Shelf Life of Blackberry Fruits (Rubus fruticosus) with Edible Coatings Based on Candelilla Wax and Guar Gum
Abstract
1. Introduction
2. Materials and Methods
2.1. Blackberry Fruits
2.2. Materials
2.3. Experimental Design, Preparation and Application of Edible Coatings Formulations
2.4. Shelf-Life Assay
2.5. Quality Measurements
2.6. Extracts Preparation
2.7. Total Phenolic Content
2.8. Total Anthocyanin Content
2.9. Antioxidant Activity by ABTS Assay
2.10. Antioxidant Activity by DPPH Assay
2.11. Statistical Analysis
3. Results and Discussion
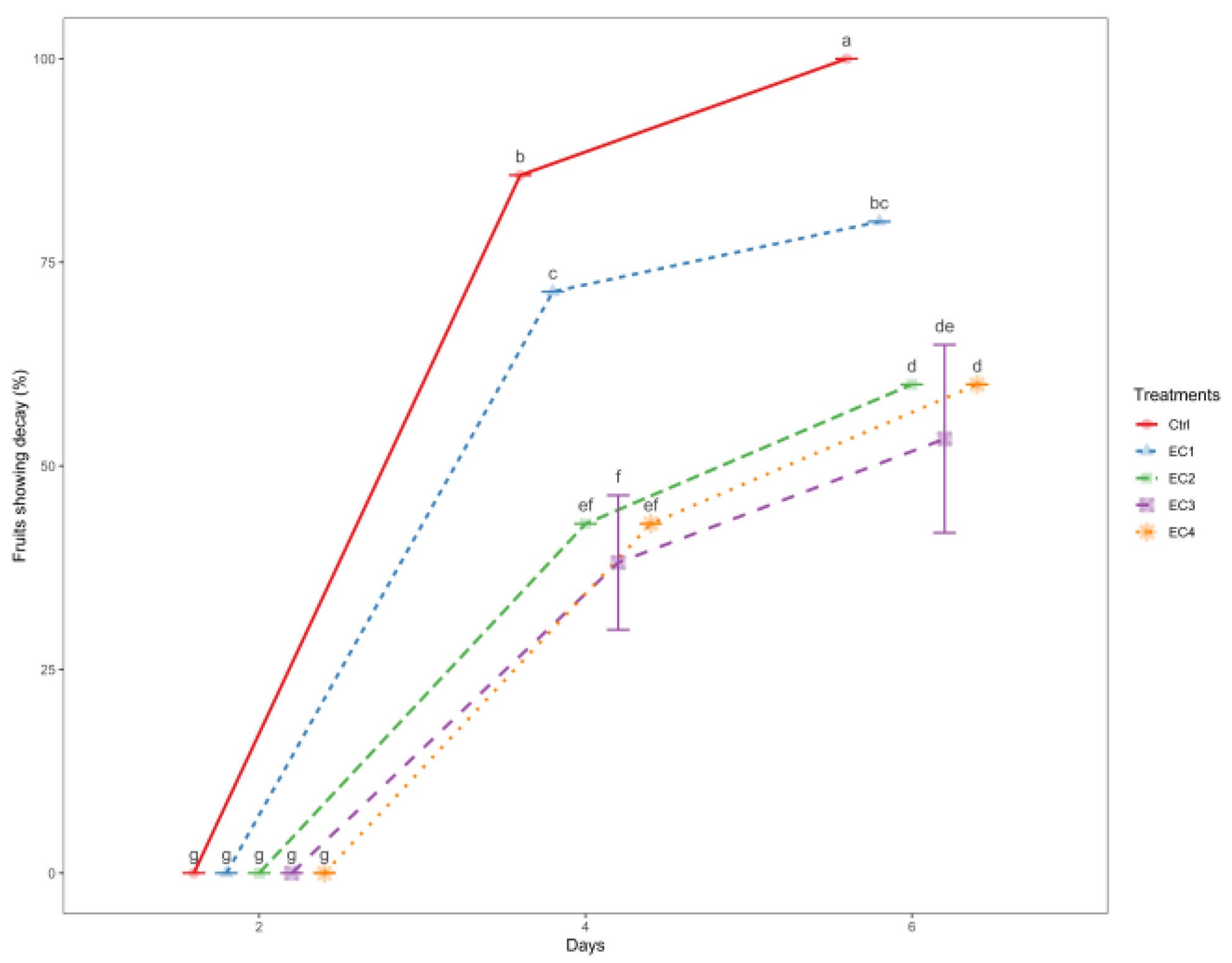
3.1. Shelf Life
Decay
3.2. Physiological Weight Loss
3.3. Firmness
3.4. pH
3.5. Total Soluble Solids
3.6. Titratable Acidity
3.7. Total Phenolic Content
3.8. Total Anthocyanin Content
3.9. Antioxidant Activity
4. Conclusions
Author Contributions
Funding
Institutional Review Board Statement
Informed Consent Statement
Data Availability Statement
Acknowledgments
Conflicts of Interest
References
- Strik, B.C.; Clark, J.R.; Finn, C.E.; Ban, M.P. Worldwide Blackberry Production. Compr. Crop Rep. 2007, 17, 205–213. [Google Scholar] [CrossRef]
- Gündogdu, M.; Kan, T.; Canan, Í. Bioactive and Antioxidant Characteristics of Blackberry Cultivars from East Anatolia. Turk. J. Agric. For. 2016, 40, 344–351. [Google Scholar] [CrossRef]
- de Souza, V.R.; Pimenta Pereira, P.A.; Teodoro da Silva, T.L.; de Oliveira Lima, L.C.; Pio, R.; Queiroz, F. Determination of the Bioactive Compounds, Antioxidant Activity and Chemical Composition of Brazilian Blackberry, Red Raspberry, Strawberry, Blueberry and Sweet Cherry Fruits. Food Chem. 2014, 156, 362–368. [Google Scholar] [CrossRef] [PubMed]
- Paredes-López, O.; Cervantes-Ceja, M.L.; Vigna-Pérez, M.; Hernández-Pérez, T. Berries: Improving Human Health and Healthy Aging, and Promoting Quality Life-A Review. Plant Foods Hum. Nutr. 2010, 65, 299–308. [Google Scholar] [CrossRef] [PubMed]
- Nile, S.H.; Park, S.W. Edible Berries: Bioactive Components and Their Effect on Human Health. Nutrition 2014, 30, 134–144. [Google Scholar] [CrossRef]
- Junqueira-Gonçalves, M.P.; Alarcón, E.; Niranjan, K. The Efficacy of Potassium Sorbate-Coated Packaging to Control Postharvest Gray Mold in Raspberries, Blackberries and Blueberries. Postharvest Biol. Technol. 2016, 111, 205–208. [Google Scholar] [CrossRef]
- Vicente, A.R.; Civello, P.M.; Martínez, G.A.; Powell, A.L.T.; Labavitch, A.R.; Chaves, J.M. Control of Postharvest Spoilage in Soft Fruit. Stewart Postharvest Rev. 2005, 4, 1–11. [Google Scholar] [CrossRef]
