Airborne Plasmopara viticola Sporangia: A Study of Vineyards in Two Bioclimatic Regions of Northwestern Spain
Abstract
1. Introduction
2. Materials and Methods
2.1. Location and Climatic Characteristics of the Study Area
2.2. Phenological and Aerobiological Study
2.3. Meteorological Data
- Kcu = Currey index;
- Am = thermal amplitude;
- ϕ = latitude.
2.4. Statistical Analysis
3. Results
3.1. Grapevine Phenology Cycle and P. viticola Concentrations
3.2. Meteorological Parameters During the Study
3.3. Meteorological Influence on P. viticola Sporangia
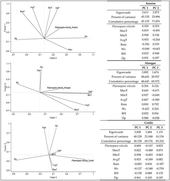
3.4. Principal Component Analysis
4. Discussion
5. Conclusions
Supplementary Materials
Author Contributions
Funding
Data Availability Statement
Acknowledgments
Conflicts of Interest
References
- Alston, J.M.; Sambucci, O. Grapes in the World Economy. In The Grape Genome; Cantu, D., Walker, M.A., Eds.; Springer: Cham, Switzerland, 2019; pp. 1–24. [Google Scholar]
- Fraga, H. Viticulture and Winemaking under Climate Change. Agronomy 2019, 9, 783. [Google Scholar] [CrossRef]
- INFOVI. Información Del Sector Vitivinícola. Available online: https://www.mapa.gob.es/es/agricultura/temas/producciones-agricolas/vitivinicultura/ (accessed on 10 December 2024).
- Organización Interprofesional del Vino de España (OIVE). La Relevancia Económica Del Sector Vitivinícola en Galicia; Organización Interprofesional del Vino de España (OIVE): Madrid, Spain, 2023. [Google Scholar]
- Fernández-González, M.; Rodríguez-Rajo, F.J.; Jato, V.; Aira, M.J. Incidence of Fungals in a Vineyard of the Denomination of Origin Ribeiro (Ourense-North-Western Spain). Ann. Agric. Environ. Med. 2009, 16, 263–271. [Google Scholar] [PubMed]
- Rhouma, A.; Hajji-Hedfi, L.; Atallaoui, K.; Chihani-Hammas, N.; Godwin Okon, O. Biology, Diversity, Detection and Management of Plasmopara viticola Causing Downy Mildew of Grapevine (Vitis spp.). Asian J. Mycol. 2024, 7, 37–50. [Google Scholar]
- Clippinger, J.I.; Dobry, E.P.; Laffan, I.; Zorbas, N.; Hed, B.; Campbell, M.A. Traditional and Emerging Approaches for Disease Management of Plasmopara viticola, Causal Agent of Downy Mildew of Grape. Agriculture 2024, 14, 406. [Google Scholar] [CrossRef]
- Caffi, T.; Legler, S.E.; González-Domínguez, E.; Rossi, V. Effect of Temperature and Wetness Duration on Infection by Plasmopara viticola and on Post-Inoculation Efficacy of Copper. Eur. J. Plant Pathol. 2016, 144, 737–750. [Google Scholar] [CrossRef]
- Rumbou, A.; Gessler, C. Genetic Dissection of Plasmopara viticola Population from a Greek Vineyard in Two Consecutive Years. Eur. J. Plant Pathol. 2004, 110, 379–392. [Google Scholar] [CrossRef]
- Mycobank. Fungal Databases, Nomenclature & Species Banks. Available online: https://www.mycobank.org/ (accessed on 11 December 2024).
