Revealing Relationship Between In Situ Impedance and Lithium Plating Onset Based on Lithium–Graphite Half-Cells
Abstract
1. Introduction
2. Materials and Methods
2.1. In Situ Impedance Test at Constant Frequency During Discharging
2.2. Overpotential Estimation of Lithium Plating Based on Lithium–Graphite Half-Cells
3. Experiments and Results
3.1. EIS Characterization of Half-Cells
3.2. Overdischarge Experiments
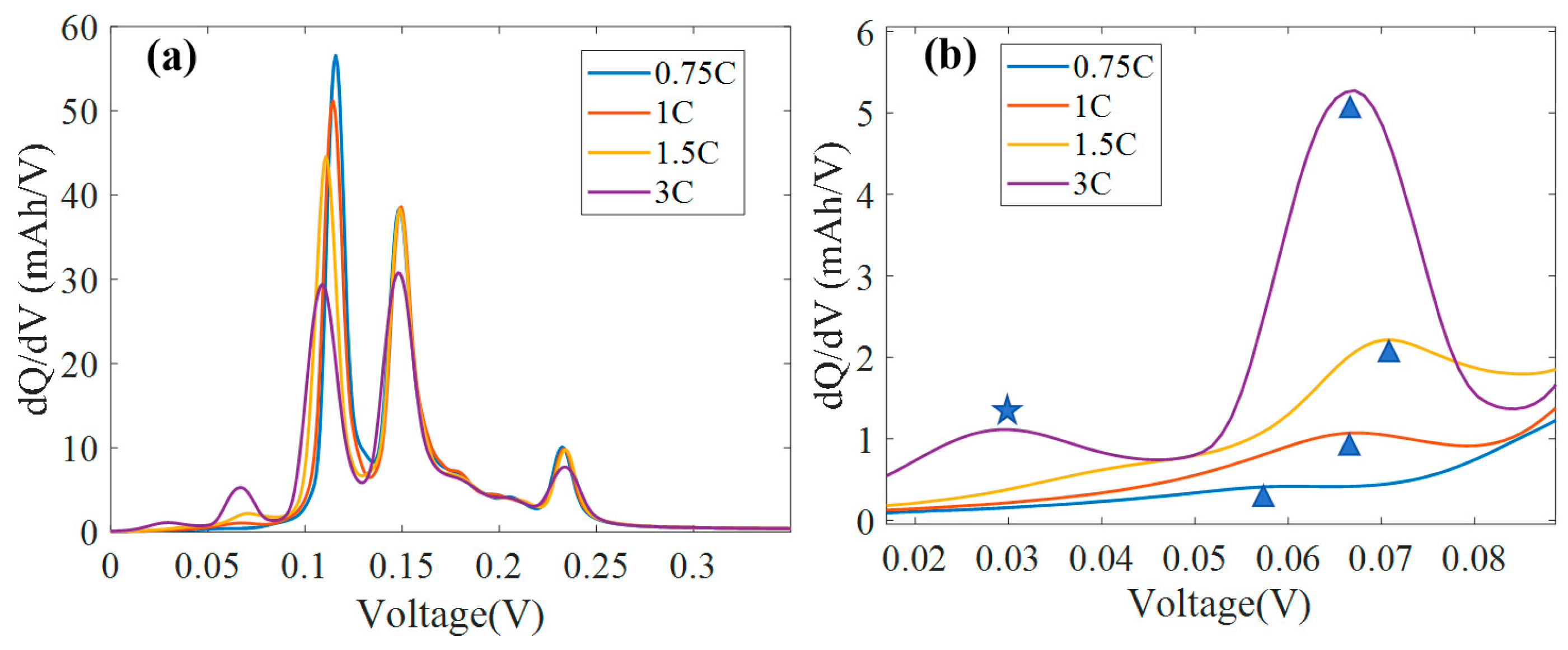
3.3. Fast Discharge Experiments
4. Conclusions
Author Contributions
Funding
Data Availability Statement
Conflicts of Interest
References
- Cai, W.L.; Yao, Y.X.; Zhu, G.L.; Yan, C.; Jiang, L.L.; He, C.X.; Huang, J.Q.; Zhang, Q. A review on energy chemistry of fast-charging anodes. Chem. Soc. Rev. 2020, 49, 3806–3833. [Google Scholar] [CrossRef] [PubMed]
- Ahmed, S.; Bloom, I.; Jansen, A.N.; Tanim, T.; Dufek, E.J.; Pesaran, A.; Burnham, A.; Carlson, R.B.; Dias, F.; Hardy, K.; et al. Enabling fast charging—A battery technology gap assessment. J. Power Sources 2017, 367, 250–262. [Google Scholar] [CrossRef]
- Ouyang, M.G.; Ren, D.S.; Lu, L.G.; Li, J.Q.; Feng, X.N.; Han, X.B.; Liu, G.M. Overcharge-induced capacity fading analysis for large format lithium-ion batteries with LiyNi1/3Co1/3Mn1/3O2 + LiyMn2O4 composite cathode. J. Power Sources 2015, 279, 626–635. [Google Scholar] [CrossRef]
- Ren, D.S.; Smith, K.; Guo, D.X.; Han, X.B.; Feng, X.N.; Lu, L.G.; Ouyang, M.G.; Li, J.Q. Investigation of Lithium Plating-Stripping Process in Li-Ion Batteries at Low Temperature Using an Electrochemical Model. J. Electrochem. Soc. 2018, 165, A2167–A2178. [Google Scholar] [CrossRef]
- Legrand, N.; Knosp, B.; Desprez, P.; Lapicque, F.; Raël, S. Physical characterization of the charging process of a Li-ion battery and prediction of Li plating by electrochemical modelling. J. Power Sources 2014, 245, 208–216. [Google Scholar] [CrossRef]
- Waldmann, T.; Hogg, B.I.; Wohlfahrt-Mehrens, M. Li plating as unwanted side reaction in commercial Li-ion cells—A review. J. Power Sources 2018, 384, 107–124. [Google Scholar] [CrossRef]
- Li, Z.; Huang, J.; Liaw, B.Y.; Metzler, V.; Zhang, J.B. A review of lithium deposition in lithium-ion and lithium metal secondary batteries. J. Power Sources 2014, 254, 168–182. [Google Scholar] [CrossRef]
- Ouyang, M.G.; Chu, Z.Y.; Lu, L.G.; Li, J.Q.; Han, X.B.; Feng, X.N.; Liu, G.M. Low temperature aging mechanism identification and lithium deposition in a large format lithium iron phosphate battery for different charge profiles. J. Power Sources 2015, 286, 309–320. [Google Scholar] [CrossRef]
- Feng, X.; He, X.; Lu, L.; Ouyang, M. Analysis on the Fault Features for Internal Short Circuit Detection Using an Electrochemical-Thermal Coupled Model. J. Electrochem. Soc. 2018, 165, A155–A167. [Google Scholar] [CrossRef]