- Hincapié-Echeverri, O.D.; Saldarriaga-Cardona, A.; Díaz-Diez, C. Biological, Botanical and Chemical Alternatives for the Control of Blackberry (Rubus glaucus Benth.) Diseases. Rev. Fac. Nac. Agron. Medellin 2017, 70, 8169–8176. [Google Scholar] [CrossRef]
- Villegas, C.; Albarracín, W. Edible Coating Application and Effect on Blackberry (Rubus glaucus Benth.) Shelf Life. Vitae Rev. Fac. Química Farm. 2016, 23, 202–209. [Google Scholar]
- De Ancos, B.; González-Peña, D.; Colina-Coca, C.; Sánchez-Moreno, C. Uso de Películas/Recubrimientos Comestibles En Los Productos de IV y V Gama. Rev. Iberoam. Tecnol. Postcosecha 2015, 16, 8–17. [Google Scholar]
- Yousuf, B.; Qadri, O.S.; Srivastava, A.K. Recent Developments in Shelf-Life Extension of Fresh-Cut Fruits and Vegetables by Application of Different Edible Coatings: A Review. LWT Food Sci. Technol. 2018, 89, 198–209. [Google Scholar] [CrossRef]
- Corbo, M.R.; Campaniello, D.; Speranza, B.; Bevilacqua, A.; Sinigaglia, M. Non-Conventional Tools to Preserve and Prolong the Quality of Minimally-Processed Fruits and Vegetables. Coatings 2015, 5, 931–961. [Google Scholar] [CrossRef]
- Boesso-Oriani, V.; Molina, G.; Chiumarelli, M.; Pastore, G.M.; Hubinger, M.D. Properties of Cassava Starch-Based Edible Coating Containing Essential Oils. J. Food Sci. 2014, 79, 189–194. [Google Scholar] [CrossRef]
- Zheng, K.; Xiao, S.; Li, W.; Wang, W.; Chen, H.; Yang, F.; Qin, C. Chitosan-Acorn Starch-Eugenol Edible Film: Physico-Chemical, Barrier, Antimicrobial, Antioxidant and Structural Properties. Int. J. Biol. Macromol. 2019, 135, 344–352. [Google Scholar] [CrossRef]
- Vilaplana, R.; Guerrero, K.; Guevara, J.; Valencia-Chamorro, S. Chitosan Coatings to Control Soft Mold on Fresh Blackberries (Rubus glaucus Benth.) during Postharvest Period. Sci. Hortic. Amst. 2020, 262, 109049. [Google Scholar] [CrossRef]
- Oliveira, D.M.; Kwiatkowski, A.; Franco Rosa, C.I.L.; Clemente, E. Refrigeration and Edible Coatings in Blackberry (Rubus Spp.) Conservation. J. Food Sci. Technol. 2014, 51, 2120–2126. [Google Scholar] [CrossRef]
- Pérez, D.A.; Gómez, J.M.; Castellanos, D.A. Combined Modified Atmosphere Packaging and Guar Gum Edible Coatings to Preserve Blackberry (Rubus glaucus Benth). Food Sci. Technol. Int. 2021, 27, 353–365. [Google Scholar] [CrossRef]
- Joshi, P.; Becerra-Mora, N.; Vargas-Lizarazo, A.Y.; Kohli, P.; Fisher, D.J.; Choudhary, R. Use of Edible Alginate and Limonene-Liposome Coatings for Shelf-Life Improvement of Blackberries. Future Foods 2021, 4, 100091. [Google Scholar] [CrossRef]
- Villegas, C.; Albarracín, W. Aplicación y Efecto de Un Recubrimiento Comestible Sobre La Vida Útil de La Mora de Castilla (Rubus glaucus Benth). Vitae 2016, 23, 202–209. [Google Scholar] [CrossRef]
