Silver Solid Amalgam Electrodes as Sensors for Chemical Carcinogens
Abstract
:Introduction
Experimental
Reagents
Apparatus
Procedures
Electrochemical pretreatment of meniscus-modified silver amalgam electrode
- Amalgamation was carried out once a week or when the performance of the electrode obviously deteriorates. The tip of the freshly mechanically polished AgSAE was immersed into a small volume of liquid mercury and agitated for 15 seconds.
- Activation of the m-AgSAE was carried out in 0.2 mol L-1 KCl without deaeration at -2.2 V in stirred solution for 300 seconds followed by rinsing with distilled water. The procedure was repeated after amalgamation, before starting the work after every pause longer than one hour or when the performance of the electrode deteriorated.
- Regeneration lasting about 30 s before each measurement was carried out by periodical switching every 0.1 s between potentials at least 100 mV more negative than the potential of amalgam dissolution (Ein ) and at least 100 mV more positive than the potential of hydrogen evolution (Efin) in the used base electrolyte. Regeneration always ended at more negative potential. The optimum values of Ein and Efin were found experimentally as the values leading to most stable signal values in repeated measurements. The appropriate values of the potential and the time of regeneration were inserted in the program (software utility) of the used computer-controlled instrumentation so that the regeneration of the m-AgSAE was always carried out automatically.
Results and discussion
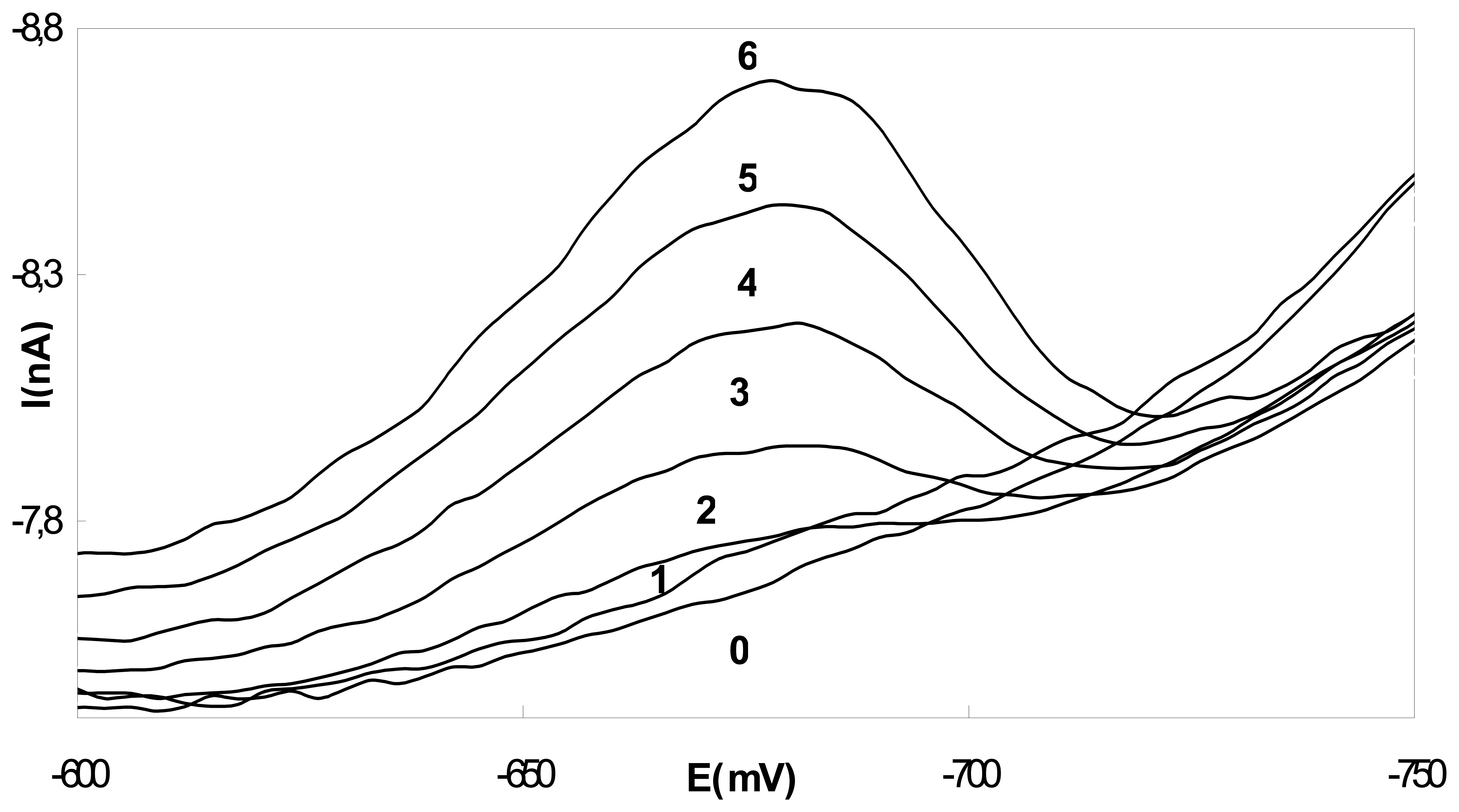
Voltammetric determination of 3-nitrofluoranthene
Voltammetric determination of Ostazine Orange
Conclusions
Acknowledgments
References
- Barek, J.; Mejstřík, V.; Muck, A.; Zima, J. Polarographic and voltammetric determination of chemical carcinogens. Crit. Rev. Anal .Chem. 2000, 30, 37. [Google Scholar]
- Barek, J.; Cvačka, J.; Muck, A.; Quaiserová, V.; Zima, J. Electrochemical methods for monitoring of environmental carcinogens. Fresenius J. Anal. Chem. 2001, 369, 556. [Google Scholar]
