Next Article in Journal
Mathematical Modeling of Biosensors Based on an Array of Enzyme Microreactors
Previous Article in Journal
Novel Organic Membrane-based Thin-film Microsensors for the Determination of Heavy Metal Cations
 
 
Font Type:
Arial Georgia Verdana
Font Size:
Aa Aa Aa
Line Spacing:
Column Width:
Background:
Article

Silver Solid Amalgam Electrodes as Sensors for Chemical Carcinogens

by
Jiri Barek
1,*,
Jan Fischer
1,
Tomas Navratil
2,
Karolina Peckova
1 and
Bogdan Yosypchuk
2
1
UNESCO Laboratory of Environmental Electrochemistry, Department of Analytical Chemistry, Charles University, 128 43 Prague 2, Czech Republic
2
J. Heyrovsky Institute of Physical Chemistry, Academy of Sciences of the Czech Republic, Dolejskova 3, 182 23 Prague 8, Czech Republic
*
Author to whom correspondence should be addressed.
Sensors 2006, 6(4), 445-452; https://doi.org/10.3390/s6040445
Submission received: 30 August 2005 / Accepted: 4 January 2006 / Published: 7 April 2006

Abstract

:
The applicability of differential pulse voltammetry (DPV) and adsorptive stripping voltammetry (AdSV) at a non-toxic meniscus-modified silver solid amalgam electrode (m-AgSAE) for the determination of trace amounts of genotoxic substances was demonstrated on the determination of micromolar and submicromolar concentrations of 3-nitrofluoranthene using methanol - 0.01 mol L-1 NaOH (9:1) mixture as a base electrolyte and of Ostazine Orange using 0.01 mol L-1 NaOH as a base electrolyte.

Introduction

Ethical, social, and economic consequences of various forms of cancer raise carcinogenic substances monitoring in general and working environment to the highest priority [1,2]. Moreover, the determination of chemical carcinogens is an interesting challenge to any analyst, because it is necessary to determine extremely low concentrations of those substances in rather complex biological or environmental matrices and the applied methods should be inexpensive to enable their use for large scale monitoring and screening purposes. Electrochemical methods are especially suitable for large scale environmental monitoring of chemical carcinogens [1-3], because they are inexpensive, extremely sensitive and they present an independent alternative to so far prevalent spectrometric and separation techniques.
It is obvious that mercury is the best electrode material for polarographic and voltammetric determination of electrochemically reducible carcinogens [1]. However, because of fears of mercury toxicity (although irrational and unsubstantiated according to our opinion), there is a tendency to substitute mercury with other non-toxic materials. For that reason, new types of non-toxic solid amalgam electrodes were introduced. A non-toxic dental amalgam electrode developed by Trondheim research group was found to be suitable for voltammetric determination of zinc, cadmium, lead, thallium, copper, nickel, and cobalt [4]. The same research group has shown that non-toxic silver-based electrodes containing 4% of bismuth, mercury, or lead dioxide exhibit a high hydrogen overvoltage making them suitable for voltammetric determination of electrochemically reducible metals [5]. Working electrodes based on non-toxic solid amalgams developed by a Prague research group [6] can be used either as liquid mercury-free electrodes after polishing of solid amalgam disc (so-called polished solid amalgam electrodes (p-AgSAE)) or after modification of their surfaces by a mercury meniscus (m-AgSAE) or film. Those electrodes exhibit a high hydrogen overvoltage, in some cases comparable with that of the hanging mercury drop electrode (HMDE) [6]. In contrast to common solid electrodes, the m-AgSAE has an ideally smooth liquid surface, which eliminates the necessity of its mechanical surface regeneration. Practically non-toxic m-AgSAE has a good mechanical stability, simple handling and regeneration including an electrochemical pre-treatment of its surface etc. In absence of specific interactions between the analyte and silver from silver solid amalgam, the DPV peak potentials on the m-AgSAE and hanging mercury drop electrode are nearly the same [6,7]. The earlier applications of m-AgSAE for the determination of submicromolar concentrations of selected carcinogenic nitrated polycyclic aromatic hydrocarbons and selected genotoxic azo dyes were presented at the 1st International Symposium on Sensor Science [8]. Further applications of silver solid amalgam electrodes fully compatible with the concept of so-called green analytical chemistry are described in the following text.