- Villegas-Yépez, C.; Cortés-Rodríguez, M.; Albarracín-Hernández, W.; Rodríguez-Fonseca, P. Effect of Edible Coatings of Polysaccharide-Protein-Lipid Structure on Andean Blackberry. DYNA 2019, 86, 199–207. [Google Scholar] [CrossRef]
- Cortés-Rodríguez, M.; Villegas-Yépez, C.; Gil-Gonzáles, J.H.; Ortega-Toro, R.; Cort, M.; Humberto, J.; Gonz, G. Effect of a Multifunctional Edible Coating Based on Cassava Starch on the Shelf Life of Andean Blackberry. Heliyon 2020, 6. [Google Scholar] [CrossRef] [PubMed]
- Aranda-Ledesma, E.; Bautista-Hernández, I.; Rojas, R.; Aguilar-Zárate, P.; del Medina-Herrera, N.P.; Castro-López, C.; Martínez-Avila, G.C.G. Candelilla Wax: Prospective Suitable Applications within the Food Field. LWT Food Sci. Technol. 2022, 159, 113170. [Google Scholar] [CrossRef]
- Oliveira, M.; Pereira, J.; Cabo Verde, S.; Lima, M.G.; Pinto, P.; De Oliveira, P.B.; Junqueira, C.; Marcos, H.; Silva, T.; Melo, R.; et al. Evaluation of Potential of Gamma Radiation as a Conservation Treatment for Blackberry Fruits. J. Berry Res. 2013, 3, 93–102. [Google Scholar] [CrossRef]
- Ollé Resa, C.P.; Jagus, R.J.; Gerschenson, L.N. Effect of Natamycin, Nisin and Glycerol on the Physicochemical Properties, Roughness and Hydrophobicity of Tapioca Starch Edible Films. Mater. Sci. Eng. C 2014, 40, 281–287. [Google Scholar] [CrossRef] [PubMed]
- Fang, Z.; Lin, D.; Warner, R.D.; Ha, M. Effect of Gallic Acid/Chitosan Coating on Fresh Pork Quality in Modified Atmosphere Packaging. Food Chem. 2018, 260, 90–96. [Google Scholar] [CrossRef]
- Limpisophon, K.; Schleining, G. Use of Gallic Acid to Enhance the Antioxidant and Mechanical Properties of Active Fish Gelatin Film. J. Food Sci. 2017, 82, 80–89. [Google Scholar] [CrossRef]
- Albert, S.; Mittal, G.S. Comparative Evaluation of Edible Coatings to Reduce Fat Uptake in a Deep-Fried Cereal Product. Food Res. Int. 2002, 35, 445–458. [Google Scholar] [CrossRef]
- Dong, F.; Wang, X. Guar Gum and Ginseng Extract Coatings Maintain the Quality of Sweet Cherry. LWT Food Sci. Technol. 2018, 89, 117–122. [Google Scholar] [CrossRef]
- Albuquerque, P.B.S.; Barros Jr., W.; Santos, G.R.C.; Correia, M.T.S.; Mourão, P.A.S.; Teixeira, J.A.; Carneiro-da-Cunha, M.G. Characterization and Rheological Study of the Galactomannan Extracted from Seeds of Cassia Grandis. Carbohydr. Polym. 2014, 104, 127–134. [Google Scholar] [CrossRef]
- Oregel-Zamudio, E.; Angoa-Pérez, M.V.; Oyoque-Salcedo, G.; Aguilar-González, C.N.; Mena-Violante, H.G. Effect of Candelilla Wax Edible Coatings Combined with Biocontrol Bacteria on Strawberry Quality during the Shelf-Life. Sci. Hortic. Amst. 2017, 214, 273–279. [Google Scholar] [CrossRef]
