Structural, Elastic, Electronic, and Magnetic Properties of Full-Heusler Alloys Sc2TiAl and Sc2TiSi Using the FP-LAPW Method
Abstract
1. Introduction
2. Computational Method
3. Results
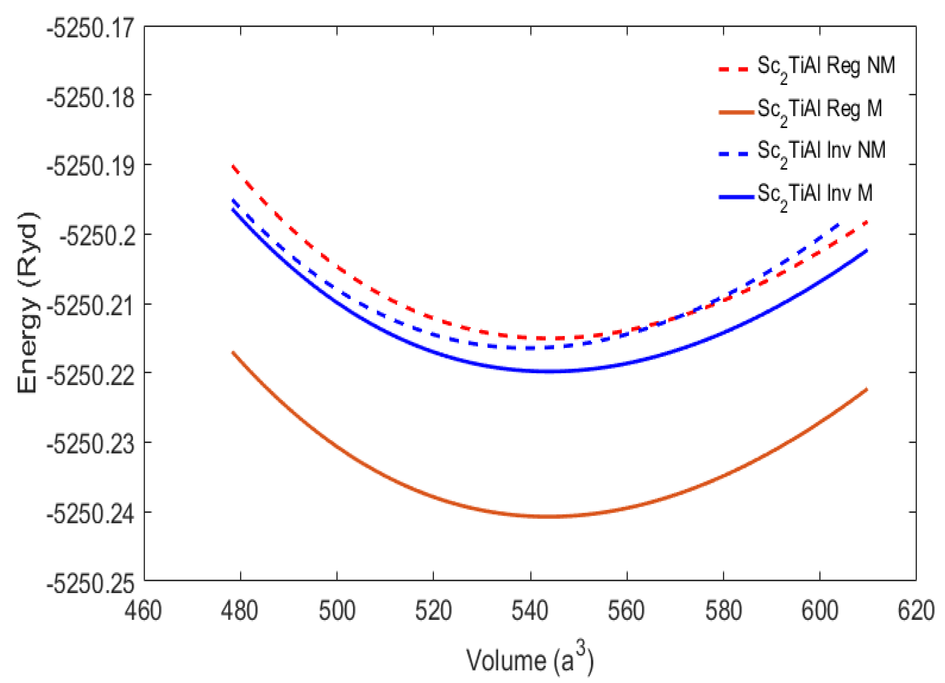
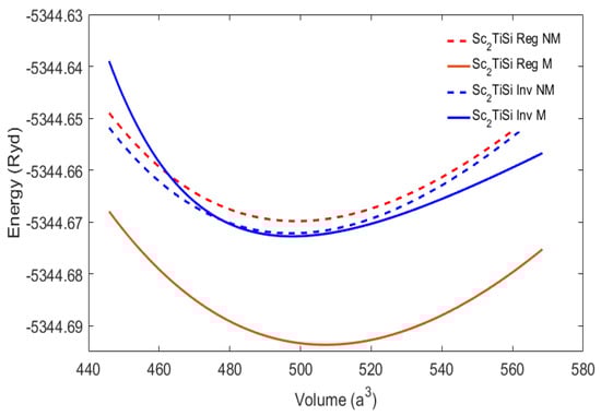
3.1. Structural Properties
3.2. Formation Energy
3.3. Magnetic Properties
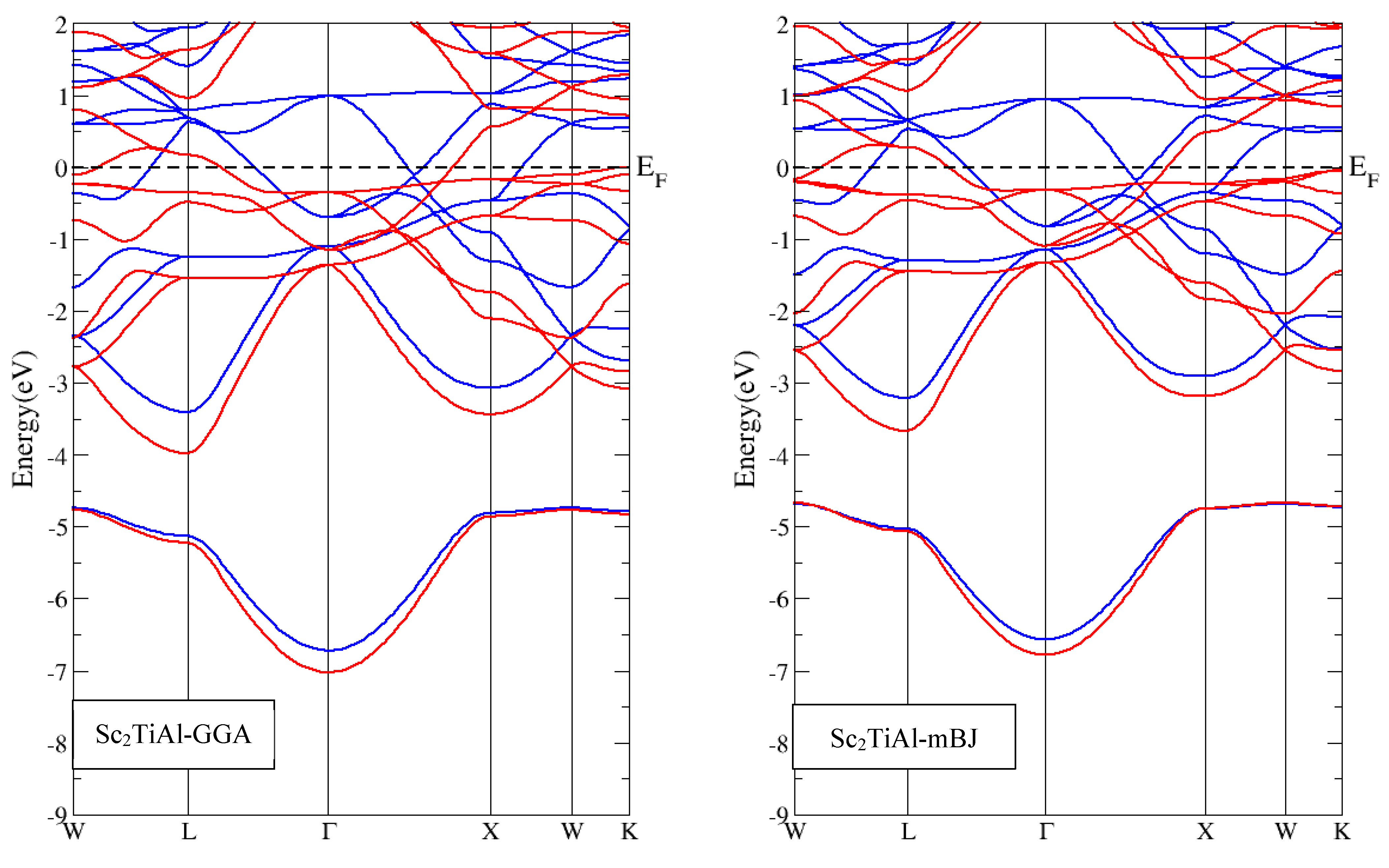
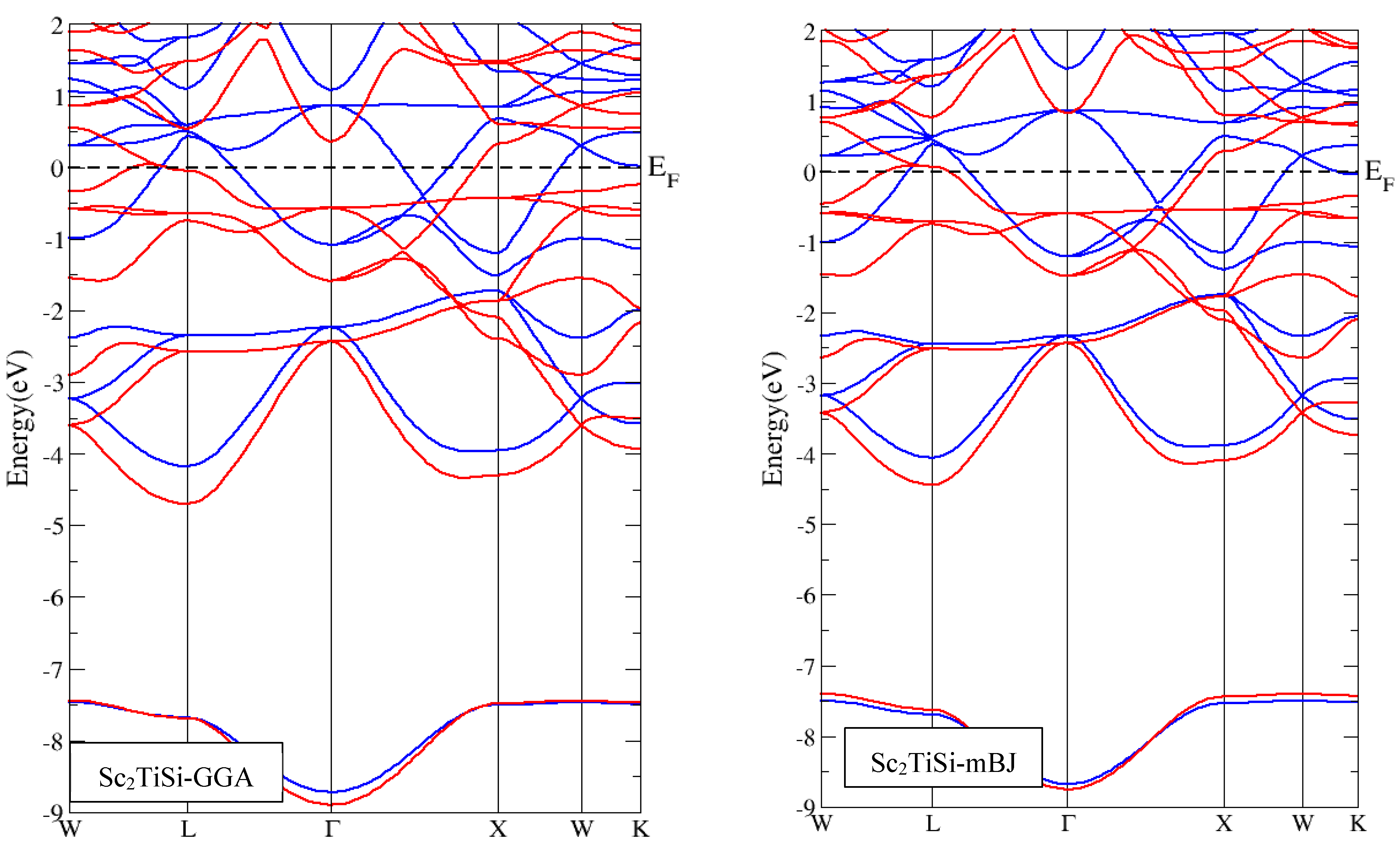
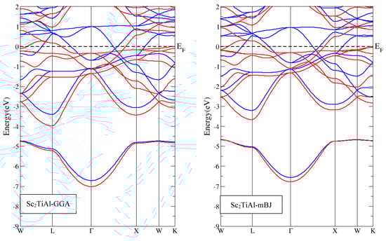
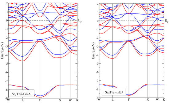
3.4. Electronic Structure
3.5. Elastic Properties
4. Conclusions
Author Contributions
Funding
Institutional Review Board Statement
Informed Consent Statement
Data Availability Statement
Conflicts of Interest
References
- Paudel, R.; Zhu, J. Investigation of half-metallicity and magnetism of (Ni/Pd/Ru) ZrTiAl quaternary Heusler alloys for spintronic applications. Phys. Condens. Matter 2019, 557, 45–51. [Google Scholar] [CrossRef]
- Azar, S.; Mousa, A.; Khalifeh, J. Structural, electronic and magnetic properties of Ti1+xFeSb Heusler alloys. Intermetallics 2017, 85, 197–205. [Google Scholar] [CrossRef]
- Berrahal, M.; Bentouuaf, A.; Rached, H.; Mebsout, R.; Aissa, B. Investigation of Ruthenium based Full-Heusler compound for thermic, spintronic and thermoelectric applications: DFT computation. Mater. Sci. Semicond. Process. 2021, 134, 106047. [Google Scholar] [CrossRef]