Experimental

Reagents

The stock solutions of 3-nitrofluoranthene (c = 1.10-3 mol.L-1, Fluka) in methanol (p.a. Lachema Brno) and of Ostazine Orange (c = 1.10-3 mol.L-1, Research Institute for Organic Syntheses, Pardubice-Rybitví) in water (Milli-Q plus system) were prepared by dissolving precisely weighed amount of the substance in the appropriate solvent.

Apparatus

DPV measurements were carried out using a computer controlled Eco-Tribo-Polarograph with Polar Pro software, version 4.0 for Windows 95/98/Me (both Polaro-Sensors, Prague, Czech Republic) in combination with a three electrode arrangement with a platinum wire auxiliary electrode and a silver/silver chloride (1M KCl) reference electrode, to which all the potential values are referred. The appropriate values of the potential and the time of regeneration were inserted in the software of the used computer-controlled instrument and regeneration of the m-AgSAE was thus carried out automatically. The solution pH was measured with a PHM 62 digital pH meter (Radiometer, Copenhagen, Denmark) using a combined glass electrode.

Procedures

The general procedure to obtain voltammograms was as follows: The electrochemical cell was filled with the measured solution and oxygen was removed by purging with nitrogen for five minutes under stirring. The voltammogram was recorded after a short (about 30 s) electrochemical regeneration of the m-AgSAE surface. The calibration curves were measured in triplicate and evaluated by the least squares linear regression method. The limits of determination were calculated as the tenfold standard deviation from 7 analyte determinations at the concentration corresponding to the lowest point on the appropriate calibration straight line.

Electrochemical pretreatment of meniscus-modified silver amalgam electrode

The electrode consisted of a drawn-out glass tube, the bore of which near the tip was filled with a fine silver powder, amalgamated by liquid mercury and connected to an electric contact (see Fig. 1).
The main problem connected with the use of any solid electrode, the surface of which is not renewed in the course of voltammetric measurement, is the passivation of the electrode surface by components of the analyzed solution or by products of the electrode reaction. This problem is usually overcome by regular mechanical or electrochemical cleaning of the electrode surface. The cleaning of the m-AgSAE electrode is relatively simple and consists of the following three steps depending on the nature of the passivation.
  • Amalgamation was carried out once a week or when the performance of the electrode obviously deteriorates. The tip of the freshly mechanically polished AgSAE was immersed into a small volume of liquid mercury and agitated for 15 seconds.
  • Activation of the m-AgSAE was carried out in 0.2 mol L-1 KCl without deaeration at -2.2 V in stirred solution for 300 seconds followed by rinsing with distilled water. The procedure was repeated after amalgamation, before starting the work after every pause longer than one hour or when the performance of the electrode deteriorated.
  • Regeneration lasting about 30 s before each measurement was carried out by periodical switching every 0.1 s between potentials at least 100 mV more negative than the potential of amalgam dissolution (Ein ) and at least 100 mV more positive than the potential of hydrogen evolution (Efin) in the used base electrolyte. Regeneration always ended at more negative potential. The optimum values of Ein and Efin were found experimentally as the values leading to most stable signal values in repeated measurements. The appropriate values of the potential and the time of regeneration were inserted in the program (software utility) of the used computer-controlled instrumentation so that the regeneration of the m-AgSAE was always carried out automatically.

Results and discussion

Voltammetric determination of 3-nitrofluoranthene

The applicability of DPV determination of nitrated polycyclic aromatic hydrocarbons was demonstrated on 3-nitrofluoranthene. It can bee seen from Fig. 2 that the best developed differential pulse voltammograms were obtained in an alkaline medium.
In mixed aqueous-methanolic solutions the problems with the passivation of the m-AgSAE are less pronounced even at a higher concentration of the analyte (see Fig. 3), which enables the determination of submicromolar concentrations of this chemical carcinogen (see Fig. 4). Furthermore, after decreasing the content of methanol we used adsorptive accumulation of 3-nitrofluorathene at the m-AgSAE to increase its differential pulse voltammetric signal (see Fig. 5). This enabled to achieve a limit of determination of 1.10-7 mol L-1.