- Padilla-Jimenez, S.M.; Angoa-Pérez, M.V.; Mena-Violante, H.G.; Oyoque-Salcedo, G.; Renteria-Ortega, M.; Oregel-Zamudio, E. Changes in the Aroma of Organic Blackberries ( Rubus Fruticosus ) During Ripeness. Anal. Chem. Lett. 2019, 9, 64–73. [Google Scholar] [CrossRef]
- Potma da Silva, E.L.; de Carvalho, T.C.; Ayub, R.A.; Menezes De Almeida, M.C. Blackberry Extend Shelf Life by Nanocellulose and Vegetable Oil Coating. Hortic. Int. J. 2020, 4, 54–60. [Google Scholar] [CrossRef]
- AOAC Official Methods of Analysis of Association of Official Analytical Chemists. Caracter. Propagação Melhor. Genético Pitaya Comer. Nativ. Cerrado 2010, 26, 62.
- Bernal-Gallardo, J.O.; Molina-Torres, J.; Angoa-Pérez, M.V.; Cárdenas-Valdovinos, J.G.; García-Ruiz, I.; Ceja-Díaz, J.A.; Mena-Violante, H.G. Phenolic Compound Content and the Antioxidant and Antimicrobial Activity of Wild Blueberries (Vaccinium Stenophyllum Steud.) Fruits Extracts during Ripening. Horticulturae 2022, 8, 15. [Google Scholar] [CrossRef]
- Spinardi, A.; Cola, G.; Gardana, C.S.; Mignani, I. Variation of Anthocyanin Content and Profile Throughout Fruit Development and Ripening of Highbush Blueberry Cultivars Grown at Two Different Altitudes. Front. Plant Sci. 2019, 10, 1–14. [Google Scholar] [CrossRef]
- Abdel-Aal, E.-S.M.; Hucl, P. A Rapid Method for Quantifying Total Anthocyanins in Blue Aleurone and Purple Pericarp Wheats. Cereal Chem. 1999, 76, 350–354. [Google Scholar] [CrossRef]
- Samaniego, I.; Brito, B.; Viera, W.; Cabrera, A.; Llerena, W.; Kannangara, T.; Vilcacundo, R.; Angós, I.; Carrillo, W. Influence of the Maturity Stage on the Phytochemical Composition and the Antioxidant Activity of Four Andean Blackberry Cultivars (Rubus glaucus Benth) from Ecuador. Plants 2020, 9, 1027. [Google Scholar] [CrossRef]
- Silva, F.; Galluzzi, M.; Albuquerque, B.; Pizzuti, L.; Gressler, V.; Rivelli, D.; Barros, S.; Pereira, C. Ultrasound Irradiation Promoted Large-Scale Preparation in Aqueous Media and Antioxidant Activity of Azoles. Lett. Drug Des. Discov. 2016, 6, 323–326. [Google Scholar] [CrossRef]
- Gol, N.B.; Vyas, P.B.; Ramana Rao, T.V. Evaluation of Polysaccharide-Based Edible Coatings for Their Ability to Preserve the Postharvest Quality of Indian Blackberry (Syzygium Cumini L.). Int. J. Fruit Sci. 2015, 15, 198–222. [Google Scholar] [CrossRef]
- Peretto, G.; Du, W.-X.; Avena-Bustillos, R.J.; Berrios, J.D.J.; Sambo, P.; McHugh, T.H. Optimization of Antimicrobial and Physical Properties of Alginate Coatings Containing Carvacrol and Methyl Cinnamate for Strawberry Application. J. Agric. Food Chem. 2014, 62, 984–990. [Google Scholar] [CrossRef]