- Patel, P.; Pandaya, J.; Shinde, S.; Gupta, S.; Narayan, S. Investigation of Full-Heusler compound Mn2MgGe for magnetism, spintronics and thermoelectric applications: DFT study. Comput. Condens. Matter 2020, 23, e00472. [Google Scholar] [CrossRef]
- Alrahamneh, M.; Mousa, A.; Khalifeh, J. First principles study of the structural, electronic, magnetic and thermoelectric properties of Zr2RhAl. Phys. Condens. Matter 2019, 552, 227–235. [Google Scholar] [CrossRef]
- Remil, G.; Zitouni, A.; Bouadjemi, B.; Houari, M.; Abbad, A.; Benstaali, W.; Cherid, S.; Matougui, M.; Lantri, T.; Bentata, S. A potential full Heusler thermoelectric material CO2ZrZ (Z=Al, Si, Ga and Sn) in low temperature: An Ab-initio investigation. Solid State Commun. 2021, 336, 114422. [Google Scholar] [CrossRef]
- Srivastava, V.; Kaur, N.; Khenata, R.; Dar, S. Investigation of the electronic, magnetic, elastic, thermodynamic and thermoelectric properties of Mn2CoCr Heusler compound A DFT-based simulation. J. Magn. Magn. Mater. 2020, 513, 167107. [Google Scholar] [CrossRef]
- Mushtaq, M.; Khalid, S.; Atif Sattar, M.; Khenata, R.; Seddik, T.; Ahmad Dar, S.; Muhammad, I.; Bin Omran, S. Electronic band structure, phase stability, magnetic and thermoelectric characteristics of the quaternary Heusler alloys CoCuZrAs and CoRhMoAl: Insights from DFT computations. Inorg. Chem. Commun. 2021, 124, 108384. [Google Scholar] [CrossRef]
- Han, Y.; Chen, Z.; Kuang, M.; Liu, Z.; Wang, X.; Wang, X. 171 Scandium-based full Heusler compounds: A comprehensive study of competition between XA and L21 atomic ordering. Results Phys. 2019, 12, 435–446. [Google Scholar] [CrossRef]