Voltammetric determination of Ostazine Orange

Electrochemically easily reducible genotoxic azo compounds are also amenable to differential pulse voltammetric determination at the m-AgSAE. It was demonstrated on Ostazine Orange, the structural formula of which is depicted in Fig. 6.
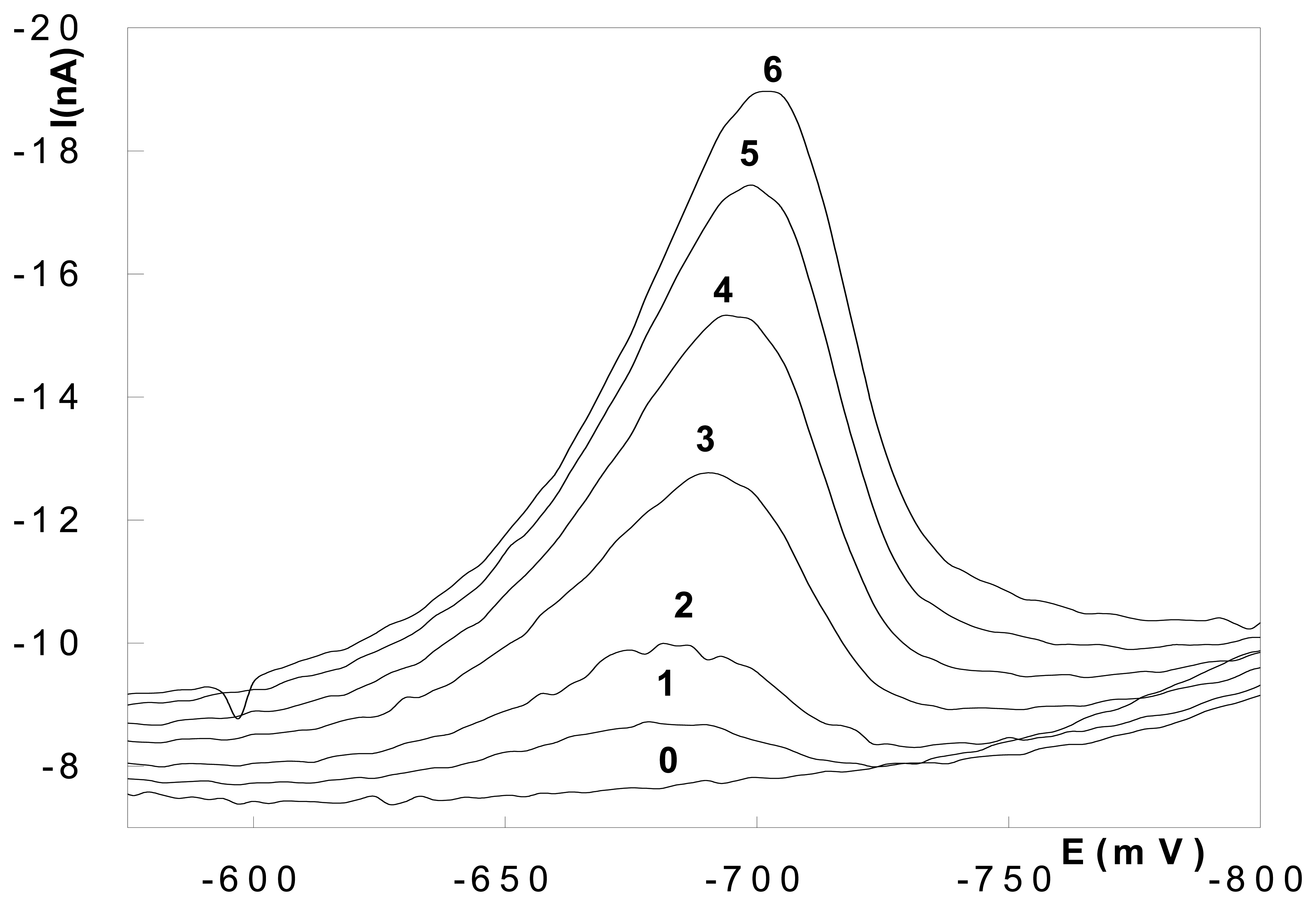
The highest and best developed peaks were again obtained in an alkaline medium and optimum potentials for regeneration were similar as in the previous case. Under the optimum conditions it was possible to determine both micromolar (see Figure 7) and submicromolar (see Figure 8) concentrations of the tested substance. Calibration curves were linear with the limit of determination of 2.10-7 mol L-1.