- Chevalier, E.; Chaabani, A.; Assezat, G.; Prochazka, F.; Oulahal, N. Casein/Wax Blend Extrusion for Production of Edible Films as Carriers of Potassium Sorbate—A Comparative Study of Waxes and Potassium Sorbate Effect. Food Packag. Shelf Life 2018, 16, 41–50. [Google Scholar] [CrossRef]
- Parra, D.F.; Tadini, C.C.; Ponce, P.; Lugao, A.B. Mechanical Properties and Water Vapor Transmission in Some Blends of Cassava Starch Edible Films. Carbohydr. Polym. 2004, 58, 475–481. [Google Scholar] [CrossRef]
- Alvarez-Pérez, O.B.; Montañez, J.; Aguilar, C.N.; Rojas, R. Pectin-Candelilla Wax: An Alternative Mixture for Edible Films. J. Microbiol. Biotechnol. Food Sci. 2015, 05, 167–171. [Google Scholar] [CrossRef]
- Dhall, R.K. Advances in Edible Coatings for Fresh Fruits and Vegetables: A Review. Crit. Rev. Food Sci. Nutr. 2013, 53, 435–450. [Google Scholar] [CrossRef] [PubMed]
- Oliveira, D.M.; Franco Rosa, C.I.L.; Kwiatkowski, A.; Clemente, E. Biodegradable Coatings on the Postharvest of Blackberry Stored Under. Rev. Cienc. Agron. 2013, 44, 302–309. [Google Scholar] [CrossRef]
- Tumbarski, Y.; Petkova, N.; Todorova, M.; Ivanov, I.; Deseva, I.; Mihaylova, D.; Ibrahim, S.A. Effects of Pectin-Based Edible Coatings Containing a Bacteriocin of Bacillus Methylotrphicus BM47 on the Quality and Storage Life of Fresh Blackberries. Ital. J. Food Sci. 2020, 32, 420–437. [Google Scholar]
- Ramírez, J.D.; Aristizábal, I.D.; Restrepo, J.I. Blackberry Conservation through the Application of Edible Coating of Aloe Vera Mucilaginous Gel. Vitae Rev. Fac. Química Farm. 2013, 20, 172–183. [Google Scholar]
- Olivas, G.I.; Barbosa-Cánovas, G.V. Edible Coatings for Fresh-Cut Fruits. Crit. Rev. Food Sci. Nutr. 2005, 45, 657–670. [Google Scholar] [CrossRef]
- Goulao, L.F.; Oliveira, C.M. Cell Wall Modifications during Fruit Ripening: When a Fruit Is Not the Fruit. Trends Food Sci. Technol. 2008, 19, 4–25. [Google Scholar] [CrossRef]
- Khodaei, D.; Hamidi-Esfahani, Z.; Rahmati, E. Effect of Edible Coatings on the Shelf-Life of Fresh Strawberries: A Comparative Study Using TOPSIS-Shannon Entropy Method. NFS J. 2021, 23, 17–23. [Google Scholar] [CrossRef]
- Riaz, A.; Aadil, R.M.; Olatounde Amoussa, A.M.; Bashari, M.; Abid, M.; Hashim, M.M. Application of Chitosan-Based Apple Peel Polyphenols Edible Coating on the Preservation of Strawberry (Fragaria Ananassa Cv Hongyan) Fruit. J. Food Process. Preserv. 2020, 45, 1–10. [Google Scholar] [CrossRef]
- Bambace, M.F.; Alvarez, M.V.; del Rosario Moreira, M. Novel Functional Blueberries: Fructo-Oligosaccharides and Probiotic Lactobacilli Incorporated into Alginate Edible Coatings. Food Res. Int. 2019, 122, 653–660. [Google Scholar] [CrossRef] [PubMed]