- Wang, C.; Casper, F.; Gasi, T.; Ksenofontov, V.; Balke, B.; Fecher, G.H.; Felser, C.; Hwu, Y.; Lee, J. Structural and magnetic properties of Fe2CoGa Heusler nanoparticles. J. Phys. Appl. Phys. 2012, 45, 295001. [Google Scholar] [CrossRef]
- Shan, R.; Ouardi, S.; Fecher, G.H.; Gao, L.; Kellock, A.; Gloskovskii, A.; ViolBarbosa, C.E.; Ikenaga, E.; Felser, C.; Parkin, S.S.P. A p-type Heusler compound: Growth, structure, and properties of epitaxial thin NiYBi films on MgO(100). Appl. Phys. Lett. 2012, 101, 212102. [Google Scholar] [CrossRef]
- Galanakis, I.; Şaşıoğlu, E. High TC half-metallic fully-compensated ferrimagnetic Heusler compounds. Appl. Phys. Lett. 2011, 99, 052509. [Google Scholar] [CrossRef]
- Nayak, A.K.; Shekhar, C.; Winterlik, J.; Gupta, A.; Felser, C. Mn2PtIn: A tetragonal Heusler compound with exchange bias behavior. Appl. Phys. Lett. 2012, 100, 152404. [Google Scholar] [CrossRef]
- Wei, X.P.; Hu, X.R.; Liu, B.; Lei, Y.; Deng, H.; Yang, M.K.; Deng, J.B. Electronic structure and magnetism in full-Heusler compound Mn2ZnGe. J. Magn. Magn. Mater. 2011, 323, 1606. [Google Scholar] [CrossRef]
- Graf, T.; Felser, C.; Parkin, S.S. Simple rules for the understanding of Heusler compounds. Prog. Solid State Chem. 2011, 39, 1–50. [Google Scholar] [CrossRef]
- Felser, C.; Hirohata, A. Heusler Alloys Properties, Growth, Applications. In Springer Series in Materials Science; Springer: Berlin/Heidelberg, Germany, 2016; ISBN 978-3-319-21449-8. [Google Scholar]