- Feng, X.N.; Zhang, F.S.; Huang, W.S.; Peng, Y.; Xu, C.S.; Ouyang, M.G. Mechanism of internal thermal runaway propagation in blade batteries. J. Energy Chem. 2024, 89, 184–194. [Google Scholar] [CrossRef]
- Brissot, C.; Rosso, M.; Chazalviel, J.N.; Baudry, P.; Lascaud, S. In situ study of dendritic growth in lithium/PEO-salt/lithium cells. Electrochim. Acta 1998, 43, 1569–1574. [Google Scholar] [CrossRef]
- Ringbeck, F.; Rahe, C.; Fuchs, G.; Sauer, D.U. Identification of Lithium Plating in Lithium-Ion Batteries by Electrical and Optical Methods. J. Electrochem. Soc. 2020, 167, 090536. [Google Scholar] [CrossRef]
- Honbo, H.; Takei, K.; Ishii, Y.; Nishida, T. Electrochemical properties and Li deposition morphologies of surface modified graphite after grinding. J. Power Sources 2009, 189, 337–343. [Google Scholar] [CrossRef]
- Arai, J.; Nakahigashi, R. Study of Li Metal Deposition in Lithium Ion Battery during Low-Temperature Cycle Using In Situ Solid-State Li Nuclear Magnetic Resonance. J. Electrochem. Soc. 2017, 164, A3403–A3409. [Google Scholar] [CrossRef]
- de Araujo, L.A.; Sarou-Kanian, V.; Sicsic, D.; Deschamps, M.; Salager, E. Operando nuclear magnetic resonance spectroscopy: Detection of the onset of metallic lithium deposition on graphite at low temperature and fast charge in a full Li-ion battery. J. Magn. Reson. 2023, 354, 107527. [Google Scholar] [CrossRef]
- Arora, P.; Doyle, M.; White, R.E. Mathematical modeling of the lithium deposition overcharge reaction in lithium-ion batteries using carbon-based negative electrodes. J. Electrochem. Soc. 1999, 146, 3543–3553. [Google Scholar] [CrossRef]
- Adam, A.; Knobbe, E.; Wandt, J.; Kwade, A. Application of the differential charging voltage analysis to determine the onset of lithium-plating during fast charging of lithium-ion cells. J. Power Sources 2021, 495, 229794. [Google Scholar] [CrossRef]
- Mei, W.X.; Jiang, L.H.; Liang, C.; Sun, J.H.; Wang, Q.S. Understanding of Li-plating on graphite electrode: Detection, quantification and mechanism revelation. Energy Storage Mater. 2021, 41, 209–221. [Google Scholar] [CrossRef]
- Chen, Y.X.; Torres-Castro, L.; Chen, K.H.; Penley, D.; Lamb, J.; Karulkar, M.; Dasgupta, N.P. detection of Li plating during fast charging of Li-ion batteries using incremental capacity analysis. J. Power Sources 2022, 539, 231601. [Google Scholar] [CrossRef]
- Schmidt, J.P.; Adam, A.; Wandt, J. Time-Resolved and Robust Lithium Plating Detection for Automotive Lithium-Ion Cells with the Potential for Vehicle Application. Batteries 2023, 9, 97. [Google Scholar] [CrossRef]
- Strasser, A.; Adam, A.; Li, J.H. In operando detection of Lithium plating via electrochemical impedance spectroscopy for automotive batteries. J. Power Sources 2023, 580, 233366. [Google Scholar] [CrossRef]
- Wang, H.; Song, Y.J.; Sun, X.; Mo, S.K.; Chen, C.; Wang, J.J. Onboard in-situ warning and detection of Li plating for fast-charging batteries with deep learning. Energy Storage Mater. 2024, 71, 103585. [Google Scholar] [CrossRef]