- Bersaneti, G.T.; Prudencio, S.H.; Mali, S.; Antonia, M.; Colabone Celligoi, M.A.P.; Terassi, G.; Helena, S.; Antonia, M.; Colabone, P. Food Bioscience Assessment of a New Edible Film Biodegradable Based on Starch-Nystose to Increase Quality and the Shelf Life of Blackberries. Food Biosci. 2021, 42, 101173. [Google Scholar] [CrossRef]
- De León-Zapata, M.A.; Ventura-Sobrevilla, J.M.; Salinas-Jasso, T.A.; Flores-Gallegos, A.C.; Rodríguez-Herrera, R.; Pastrana-Castro, L.; Rua-Rodríguez, M.L.; Aguilar, C.N. Changes of the Shelf Life of Candelilla Wax/Tarbush Bioactive Based-Nanocoated Apples at Industrial Level Conditions. Sci. Hortic. Amst. 2018, 231, 43–48. [Google Scholar] [CrossRef]
- De León-Zapata, M.A.; Pastrana-Castro, L.; Barbosa-Pereira, L.; Rua-Rodríguez, M.L.; Saucedo, S.; Ventura-Sobrevilla, J.M.; Salinas-Jasso, T.A.; Rodríguez-Herrera, R.; Aguilar, C.N. Nanocoating with Extract of Tarbush to Retard Fuji Apples Senescence. Postharvest Biol. Technol. 2017, 134, 67–75. [Google Scholar] [CrossRef]
- Mar, F.G.; Polit, U.; Polit, S.U.; Laborda, R.; Polit, U.; Zhu, Z.; Jiang, T.; He, J.; Barba, F.J.; Cravotto, G.; et al. Bioautography with TLC-MS/NMR for Rapid Discovery of Anti-Tuberculosis Lead Compounds from Natural Sources. J. AOAC Int. 2015, 6, 3–70. [Google Scholar] [CrossRef]
- Auras, R.; Harte, B.; Selke, S. An Overview of Polylactides as Packaging Materials. Macromol. Biosci. 2004, 4, 835–864. [Google Scholar] [CrossRef]
- Carvalho, C.P.; Betancur, J.A. Quality Characterization of Andean Blackberry Fruits (Rubus glaucus Benth) in Different Maturity Stages in Antioquia. Agron. Colomb. 2015, 33, 74–83. [Google Scholar] [CrossRef]
- Bischoff, T.Z.; Pintro, T.C.; Paloschi, C.L.; Coelho, S.R.M.; Grzegozewski, D.M. Conservação Pós-Colheita Da Amora-Preta Refrigerada Com Biofilme E Embalagem Plástica. Rev. Energ. Agric. 2013, 28, 109–114. [Google Scholar] [CrossRef]
- Correa-Antunes, L.E.; Duarte-Filho, J.; de Souza, C.M. Conservação Pós-Colheita de Frutos de Amoreira-Preta. Pesq. Agropec. Bras. Bras. 2003, 38, 413–419. [Google Scholar] [CrossRef][Green Version]
- Kishore, K.; Pathak, K.A.; Shukla, R. Effect of Storage Temperature on Physico-Chemical and Sensory Attributes of Purple Passion Fruit (Passiflora Edulis Sims). J. Food Sci. Technol. 2011, 48, 484–488. [Google Scholar] [CrossRef] [PubMed]
- Gol, N.B.; Patel, P.R.; Ramana Rao, T.V. Improvement of Quality and Shelf-Life of Strawberries with Edible Coatings Enriched with Chitosan. Postharvest Biol. Technol. 2013, 85, 185–195. [Google Scholar] [CrossRef]
- Afifah, N.; Ratnawati, L.; Darmajana, D.A. Evaluation of Plasticizer Addition in Composite Edible Coating on Quality of Fresh-Cut Mangoes during Storage. IOP Conf. Ser. Earth Environ. Sci. 2019, 251, 012029. [Google Scholar] [CrossRef]
