Abstract
Metal tolerance proteins (MTPs) are divalent cation transporters, known to upkeep the mineral nutrition of plants and heavy metal transport at cell, tissue, or whole plant levels. However, information related to evolutionary relationships and biological functions of MTP genes in strawberry (Fragaria vesca L.) remain elusive. Herein, we identified 12 MTP genes from the strawberry genome and divided them into three main groups (i.e., Zn-MTP, Fe/Zn MTP, and Mn-MTP), which is similar to MTP grouping in Arabidopsis and rice. The strawberry MTPs (FvMTPs) are predicted to be localized in the vacuole, while open reading frame (ORF) length ranged from 1113 to 2589 bp with 370 to 862 amino acids, and possess 4 to 6 transmembrane domains (TMDs), except for FvMTP12 that possessed 16 TMDs. All the FvMTP genes had putative cation efflux and cation diffusion facilitator domains along with a zinc dimerization (ZT-dimer) domain in Mn-MTPs. The collinear analysis suggested their conservation between strawberry and Arabidopsis MTPs. Promoter analysis also demonstrated that some of them might possibly be regulated by hormones and abiotic stress factors. Moreover, Gene Ontology (GO) and Kyoto Encyclopedia of Genes and Genomes (KEGG) enrichment analysis proposed that FvMTP genes are involved in cation transport and homeostasis. The expression analysis showed that FvMTP1, FvMTP1.1, and FvMTP4 were significantly induced in leaf samples, while FvMTP1.1 and FvMTP4 were significantly regulated in roots of cadmium (Cd)-treated strawberry plants during progressive stress duration. The findings of Cd accumulation depicted that Cd contents were significantly higher in root tissues than that of leaf tissues of strawberry. These results are indicative of their response during the specific duration in Cd detoxification, while further functional studies can accurately verify their specific role.
1. Introduction
Various metal cations, such as copper (Cu2+), zinc (Zn2+), iron (Fe2+), manganese (Mn2+), nickel (Ni2+), and cobalt (Co2+) are essential trace elements for vital cellular and physiological plant functions, including photosynthesis, chloroplast and mitochondrial electron transport, protein processing, DNA replication, and other metabolic processes [1,2]. In addition, these metals also serve as structural cofactors for various enzymes and transcription factors [1]. The excessive accumulation of these metals can results in oxidative damage and cellular toxicity, which leads to impaired photosynthesis, chlorosis, and inhibited water and nutrient uptake [2,3]. Other non-essential heavy metals, such as mercury (Hg), cadmium (Cd2+), and lead (Pb2+), negatively influence plant growth and development and, when transported and accumulated in edible plant parts, can raise severe health risks for human nutrition [4,5]. However, plants can adapt the complex strategy of metal uptake and movement, extrusion, chelation, detoxification, and compartmentalization to ensure proper metal homeostasis within the cell [6]. To avoid metal toxicity, plants utilize specific transporters from multigenic protein families that play regulatory role in uptake and compartmentalization of heavy metals in different cellular organelles [7,8].
The cation diffusion facilitator (CDF) gene family have been ubiquitously characterized in yeast, bacteria, plants, and mammals, and are known to transport metals from the cytosol to either subcellular compartments or extracellular spaces [9,10]. CDFs are vital and play an important role in response to abiotic stress; however, it is debatable whether they are essential as some genetic experiments have shown that the lack of a particular CDF gene does not necessarily cause lethality [11]. The CDF is further subdivided into three subgroups (e.g., Zn-CDF, Fe/Zn-CDF, and Mn-CDF) based on phylogenetic relationship and specific substrate transport capacity [12]. Sequence analysis has revealed that mainstream CDF proteins act as homodimers and normally possess six transmembrane domains (TMDs) with the characteristic of one cytosolic histidine-rich domain. In plants, the CDF gene family is generally denominated as metal tolerance proteins (MTPs), which are further classified into seven major phylogenetic groups based on their specific metal sequestration [13]. For example, group I (MTP1-MTP4), V (MTP5), and XII (MTP12) are categorized as Zn-CDF, group VI (MTP6), VII (MTP7) are Fe/Zn-CDF, and group VIII (MTP8) and IX (MTP9-MTP11) include Mn-CDF [9,14]. Among these, Arabidopsis AtMTP1 is ubiquitously found in all types of tissues and can compartmentalize Zn into the vacuole [14]. Similarly, AtMTP3 and AtMTP8 are involved in metal tolerance against Fe deficiency and can transport Zn and Mn, whereas AtMTP11 can counter Mn severity by sequestrating it out of cytoplasm [15,16,17]. AtMTP12 with 14 TMDs forms a functional complex with AtMTP5 and transport Zn into the Golgi bodies [18]. In addition, Arabidopsis orthologs from rice (OsMTP1) and cucumber (CsMTP1 and CsMTP3) have been shown to transport Cd and Co into the vacuole of the plant cell [10,19,20]. The brief description of the MTP gene family in modulating heavy metal cations is available on Arabidopsis, but no information on strawberry (Fragaria vesca L.) FvMTPs is available yet.