- Valleggi, L.; Carella, G.; Perria, R.; Mugnai, L.; Stefanini, F.M. A Bayesian Model for Control Strategy Selection against Plasmopara viticola Infections. Front. Plant Sci. 2023, 14, 1117498. [Google Scholar] [CrossRef] [PubMed]
- Armijo, G.; Schlechter, R.; Agurto, M.; Muñoz, D.; Nuñez, C.; Arce-Johnson, P. Grapevine Pathogenic Microorganisms: Understanding Infection Strategies and Host Response Scenarios. Front. Plant Sci. 2016, 7, 382. [Google Scholar] [CrossRef] [PubMed]
- Boso, S.; Alonso-Villaverde, V.; Gago, P.; Santiago, J.L.; Martínez, M.C. Susceptibility to Downy Mildew (Plasmopara viticola) of Different Vitis Varieties. Crop Prot. 2014, 63, 26–35. [Google Scholar] [CrossRef]
- Gaforio, L.; Cabello, F.; Muñoz Organero, G. Evaluation of Resistance to Downy Mildew in Grape Varieties Grown in a Spanish Collection. Vitis J. Grapevine Res. 2015, 54, 187–191. [Google Scholar]
- Gouveia, C.; Santos, R.B.; Paiva-Silva, C.; Buchholz, G.; Malhó, R.; Figueiredo, A. The Pathogenicity of Plasmopara viticola: A Review of Evolutionary Dynamics, Infection Strategies and Effector Molecules. BMC Plant Biol. 2024, 24, 327. [Google Scholar] [CrossRef]
- Puelles, M.; Arbizu-Milagro, J.; Castillo-Ruiz, F.J.; Peña, J.M. Predictive Models for Grape Downy Mildew (Plasmopara viticola) as a Decision Support System in Mediterranean Conditions. Crop Prot. 2024, 175, 106450. [Google Scholar] [CrossRef]
- Ortega Rioja, P. Assessment of Different Strategies to Reduce Environmental Fungicide. Ph.D. Thesis, Universitat Politècnica de Catalunya, Barcelona, Spain, 2024. [Google Scholar]
- Silva, V.; Mol, H.G.J.; Zomer, P.; Tienstra, M.; Ritsema, C.J.; Geissen, V. Pesticide Residues in European Agricultural Soils—A Hidden Reality Unfolded. Sci. Total Environ. 2019, 653, 1532–1545. [Google Scholar] [CrossRef] [PubMed]
- Llamazares De Miguel, D.; Mena-Petite, A.; Díez-Navajas, A.M. Toxicity and Preventive Activity of Chitosan, Equisetum arvense, Lecithin and Salix Cortex Against Plasmopara viticola, the Causal Agent of Downy Mildew in Grapevine. Agronomy 2022, 12, 3139. [Google Scholar] [CrossRef]
- Pertot, I.; Caffi, T.; Rossi, V.; Mugnai, L.; Hoffmann, C.; Grando, M.S.; Gary, C.; Lafond, D.; Duso, C.; Thiery, D.; et al. A Critical Review of Plant Protection Tools for Reducing Pesticide Use on Grapevine and New Perspectives for the Implementation of IPM in Viticulture. Crop Prot. 2017, 97, 70–84. [Google Scholar] [CrossRef]
- Fernandes de Oliveira, A.; Serra, S.; Ligios, V.; Satta, D.; Nieddu, G. Assessing the Effects of Vineyard Soil Management on Downy and Powdery Mildew Development. Horticulturae 2021, 7, 209. [Google Scholar] [CrossRef]
- Mesguida, O.; Haidar, R.; Yacoub, A.; Dreux-Zigha, A.; Berthon, J.Y.; Guyoneaud, R.; Attard, E.; Rey, P. Microbial Biological Control of Fungi Associated with Grapevine Trunk Diseases: A Review of Strain Diversity, Modes of Action, and Advantages and Limits of Current Strategies. J. Fungi 2023, 9, 638. [Google Scholar] [CrossRef]
- Hasanaliyeva, G.; Si Ammour, M.; Yaseen, T.; Rossi, V.; Caffi, T. Innovations in Disease Detection and Forecasting: A Digital Roadmap for Sustainable Management of Fruit and Foliar Disease. Agronomy 2022, 12, 1707. [Google Scholar] [CrossRef]
