Lithium Plating Detection Based on Electrochemical Impedance and Internal Resistance Analyses
Abstract
:1. Introduction
2. Experiment
2.1. Capacity Test
2.2. Low-Temperature Charging
2.3. Electrochemical Impedance and Internal Resistance Measurement
3. Results and Analyses
3.1. Capacity Results
3.2. Electrochemical Impedance Analyses
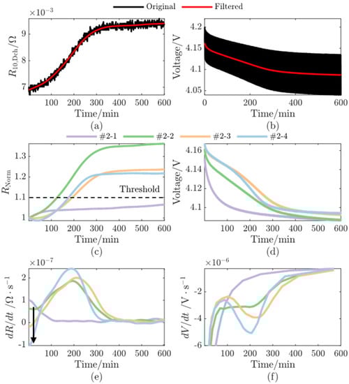
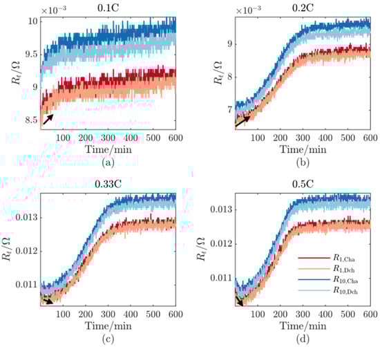
3.3. Internal Resistance Analyses
4. Lithium Plating Detection Indicators and Methods
4.1. Lithium Plating Detection Based on Electrochemical Impedance
4.2. Lithium Plating Detection Based on Internal Resistance
5. Conclusions
Author Contributions
Funding
Data Availability Statement
Conflicts of Interest
Appendix A

References
- Li, D.; Zouma, A.; Liao, J.T.; Yang, H.T. An Energy Management Strategy with Renewable Energy and Energy Storage System for a Large Electric Vehicle Charging Station. eTransportation 2020, 6, 100076. [Google Scholar] [CrossRef]
- Dixon, J.; Bell, K. Electric Vehicles: Battery Capacity, Charger Power, Access to Charging and the Impacts on Distribution Networks. eTransportation 2020, 4, 100059. [Google Scholar] [CrossRef]
- Darcovich, K.; Recoskie, S.; Ribberink, H.; Michelet, C. The Impact of V2X Service under Local Climatic Conditions within Canada on EV Durability. eTransportation 2021, 9, 100124. [Google Scholar] [CrossRef]
- Hu, G.; Huang, P.; Bai, Z.; Wang, Q.; Qi, K. Comprehensively Analysis the Failure Evolution and Safety Evaluation of Automotive Lithium Ion Battery. eTransportation 2021, 10, 100140. [Google Scholar] [CrossRef]
- Liu, T.; Yang, X.G.; Ge, S.; Leng, Y.; Wang, C.Y. Ultrafast Charging of Energy-Dense Lithium-Ion Batteries for Urban Air Mobility. eTransportation 2021, 7, 100103. [Google Scholar] [CrossRef]
- Klein, S.; Harte, P.; van Wickeren, S.; Borzutzki, K.; Röser, S.; Bärmann, P.; Nowak, S.; Winter, M.; Placke, T.; Kasnatscheew, J. Re-Evaluating Common Electrolyte Additives for High-Voltage Lithium Ion Batteries. Cell Rep. Phys. Sci. 2021, 2, 100521. [Google Scholar] [CrossRef]
- Li, Y.; Feng, X.; Ren, D.; Ouyang, M.; Lu, L.; Han, X. Thermal Runaway Triggered by Plated Lithium on the Anode after Fast Charging. ACS Appl. Mater. Interfaces 2019, 11, 46839–46850. [Google Scholar] [CrossRef]
- Janakiraman, U.; Garrick, T.R.; Fortier, M.E. Review—Lithium Plating Detection Methods in Li-Ion Batteries. J. Electrochem. Soc. 2020, 167, 160552. [Google Scholar] [CrossRef]
- Lin, H.P.; Chua, D.; Salomon, M.; Shiao, H.C.; Hendrickson, M.; Plichta, E.; Slane, S. Low-Temperature Behavior of Li-Ion Cells. Electrochem. Solid-State Lett. 2001, 4, 71–74. [Google Scholar] [CrossRef]
- Burns, J.C.; Stevens, D.A.; Dahn, J.R. In-Situ Detection of Lithium Plating Using High Precision Coulometry. J. Electrochem. Soc. 2015, 162, A959–A964. [Google Scholar] [CrossRef]
- Ren, D.; Smith, K.; Guo, D.; Han, X.; Feng, X.; Lu, L.; Ouyang, M.; Li, J. Investigation of Lithium Plating-Stripping Process in Li-Ion Batteries at Low Temperature Using an Electrochemical Model. J. Electrochem. Soc. 2018, 165, A2167. [Google Scholar] [CrossRef]
- Pan, Y.; Ren, D.; Kuang, K.; Feng, X.; Han, X.; Lu, L.; Ouyang, M. Novel Non-Destructive Detection Methods of Lithium Plating in Commercial Lithium-Ion Batteries under Dynamic Discharging Conditions. J. Power Sources 2022, 524, 231075. [Google Scholar] [CrossRef]