Strawberries (Fragaria x ananassa Duch.) are a very popular fruit among consumers, either as fresh produce for consumption or for processing, e.g., into juices. This raw material is well aligned with the growing demand for functional foods in the market as consumers increasingly choose products of exceptional quality with added value [21,22,23,24]
The genus Fragaria is characterized by woodland [25] and cultivated [19] species, which are further subclassified by their discrete ploidy number from diploid to decaploid. F. vesca is diploid (2n = 14) and deliberated as an important model plant for gene transformation because of its smaller genome size, short life cycle, and small stature [25,26,27,28]. Recently, wastewater and sludge applications are the main reason for heavy metals accumulation in fleshy fruits [29]. Previous reports suggested that strawberry accumulate relatively more Cd in edible parts [30,31]. Cadmium enters from the roots by cation binding sites, move towards xylem and transported into source tissues in the form of complexes by various substrate-specific cation transporters [32]. However, metals are co-transported to the roots by the plasma membrane transporters (CDFs) and play vital role in metal ions uptake and homeostasis [33]. Consequently, there is a compelling need for the identification of genes that can sequestrate and transport Cd to extracellular spaces or into the cellular organelles. The comprehensive genome-wide analysis of the MTP gene family have been extensively carried out in tobacco [11], sweet orange [34], and grapes [13], but precise role of MTP in Cd homeostasis is lacking in strawberry. Therefore, we carried out genome-wide identification of MTP family in strawberry and performed phylogenetic relationship with Arabidopsis (AtMTP) and rice (OsMTP) genes. We further analyzed the sequence and structural characteristics, chromosomal locations, intron and promoter’s structure, and functional annotations of MTP proteins. Finally, we analyzed the gene expression of FvMTP genes for their putative role in mediating Cd stress. This study will help in the selection of candidate genes involved in Cd homeostasis in fleshy fruits for functional studies in the future.
2. Materials and Methods
2.1. Identification of MTP Gene from Strawberry
To identify the MTP genes, BLASTP search in Genome Database for Rosaceae (GDR) (https://www.rosaceae.org/species/fragaria/all; accessed on 11 September 2021) was carried out using the 12 Arabidopsis (e.g., AT2G46800, AT3G58810, AT2G29410, AT2G47830, AT2G04620, AT2G39450, AT1G79520, AT1G16310, AT1G51610, AT3G58060, AT3G12100, and AT3G61940) and 10 rice (e.g., Os05g38670.1, Os04g23180.1, Os02g58580.1, Os03g12530.1, Os01g62070.1, Os05g03780.1, Os02g53490.1, Os08g32650.1, Os01g03914.1, and Os03g22550.1) MTP proteins as queries [14]. The identified FvMTP proteins were filtered using an E-value ≤ e−10 and validated for cation_efflux domain (PF01545) acquired from Pfam database (http://pfam.xfam.org; accessed on 11 September 2021) using SMART search (http://smart.embl-heidelberg.de/; accessed on 11 September 2021) [10].
2.2. Physicochemical Properties, Sequence Alignment, and Phylogenetic Analysis
The physicochemical properties, such as molecular weight (kDa) and isoelectric point (pI) of FvMTP genes, were calculated using the online ProtParam (http://web.expas y.org/protp param; accessed on 13 September 2021) [22]. The open reading frame (ORF) values were predicted from NCBI ORF finder (https://www.ncbi.nlm.nih.gov/orffinder; accessed on 13 September 2021). FvMTP protein localization in different cellular organelles was predicted by Cell-Plock (2.0: http://www.csbio.sjtu.edu.cn/bioinf/Cell-PLoc-2/; accessed on 11 September 2021) as described by previously reported studies [13]. The multiple sequence alignment of all putative FvMTP peptides was carried out by MUSCLE using MEGA (7.0) with default options [25]. The phylogenetic tree was constructed using the consequential alignment in MEGA (7.0) following the maximum likelihood (ML) method, 1000 bootstrap replications were set for the reliability of the resultant tree [35].
2.3. Conserved Motifs, Gene Structure, and Promoter Analysis
The conserved motif scanning of FvMTP proteins was performed using MEME Suit and parameter setting was employed as 50 ≤ widths ≤ 100 with a maximum number of 3 motifs [22]. The gene structure was visualized using the GFF3 file acquired from the strawberry genome by the TBtools program [35]. Moreover, FvMTP peptides were used to identify the cis-elements of each protein from the PlantCARE database (http://bioinformatics.psb.ugent.be/webtools/plantcare/html/; accessed on 17 September 2021) [25].
2.4. Chromosomal Positioning and Collinearity Analysis
The specific chromosomal positions of each FvMTP gene across seven (Fv01–Fv07) was performed using genome annotations and illustrated using the TBtools program. For the syntenic relationship between strawberry and Arabidopsis MTPs, and within strawberry MTPs, Multiple Collinearity Scan (MCScan) toolkit analysis was carried out and visualized using a circular diagram [10].
2.5. Gene Ontology (GO) and Kyoto-Encyclopedia of Genes and Genomes (KEGG) Analysis
For GO enrichment analysis, Arabidopsis MTP orthologs were implicated as search query in an online panther server (http://pantherdb.org/; accessed on 21 September 2021). The KEGG enrichment of FvMTP genes was performed using an online KEGG web server (https://www.genome.jp/kegg/pathway.html; accessed on 21 September 2021).