- Doyle, M.; Fuller, T.F.; Newman, J. Modeling of Galvanostatic Charge and Discharge of the Lithium/Polymer/Insertion Cell (vol 140, pg 1526, 1993). J. Electrochem. Soc. 2018, 165, X13. [Google Scholar] [CrossRef]
- Lu, Y.F.; Han, X.B.; Chu, Z.Y.; Feng, X.N.; Qin, Y.D.; Ouyang, M.G.; Lu, L.G. A decomposed electrode model for real-time anode potential observation of lithium-ion batteries. J. Power Sources 2021, 513, 230529. [Google Scholar] [CrossRef]
- Zhao, T.Z.; Zheng, Y.J.; Liu, J.H.; Zhou, X.; Chu, Z.Y.; Han, X.B. A study on half-cell equivalent circuit model of lithium-ion battery based on reference electrode. Int. J. Energy Res. 2021, 45, 4155–4169. [Google Scholar] [CrossRef]
- von Lüders, C.; Zinth, V.; Erhard, S.V.; Osswald, P.J.; Hofmann, M.; Gilles, R.; Jossen, A. Lithium plating in lithium-ion batteries investigated by voltage relaxation and in situ neutron diffraction. J. Power Sources 2017, 342, 17–23. [Google Scholar] [CrossRef]
- Schindler, S.; Bauer, M.; Petzl, M.; Danzer, M.A. Voltage relaxation and impedance spectroscopy as in-operando methods for the detection of lithium plating on graphitic anodes in commercial lithium-ion cells. J. Power Sources 2016, 304, 170–180. [Google Scholar] [CrossRef]
- Petzl, M.; Danzer, M.A. Nondestructive detection, characterization, and quantification of lithium plating in commercial lithium-ion batteries. J. Power Sources 2014, 254, 80–87. [Google Scholar] [CrossRef]
- Smart, M.C.; Ratnakumar, B.V. Effects of Electrolyte Composition on Lithium Plating in Lithium-Ion Cells. J. Electrochem. Soc. 2011, 158, A379–A389. [Google Scholar] [CrossRef]
- Chen, Y.J.; Zhang, H.Q.; Hong, J.C.; Hou, Y.K.; Yang, J.S.; Zhang, C.; Ma, S.K.; Zhang, X.Y.; Yang, H.X.; Liang, F.W.; et al. Lithium plating detection of lithium-ion batteries based on the improved variance entropy algorithm. Energy 2024, 299, 131574. [Google Scholar] [CrossRef]
- Harting, N.; Wolff, N.; Krewer, U. Identification of Lithium Plating in Lithium-Ion Batteries using Nonlinear Frequency Response Analysis (NFRA). Electrochim. Acta 2018, 281, 378–385. [Google Scholar] [CrossRef]
- Chen, X.; Li, L.Y.; Liu, M.M.; Huang, T.; Yu, A.S. Detection of lithium plating in lithium-ion batteries by distribution of relaxation times. J. Power Sources 2021, 496, 229867. [Google Scholar] [CrossRef]
- Brown, D.E.; McShane, E.J.; Konz, Z.M.; Knudsen, K.B.; McCloskey, B.D. Detecting onset of lithium plating during fast charging of Li-ion batteries using operando electrochemical impedance spectroscopy. Cell Rep. Phys. Sci. 2021, 2, 100589. [Google Scholar] [CrossRef]
- Wang, Y.; Zhou, X.; Wang, R.X.; Zhang, T.; Xiao, P.T.; Si, Y.P.; Xiao, Y.K.; Liu, Y.J. High sensitivity detection of lithium plating in high-energy lithium-ion batteries based on time-domain distribution relaxation times analysis. Energy Storage Mater. 2024, 69, 103369. [Google Scholar] [CrossRef]
