Co-Fermentation of Glucose–Xylose–Cellobiose–XOS Mixtures Using a Synthetic Consortium of Recombinant Saccharomyces cerevisiae Strains
Abstract
:1. Introduction
2. Materials and Methods
2.1. Microbial Strains and Media
2.2. Stress Tolerance Assays
2.3. Construction of Plasmids and Integrating Fragments
2.4. Determination of Intracellular Trehalose Content
2.5. Determination of the Ratio of Reduced GSH (Glutathione) to Oxidized GSH (GSSG)
2.6. Assays of β-Glucosidase and β-Xylosidase Activity
2.7. Oxygen-Limited Growth and Fermentation
2.8. Analysis of Hydrolysis and Fermentation Products
3. Results
3.1. Evaluation of Industrial S. cerevisiae Strains as the Chassis Cell for the Synthetic Consortium
3.1.1. Collection of S. cerevisiae Strains
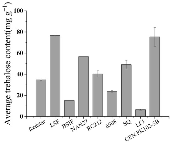
3.1.2. Intracellular Trehalose Content of S. cerevisiae Strains
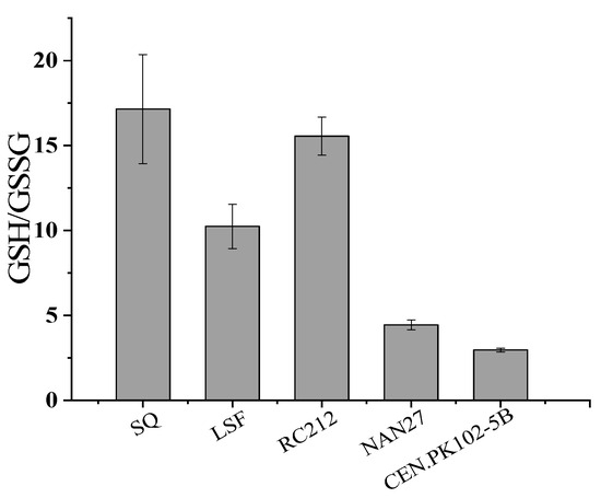
3.1.3. Determination of the Ratio of the Two Forms of Glutathione (GSH:GSSG)
3.1.4. Evaluation of Tolerance of S. cerevisiae Strains to Individual Stress Factors
3.2. Construction of BLN26 with β-Glucosidase and β-Xylosidase Expression Activity
3.3. Oxygen-Limited Fermentation of BLN26 and a Binary Synthetic Consortium
3.3.1. Fermentation of BLN26 with the Mixture of Glucose–Cellobiose or Glucose–XOS
3.3.2. Fermentation of Binary Synthetic Consortium with the Mixture of Glucose–Xylose–Cellobiose
3.3.3. Fermentation of Binary Synthetic Consortium with the Mixture of Glucose–Xylose–Cellobiose–XOS
3.3.4. Fermentation of Binary Synthetic Consortium with the Mixture of Glucose–Xylose-Cellobiose–XOSpre
3.4. Oxygen-Limited Fermentation of a Ternary Synthetic Consortium with the Mixture of Glucose–Xylose–Cellobiose–XOSpre
4. Discussion
Supplementary Materials
Author Contributions
Funding
Institutional Review Board Statement
Informed Consent Statement
Data Availability Statement
Conflicts of Interest
References
- Chu, S.; Majumdar, A. Opportunities and challenges for a sustainable energy future. Nature 2012, 488, 294–303. [Google Scholar] [CrossRef]
- Hassan, S.S.; Williams, G.A.; Jaiswal, A.K. Moving towards the second generation of lignocellulosic biorefineries in the EU: Drivers, challenges, and opportunities. Renew. Sustain. Energy Rev. 2019, 101, 590–599. [Google Scholar] [CrossRef]
- Latimer, L.N.; Lee, M.E.; Medina-Cleghorn, D.; Kohnz, R.A.; Nomura, D.K.; Dueber, J.E. Employing a combinatorial expression approach to characterize xylose utilization in Saccharomyces cerevisiae. Metab. Eng. 2014, 25, 20–29. [Google Scholar] [CrossRef] [PubMed]
- Gao, M.; Ploessl, D.; Shao, Z. Enhancing the Co-utilization of Biomass-Derived Mixed Sugars by Yeasts. Front. Microbiol. 2018, 9, 3264. [Google Scholar] [CrossRef] [PubMed]
- Wei, F.; Li, M.; Wang, M.; Li, H.; Li, Z.; Qin, W.; Wei, T.; Zhao, J.; Bao, X. A C6/C5 co-fermenting Saccharomyces cerevisiae strain with the alleviation of antagonism between xylose utilization and robustness. GCB Bioenergy 2020, 13, 83–97. [Google Scholar] [CrossRef]