- Wang, X.; Wei, X.; Zhu, J.; Dai, H.; Zheng, Y.; Xu, X.; Chen, Q. A Review of Modeling, Acquisition, and Application of Lithium-Ion Battery Impedance for Onboard Battery Management. eTransportation 2021, 7, 100093. [Google Scholar] [CrossRef]
- Bitzer, B.; Gruhle, A. A New Method for Detecting Lithium Plating by Measuring the Cell Thickness. J. Power Sources 2014, 262, 297–302. [Google Scholar] [CrossRef]
- Steiger, J.; Kramer, D.; Mönig, R. Microscopic Observations of the Formation, Growth and Shrinkage of Lithium Moss during Electrodeposition and Dissolution. Electrochim. Acta 2014, 136, 529–536. [Google Scholar] [CrossRef]
- Sagane, F.; Shimokawa, R.; Sano, H.; Sakaebe, H.; Iriyama, Y. In-Situ Scanning Electron Microscopy Observations of Li Plating and Stripping Reactions at the Lithium Phosphorus Oxynitride Glass Electrolyte/Cu Interface. J. Power Sources 2013, 225, 245–250. [Google Scholar] [CrossRef]
- Harry, K.J.; Hallinan, D.T.; Parkinson, D.Y.; MacDowell, A.A.; Balsara, N.P. Detection of Subsurface Structures underneath Dendrites Formed on Cycled Lithium Metal Electrodes. Nat. Mater. 2014, 13, 69–73. [Google Scholar] [CrossRef]
- Arai, J.; Nakahigashi, R. Study of Li Metal Deposition in Lithium Ion Battery during Low-Temperature Cycle Using In Situ Solid-State 7 Li Nuclear Magnetic Resonance. J. Electrochem. Soc. 2017, 164, A3403–A3409. [Google Scholar] [CrossRef]
- Zinth, V.; Von Lüders, C.; Hofmann, M.; Hattendorff, J.; Buchberger, I.; Erhard, S.; Rebelo-Kornmeier, J.; Jossen, A.; Gilles, R. Lithium Plating in Lithium-Ion Batteries at Sub-Ambient Temperatures Investigated by in Situ Neutron Diffraction. J. Power Sources 2014, 271, 152–159. [Google Scholar] [CrossRef]
- Wandt, J.; Jakes, P.; Granwehr, J.; Eichel, R.A.; Gasteiger, H.A. Quantitative and Time-Resolved Detection of Lithium Plating on Graphite Anodes in Lithium Ion Batteries. Mater. Today 2018, 21, 231–240. [Google Scholar] [CrossRef]
- Bommier, C.; Chang, W.; Lu, Y.; Yeung, J.; Davies, G.; Mohr, R.; Williams, M.; Steingart, D. In Operando Acoustic Detection of Lithium Metal Plating in Commercial LiCoO2/Graphite Pouch Cells. Cell Rep. Phys. Sci. 2020, 1, 100035. [Google Scholar] [CrossRef]
- McShane, E.J.; McShane, E.J.; Colclasure, A.M.; Brown, D.E.; Brown, D.E.; Konz, Z.M.; Konz, Z.M.; Smith, K.; McCloskey, B.D.; McCloskey, B.D. Quantification of Inactive Lithium and Solid-Electrolyte Interphase Species on Graphite Electrodes after Fast Charging. ACS Energy Lett. 2020, 5, 2045–2051. [Google Scholar] [CrossRef]
- Li, L.; Ren, Y.; O’Regan, K.; Koleti, U.R.; Kendrick, E.; Widanage, W.D.; Marco, J. Lithium-Ion Battery Cathode and Anode Potential Observer Based on Reduced-Order Electrochemical Single Particle Model. J. Energy Storage 2021, 44, 103324. [Google Scholar] [CrossRef]
- Wu, L.; Pang, H.; Geng, Y.; Liu, X.; Liu, J.; Liu, K. Low-Complexity State of Charge and Anode Potential Prediction for Lithium-Ion Batteries Using a Simplified Electrochemical Model-Based Observer under Variable Load Condition. Int. J. Energy Res. 2022, 46, 11834–11848. [Google Scholar] [CrossRef]