- Sun, T.; Li, Z.; Zhu, G.Y.; Wang, L.Y.; Ren, D.S.; Shen, T.T.; Lu, L.G.; Zheng, Y.J.; Han, X.B.; Ouyang, M.G. Impedance-based online detection of lithium plating for lithium-ion batteries: Mechanism and sensitivity analysis. Electrochim. Acta 2024, 496, 144512. [Google Scholar] [CrossRef]
- Koseoglou, M.; Tsioumas, E.; Ferentinou, D.; Jabbour, N.; Papagiannis, D.; Mademlis, C. Lithium plating detection using dynamic electrochemical impedance spectroscopy in lithium-ion batteries. J. Power Sources 2021, 512, 230508. [Google Scholar] [CrossRef]
- Wang, X.Y.; Li, J.W.; Chen, S.Q.; Zhang, G.X.; Jiang, B.; Wei, X.Z.; Dai, H.F. Online Detection of Lithium Plating Onset for Lithium-Ion Batteries Based on Impedance Changing Trend Identification During Charging Processes. IEEE Trans. Transp. Electrif. 2023, 9, 3487–3497. [Google Scholar] [CrossRef]
- Shen, Y.D.; Wang, X.Y.; Jiang, Z.; Luo, B.Y.; Chen, D.D.; Wei, X.Z.; Dai, H.F. Online detection of lithium plating onset during constant and multistage constant current fast charging for lithium-ion batteries. Appl. Energy 2024, 370, 123631. [Google Scholar] [CrossRef]
- Arora, P.; White, R.E.; Doyle, M. Capacity fade mechanisms and side reactions in lithium-ion batteries. J. Electrochem. Soc. 1998, 145, 3647–3667. [Google Scholar] [CrossRef]
- Randall, A.V.; Perkins, R.D.; Zhang, X.C.; Plett, G.L. Controls oriented reduced order modeling of solid-electrolyte interphase layer growth. J. Power Sources 2012, 209, 282–288. [Google Scholar] [CrossRef]
- Gao, T.; Han, Y.; Fraggedakis, D.; Das, S.; Zhou, T.T.; Yeh, C.N.; Xu, S.M.; Chueh, W.C.; Li, J.; Bazant, M.Z. Interplay of Lithium Intercalation and Plating on a Single Graphite Particle. Joule 2021, 5, 393–414. [Google Scholar] [CrossRef]
- Mijailovic, A.S.; Wang, G.Y.; Luo, M.; Lu, W.Q.; Wu, Q.L.; Sheldon, B.W. A “Master Curve” Describing Reaction Inhomogeneity and Plating Onset during Fast-Charging of Graphite Electrodes. J. Electrochem. Soc. 2023, 170, 070508. [Google Scholar] [CrossRef]
- Li, Y.; Vilathgamuwa, M.; Choi, S.S.; Farrell, T.W.; Tran, N.T.; Teague, J. Development of a degradation-conscious physics-based lithium-ion battery model for use in power system planning studies. Appl. Energy 2019, 248, 512–525. [Google Scholar] [CrossRef]
- Rodrigues, M.T.F.; Kalaga, K.; Trask, S.E.; Dees, D.W.; Shkrob, I.A.; Abraham, D.P. Fast Charging of Li-Ion Cells: Part I. Using Li/Cu Reference Electrodes to Probe Individual Electrode Potentials. J. Electrochem. Soc. 2019, 166, A996–A1003. [Google Scholar] [CrossRef]
- Yi, M.; Jiang, F.; Zhao, G.; Guo, D.; Ren, D.; Lu, L.; Ouyang, M. Detection of lithium plating based on the distribution of relaxation times. In Proceedings of the 2021 IEEE 4th International Electrical and Energy Conference (CIEEC), Wuhan, China, 28–30 May 2021; pp. 1–5. [Google Scholar]