- Betts, W.B. Biodegradation: Natural and Synthetic Materials; Springer Science & Business Media: London, UK, 2012. [Google Scholar]
- Carriquiry, M.A.; Du, X.; Timilsina, G.R. Second generation biofuels: Economics and policies. Energy Policy 2011, 39, 4222–4234. [Google Scholar] [CrossRef]
- Saha, B.C. Hemicellulose bioconversion. J. Ind. Microbiol. Biotechnol. 2003, 30, 279–291. [Google Scholar] [CrossRef] [PubMed]
- Chen, Y.; Wu, Y.; Zhu, B.; Zhang, G.; Wei, N. Co-fermentation of cellobiose and xylose by mixed culture of recombinant Saccharomyces cerevisiae and kinetic modeling. PLoS ONE 2018, 13, e0199104. [Google Scholar] [CrossRef] [PubMed]
- Gurgu, L.; Lafraya, A.; Polaina, J.; Marin-Navarro, J. Fermentation of cellobiose to ethanol by industrial Saccharomyces strains carrying the beta-glucosidase gene (BGL1) from Saccharomycopsis fibuligera. Bioresour. Technol. 2011, 102, 5229–5236. [Google Scholar] [CrossRef]
- Nagar, S.; Gupta, V.K.; Kumar, D.; Kumar, L.; Kuhad, R.C. Production and optimization of cellulase-free, alkali-stable xylanase by Bacillus pumilus SV-85S in submerged fermentation. J. Ind. Microbiol. Biotechnol. 2010, 37, 71–83. [Google Scholar] [CrossRef] [PubMed]
- Tang, H.; Hou, J.; Shen, Y.; Xu, L.; Yang, H.; Fang, X.; Bao, X. High β-glucosidase secretion in Saccharomyces cerevisiae improves the efficiency of cellulase hydrolysis and ethanol production in simultaneous saccharification and fermentation. J. Microbiol. Biotechnol. 2013, 23, 1577–1585. [Google Scholar] [CrossRef] [PubMed]
- Mert, M.J.; la Grange, D.C.; Rose, S.H.; van Zyl, W.H. Engineering of Saccharomyces cerevisiae to utilize xylan as a sole carbohydrate source by co-expression of an endoxylanase, xylosidase and a bacterial xylose isomerase. J. Ind. Microbiol. Biotechnol. 2016, 43, 431–440. [Google Scholar] [CrossRef] [PubMed]
- Wang, C.; Lu, X.; Gao, J.; Li, X.; Zhao, J. Xylo-oligosaccharides Inhibit Enzymatic Hydrolysis by Influencing Enzymatic Activity of Cellulase from Penicillium oxalicum. Energy Fuels 2018, 32, 9427–9437. [Google Scholar] [CrossRef]
- Jojima, T.; Omumasaba, C.A.; Inui, M.; Yukawa, H. Sugar transporters in efficient utilization of mixed sugar substrates: Current knowledge and outlook. Appl. Microbiol. Biotechnol. 2010, 85, 471–480. [Google Scholar] [CrossRef] [PubMed]
- Li, H.; Shen, Y.; Wu, M.; Hou, J.; Jiao, C.; Li, Z.; Liu, X.; Bao, X. Engineering a wild-type diploid Saccharomyces cerevisiae strain for second-generation bioethanol production. Bioresour. Bioprocess. 2016, 3, 51. [Google Scholar] [CrossRef]
- Wu, M.; Li, H.; Wei, S.; Wu, H.; Wu, X.; Bao, X.; Hou, J.; Liu, W.; Shen, Y. Simulating Extracellular Glucose Signals Enhances Xylose Metabolism in Recombinant Saccharomyces cerevisiae. Microorganisms 2020, 8, 100. [Google Scholar] [CrossRef] [PubMed]
- Wei, S.; Bai, P.; Liu, Y.; Yang, M.; Ma, J.; Hou, J.; Liu, W.; Bao, X.; Shen, Y. A Thi2p Regulatory Network Controls the Post-glucose Effect of Xylose Utilization in Saccharomyces cerevisiae. Front. Microbiol. 2019, 10, 1649. [Google Scholar] [CrossRef]