- Nayak, A.K.; Nicklas, M.; Chadov, S.; Shekhar, C.; Skourski, Y.; Winterlik, J.; Felser, C. Large zero-field cooled exchange-bias in bulk Mn2PtGa. Phys. Rev. Lett. 2013, 110, 127204. [Google Scholar] [CrossRef]
- Elphick, K.; Frost, W.; Samiepour, M.; Kubota, T.; Takanashi, K.; Sukegawa, H.; Mitani, S.; Hirohata, A. Heusler alloys for spintronic devices: Review on recent development and future perspectives. Sci. Technol. Adv. Mater. 2021, 22, 235. [Google Scholar] [CrossRef]
- Wu, S.-C.; Fecher, G.H.; Naghavi, S.S.; Felser, C. Elastic properties and stability of Heusler compounds: Cubic Co2YZ compounds with L21 structure. J. Appl. Phys. 2019, 125, 082523. [Google Scholar] [CrossRef]
- Yahya, S.J.; Abu-Jafar, M.S.; Al Azar, S.; Mousa, A.A.; Khenata, R.; Abu-Baker, D.; Farout, M. The Structural, Electronic, Magnetic and Elastic Properties of Full-Heusler Co2CrAl and Cr2MnSb: An Ab Initio Study. Crystals 2022, 12, 1580. [Google Scholar] [CrossRef]
- Abu Baker, D.N.; Abu-Jafar, M.S.; Mousa, A.; Jaradat, R.; Ilaiwi, K.; Khenata, R. Structural, magnetic, electronic and elastic properties of half-metallic ferromagnetism full-Heusler alloys: Regular- Co2TiSn and inverse- Zr2RhGa using FP-LAPW method. Mater. Chem. Phys. 2020, 240, 122122. [Google Scholar] [CrossRef]
- Li, Y.; Zhu, J.; Paudel, R.; Huang, J.; Zhou, F. Screen the half metallic X2Y (Al/Si) full Heusler alloys based on the first principle calculations. Comput. Mater. Sci. 2021, 193, 110391. [Google Scholar] [CrossRef]