- Petzl, M.; Danzer, M.A. Nondestructive Detection, Characterization, and Quantification of Lithium Plating in Commercial Lithium-Ion Batteries. J. Power Sources 2014, 254, 80–87. [Google Scholar] [CrossRef]
- Akkinepally, B.; Reddy, I.N.; Manjunath, V.; Reddy, M.V.; Mishra, Y.K.; Ko, T.J.; Zaghib, K.; Shim, J. Temperature Effect and Kinetics, LiZr2(PO4)3 and Li1.2Al0.2Zr1.8(PO4)3 and Electrochemical Properties for Rechargeable Ion Batteries. Int. J. Energy Res. 2022, 46, 14116–14132. [Google Scholar] [CrossRef]
- Zabara, M.A.; Katlrcl, G.; Ülgüt, B. Operando Investigations of the Interfacial Electrochemical Kinetics of Metallic Lithium Anodes via Temperature-Dependent Electrochemical Impedance Spectroscopy. J. Phys. Chem. C 2022, 126, 10968–10976. [Google Scholar] [CrossRef]
- Jiang, B.; Zhu, J.; Wang, X.; Wei, X.; Shang, W.; Dai, H. A Comparative Study of Different Features Extracted from Electrochemical Impedance Spectroscopy in State of Health Estimation for Lithium-Ion Batteries. Appl. Energy 2022, 322, 119502. [Google Scholar] [CrossRef]
- Tanim, T.R.; Dufek, E.J.; Walker, L.K.; Ho, C.D.; Hendricks, C.E.; Christophersen, J.P. Advanced Diagnostics to Evaluate Heterogeneity in Lithium-Ion Battery Modules. eTransportation 2020, 3, 100045. [Google Scholar] [CrossRef]
- Wildfeuer, L.; Lienkamp, M. Quantifiability of Inherent Cell-to-Cell Variations of Commercial Lithium-Ion Batteries. eTransportation 2021, 9, 100129. [Google Scholar] [CrossRef]
- Schindler, S.; Bauer, M.; Petzl, M.; Danzer, M.A. Voltage Relaxation and Impedance Spectroscopy as In-Operando Methods for the Detection of Lithium Plating on Graphitic Anodes in Commercial Lithium-Ion Cells. J. Power Sources 2016, 304, 170–180. [Google Scholar] [CrossRef]
- Koleti, U.R.; Dinh, T.Q.; Marco, J. A New On-Line Method for Lithium Plating Detection in Lithium-Ion Batteries. J. Power Sources 2020, 451, 227798. [Google Scholar] [CrossRef]
- Chen, X.; Li, L.; Liu, M.; Huang, T.; Yu, A. Detection of Lithium Plating in Lithium-Ion Batteries by Distribution of Relaxation Times. J. Power Sources 2021, 496, 229867. [Google Scholar] [CrossRef]
- Katzer, F.; Danzer, M.A. Analysis and Detection of Lithium Deposition after Fast Charging of Lithium-Ion Batteries by Investigating the Impedance Relaxation. J. Power Sources 2021, 503, 230009. [Google Scholar] [CrossRef]
- Koseoglou, M.; Tsioumas, E.; Ferentinou, D.; Jabbour, N.; Papagiannis, D.; Mademlis, C. Lithium Plating Detection Using Dynamic Electrochemical Impedance Spectroscopy in Lithium-Ion Batteries. J. Power Sources 2021, 512, 230508. [Google Scholar] [CrossRef]
- Wan, T.H.; Saccoccio, M.; Chen, C.; Ciucci, F. Influence of the Discretization Methods on the Distribution of Relaxation Times Deconvolution: Implementing Radial Basis Functions with DRTtools. Electrochim. Acta 2015, 184, 483–499. [Google Scholar] [CrossRef]
- Illig, J.; Ender, M.; Weber, A.; Ivers-Tiffée, E. Modeling Graphite Anodes with Serial and Transmission Line Models. J. Power Sources 2015, 282, 335–347. [Google Scholar] [CrossRef]
- Zhou, X.; Huang, J.; Pan, Z.; Ouyang, M. Impedance Characterization of Lithium-Ion Batteries Aging under High-Temperature Cycling: Importance of Electrolyte-Phase Diffusion. J. Power Sources 2019, 426, 216–222. [Google Scholar] [CrossRef]