- Hui, W.; Shuyi, Y.; Wei, Z.; Junbo, P.; Haiyun, T.; Chunhao, L.; Jiye, Y. Modeling the Dynamic Changes in Plasmopara viticola Sporangia Concentration Based on LSTM and Understanding the Impact of Relative Factor Variability. Int. J. Biometeorol. 2023, 67, 993–1002. [Google Scholar] [CrossRef] [PubMed]
- Martínez-Bracero, M.; González-Fernández, E.; Wójcik, M.; Alcázar, P.; Fernández-González, M.; Kasprzyk, I.; Rodríguez-Rajo, F.J.; Galán, C. Airborne Fungal Phytopathological Spore Assessment in Three European Vineyards from Different Bioclimatic Areas. Aerobiologia 2020, 36, 715–729. [Google Scholar] [CrossRef]
- Rodríguez, J.A.C.; Fernández-González, E.; Fernández-González, M.; Vázquez-Ruiz, R.A.; Aira, M.J. Fungal Diseases in Two North-West Spain Vineyards: Relationship with Meteorological Conditions and Predictive Aerobiological Model. Agronomy 2020, 10, 219. [Google Scholar] [CrossRef]
- Fernández-González, M.; Piña-Rey, A.; González-Fernández, E.; Aira, M.J.; Rodriguez-Rajo, F.J. First Assessment of Goidanich Index and Aerobiological Data for Plasmopara viticola Infection Risk Management in North-West Spain. J. Agric. Sci. 2019, 157, 129–139. [Google Scholar] [CrossRef]
- Blanco-Ward, D.; García Queijeiro, J.M.; Jones, G.V. Spatial Climate Variability and Viticulture in the Miño River Valley of Spain. Vitis J. Grapevine Res. 2007, 46, 63. [Google Scholar]
- Lorenzo, M.N.; Taboada, J.J.; Lorenzo, J.F.; Ramos, A.M. Influence of Climate on Grape Production and Wine Quality in the Rías Baixas, North-Western Spain. Reg. Environ. Change 2013, 13, 887–896. [Google Scholar] [CrossRef]
- Fernández-González, M.; Lara, B.; González-Fernández, E.; Rojo, J.; Pérez-Badia, R.; Rodríguez-Rajo, F.J. Pinus Pollen Emission Patterns in Different Bioclimatic Areas of the Iberian Peninsula. Forests 2021, 12, 688. [Google Scholar] [CrossRef]
- Meier, U. Growth Stages of Mono and Dicotyledonous Plants. In BBCH Monograph, 2nd ed.; Federal Biological Research Centre for Agriculture and Forestry: Bonn, Germany, 2001; ISBN 9783955470715. [Google Scholar]
- Hirst, J.M. An Automatic Volumetric Spore Trap. Ann. Appl. Biol. 1952, 39, 257–265. [Google Scholar] [CrossRef]
- Galán, C.; Cariñanos, P.; Alcázar, P.; Domínguez, E. Manual de Calidad y Gestión de La Red Española de Aerobiología; Servicio de Publicaciones de la Universidad de Córdoba: Córdoba, Spain, 2007; ISBN 9788469063545. [Google Scholar]
- Galán, C.; Ariatti, A.; Bonini, M.; Clot, B.; Crouzy, B.; Dahl, A.; Fernandez-González, D.; Frenguelli, G.; Gehrig, R.; Isard, S.; et al. Recommended Terminology for Aerobiological Studies. Aerobiologia 2017, 33, 293–295. [Google Scholar] [CrossRef]
- Currey, D.R. Continentality of Extratropical Climates. Ann. Assoc. Am. Geogr. 1974, 64, 268–280. [Google Scholar] [CrossRef]
- Mariani, L.; Failla, O.; Dal Monte, G.; Facchinetti, D. IPHEN: A Model for Real Time Production of Grapevine Phenological Maps. In Proceedings of the Climate and Viticulture Congress, Zaragoza, Spain, 10–14 July 2007; pp. 272–278. [Google Scholar]
- Verdugo-Vásquez, N.; Acevedo-Opazo, C.; Valdés-Gómez, H.; Araya-Alman, M.; Ingram, B.; García de Cortázar-Atauri, I.; Tisseyre, B. Spatial Variability of Phenology in Two Irrigated Grapevine Cultivar Growing Under Semi-Arid Conditions. Precis. Agric. 2016, 17, 218–245. [Google Scholar] [CrossRef]