- Oudrane, D.; Bourachid, I.; Bouafia, H.; Abidri, B.; Rached, D. Computational insights in predicting structural, mechanical, electronic, magnetic and optical properties of EuAlO3 cubic Perovskite using FP-LAPW. Comput. Condens. Matter 2021, 26, e00537. [Google Scholar] [CrossRef]
- Blaha, P.; Schwarz, K.; Tran, F.; Laskowski, R.; Madsen, G.K.H.; Marks, L.D. WIEN2k: An APW+lo program for calculating the properties of solids. J. Chem. Phys. 2020, 152, 074101. [Google Scholar] [CrossRef]
- Perdew, J.; Burke, K.; Ernzerhof, M. Generalized gradient approximation made simple. Phys. Rev. Lett. 1996, 77, 3865–3868. [Google Scholar] [CrossRef]
- Becke, A.; Johnson, E. A simple effective potential for exchange. J. Chem. Phys. 2006, 124, 221101. [Google Scholar] [CrossRef] [PubMed]
- Tran, F.; Blaha, P. Accurate band gaps of semiconductors and insulators with a semilocal exchange-correlation potential. Phys. Rev. Lett. 2009, 102, 226401. [Google Scholar] [CrossRef] [PubMed]
- Blaha, P.; Schwarz, K.; Medsen, G.K.H.; Kvasnicka, D.; Luitz, J. WIEN2k, An Augmented Plane Wave Plus Local Orbitals Program for Calculating Crystal Properties; Vienna University Technology: Vienna, Austria, 2001; Available online: https://www.scirp.org/(S(i43dyn45teexjx455qlt3d2q))/reference/ReferencesPapers.aspx?ReferenceID=1880359 (accessed on 5 January 2023).
- IRelast Package is Provided by M. Jamal as Part of the Commercial Code WIEN2K. 2014. Available online: http://www.wien2k.at/ (accessed on 5 January 2023).