- Tang, R.; Ye, P.; Alper, H.S.; Liu, Z.; Zhao, X.; Bai, F. Identification and characterization of novel xylose isomerases from a Bos taurus fecal metagenome. Appl. Microbiol. Biotechnol. 2019, 103, 9465–9477. [Google Scholar] [CrossRef]
- Liu, T.; Huang, S.; Geng, A. Recombinant Diploid Saccharomyces cerevisiae Strain Development for Rapid Glucose and Xylose Co-Fermentation. Fermentation 2018, 4, 59. [Google Scholar] [CrossRef]
- Niu, Y.; Wu, L.; Shen, Y.; Zhao, J.; Zhang, J.; Yi, Y.; Li, H.; Bao, X. Coexpression of β-xylosidase and xylose isomerase in Saccharomyces cerevisiae improves the efficiency of saccharification and fermentation from xylo-oligosaccharides. Cellulose 2019, 26, 7923–7937. [Google Scholar] [CrossRef]
- Ha, S.-J.; Galazka, J.M.; Kim, S.R.; Choi, J.-H.; Yang, X.; Seo, J.-H.; Glass, N.L.; Cate, J.H.D.; Jin, Y.-S. Engineered Saccharomyces cerevisiae capable of simultaneous cellobiose and xylose fermentation. Proc. Natl. Acad. Sci. USA 2011, 108, 504–509. [Google Scholar] [CrossRef] [PubMed]
- Zhang, Y.; Xu, Z.; Lu, M.; Ding, B.; Chen, S.; Wen, Z.; Yu, Y.; Zhou, L.; Jin, M. Rapid evolution and mechanism elucidation for efficient cellobiose-utilizing Saccharomyces cerevisiae through Synthetic Chromosome Rearrangement and Modification by LoxPsym-mediated Evolution. Bioresour. Technol. 2022, 256, 127268. [Google Scholar] [CrossRef] [PubMed]
- Kruger, F.; den Haan, R. Surface tethered xylosidase activity improved xylan conversion in engineered strains of Saccharomyces cerevisiae. J. Chem. Technol. Biotechnol. 2022, 97, 1099–1111. [Google Scholar] [CrossRef]
- Saitoh, S.; Tanaka, T.; Kondo, A. Co-fermentation of cellulose/xylan using engineered industrial yeast strain OC-2 displaying both β-glucosidase and β-xylosidase. Appl. Microbiol. Biotechnol. 2011, 91, 1553–1559. [Google Scholar] [CrossRef]
- Verhoeven, M.D.; de Valk, S.C.; Daran, J.-M.G.; van Maris, A.J.A.; Pronk, J.T. Fermentation of glucose-xylose-arabinose mixtures by a synthetic consortium of single-sugar-fermenting Saccharomyces cerevisiae strains. FEMS Yeast Res. 2018, 18, foy075. [Google Scholar] [CrossRef]
- Perez, C.L.; Milessi, T.S.; Sandri, J.P.; Ramos, M.D.N.; Carvalho, B.T.; Claes, A.; Demeke, M.M.; Thevelein, J.M.; Zangirolami, T.C. Evaluation of Consolidated Bioprocessing of Sugarcane Biomass by a Multiple Hydrolytic Enzyme Producer Saccharomyces Yeast. BioEnergy Res. 2023. [Google Scholar] [CrossRef]
- Mans, R.; Daran, J.-M.G.; Pronk, J.T. Under pressure: Evolutionary engineering of yeast strains for improved performance in fuels and chemicals production. Curr. Opin. Biotechnol. 2018, 50, 47–56. [Google Scholar] [CrossRef]
- Wisselink, H.W.; Toirkens, M.J.; Wu, Q.; Pronk, J.T.; van Maris, A.J. Novel evolutionary engineering approach for accelerated utilization of glucose, xylose, and arabinose mixtures by engineered Saccharomyces cerevisiae strains. Appl. Environ. Microbiol. 2009, 75, 907–914. [Google Scholar] [CrossRef]
- Brenner, K.; You, L.; Arnold, F.H. Engineering microbial consortia: A new frontier in synthetic biology. Trends Biotechnol. 2008, 26, 483–489. [Google Scholar] [CrossRef]