2.6. Plant Material and Cd Stress
One-year-old strawberry plants were obtained from Jiangsu Academy of Agricultural Sciences (JAAS) and kept in the medium of soil:peat:sand at 3:1:1 volume [36] in a controlled environment (25 ± 5 °C) provided with 16 h light/8 h dark, and 65% relative humidity (RH) at Nanjing Agricultural University, Nanjing-China. After 4 weeks, 60 strawberry plants were sorted for uniformity in size and health. The 60 strawberry plants were divided into 5 treatments (each with 10 replicates) and were treated with 0.1 mM CdCl2 [37] with an interval of 12 h (h), 24 h, 48 h, 60 h, and 72 h, respectively. The remaining 10 strawberry plants irrigated with simple nutrient solution were deliberated as control (CK) plants. The root and young leaf samples were collected from CK and Cd-treated strawberry plants after 12 h, 24 h, 48 h, 60 h, and 72 h, respectively. The collected samples were immediately put in liquid nitrogen and stored at −80 °C.
2.7. RNA Extraction and qRT-PCR Analysis
Total RNA was isolated from the root and leaf tissues using the Trizol reagent (Invitrogen) method by following the manufacturer guidelines. RNA was then reverse-transcribed to prepare the cDNA using the prime script (Takara, Japan) by following the manufacturer’s instructions. The primers of 12 FvMTP genes were designed using NCBI Primer-BLAST (https://www.ncbi.nlm.nih.gov/tools/primer-blast/; accessed on 10 December 2021) and list is provided in Table S1. Furthermore, qRT-PCR (ABI-7500, Applied Biosystem, Foster City, CA, USA) was used to quantify the gene expression and the reaction for each gene was performed at three technical replicates as described previously [25]. The expression level was measured by 2−ΔΔCT value and Fragaria MSI1 (MULTICOPYSUPPRESSOR OF IRA1) was used as an internal control [30,38].
2.8. H2O2 Accumulation, and Cd Quantification
The accumulation pattern of H2O2 was examined by following the staining method as described by [38]. The quantification of Cd contents from leaf and roots following Cd stress were performed by the method explained by [30].
2.9. Statistical Analysis
Three independent biological replicates were used for the qRT-PCR analysis and data was subjected to analysis of variance (ANOVA) using the SPSS Ver. 20 (Chicago, IL, USA). The means of gene expression values at different time points (i.e., 12 h, 24 h, 48 h, 60 h, and 72 h) were compared using Duncan’s Multiple Range (DMR) test for which the value of p < 0.05 was deliberated as statistically significant.
3. Results
3.1. Identification and Sequence Properties of FvMTP Genes
In this study, 12 genes encoding FvMTPs were identified in total from the strawberry genome (https://www.rosaceae.org/; accessed on 11 September 2021) using the MTP proteins pairs of Arabidopsis thaliana and Oryza sativa as queries. The FvMTP proteins are denominated as FvMTP1 to FvMTP12 based on sequence similarity with A. thaliana (Table S2). The open reading frame (ORF) length ranged from 1113 bp (FvMTP5) to 2589 bp (FvMTP12) along with 370 to 862 to amino acid length, respectively. Moreover, the isoelectric point (pI) and molecular weight (MW) ranged from 5.03 (FvMTP11) to 8.77 (FvMTP5) and 41.061 kDa (FvMTP5) to 96.20 kDa (FvMTP12). All the FvMTP proteins are predicted to possess 4 to 6 transmembrane domains (TMDs), except for FvMTP12 that showed 16 TMDs. Finally, the subcellular prediction analysis revealed that most of the FvMTP proteins are localized to vacuole, while only two FvMTP proteins (i.e., FvMTP9 and FvMTP10) were also localized in cell membrane (Table S2).
3.2. Phylogenetic Characterization, Motif Composition, and Gene Structure Analysis of FvMTPs
To determine the evolutionary relationship between strawberry, Arabidopsis, and rice MTPs, a phylogenetic tree was constructed using the protein sequences of FvMTPs, AtMTPs, and OsMTPs. The FvMTPs were further categorized into three major groups based on the specific-substrate group and sequence similarity with AtMTPs and OsMTPs. In our study, almost all FvMTPs were found, except FvMTP2 and FvMTP3. In addition, few of the FvMTPs showed higher sequence similarity with AtMTP1 and AtMTP6 and are named as FvMTP1 and FvMTP1.1, and FvMTP6 and FvMTP6.1, respectively (Figure 1). Previously, Montanini et al. [12] classified MTPs into three groups, such as Fe/Zn-MTPs, Mn-MTPs, and Zn-MTPs. In our results, the FvMTP1, FvMTP4, FvMTP5, FvMTP12 genes clustered in Zn-MTP group; FvMTP6 and FvMTP7 in Fe/Zn-MTP, and FvMTP8-FvMTP11 in Mn-MTP, which is similar with the grouping reported in grapevine [13] and tobacco [14].
Figure 1.
Phylogenetic relationships of three MTP groups, i.e., Zn-MTP, Fe/Zn-MTP, and Mn-MTP using three different species, strawberry, Arabidopsis and rice. The phylogenetic tree was constructed by MEGA 7 using the maximum likelihood method (1000 bootstrap).