- Murnaghan, F.D. The compressibility of media under extreme pressures. Proc. Natl. Acad. Sci. U.S.A. 1944, 30, 244. [Google Scholar] [CrossRef]
- Tyuterev, V.G.; Vast, N. Murnaghan’s equation of state for the electronic ground state energy. Comput. Mater. Sci. 2006, 38, 350. [Google Scholar] [CrossRef]
- Mousa, A.; Hamad, B.; Khalifeh, J. Structure, electronic and elastic properties of the NbRu shape memory alloys. Eur. Phys. J. 2009, 72, 575–581. [Google Scholar] [CrossRef]
- Born, M.; Huang, K. Dynamical Theory of Crystal Lattices. Am. J. Phys. 1956, 23, 474. [Google Scholar] [CrossRef]
- Gupta, Y.; Sinha, M.; Verma, S. Exploring the structural, elastic, lattice dynamical stability and thermoelectric properties of semiconducting novel quaternary Heusler alloy LiScPdPb. J. Solid State Chem. 2021, 304, 122601. [Google Scholar] [CrossRef]
- Abu-Jafar, M.; Dayton-Oxland, R.; Jaradat, R.; Mousa, A.; Khenata, R. Structural, electronic, mechanical and elastic properties of Scandium Chalcogenides by first-principles calculations. Phase 2020, 93, 773. [Google Scholar] [CrossRef]
- Pugh, S.F. Relations between the elastic moduli and the plastic properties of polycrystalline pure metals. Philos. Mag. 1954, 45, 823. [Google Scholar] [CrossRef]
- Abu-Jafar, M.; Leonhardi, v.; Jaradat, R.; Mousa, A.; Al-Qaisi, S.; Mahmoud, N.; Bassalat, A.; Khenata, R.; Bouhemadou, A. Structural, electronic, mechanical, and dynamical properties of scandium carbide. Results Phys. 2021, 21, 103804. [Google Scholar] [CrossRef]
- Cheriet, A.; Khenchoul, S.; Aissani, L.; Lagoun, B.; Zaabat, M.; Alhussein, A. First-principles calculations to investigate structural, magnetic, electronic and elastic properties of full-Heusler alloys Co2MB (M=V, Mn). Solid State Commun. 2021, 337, 114426. [Google Scholar] [CrossRef]
- Abada, A.; Marbouh, N.; Bentayeb, A. First-principles calculations to investigate structural, elastic, electronic and magnetic properties of novel d half metallic half Heusler alloys XSrB (X=Be, Mg). Intermetallics 2022, 140, 107392. [Google Scholar] [CrossRef]
- Voigt, W. Ueber die Beziehung Zwischen den Beiden Elasticitätsconstanten Isotroper Körper; Wiley Online Library: San Marcos, CA, USA, 1889; p. 38. [Google Scholar] [CrossRef]
- Reuss, A. Berechnung der Fließgrenze von Mischkristallen auf Grund der Plastizitätsbedingung für Einkristalle. Math Phys. 1929, 9, 49. [Google Scholar] [CrossRef]
- Hill, R. The Elastic Behaviour of a Crystalline Aggregate. Proc. Phys. Soc. 1952, 65, 349. [Google Scholar] [CrossRef]
- Teter, D.M. Computational alchemy: The search for new superhard materials. MRS Bull. 1998, 23, 22. [Google Scholar] [CrossRef]
- Zener, C. Elasticity and Anelasticity of Metals; University of Chicago Press: Chicago, IL, USA, 1948. [Google Scholar] [CrossRef]
- Ravindran, P.; Fast, L.; Korzhavyi, P.A.; Johansson, B. Density functional theory for calculation of elastic properties of orthorhombic crystals: Application to TiSi2. J. Appl. Phys. 1998, 84, 4891. [Google Scholar] [CrossRef]









| Structure | Space Group | Reference | a (A0) | B (GPa) | B′ (GPa) | E0 (eV) | Ef (meV) |
|---|---|---|---|---|---|---|---|
| Sc2TiAl | Fm-3m (225) | Present Theoretical | 6.88 6.87 [9] | 75.9 | 2.59 | −5250.241 | −391.1 |
