 6432–6440. [Google Scholar] [CrossRef]
- Chhiti, Y.; Salvador, S.; Commandré, J.-M.; Broust, F. Thermal decomposition of bio-oil: Focus on the products yields under different pyrolysis conditions. Fuel 2012, 102, 274–281. [Google Scholar] [CrossRef]
- Branca, C.; Di Blasi, C. Combustion kinetics of secondary biomass chars in the kinetic regime. Energy Fuels 2010, 24, 5741–5750. [Google Scholar] [CrossRef]
Disclaimer/Publisher’s Note: The statements, opinions and data contained in all publications are solely those of the individual author(s) and contributor(s) and not of MDPI and/or the editor(s). MDPI and/or the editor(s) disclaim responsibility for any injury to people or property resulting from any ideas, methods, instructions or products referred to in the content. |
© 2025 by the authors. Licensee MDPI, Basel, Switzerland. This article is an open access article distributed under the terms and conditions of the Creative Commons Attribution (CC BY) license (https://creativecommons.org/licenses/by/4.0/).