- Cortiñas, J.A.; Fernández-González, M.; Vázquez-Ruiz, R.A.; Aira, M.J.; Rodríguez-Rajo, F.J. The Understanding of Phytopathogens as a Tool in the Conservation of Heroic Viticulture Areas. Aerobiologia 2022, 38, 177–193. [Google Scholar] [CrossRef]
- Santos, J.A.; Malheiro, A.C.; Karremann, M.K.; Pinto, J.G. Statistical Modelling of Grapevine Yield in the Port Wine Region under Present and Future Climate Conditions. Int. J. Biometeorol. 2011, 55, 119–131. [Google Scholar] [CrossRef] [PubMed]
- Vasylenko, O.; Kondratenko, T.; Havryliuk, O.; Andrusyk, Y.; Kutovenko, V.; Dmytrenko, Y.; Grevtseva, N.; Marchyshyna, Y. The Study of the Productivity Potential of Grape Varieties According to the Indicator of Functional Activity of Leaves. Slovak J. Food Sci. 2021, 15, 639–647. [Google Scholar] [CrossRef] [PubMed]
- Parker, A.; de Cortázar-Atauri, I.G.; Chuine, I.; Barbeau, G.; Bois, B.; Boursiquot, J.M.; Cahurel, J.Y.; Claverie, M.; Dufourcq, T.; Gény, L.; et al. Classification of Varieties for Their Timing of Flowering and Veraison Using a Modelling Approach: A Case Study for the Grapevine Species Vitis vinifera L. Agric. For. Meteorol. 2013, 180, 249–264. [Google Scholar] [CrossRef]
- Leeuwen, C.; Van Barbe, J.; Garbay, J.; Gowdy, M.; Lytra, G.; Plantevin, M.; Pons, A.; Thibon, C. La Madurez Aromática Puede Ser El Tipo de Madurez Con Mayor Impacto En La Tipicidad Del Vino Tinto. Parte II: Factores Del Terroir y Prácticas de Manejo Que Afectan La Madurez Aromática; IVES Technical Reviews, Viña & Vino: Villenave d’Ornon, France, 2023; pp. 1–2. [Google Scholar]
- Agrios, G.N. Plant Pathology, 3rd ed.; Academic Press: New York, NY, USA, 2012. [Google Scholar]
- Gessler, C.; Pertot, I.; Perazzolli, M. Plasmopara viticola: A Review of Knowledge on Downy Mildew of Grapevine and Effective Disease Management. Phytopathol. Mediterr. 2011, 50, 3–44. [Google Scholar]
- Boso, S.; Gago, P.; Santiago, J.L.; Fuente, M.D.; La Martínez, M.C. Factors Affecting the Vineyard Populational Diversity of Plasmopara viticola. Plant Pathol. J. 2019, 35, 125–136. [Google Scholar] [CrossRef] [PubMed]
- Fernández-González, M.; Escuredo, O.; Rodríguez-Rajo, F.J.; Aira, M.J.; Jato, V. Prediction of Grape Production by Grapevine Cultivar Godello in North-West Spain. J. Agric. Sci. 2011, 149, 725–736. [Google Scholar] [CrossRef]
- Kennelly, M.M.; Gadoury, D.M.; Wilcox, W.F.; Magarey, P.A.; Seem, R.C. Primary Infection, Lesion Productivity, and Survival of Sporangia in the Grapevine Downy Mildew Pathogen Plasmopara viticola. Phytopathology 2007, 97, 512–522. [Google Scholar] [CrossRef] [PubMed]
- Hong, C.F.; Scherm, H. A Spectrophotometric Approach for Determining Sporangium and Zoospore Viability of Plasmopara viticola. J. Phytopathol. 2020, 168, 297–302. [Google Scholar] [CrossRef]
- Martínez-Bracero, M.; Alcázar, P.; Velasco-Jiménez, M.J.; Galán, C. Fungal Spores Affecting Vineyards in Montilla-Moriles Southern Spain. Eur. J. Plant Pathol. 2019, 153, 1–13. [Google Scholar] [CrossRef]