- Sierra-Ibarra, E.; Vargas-Tah, A.; Moss-Acosta, C.L.; Trujillo-Martínez, B.; Molina-Vázquez, E.R.; Rosas-Aburto, A.; Valdivia-López, Á.; Hernández-Luna, M.G.; Vivaldo-Lima, E.; Martínez, A. Co-Fermentation of Glucose-Xylose Mixtures from Agroindustrial Residues by Ethanologenic Escherichia coli: A Study on the Lack of Carbon Catabolite Repression in Strain MS04. Molecules 2022, 27, 8941. [Google Scholar] [CrossRef]
- Zhao, C.; Sinumvayo, J.P.; Zhang, Y.; Li, Y. Design and development of a “Y-shaped” microbial consortium capable of simultaneously utilizing biomass sugars for efficient production of butanol. Metab. Eng. 2019, 55, 111–119. [Google Scholar] [CrossRef]
- Chi, X.; Li, J.; Wang, X.; Zhang, Y.; Antwi, P. Hyper-production of butyric acid from delignified rice straw by a novel consolidated bioprocess. Bioresour. Technol. 2018, 254, 115–120. [Google Scholar] [CrossRef]
- Palmqvist, E.; Hahn-Hägerdal, B. Fermentation of lignocellulosic hydrolysates. I: Inhibition and detoxification. Bioresour. Technol. 2000, 74, 17–24. [Google Scholar] [CrossRef]
- Li, H.; Wu, M.; Xu, L.; Hou, J.; Guo, T.; Bao, X.; Shen, Y. Evaluation of industrial Saccharomyces cerevisiae strains as the chassis cell for second-generation bioethanol production. Microb. Biotechnol. 2015, 8, 266–274. [Google Scholar] [CrossRef]
- Tang, H.; Wang, J.; Wang, S.; Shen, Y.; Petranovic, D.; Hou, J.; Bao, X. Efficient yeast surface-display of novel complex synthetic cellulosomes. Microb. Cell Fact. 2018, 17, 122. [Google Scholar] [CrossRef]
- Entian, K.-D.; Kötter, P. 23 Yeast Mutant and Plasmid Collections. In Methods in Microbiology; Brown, A.J.P., Tuite, M., Eds.; Academic Press: Cambridge, MA, USA, 1998; pp. 431–449. [Google Scholar]
- Güldener, U.; Heck, S.; Fiedler, T.; Beinhauer, J.; Hegemann, J.H. A New Efficient Gene Disruption Cassette for Repeated Use in Budding Yeast. Nucleic Acids Res. 1996, 24, 2519–2524. [Google Scholar] [CrossRef] [PubMed]
- Meyrial, V.; Laizé, V.; Gobin, R.; Ripoche, P.; Hohmann, S.; Tacnet, F. Existence of a tightly regulated water channel in Saccharomyces cerevisiae. Eur. J. Biochem. 2001, 268, 334–343. [Google Scholar] [CrossRef]
- Salmon, T.B.; Evert, B.A.; Song, B.; Doetsch, P.W. Biological consequences of oxidative stress-induced DNA damage in Saccharomyces cerevisiae. Nucleic Acids Res. 2004, 32, 3712–3723. [Google Scholar] [CrossRef] [PubMed]
- Cunha, J.T.; Romani, A.; Costa, C.E.; Sa-Correia, I.; Domingues, L. Molecular and physiological basis of Saccharomyces cerevisiae tolerance to adverse lignocellulose-based process conditions. Appl. Microbiol. Biotechnol. 2019, 103, 159–175. [Google Scholar] [CrossRef]
- Liu, X.; Yang, H.; Zhang, X.; Liu, L.; Lei, M.; Zhang, Z.; Bao, X. Bdf1p deletion affects mitochondrial function and causes apoptotic cell death under salt stress. FEMS Yeast Res. 2009, 9, 240–246. [Google Scholar] [CrossRef]
- Gibson, D.G. Chapter fifteen—Enzymatic Assembly of Overlapping DNA Fragments. In Methods in Enzymology; Christopher, V., Ed.; Academic Press: Cambridge, MA, USA, 2011; pp. 349–361. [Google Scholar]