Conclusions

The meniscus-modified silver solid amalgam electrode represents a very useful sensor for voltammetric determination of micromolar and submicromolar concentrations of electrochemically reducible chemical carcinogens. This electrode is based on the non-toxic solid amalgam and thus, it can be applied, where the work with liquid mercury is forbidden or undesirable. Moreover, its mechanical stability enables its application for in-situ measurements. This type of electrode is fully compatible with both centralized and decentralized testing of electrochemically reducible chemical carcinogens and fulfills the requirements of the so-called green analytical chemistry (i.e., environmentally friendly). The limit of determination is usually one order of magnitude higher then with the hanging mercury drop electrode. Nevertheless, it is in many cases sufficient for the determination of various electrochemically reducible chemical carcinogens even, in biological and environmental matrices.

Acknowledgments

This research was supported by the Grant Agency of the Czech Republic (project 203/03/0182) and by the Ministry of Industry and Trade of the Czech Republic (project No. 1H-PK/42).

References

  1. Barek, J.; Mejstřík, V.; Muck, A.; Zima, J. Polarographic and voltammetric determination of chemical carcinogens. Crit. Rev. Anal .Chem. 2000, 30, 37. [Google Scholar]
  2. Barek, J.; Cvačka, J.; Muck, A.; Quaiserová, V.; Zima, J. Electrochemical methods for monitoring of environmental carcinogens. Fresenius J. Anal. Chem. 2001, 369, 556. [Google Scholar]
  3. Barek, J.; Cvačka, J.; Muck, A.; Quaiserová, V.; Zima, J. Polarographic and voltammetric determination of carcinogenic nitro and amino derivatives of polycyclic aromatic hydrocarbons. Electroanalysis 2001, 13, 799. [Google Scholar]
  4. Mikkelsen, O.; Schroder, K.H.; Aarhaug, T.A. Dental amalgam, an alternative electrode material for voltammetric analyses of pollutants. Collect. Czech. Chem. Commun. 2001, 66, 465. [Google Scholar]
  5. Mikkelsen, O.; Schroder, K.H. Alloy electrodes with high hydrogen overvoltage for analytical use in voltammetry. Analyst 2000, 125, 2163. [Google Scholar]
  6. Yosypchuk, B.; Novotný, L. Nontoxic electrodes of solid amalgams. Crit. Rev. Anal. Chem. 2002, 32, 141. [Google Scholar]
  7. Barek, J.; Dodova, E.; Navrátil, T.; Yosypchuk, B.; Novotný, L.; Zima, J. Voltammetric determination of N,N-dimethyl-4-aminocarboxyazobenzene at a silver solid amalgam electrode. Electroanalysis 2003, 15, 1778. [Google Scholar]
  8. Barek, J.; Moreira, J.; Zima, J. Modern electrochemical methods for monitoring of chemical carcinogens. Sensors 2005, 5, 148. [Google Scholar]
Figure 1. Meniscus-modified silver solid amalgam electrode (m-AgSAE).
Figure 1. Meniscus-modified silver solid amalgam electrode (m-AgSAE).
Sensors 06 00445f1
Figure 2. Differential pulse voltammograms of 3-nitrofluoranthene (c = 100 μmol L-1) at m-AgSAE in Britton-Robinson buffers of different pH.
Figure 2. Differential pulse voltammograms of 3-nitrofluoranthene (c = 100 μmol L-1) at m-AgSAE in Britton-Robinson buffers of different pH.
Sensors 06 00445f2
Figure 3. Repeatability of differential pulse voltammograms at m-AgSAE of 3-nitrofluoranthene (c = 100 μmol L-1) in MeOH-0.01 mol L-1 NaOH (9:1) mixed medium. Inset shows the dependence of the peak current on the number of measurements N. Ein = -350 mV, Efin = -1600 mV.