- Mertz, C.; Gancel, A.L.; Gunata, Z.; Alter, P.; Dhuique-Mayer, C.; Vaillant, F.; Perez, A.M.; Ruales, J.; Brat, P. Phenolic Compounds, Carotenoids and Antioxidant Activity of Three Tropical Fruits. J. Food Compos. Anal. 2009, 22, 381–387. [Google Scholar] [CrossRef]
- Kaume, L.; Howard, L.R.; Devareddy, L. The Blackberry Fruit: A Review on Its Composition and Chemistry, Metabolism and Bioavailability, and Health Benefits. J. Agric. Food Chem. 2012, 60, 5716–5727. [Google Scholar] [CrossRef]
- Ayala, L.C.; Valenzuela, C.P.; Bohorquez, Y. Effect of Alginate-Based Edible Coating and Calcium Ions on the Quality of Castilla Blackberries (Rubus glaucus Benth). Vitae 2012, 19, S129–S131. [Google Scholar]
- Chiabrando, V.; Giacalone, G. Anthocyanins, Phenolics and Antioxidant Capacity after Fresh Storage of Blueberry Treated with Edible Coatings. Int. J. Food Sci. Nutr. 2015, 7486, 248–253. [Google Scholar] [CrossRef] [PubMed]
- Acosta-Montoya, Ó.; Vaillant, F.; Cozzano, S.; Mertz, C.; Pérez, A.M.; Castro, M.V. Phenolic Content and Antioxidant Capacity of Tropical Highland Blackberry (Rubus Adenotrichus Schltdl.) during Three Edible Maturity Stages. Food Chem. 2010, 119, 1497–1501. [Google Scholar] [CrossRef]
- Lipe, J.A. Ethylene in Fruits of Blackberry and Rabbiteye Blueberry. J. Am. Soc. Hortic. Sci. 1978, 103, 76–77. [Google Scholar]
- Perkins-Veazie, P.; Clark, J.R.; Huber, D.J.; Baldwin, E.A. Ripening Physiology in ‘Navaho’ Thornless Blackberries: Color, Respiration, Ethylene Production, Softening, and Compositional Changes. J. Am. Soc. Hortic. Sci. 2000, 125, 357–363. [Google Scholar] [CrossRef]
- Burdon, J.N.; Sexton, R. Fruit Abscission and Ethylene Production of Four Blackberry Cultivars. Ann. Appl. Biol. 1993, 123, 121–132. [Google Scholar] [CrossRef]
- Mahmood, T.; Anwar, F.; Afzal, N.; Kausar, R.; Ilyas, S. Influence of Ripening Stages and Drying Methods on Polyphenolic Content and Antioxidant Activities of Mulberry Fruits. Food Meas. 2017, 11, 2171–2179. [Google Scholar] [CrossRef]




| Formulations | Ingredients (%) | |||
|---|---|---|---|---|
| Guar Gum | Candelilla Wax | Glycerol | Gallic Acid | |
| EC1 | 0.4 | 0.2 | 0.2 | 0.06 |
| EC2 | 0.4 | 0.4 | 0.2 | 0.06 |
| EC3 | 0.4 | 0.2 | 0.3 | 0.06 |
| EC4 | 0.4 | 0.4 | 0.3 | 0.06 |
| Coatings | Total Phenolic Content (mg GAE/g DW) | Total Anthocyanins Content (mg CGE/g DW) |
|---|---|---|
| Day 0 | Day 0 | |
| Ctrl | 25.17 ± 0.06 cd | 5.53 ± 0.15 cd |
| EC1 | 25.10 ± 0.17 cd | 6.93 ± 0.15 ab |
| EC2 | 25.27 ± 0.25 cd | 5.47 ± 0.23 cd |
| EC3 | 26.64 ± 0.64 bc | 6.20 ± 0.56 bc |