- Gantenbein, S.; Weiss, M.; Ivers-Tiffée, E. Impedance Based Time-Domain Modeling of Lithium-Ion Batteries: Part I. J. Power Sources 2018, 379, 317–327. [Google Scholar] [CrossRef]
- Shafiei Sabet, P.; Stahl, G.; Sauer, D.U. Non-Invasive Investigation of Predominant Processes in the Impedance Spectra of High Energy Lithium-Ion Batteries with Nickel–Cobalt–Aluminum Cathodes. J. Power Sources 2020, 472, 228189. [Google Scholar] [CrossRef]
- Dragomiretskiy, K.; Zosso, D. Variational Mode Decomposition. IEEE Trans. Signal Process. 2014, 62, 531–544. [Google Scholar] [CrossRef]








| Property | Value |
|---|---|
| Producer | Wanxiang Group |
| Cathode material | Lix(NiCoMn)1/3O2 |
| Anode material | Graphite |
| Cell type | Pouch |
| Charging cutoff voltage | 4.2 V |
| Discharging cutoff voltage | 2.5 V |
| Working temperature (Charging) | −25–55 °C |
| Working Temperature (Discharging) | −30–55 °C |
| Mass | 0.5 kg |
| Length × Width × Thickness | 225 × 160 × 7 mm |
| Group | No. | Charging C-Rate | Electrochemical Impedance or Internal Resistance |
|---|---|---|---|
| 1 | #1-1 | 0.10 | Electrochemical impedance |
| #1-2 | 0.33 | Electrochemical impedance | |
| #1-3 | 0.50 | Electrochemical impedance | |
| #1-4 | 1.00 | Electrochemical impedance | |
| 2 | #2-1 | 0.10 | Internal resistance |
| #2-2 | 0.20 | Internal resistance | |
| #2-3 | 0.33 | Internal resistance | |
| #2-4 | 0.50 | Internal resistance |
| Group | No. | Capacity Change Ratio | Group | No. | Capacity Change Ratio |
|---|---|---|---|---|---|
| 1 | #1-1 | +0.04% | 2 | #2-1 | +0.04% |
| #1-2 | −2.18% | #2-2 | −1.33% | ||
| #1-3 | −5.04% | #2-3 | −3.31% | ||
| #1-4 | −7.30% | #2-4 | −4.77% |
| Parameter | Setting |
|---|---|
| Method of discretization | Gaussian |
| Data used | Combined Re-Im Data |
| Inductance included | Fitting without inductance |
| Regularization derivative | 1st-order |
| RBF shape control | FWHM Coefficient |
| Regularization parameter | 2 × 10−3 |
Publisher’s Note: MDPI stays neutral with regard to jurisdictional claims in published maps and institutional affiliations. |
© 2022 by the authors. Licensee MDPI, Basel, Switzerland. This article is an open access article distributed under the terms and conditions of the Creative Commons Attribution (CC BY) license (https://creativecommons.org/licenses/by/4.0/).
Share and Cite
Pan, Y.; Ren, D.; Han, X.; Lu, L.; Ouyang, M. Lithium Plating Detection Based on Electrochemical Impedance and Internal Resistance Analyses. Batteries 2022, 8, 206. https://doi.org/10.3390/batteries8110206
Pan Y, Ren D, Han X, Lu L, Ouyang M. Lithium Plating Detection Based on Electrochemical Impedance and Internal Resistance Analyses. Batteries. 2022; 8(11):206. https://doi.org/10.3390/batteries8110206
Chicago/Turabian StylePan, Yue, Dongsheng Ren, Xuebing Han, Languang Lu, and Minggao Ouyang. 2022. "Lithium Plating Detection Based on Electrochemical Impedance and Internal Resistance Analyses" Batteries 8, no. 11: 206. https://doi.org/10.3390/batteries8110206
APA StylePan, Y., Ren, D., Han, X., Lu, L., & Ouyang, M. (2022). Lithium Plating Detection Based on Electrochemical Impedance and Internal Resistance Analyses. Batteries, 8(11), 206. https://doi.org/10.3390/batteries8110206