The structural analysis of MTP further validated our analysis by showing conserved domain within the strawberry genome. Motif analysis demonstrated that motif 2 was commonly present in all FvMTP genes, while motifs 1 and 3 specifically occurred in FvMTP8-11 (Figure 2A). Gene structure analysis was performed based on CDS and UTRs using the TBtools program. Results showed slight divergence within FvMTPs, and mostly consisted conservation with motif analysis. For example, FvMTP6-6.1, FvMTP8, and FvMTP10-11 showed almost identical structure (Figure 2B). Thus, these analysis suggesting that these genes might share a common ancestor during the process of evolutionary history. Moreover, the gene structure analysis showed presence of cation_efflux and cation diffusion facilitator (CDF) domains in all FvMTP genes, suggesting that these genes retain the elementary feature of MTP family (Figure 2B). Moreover, few FvMTP proteins (i.e., FvMTP4, FvMTP6.1, FvMTP8, FvMTP10, FvMTP11, and FvMTP12) also showed ZT_dimer domain, which may be involved in the formation of homodimers during Zn transport. Similarly, CzcD and FieF domains were also found in some FvMTP proteins, signifying their role as Zn, Co, Cd, and Fe-Zn transporter proteins, respectively.
Figure 2.
Motif structure (A) and their gene structure analysis (B) in strawberry. Here, UTR indicated Untranslated regions; and CDS indicates coding sequences.
3.3. Chromosomal Orientation, Promoters and Functional Enrichment Analysis of FvMTPs
Figure 3 shows the chromosomal distribution of 12 FvMTPs on three of the seven different chromosomal locations (Fvb1-Fvb7) and on contig_6. Moreover, four FvMTPs (FvMTP4, FvMTP8, FvMTP9, and FvMTP10) are allocated to Fvb3, followed by three FvMTPs (FvMTP5, FvMTP7, and FvMTP12) on Fvb6. Two chromosomal positions, namely Fvb7 and contig_6 contain two FvMTPs each, whereas Fvb5 contains only one FvMTP1 (Figure 3). However, no FvMTP gene was allocated to Fvb1, Fvb2, and Fvb4, respectively. The collinear relationship was also determined between FvMTPs and AtMTPs (green colored), and within FvMTPs (red colored) using the circos (Figure 3). The results showed less conservation between MTP members with model plant Arabidopsis might be due to less abundance of their genes in both genomes.
Figure 3.
The collinear correlation of MTP between strawberry and Arabidopsis. The green and red line indicate segmental and tandem duplications, respectively.
We also analyzed the promoter regions of the MTP gene family using PlantCARE database. Results revealed that MTP genes show response to low-temperature, light, drought-inducibility, wound, and hormones (i.e., ABA, MeJA, GA, and auxin) (Figure 4). Taken together, the presence of stress- and hormonal-responsive promoter regions depict the complex but very vibrant regulatory role of FvMTP genes. Moreover, gene ontology (GO) functionally annotated strawberry FvMTP genes in biological process, molecular function, and cellular component. Most vital biological process, i.e., ‘cellular zinc ion homeostasis’, ‘zinc ion transport’, ‘cellular cadmium ion homeostasis’, ‘cadmium ion transmembrane transport’, ‘cellular iron ion homeostasis’, ‘iron ion transport’, and ‘zinc ion import across plasma membrane’ were mostly enriched. Likewise, ‘vacuole’, ‘plasma membrane’, and ‘Golgi apparatus’ were found in cellular component. Other GO terms, such as ‘zinc ion transmembrane transporter activity’, ‘cation transmembrane transporter activity’, ‘efflux transmembrane transporter activity’, and ‘ferrous iron transmembrane transporter activity’ are the most common terms of molecular function (Table S3). Furthermore, KEGG enrichment analysis of FvMTPs demonstrated their involvement as “Transporters” and “Protein families: signaling and cellular processes”, which verifies their main role as cation transporters (Table S4).
Figure 4.
The different cis-element was identified in the promoter region of MTP in strawberry.
3.4. Cd Treatment and qRT-PCR Analysis
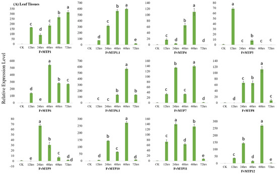
To understand the physiological role and vitality of all FvMTP genes under Cd toxicity, gene expression is quantified in strawberry leaf and root tissues by qRT-PCR analysis. Findings of the current investigations suggested significantly distinct response of MTP gene expression in both strawberry leaf and root tissues during different time points of Cd stress. In leaf tissues, several genes (such as FvMTP1, FvMTP4, FvMTP6, FvMTP8, and FvMTP11) showed a gradual increase in their expression level with respect to Cd stress period. Among these, FvMTP1, FvMTP1.1, and FvMTP6 genes exhibited higher expression values in Cd-treated strawberry leaves. However, remaining genes showed inconsistent expression behavior in leaf tissues during the Cd stress period (Figure 5A). Similarly, the expression level of genes, such as FvMTP1.1, FvMTP4, FvMTP8, and FvMTP9 was significantly induced in root tissues of Cd-treated strawberry plants when compared with CK (Figure 5B). Taken together, FvMTP1 and FvMTP6 showed significantly higher expression in leaf tissues, whereas FvMTP1.1 and FvMTP4 showed significantly higher expression in root tissues under Cd toxicity.

Figure 5.
Expression profiles of the MTP genes in (A) leaf and (B) root tissues of strawberry at different time points during progressive Cd stress treatment. Values represent the mean (n = 6) ± SE (standard error) and a significance level of p < 0.05 was used for different letters above bars.