- Caffi, T.; Legler, S.E.; Rossi, V.; Bugiani, R. Evaluation of a Warning System for Early-Season Control of Grapevine Powdery Mildew. Plant Dis. 2012, 96, 104–110. [Google Scholar] [CrossRef]
- Magyar, D.; Frenguelli, G.; Bricchi, E.; Tedeschini, E.; Csontos, P.; Li, D.W.; Bobvos, J. The Biodiversity of Air Spora in an Italian Vineyard. Aerobiologia 2009, 25, 99–109. [Google Scholar] [CrossRef]
- Albelda, Y.; Rodríguez-Rajo, F.J.; Jato, V.; Aira, M.J. Concentraciones Atmosfericas De Propagulos Fungicos En Viñedos Del Ribeiro (Galicia, España). Boletín Micológico 2005, 20, 1–8. [Google Scholar] [CrossRef]
- Roy, S.; Gupta Bhattacharya, S. Airborne Fungal Spore Concentration in an Industrial Township: Distribution and Relation with Meteorological Parameters. Aerobiologia 2020, 36, 575–587. [Google Scholar] [CrossRef]
- Dagostin, S.; Schärer, H.J.; Pertot, I.; Tamm, L. Are There Alternatives to Copper for Controlling Grapevine Downy Mildew in Organic Viticulture? Crop Prot. 2011, 30, 776–788. [Google Scholar] [CrossRef]
- De La Fuente, M.; Fernández-Calviño, D.; Tylkowski, B.; MMontornes, J.; Olkiewicz, M.; Pereira, R.; Cachada, A.; Caffi, T.; Fedele, G.; De Herralde, F. Alternatives to Cu Applications in Viticulture: How R&D Projects Can Provide Applied Solutions, Helping to Establish Legislation Limits. In Grapes and Wine; IntechOpen: London, UK, 2022. [Google Scholar] [CrossRef]
- Komárek, M.; Čadková, E.; Chrastný, V.; Bordas, F.; Bollinger, J.C. Contamination of Vineyard Soils with Fungicides: A Review of Environmental and Toxicological Aspects. Environ. Int. 2010, 36, 138–151. [Google Scholar] [CrossRef] [PubMed]




| Study Period | |||
|---|---|---|---|
| Vineyard | Areeiro | Alongos | Cenlle |
| Start date 2023 | 24 March | 28 March | 14 March |
| Duration (days) | 167 | 142 | 173 |
| Harvest | 7 September | 17 August | 3 September |
| Start date 2024 | 13 March | 19 March | 12 March |
| Duration (days) | 182 | 168 | 181 |
| Harvest | 11 September | 3 September | 9 September |
| 2023 | 2024 | |||||
|---|---|---|---|---|---|---|
| Start Date | SSIn | Peak | Start Date | SSIn | Peak | |
| Areeiro | ||||||
| PS 0 | 24 March | 14 | 5 | 13 March | 21 | 5 |
| PS 1 | 2 April | 30 | 4 | 2 April | 57 | 23 |
| PS 5 | 19 April | 1013 | 205 | 17 April | 1149 | 484 |
| PS 6 | 18 May | 20,925 | 5604 | 28 May | 3811 | 629 |
| PS 7 | 7 June | 22,002 | 1474 | 10 June | 13,333 | 1158 |
| PS 8 | 26 July | 9463 | 1028 | 30 July | 15,241 | 1402 |
| Total | 53,447 | 33,612 | ||||
| Alongos | ||||||
| PS 0 | 28 March | 14 | 13 | 13 March | 85 | 25 |
| PS 1 | 3 April | 31 | 5 | 31 March | 166 | 43 |
| PS 5 | 16 April | 85 | 9 | 15 April | 205 | 22 |
| PS 6 | 13 May | 11 | 4 | 26 May | 83 | 11 |
| PS 7 | 30 May | 1854 | 455 | 7 June | 587 | 117 |
| PS 8 | 19 July | 490 | 67 | 21 July | 196 | 56 |
| Total | 2483 | 1321 | ||||
| Cenlle | ||||||
| PS 0 | 14 March | 109 | 22 | 12 March | 120 | 18 |
| PS 1 | 5 April | 110 | 48 | 5 April | 89 | 16 |
| PS 5 | 22 April | 168 | 23 | 20 April | 57 | 5 |
| PS 6 | 20 May | 23 | 5 | 31 May | 39 | 5 |
| PS 7 | 7 June | 808 | 110 | 13 June | 110 | 22 |
| PS 8 | 25 July | 364 | 83 | 23 July | 48 | 5 |
| Total | 1581 | 462 | ||||
| MaxT | MinT | AvgT | RH | Dp | Ws | Rain | ||
|---|---|---|---|---|---|---|---|---|