Figure 3. Repeatability of differential pulse voltammograms at m-AgSAE of 3-nitrofluoranthene (c = 100 μmol L-1) in MeOH-0.01 mol L-1 NaOH (9:1) mixed medium. Inset shows the dependence of the peak current on the number of measurements N. Ein = -350 mV, Efin = -1600 mV.
Sensors 06 00445f3
Figure 4. Differential pulse voltammograms of 3-nitrofluoranthene at m-AgSAE in MeOH - 0.01 mol L-1 NaOH (9:1) mixed medium. c (3-nitrofluoranthene) [μmol L-1]: (1) 0 (base electrolyte), (2) 0.4, (3) 0.6 (4) 0.8, (5) 1.0. Potentials for regeneration Ein = -350 mV, Efin = -1600 mV.
Figure 4. Differential pulse voltammograms of 3-nitrofluoranthene at m-AgSAE in MeOH - 0.01 mol L-1 NaOH (9:1) mixed medium. c (3-nitrofluoranthene) [μmol L-1]: (1) 0 (base electrolyte), (2) 0.4, (3) 0.6 (4) 0.8, (5) 1.0. Potentials for regeneration Ein = -350 mV, Efin = -1600 mV.
Sensors 06 00445f4
Figure 5. Adsorptive stripping voltammograms of 3-nitrofluoranthene at m-AgSAE in MeOH -- 0.01 mol L-1 NaOH (1:1) mixed medium. c (3-nitrofluoranthene) [μmol L-1]: (1) 0 (base electrolyte), (2) 0.2, (3) 0.4 (4) 0.6, (5) 0.8, (6)1.0. Eacc = -350 mV; tacc = 15 s; potentials for regeneration Ein = -350 mV, Efin = -1600 mV.
Figure 5. Adsorptive stripping voltammograms of 3-nitrofluoranthene at m-AgSAE in MeOH -- 0.01 mol L-1 NaOH (1:1) mixed medium. c (3-nitrofluoranthene) [μmol L-1]: (1) 0 (base electrolyte), (2) 0.2, (3) 0.4 (4) 0.6, (5) 0.8, (6)1.0. Eacc = -350 mV; tacc = 15 s; potentials for regeneration Ein = -350 mV, Efin = -1600 mV.
Sensors 06 00445f5
Figure 6. Structural formula of Ostazine Orange.
Figure 6. Structural formula of Ostazine Orange.
Sensors 06 00445f6
Figure 7. Differential pulse voltammograms of Ostazine Orange at m-AgSAE in 0.01 mol L-1 NaOH. c (Ostazine orange) [μmol L-1]: (0) 0 (base electrolyte), (1) 1, (2) 2, (3) 4, (4) 6, (5) 8, (6)10. Potentials for regeneration Ein = -350 mV, Efin = -1600 mV.
Figure 7. Differential pulse voltammograms of Ostazine Orange at m-AgSAE in 0.01 mol L-1 NaOH. c (Ostazine orange) [μmol L-1]: (0) 0 (base electrolyte), (1) 1, (2) 2, (3) 4, (4) 6, (5) 8, (6)10. Potentials for regeneration Ein = -350 mV, Efin = -1600 mV.
Sensors 06 00445f7
Figure 8. Differential pulse voltammograms of Ostazine Orange at m-AgSAE in 0.01 mol L-1 NaOH. c (Ostazine Orange) [μmol L-1]: (0) 0 (base electrolyte), (1) 0.2, (2) 0.4, (3) 0.6, (5) 0.8, (6)1.0. Potentials for regeneration Ein = -350 mV, Efin = -1600 mV.
Figure 8. Differential pulse voltammograms of Ostazine Orange at m-AgSAE in 0.01 mol L-1 NaOH. c (Ostazine Orange) [μmol L-1]: (0) 0 (base electrolyte), (1) 0.2, (2) 0.4, (3) 0.6, (5) 0.8, (6)1.0. Potentials for regeneration Ein = -350 mV, Efin = -1600 mV.
Sensors 06 00445f8

Share and Cite

MDPI and ACS Style

Barek, J.; Fischer, J.; Navratil, T.; Peckova, K.; Yosypchuk, B. Silver Solid Amalgam Electrodes as Sensors for Chemical Carcinogens. Sensors 2006, 6, 445-452. https://doi.org/10.3390/s6040445

AMA Style

Barek J, Fischer J, Navratil T, Peckova K, Yosypchuk B. Silver Solid Amalgam Electrodes as Sensors for Chemical Carcinogens. Sensors. 2006; 6(4):445-452. https://doi.org/10.3390/s6040445

Chicago/Turabian Style

Barek, Jiri, Jan Fischer, Tomas Navratil, Karolina Peckova, and Bogdan Yosypchuk. 2006. "Silver Solid Amalgam Electrodes as Sensors for Chemical Carcinogens" Sensors 6, no. 4: 445-452. https://doi.org/10.3390/s6040445

APA Style

Barek, J., Fischer, J., Navratil, T., Peckova, K., & Yosypchuk, B. (2006). Silver Solid Amalgam Electrodes as Sensors for Chemical Carcinogens. Sensors, 6(4), 445-452. https://doi.org/10.3390/s6040445

Article Metrics

Back to TopTop