3.5. H2O2 Accumulation, and Cd Quantification
The accumulation pattern of H2O2 was examined using DAB staining (Figure 6A). Results indicated brown precipitates on Cd-treated strawberry leaves that showed higher accumulation with respect to treatment duration (Figure 6A). These brown precipitates were counted using the ImageJ program to represent the DAB staining quantity (Figure 6B). The quantification of Cd contents was also carried out from leaf and root tissues after different points of Cd application. Results suggested significant variability in Cd accumulation and showed higher contents in root tissues ranging from 0.6 ± 0.11 (CK) to 4.2 ± 0.2 (72 h) than that of leaf tissues ranging from 0.3 ± 0.09 (CK) to 0.81 ± 0.12 (72 h) of strawberry plants, respectively (Figure 6C).
Figure 6.
DAB staining (A) and quantification (B) of Cd-treated strawberry leaves. Brown precipitates (6A) shows accumulation as the stress period was prolonged from CK till 72 h. DAB staining quantification (6B) indicates the average sum of brown precipitates. Cd accumulation (C) in both tissues (leaf and root) of Cd-treated strawberry plants at different time points. Values represent the mean (n = 6) ± SE (standard error) and a significance level of p < 0.05 was used for different letters above bars.
4. Discussion
Metal tolerance proteins (MTPs) are divalent cation transporters, known to participate in transportation of various metals and may induce tolerance in plants against the stress caused by various heavy metals [13]. In this study, we identified 12 MTP proteins in the strawberry genome based on CDF and cation efflux domains in their corresponding protein sequences. The number of identified FvMTP proteins is similar to that in Arabidopsis [12], but higher than the rice [10] MTPs. The 12 FvMTP proteins are categorized into three major groups, i.e., Mn-MTP [5], Zn-MTP [4], and Fe/Zn-CDF [2], and denominated as FvMTP1-FvMTP12 based on their phylogenic position and sequence similarities with Arabidopsis (AtMTP) and rice (OsMTP) orthologs as previously reported [9]. However, no AtMTP2 and AtMTP3 orthologs were found in F. vesca genome. Moreover, two orthologs of each AtMTP1 (FvMTP1 and FvMTP1.1) and AtMTP6 (FvMTP6 and FvMTP6.1) were also identified in strawberry, while similar results have already been identified in tobacco (NtMTP1.1 and NtMTP1.2, and NtMTP6.1 and NtMTP6.2) and sweet orange (CsMTP8 and CsMTP8.1) [11,34]. This gene loss or expansion is probably due to the polyploidization events during the evolution of MTP genes and may possess diverse biological functions.
Other features of FvMTP proteins, such as MW, pI, ORF length, CDS length, intron numbers, chromosomal location, gene position, duplication type, TMDs, and subcellular positions, were analyzed using various bioinformatics resources (please see methods). The FvMTP proteins showed 4-6 TMDs, which is in-line with the same findings in other plants [35,38,39], whereas FvMTP12 showed 16 TMDs that is higher than grapevine VvMTP12 [13] and citrus CitMTP12 [34]. Gene duplication events commonly occur during the evolutionary process, thereby provide vital information about functional divergence, gene family expansion, and novel gene functions [40]. In our study, FvMTP genes did not show tandem or segmental duplication, which is similar with the grapevine MTPs [13]. Consistent with the previous findings [11,41], the FvMTP proteins are predicted to be localized to vacuole, signifying their potential role as vacuole-localized cation transporters. Sequence analysis of FvMTP proteins showed hallmark characteristics of the MTP family (i.e., cation efflux and CDF) as described [12]. The promoter analysis of the FvMTP gene family showed various light- and hormonal-responsive and tissue-specific elements that may play vital functions in strawberry growth and development, while our findings are consistent with the already identified light- and stress-responsive promoter regions of grapevine and wheat MTPs [14,33]. The functional enrichment (GO and KEGG) analysis reported that all the orthologous genes found in strawberry maintained similar function relative to AtMTP genes even after the divergence and shown to be involved in metal ion transport and homeostasis.
In addition, comprehensive functional prediction of FvMTP genes was performed by analyzing the gene expression patterns in strawberry leaf and root tissues under Cd stress. Zn-MTPs, including AtMTP1 [2], AtMTP3 [16], and AtMTP4 [40] are potential vascular Cd transporters and significantly involved in Cd sequestration. In the current investigation, FvMTP1, FvMTP1.1, and FvMTP4 genes were significantly induced in the leaf, and FvMTP1.1 and FvMTP4 were significantly expressed in root tissues under Cd stress, which is consistent with findings of previous reports demonstrating the role of these genes in Cd detoxification [11,13]. Under oxidative stress, ROS accumulation takes place by inducing the production of oxidizing components, such as H2O2 [22]. The accumulation pattern of H2O2 was examined by DAB staining in Cd exposed strawberry leaves, which showed accumulation with respect to progressive stress duration. Similar results were also found in grapevine when exposed to salt stress [25]. The quantification of Cd contents in strawberry tissues revealed significantly higher accumulation of Cd in root tissues than leaf tissues because roots are the primary absorbent of heavy metals and translocate them to sink (leaf) tissues. Generally, our results are in line with the accumulation of Cd in root and leaf tissues of strawberry in other studies [25,41]. Collectively, these results provide the valuable information for functional genomics studies on the role of MTPs in Cd homeostasis.