- Katzer, F.; Rüther, T.; Plank, C.; Roth, F.; Danzer, M.A. Analyses of polarisation effects and operando detection of lithium deposition in experimental half- and commercial full-cells. Electrochim. Acta 2022, 436, 141401. [Google Scholar] [CrossRef]









| Symbols | Definition |
|---|---|
| Open circuit voltage of the Li metal electrode (vs. Li/Li+), | |
| Eeq | Equilibrium potential of graphite electrode vs. Li/Li+ |
| Graphite solid phase polarization potential | |
| Equilibrium potential of lithium plating, | |
| Resistance of SEI membrane | |
| Resistance of electrolyte | |
| Resistance of separator | |
| Electrode solid phase potential | |
| Electrode liquid phase potential | |
| Overpotential of lithium plating reaction | |
| Battery terminal voltage | |
| Battery charge/discharge current | |
| Reaction current of normal lithium intercalation | |
| Reaction current of lithium plating reaction |
| Overdischarge 120% | Overdischarge 156% | Fast Discharge 0.75 C | Fast Discharge 1 C | Fast Discharge 1.5 C | Fast Discharge 3 C | |
|---|---|---|---|---|---|---|
| Impedance inflection | 108% | 110% | 95% | 75% | 63% | 47% |
| Overpotential zero point | 106% | 110% | 85% | 65% | 50% | 31% |
Disclaimer/Publisher’s Note: The statements, opinions and data contained in all publications are solely those of the individual author(s) and contributor(s) and not of MDPI and/or the editor(s). MDPI and/or the editor(s) disclaim responsibility for any injury to people or property resulting from any ideas, methods, instructions or products referred to in the content. |
© 2024 by the authors. Licensee MDPI, Basel, Switzerland. This article is an open access article distributed under the terms and conditions of the Creative Commons Attribution (CC BY) license (https://creativecommons.org/licenses/by/4.0/).
Share and Cite
Jiang, Z.; Wang, J.; Li, H.; Luo, B.; Wu, W.; Wang, X.; Dai, H.; Jiang, J.; Wei, X. Revealing Relationship Between In Situ Impedance and Lithium Plating Onset Based on Lithium–Graphite Half-Cells. Batteries 2024, 10, 410. https://doi.org/10.3390/batteries10120410
Jiang Z, Wang J, Li H, Luo B, Wu W, Wang X, Dai H, Jiang J, Wei X. Revealing Relationship Between In Situ Impedance and Lithium Plating Onset Based on Lithium–Graphite Half-Cells. Batteries. 2024; 10(12):410. https://doi.org/10.3390/batteries10120410
Chicago/Turabian StyleJiang, Zhao, Jiangwei Wang, Haiwei Li, Bingyin Luo, Wentao Wu, Xueyuan Wang, Haifeng Dai, Jianjun Jiang, and Xuezhe Wei. 2024. "Revealing Relationship Between In Situ Impedance and Lithium Plating Onset Based on Lithium–Graphite Half-Cells" Batteries 10, no. 12: 410. https://doi.org/10.3390/batteries10120410
APA StyleJiang, Z., Wang, J., Li, H., Luo, B., Wu, W., Wang, X., Dai, H., Jiang, J., & Wei, X. (2024). Revealing Relationship Between In Situ Impedance and Lithium Plating Onset Based on Lithium–Graphite Half-Cells. Batteries, 10(12), 410. https://doi.org/10.3390/batteries10120410