| EC4 | 21.08 ± 2.61 f | 7.23 ± 0.06 a |
| Day 6 | Day 6 | |
| Ctrl | 22.90 ± 0.10 def | 4.13 ± 0.25 e |
| EC1 | 24.05 ± 0.15 cde | 7.13 ± 0.47 a |
| EC2 | 29.47 ± 0.59 b | 6.90 ± 0.35 ab |
| EC3 | 21.50 ± 0.10 ef | 5.82 ± 0.45 c |
| EC4 | 35.55 ± 1.67 a | 4.73 ± 0.06 de |
| Coatings | DPPH µM TE/g DW | ABTS µM TE/g DW |
|---|---|---|
| Day 0 | Day 0 | |
| Ctrl | 43.86 ± 0.96 f | 504.9 ± 2.7 c |
| EC1 | 45.12 ± 0.18 def | 505.18 ± 3.1 c |
| EC2 | 46.28 ± 0.63 bc | 516.81 ± 2.1 a |
| EC3 | 47.75 ± 0.48 cde | 513.45 ± 1.11 a |
| EC4 | 45.75 ± 0.66 ef | 511.2 ± 2.53 ab |
| Day 6 | Day 6 | |
| Ctrl | 56.05 ± 0.95 a | 507.84 ± 1.06 bc |
| EC1 | 46.49 ± 0.36 cdef | 507 ± 3.18 bc |
| EC2 | 49.96 ± 0.73 cd | 508.82 ± 1.26 bc |
| EC3 | 52.69 ± 1.19 ab | 503.08 ± 2.46 c |
| EC4 | 46.91 ± 1.64 cd | 504.48 ± 1.06 c |
Publisher’s Note: MDPI stays neutral with regard to jurisdictional claims in published maps and institutional affiliations. |
© 2022 by the authors. Licensee MDPI, Basel, Switzerland. This article is an open access article distributed under the terms and conditions of the Creative Commons Attribution (CC BY) license (https://creativecommons.org/licenses/by/4.0/).
Share and Cite
Ascencio-Arteaga, A.; Luna-Suárez, S.; Cárdenas-Valdovinos, J.G.; Oregel-Zamudio, E.; Oyoque-Salcedo, G.; Ceja-Díaz, J.A.; Angoa-Pérez, M.V.; Mena-Violante, H.G. Shelf Life of Blackberry Fruits (Rubus fruticosus) with Edible Coatings Based on Candelilla Wax and Guar Gum. Horticulturae 2022, 8, 574. https://doi.org/10.3390/horticulturae8070574
Ascencio-Arteaga A, Luna-Suárez S, Cárdenas-Valdovinos JG, Oregel-Zamudio E, Oyoque-Salcedo G, Ceja-Díaz JA, Angoa-Pérez MV, Mena-Violante HG. Shelf Life of Blackberry Fruits (Rubus fruticosus) with Edible Coatings Based on Candelilla Wax and Guar Gum. Horticulturae. 2022; 8(7):574. https://doi.org/10.3390/horticulturae8070574
Chicago/Turabian StyleAscencio-Arteaga, Alessandrina, Silvia Luna-Suárez, Jeanette G. Cárdenas-Valdovinos, Ernesto Oregel-Zamudio, Guadalupe Oyoque-Salcedo, José A. Ceja-Díaz, María V. Angoa-Pérez, and Hortencia G. Mena-Violante. 2022. "Shelf Life of Blackberry Fruits (Rubus fruticosus) with Edible Coatings Based on Candelilla Wax and Guar Gum" Horticulturae 8, no. 7: 574. https://doi.org/10.3390/horticulturae8070574
APA StyleAscencio-Arteaga, A., Luna-Suárez, S., Cárdenas-Valdovinos, J. G., Oregel-Zamudio, E., Oyoque-Salcedo, G., Ceja-Díaz, J. A., Angoa-Pérez, M. V., & Mena-Violante, H. G. (2022). Shelf Life of Blackberry Fruits (Rubus fruticosus) with Edible Coatings Based on Candelilla Wax and Guar Gum. Horticulturae, 8(7), 574. https://doi.org/10.3390/horticulturae8070574