5. Conclusions
Herein, we identified 12 MTP genes in the strawberry genome that showed hallmark characteristics of MTP family members by containing the modified signature of cation_efflux domains. The phylogenetic analysis subdivided 12 FvMTP genes into three main groups according to their Arabidopsis and rice MTP orthologs. The FvMTP proteins appeared to undergo gene gain/loss through segmental duplication after polyploidization. The analysis of gene expression patterns speculated that FvMTP1, FvMTP1.1, FvMTP4, FvMTP6, and FvMTP11 may play a potential role in Cd detoxification. Finally, the Cd level was enhanced in root tissues compared to that of leaf tissues under Cd toxicity during different time points of treatment. Thereby, this study opens the gateway for the functional characterization of FvMTP genes in Cd homeostasis.
Supplementary Materials
The following supporting information can be downloaded at: https://www.mdpi.com/article/10.3390/horticulturae8060477/s1, Table S1. List of the primers used for the qRT-PCR analysis. Table S2. Physicochemical properties, including protein length, chromosomal position, isoelectric point (pI), molecular weight (MW), and subcellular prediction of MTP genes; Table S3. Gene ontology (GO) based enrichment analysis of MTP in the strawberry genome; Table S4. Kyoto encyclopedia of gene and genome (KEGG) analysis of MTPs in the strawberry genome. These four tables are available in a supplementary file.
Author Contributions
Conceptualization, methodology, software, and writing—original draft preparation, M.S.H., T.M.M.S., S.J., M.A., W.S., K.S., N.K., M.J.J., S.A.N. and S.E.; validation, formal analysis, and investigation, S.J and W.S.; writing—review and editing, N.K., A.A., S.E., K.S., M.K., R.U., M.A. and S.H.Q. visualization, T.M.M.S., M.A., and S.A.N.; supervision, project administration, and funding acquisition, M.J.J. All authors have read and agreed to the published version of the manuscript.
Funding
This research received no external funding.
Data Availability Statement
The supplementary data is available in the supplementary files.
Conflicts of Interest
The authors declare no conflict of interest.
References
- Yuan, L.; Yang, S.; Liu, B.; Zhang, M.; Wu, K. Molecular characterization of a rice metal tolerance protein, OsMTP1. Plant Cell Rep. 2012, 31, 67–79. [Google Scholar] [CrossRef] [PubMed]
- Cambrollé, J.; García, J.L.; Figueroa, M.E.; Cantos, M. Evaluating wild grapevine tolerance to copper toxicity. Chemosphere 2015, 120, 171–178. [Google Scholar] [CrossRef] [PubMed] [Green Version]
- Thomine, S.; Vert, G. Iron transport in plants: Better be safe than sorry. Curr. Opin. Plant Biol. 2013, 16, 322–327. [Google Scholar] [CrossRef] [PubMed]
- Gill, S.S.; Hasanuzzaman, M.; Nahar, K.; Macovei, A.; Tuteja, N. Importance of nitric oxide in cadmium stress tolerance in crop plants. Plant Physiol. Biochem. 2013, 63, 254–261. [Google Scholar] [CrossRef]
- Clemens, S. Toxic metal accumulation, responses to exposure and mechanisms of tolerance in plants. Biochimie 2006, 88, 1707–1719. [Google Scholar] [CrossRef]
- Hall, J.L. Cellular mechanisms for heavy metal detoxification and tolerance. J. Exp. Bot. 2002, 53, 1–11. [Google Scholar] [CrossRef]
- Gaither, L.A.; Eide, D.J. Eukaryotic zinc transporters and their regulation. Biometals: An international journal on the role of metal ions. Biol. Biochem. Med. 2001, 14, 251–270. [Google Scholar]
- Hall, J.L.; Williams, L.E. Transition metal transporters in plants. J. Exp. Bot. 2003, 54, 2601–2613. [Google Scholar] [CrossRef]
- Gustin, J.L.; Zanis, M.J.; Salt, D.E. Structure and evolution of the plant cation diffusion facilitator family of ion transporters. BMC Evol. Biol. 2011, 11, 76. [Google Scholar] [CrossRef] [Green Version]
- Migocka, M.; Kosieradzka, A.; Papierniak, A.; Maciaszczyk-Dziubinska, E.; Posyniak, E.; Garbiec, A.; Filleur, S. Two metal-tolerance proteins, MTP1 and MTP4, are involved in Zn homeostasis and Cd sequestration in cucumber cells. J. Exp. Bot. 2015, 66, 1001–1015. [Google Scholar] [CrossRef] [Green Version]
- Liu, J.; Gao, Y.; Tang, Y.; Wang, D.; Chen, X.; Yao, Y.; Guo, Y. Genome-wide identification, comprehensive gene feature, evolution, and expression analysis of plant metal tolerance proteins in tobacco under heavy metal toxicity. Front. Genet. 2019, 10, 345. [Google Scholar] [CrossRef] [PubMed]