| Areeiro | 2023 | 23.87 | 13.39 | 18.07 | 83.53 | 14.43 | 3.55 | 360.60 |
| 2024 | 23.10 | 12.43 | 17.12 | 83.19 | 13.41 | 3.82 | 589.80 | |
| Alongos | 2023 | 27.50 | 11.86 | 19.11 | 69.22 | 12.47 | 0.54 | 204.20 |
| 2024 | 26.88 | 11.76 | 18.60 | 71.37 | 12.52 | 0.68 | 290.20 | |
| Cenlle | 2023 | 26.20 | 12.16 | 18.35 | 74.50 | 12.95 | 1.05 | 255.00 |
| 2024 | 26.06 | 11.62 | 17.84 | 75.27 | 12.66 | 2.30 | 321.30 |
| Areeiro | Alongos | Cenlle | ||||
|---|---|---|---|---|---|---|
| 2023 | 2024 | 2023 | 2024 | 2023 | 2024 | |
| MaxT | 0.433 ** | 0.498 ** | 0.467 ** | −0.277 ** | 0.289 ** | −0.229 ** |
| MaxT_5 | MaxT_7 | MaxT | MaxT_3 | MaxT | MaxT_5 | |
| MinT | 0.604 ** | 0.618 ** | 0.544 ** | −0.250 ** | 0.288 ** | −0.199 * |
| MinT_1 | MinT_7 | MinT_7 | MinT_7 | MinT_1 | MinT_3 | |
| AvgT | 0.559 ** | 0.626 ** | 0.627 ** | −0.278 ** | 0.347 ** | −0.222 ** |
| AvgT_4 | AvgT_7 | AvgT | AvgT_3 | AvgT | AvgT_5 | |
| Rain | −0.318 ** | −0.224 ** | 0.249 ** | −0.203 ** | 0.202 * | |
| Rain_7 | Rain | Rain_2 | Rain | Rain_7 | ||
| RH | 0.314 ** | −0.158 * | 0.194 * | 0.243 ** | 0.200 ** | 0.222 ** |
| RH_1 | RH_3 | RH_7 | RH_1 | RH_1 | RH_7 | |
| Dp | 0.677 ** | 0.632 ** | 0.603 ** | −0.243 ** | 0.361 ** | −0.170 * |
| Dp_1 | Dp_7 | Dp_7 | Dp_3 | Dp_1 | Dp_3 | |
| Ws | −0.192 * | 0.243 ** | −0.396 ** | 0.216 ** | −0.308 ** | |
| Ws_1 | Ws_4 | Ws_7 | Ws_5 | Ws_1 | ||
Disclaimer/Publisher’s Note: The statements, opinions and data contained in all publications are solely those of the individual author(s) and contributor(s) and not of MDPI and/or the editor(s). MDPI and/or the editor(s) disclaim responsibility for any injury to people or property resulting from any ideas, methods, instructions or products referred to in the content. |
© 2025 by the authors. Licensee MDPI, Basel, Switzerland. This article is an open access article distributed under the terms and conditions of the Creative Commons Attribution (CC BY) license (https://creativecommons.org/licenses/by/4.0/).
Share and Cite
Carrera, L.; Fernández-González, M.; Aira, M.J.; Espinosa, K.C.S.; Otero, R.P.; Rodríguez-Rajo, F.J. Airborne Plasmopara viticola Sporangia: A Study of Vineyards in Two Bioclimatic Regions of Northwestern Spain. Horticulturae 2025, 11, 228. https://doi.org/10.3390/horticulturae11030228
Carrera L, Fernández-González M, Aira MJ, Espinosa KCS, Otero RP, Rodríguez-Rajo FJ. Airborne Plasmopara viticola Sporangia: A Study of Vineyards in Two Bioclimatic Regions of Northwestern Spain. Horticulturae. 2025; 11(3):228. https://doi.org/10.3390/horticulturae11030228
Chicago/Turabian StyleCarrera, Lucía, María Fernández-González, María Jesús Aira, Kenia C. Sánchez Espinosa, Rosa Pérez Otero, and Francisco Javier Rodríguez-Rajo. 2025. "Airborne Plasmopara viticola Sporangia: A Study of Vineyards in Two Bioclimatic Regions of Northwestern Spain" Horticulturae 11, no. 3: 228. https://doi.org/10.3390/horticulturae11030228
APA StyleCarrera, L., Fernández-González, M., Aira, M. J., Espinosa, K. C. S., Otero, R. P., & Rodríguez-Rajo, F. J. (2025). Airborne Plasmopara viticola Sporangia: A Study of Vineyards in Two Bioclimatic Regions of Northwestern Spain. Horticulturae, 11(3), 228. https://doi.org/10.3390/horticulturae11030228