- Barek, J.; Cvačka, J.; Muck, A.; Quaiserová, V.; Zima, J. Polarographic and voltammetric determination of carcinogenic nitro and amino derivatives of polycyclic aromatic hydrocarbons. Electroanalysis 2001, 13, 799. [Google Scholar]
- Mikkelsen, O.; Schroder, K.H.; Aarhaug, T.A. Dental amalgam, an alternative electrode material for voltammetric analyses of pollutants. Collect. Czech. Chem. Commun. 2001, 66, 465. [Google Scholar]
- Mikkelsen, O.; Schroder, K.H. Alloy electrodes with high hydrogen overvoltage for analytical use in voltammetry. Analyst 2000, 125, 2163. [Google Scholar]
- Yosypchuk, B.; Novotný, L. Nontoxic electrodes of solid amalgams. Crit. Rev. Anal. Chem. 2002, 32, 141. [Google Scholar]
- Barek, J.; Dodova, E.; Navrátil, T.; Yosypchuk, B.; Novotný, L.; Zima, J. Voltammetric determination of N,N-dimethyl-4-aminocarboxyazobenzene at a silver solid amalgam electrode. Electroanalysis 2003, 15, 1778. [Google Scholar]
- Barek, J.; Moreira, J.; Zima, J. Modern electrochemical methods for monitoring of chemical carcinogens. Sensors 2005, 5, 148. [Google Scholar]








© 2006 by MDPI ( http://www.mdpi.org). Reproduction is permitted for non-commercial purposes.
Share and Cite
Barek, J.; Fischer, J.; Navratil, T.; Peckova, K.; Yosypchuk, B. Silver Solid Amalgam Electrodes as Sensors for Chemical Carcinogens. Sensors 2006, 6, 445-452. https://doi.org/10.3390/s6040445
Barek J, Fischer J, Navratil T, Peckova K, Yosypchuk B. Silver Solid Amalgam Electrodes as Sensors for Chemical Carcinogens. Sensors. 2006; 6(4):445-452. https://doi.org/10.3390/s6040445
Chicago/Turabian StyleBarek, Jiri, Jan Fischer, Tomas Navratil, Karolina Peckova, and Bogdan Yosypchuk. 2006. "Silver Solid Amalgam Electrodes as Sensors for Chemical Carcinogens" Sensors 6, no. 4: 445-452. https://doi.org/10.3390/s6040445
APA StyleBarek, J., Fischer, J., Navratil, T., Peckova, K., & Yosypchuk, B. (2006). Silver Solid Amalgam Electrodes as Sensors for Chemical Carcinogens. Sensors, 6(4), 445-452. https://doi.org/10.3390/s6040445