- Montanini, B.; Blaudez, D.; Jeandroz, S.; Sanders, D.; Chalot, M. Phylogenetic and functional analysis of the cation diffusion facilitator (CDF) family: Improved signature and prediction of substrate specificity. BMC Genom. 2007, 8, 107. [Google Scholar] [CrossRef] [Green Version]
- Shirazi, Z.; Abedi, A.; Kordrostami, M.; Burritt, D.J.; Hossain, M.A.J.B. Genome-wide identification and characterization of the metal tolerance protein (MTP) family in grape (Vitis vinifera L.). 3 Biotech 2019, 9, 199. [Google Scholar] [CrossRef]
- Desbrosses-Fonrouge, A.-G.; Voigt, K.; Schröder, A.; Arrivault, S.; Thomine, S.; Krämer, U. Arabidopsis thaliana MTP1 is a Zn transporter in the vacuolar membrane which mediates Zn detoxification and drives leaf Zn accumulation. FEBS Lett. 2005, 579, 4165–4174. [Google Scholar] [CrossRef]
- Arrivault, S.; Senger, T.; Krämer, U. The Arabidopsis metal tolerance protein AtMTP3 maintains metal homeostasis by mediating Zn exclusion from the shoot under Fe deficiency and Zn oversupply. Plant J. 2006, 46, 861–879. [Google Scholar] [CrossRef] [PubMed]
- Delhaize, E.; Gruber, B.D.; Pittman, J.K.; White, R.G.; Leung, H.; Miao, Y.; Jiang, L.; Ryan, P.R.; Richardson, A.E. A role for the AtMTP11 gene of Arabidopsis in manganese transport and tolerance. Plant J. 2007, 51, 198–210. [Google Scholar] [CrossRef] [PubMed]
- Peiter, E.; Montanini, B.; Gobert, A.; Pedas, P.; Husted, S.; Maathuis, F.J.M.; Blaudez, D.; Chalot, M.; Sanders, D. A secretory pathway-localized cation diffusion facilitator confers plant manganese tolerance. Proc. Nat. Acad. Sci. USA 2007, 104, 8532–8537. [Google Scholar] [CrossRef] [PubMed] [Green Version]
- Fujiwara, T.; Kawachi, M.; Sato, Y.; Mori, H.; Kutsuna, N.; Hasezawa, S.; Maeshima, M. A high molecular mass zinc transporter MTP12 forms a functional heteromeric complex with MTP5 in the Golgi in Arabidopsis thaliana. FEBS J. 2015, 282, 1965–1979. [Google Scholar] [CrossRef]
- Topcu, H.; Degirmenci, I.; Sonmez, D.A.; Paizila, A.; Karci, H.; Kafkas, S.; Kafkas, E.; Ercisli, S.; Alatawi, A. Sugar, invertase enzyme activities and invertase gene expression in different developmental stages of strawberry fruits. Plants 2022, 11, 509. [Google Scholar] [CrossRef]
- Das, N.; Bhattacharya, S.; Maiti, M.K.J.P.P. Enhanced cadmium accumulation and tolerance in transgenic tobacco overexpressing rice metal tolerance protein gene OsMTP1 is promising for phytoremediation. Plant Physiol. Biochem. 2016, 105, 297–309. [Google Scholar] [CrossRef]
- Juric, S.; Vlahovicek-Kahlina, K.; Duralija, B.; Maslov Bandic, L.; Nekic, P.; Vincekovic, M. Stimulation of plant secondary metabolites synthesis in soilless cultivated strawberries (Fragaria × ananassa Duchesne) using zinc-alginate microparticles. Turk. J. Agric. For. 2021, 45, 324–334. [Google Scholar] [CrossRef]
- Kilic, N.; Burgut, A.; Gündesli, M.A.; Nogay, G.; Ercisli, S.; Kafkas, N.E.; Ekiert, H.; Elansary, H.O.; Szopa, A. The effect of organic, inorganic fertilizers and their combinations on fruit quality parameters in strawberry. Horticulturae 2021, 7, 354. [Google Scholar] [CrossRef]
- Tas, A.; Berk, S.K.; Orman, E.; Gundogdu, M.; Ercisli, S.; Karatas, N.; Jurikova, T.; Adamkova, A.; Nedomova, S.; Mlcek, J. Influence of pre-harvest gibberellic acid and post-harvest 1-Methyl Cyclopropane treatments on phenolic compounds, vitamin C and organic acid contents during the shelf life of strawberry fruits. Plants 2021, 10, 121. [Google Scholar] [CrossRef] [PubMed]
- Urün, I.; Attar, S.H.; Sönmez, D.A.; Gündeşli, M.A.; Ercişli, S.; Kafkas, N.E.; Bandić, L.M.; Duralija, B. Comparison of polyphenol, sugar, organic acid, volatile compounds, and antioxidant capacity of commercially grown strawberry cultivars in Turkey. Plants 2021, 10, 1654. [Google Scholar] [CrossRef] [PubMed]
- Haider, M.S.; Khan, N.; Pervaiz, T.; Zhongjie, L.; Nasim, M.; Jogaiah, S.; Mushtaq, N.; Jiu, S.; Jinggui, F. Genome-wide identification, evolution, and molecular characterization of the PP2C gene family in woodland strawberry. Gene 2019, 702, 27–35. [Google Scholar] [CrossRef]