| F-43m (216) | Present Theoretical | 6.84 6.83 [9] | 73.9 | 3.30 | −5250.219 | −109.8 | |
| Sc2TiSi | Fm-3m (225) | Present Theoretical | 6.69 6.69 [9] | 85.28 | 4.35 | −5344.693 | −913.3 |
| F-43m (216) | Present Theoretical | 6.64 6.64 [9] | 82.79 | 5.26 | −5344.669 | −584.7 |
| Structure | Reference | ||||||
|---|---|---|---|---|---|---|---|
| Sc | Sc | Ti | Al | Interstitial | MMtot | ||
| Regular Sc2TiAl | Present Theoretical | 0.38 | 0.38 | 1.71 | −0.04 | 0.43 | 2.86 2.92 [9] |
| Inverse Sc2TiAl | Present Theoretical | 0.18 | 0.42 | 0.91 | −0.02 | 0.60 | 2.09 2.24 [9] |
| Regular Sc2TiSi | Present Theoretical | 0.33 | 0.33 | 1.60 | −0.05 | 0.76 | 2.97 2.96 [9] |
| Inverse Sc2TiSi | Present Theoretical | 0.20 | 0.63 | 1.05 | −0.04 | 0.70 | 2.54 2.51 [9] |
| Compound | C11 (GPa) | C12 (GPa) | C44 (GPa) | B (GPa) | A |
|---|---|---|---|---|---|
| Regular Sc2TiAl | 96.914 | 67.463 | 63.778 | 77.280 | 4.331 |
| Inverse Sc2TiAl | 75.932 | 73.512 | 63.281 | 74.318 | 52.298 |
| Regular Sc2TiSi | 106.781 | 81.347 | 64.582 | 89.825 | 5.078 |
| Inverse Sc2TiSi | 95.248 | 94.762 | 63.792 | 94.924 | 262.519 |
| Compound | ||||
|---|---|---|---|---|
| Regular Sc2TiAl | 45.41 | 1.70 | 113.30 | 0.247 |
| Inverse Sc2TiAl | 38.45 | 1.93 | 98.39 | 0.279 |
| Regular Sc2TiSi | 43.84 | 2.05 | 113.11 | 0.290 |
| Inverse Sc2TiSi | 38.37 | 2.74 | 101.45 | 0.321 |
Disclaimer/Publisher’s Note: The statements, opinions and data contained in all publications are solely those of the individual author(s) and contributor(s) and not of MDPI and/or the editor(s). MDPI and/or the editor(s) disclaim responsibility for any injury to people or property resulting from any ideas, methods, instructions or products referred to in the content. |
© 2023 by the authors. Licensee MDPI, Basel, Switzerland. This article is an open access article distributed under the terms and conditions of the Creative Commons Attribution (CC BY) license (https://creativecommons.org/licenses/by/4.0/).
Share and Cite
Al-Masri, K.M.; Abu-Jafar, M.S.; Farout, M.; Dahliah, D.; Mousa, A.A.; Azar, S.M.; Khenata, R. Structural, Elastic, Electronic, and Magnetic Properties of Full-Heusler Alloys Sc2TiAl and Sc2TiSi Using the FP-LAPW Method. Magnetochemistry 2023, 9, 108. https://doi.org/10.3390/magnetochemistry9040108
Al-Masri KM, Abu-Jafar MS, Farout M, Dahliah D, Mousa AA, Azar SM, Khenata R. Structural, Elastic, Electronic, and Magnetic Properties of Full-Heusler Alloys Sc2TiAl and Sc2TiSi Using the FP-LAPW Method. Magnetochemistry. 2023; 9(4):108. https://doi.org/10.3390/magnetochemistry9040108
Chicago/Turabian StyleAl-Masri, Khadejah M., Mohammed S. Abu-Jafar, Mahmoud Farout, Diana Dahliah, Ahmad A. Mousa, Said M. Azar, and Rabah Khenata. 2023. "Structural, Elastic, Electronic, and Magnetic Properties of Full-Heusler Alloys Sc2TiAl and Sc2TiSi Using the FP-LAPW Method" Magnetochemistry 9, no. 4: 108. https://doi.org/10.3390/magnetochemistry9040108
APA StyleAl-Masri, K. M., Abu-Jafar, M. S., Farout, M., Dahliah, D., Mousa, A. A., Azar, S. M., & Khenata, R. (2023). Structural, Elastic, Electronic, and Magnetic Properties of Full-Heusler Alloys Sc2TiAl and Sc2TiSi Using the FP-LAPW Method. Magnetochemistry, 9(4), 108. https://doi.org/10.3390/magnetochemistry9040108