- Jiu, S.; Haider, M.S.; Kurjogi, M.M.; Zhang, K.; Zhu, X.; Fang, J. Genome-wide characterization and expression analysis of sugar transporter family genes in woodland strawberry. Plant Genome 2018, 11, 170103. [Google Scholar] [CrossRef] [PubMed] [Green Version]
- Fierascu, R.C.; Temocico, G.; Fierascu, I.; Ortan, A.; Babeanu, N.E. Fragaria genus: Chemical composition and biological activities. Molecules 2020, 25, 498. [Google Scholar] [CrossRef] [PubMed] [Green Version]
- Bebek Markovinovic, A.; Putnik, P.; Duralija, B.; Krivohlavek, A.; Ivešic, M.; Mandic Andacic, I.; Palac Bešlic, I.; Pavlic, B.; Lorenzo, J.M.; Bursac Kovacevic, D. Chemometric valorization of strawberry (Fragaria × ananassa Duch.) cv. ‘Albion’ for the production of functional juice: The impact of physicochemical, toxicological, sensory, and bioactive value. Foods 2022, 11, 640. [Google Scholar] [CrossRef]
- Palma, G.; Freer, J.; Baeza, J. Removal of metal ions by modified Pinus radiata bark and tannins from water solutions. Water Res. 2003, 37, 4974–4980. [Google Scholar] [CrossRef]
- Muradoglu, F.; Gundogdu, M.; Ercisli, S.; Encu, T.; Balta, F.; Jaafar, H.Z.; Zia-Ul-Haq, M. Cadmium toxicity affects chlorophyll a and b content, antioxidant enzyme activities and mineral nutrient accumulation in strawberry. Biol. Res. 2015, 48, 1–7. [Google Scholar] [CrossRef] [Green Version]
- Treder, W.; Cieslinski, G. Cadmium uptake and distribution in strawberry plants as affected by its concentration in soil. J. Fruit Ornam. Plant Res. 2000, 8, 127–135. [Google Scholar]
- Migeon, A.; Blaudez, D.; Wilkins, O.; Montanini, B.; Campbell, M.M.; Richaud, P.; Thomine, S.; Chalot, M.J.C.; Sciences, M.L. Genome-wide analysis of plant metal transporters, with an emphasis on poplar. Cell. Mol. Life Sci. 2010, 67, 3763–3784. [Google Scholar] [CrossRef] [PubMed]
- Lee, K.; Bae, D.W.; Kim, S.H.; Han, H.J.; Liu, X.; Park, H.C.; Lim, C.O.; Lee, S.Y.; Chung, W.S. Comparative proteomic analysis of the short-term responses of rice roots and leaves to cadmium. J. Plant Physiol. 2010, 167, 161–168. [Google Scholar] [CrossRef] [PubMed]
- Xingzheng, F.; Yahua, T.; Xue, Z.; Lili, L.; Changpin, C.; Li, C.; Ming, Z.; Liangzhi, P. Genome-wide identification of sweet orange (Citrus sinensis) metal tolerance proteins and analysis of their expression patterns under zinc, manganese, copper, and cadmium toxicity. Gene 2017, 629, 1–8. [Google Scholar]
- Kolaj-Robin, O.; Russell, D.; Hayes, K.A.; Pembroke, J.T.; Soulimane, T. Cation diffusion facilitator family: Structure and function. FEBS Lett. 2015, 589, 1283–1295. [Google Scholar] [CrossRef]
- Sahin, U.; Anapali, O.; Ercisli, S. Physico-chemical and physical properties of some substrates used in horticulture. Gartenbauwissenschaft 2002, 67, 55–60. [Google Scholar]
- Nosek, M.; Kaczmarczyk, A.; Jędrzejczyk, R.J.; Supel, P.; Kaszycki, P.; Miszalski, Z. Expression of genes involved in heavy metal trafficking in plants exposed to salinity stress and elevated Cd concentrations. Plants 2020, 9, 475. [Google Scholar] [CrossRef] [Green Version]
- Lu, M.; Fu, D. Structure of the zinc transporter YiiP. Science 2007, 317, 1746–1748. [Google Scholar] [CrossRef] [Green Version]
- Ricachenevsky, F.K.; Menguer, P.K.; Sperotto, R.A.; Williams, L.E.; Fett, J.P. Roles of plant metal tolerance proteins (MTP) in metal storage and potential use in biofortification strategies. Front. Plant Sci. 2013, 4, 144. [Google Scholar] [CrossRef] [Green Version]
- Khan, N.; Fatima, F.; Haider, M.S.; Shazadee, H.; Liu, Z.; Zheng, T.; Fang, J. Genome-Wide identification and expression profiling of the Polygalacturonase (PG) and Pectin Methylesterase (PME) genes in grapevine (Vitis vinifera L.). Int. J. Mol. Sci. 2019, 20, 3180. [Google Scholar] [CrossRef] [Green Version]
- Vatansever, R.; Filiz, E.; Eroglu, S. Genome-wide exploration of metal tolerance protein (MTP) genes in common wheat (Triticum aestivum): Insights into metal homeostasis and biofortification. Biometals 2017, 30, 217–235. [Google Scholar] [CrossRef] [PubMed]
Publisher’s Note: MDPI stays neutral with regard to jurisdictional claims in published maps and institutional affiliations. |
© 2022 by the authors. Licensee MDPI, Basel, Switzerland. This article is an open access article distributed under the terms and conditions of the Creative Commons Attribution (CC BY) license (https://creativecommons.org/licenses/by/4.0/).