- Sanchez, O.J.; Cardona, C.A. Trends in biotechnological production of fuel ethanol from different feedstocks. Bioresour. Technol. 2008, 99, 5270–5295. [Google Scholar] [CrossRef]
- Ye, Y.; Li, X.; Cao, Y.; Du, J.; Chen, S.; Zhao, J. A β-xylosidase hyper-production Penicillium oxalicum mutant enhanced ethanol production from alkali-pretreated corn stover. Bioresour. Technol. 2017, 245, 734–742. [Google Scholar] [CrossRef]
- Shi, H.; Zhang, Y.; Li, X.; Huang, Y.; Wang, L.; Wang, Y.; Ding, H.; Wang, F. A novel highly thermostable xylanase stimulated by Ca2+ from Thermotoga thermarum: Cloning, expression and characterization. Biotechnol. Biofuels 2013, 6, 26. [Google Scholar] [CrossRef]
- Feng, D.; Li, L.; Yang, F.; Tan, W.; Zhao, G.; Zou, H.; Xian, M.; Zhang, Y. Separation of ionic liquid [Mmim][DMP] and glucose from enzymatic hydrolysis mixture of cellulose using alumina column chromatography. Appl. Microbiol. Biotechnol. 2011, 91, 399–405. [Google Scholar] [CrossRef]
- Cortina, C.; Culiáñez-Macià, F.A. Tomato abiotic stress enhanced tolerance by trehalose biosynthesis. Plant Sci. 2005, 169, 75–82. [Google Scholar] [CrossRef]
- Reilly, M.C.; Doering, T.L. Chapter 22—Biosynthesis of fungal and yeast glycans. In Microbial Glycobiology; Holst, O., Brennan, P.J., Itzstein, M.V., Moran, A.P., Eds.; Academic Press: San Diego, CA, USA, 2010; pp. 393–412. [Google Scholar]
- Zhang, Q.; Jin, Y.-L.; Fang, Y.; Zhao, H. Adaptive evolution and selection of stress-resistant Saccharomyces cerevisiae for very high-gravity bioethanol fermentation. Electron. J. Biotechnol. 2019, 41, 88–94. [Google Scholar] [CrossRef]
- Eleutherio, E.; Panek, A.; De Mesquita, J.; Trevisol, E.; Magalhães, R. Revisiting yeast trehalose metabolism. Curr. Genet. 2015, 61, 263–274. [Google Scholar] [CrossRef]
- Tapia, H.; Young, L.; Fox, D.; Bertozzi, C.R.; Koshland, D. Increasing intracellular trehalose is sufficient to confer desiccation tolerance to Saccharomyces cerevisiae. Proc. Natl. Acad. Sci. USA 2015, 112, 6122–6127. [Google Scholar] [CrossRef]
- Tsiasioti, A.; Tzanavaras, P.D. Determination of glutathione and glutathione disulfide using zone fluidics and fluorimetric detection. Talanta 2021, 222, 121559. [Google Scholar] [CrossRef] [PubMed]
- Sugiyama, K.-i.; Kawamura, A.; Izawa, S.; Inoue, Y. Role of glutathione in heat-shock-induced cell death of Saccharomyces cerevisiae. Biochem. J. 2000, 352, 71–78. [Google Scholar] [CrossRef]
- Saharan, R.K.; Kanwal, S.; Sharma, S.C. Role of glutathione in ethanol stress tolerance in yeast Pachysolen tannophilus. Biochem. Biophys. Res. Commun. 2010, 397, 307–310. [Google Scholar] [CrossRef]
- Zitka, O.; Skalickova, S.; Gumulec, J.; Masarik, M.; Adam, V.; Hubalek, J.; Trnkova, L.; Kruseova, J.; Eckschlager, T.; Kizek, R. Redox status expressed as GSH:GSSG ratio as a marker for oxidative stress in paediatric tumour patients. Oncol. Lett. 2012, 4, 1247–1253. [Google Scholar] [CrossRef]
- Zheng, H.; Wang, K.; Xu, X.; Pan, J.; Sun, X.; Hou, J.; Liu, W.; Shen, Y. Highly efficient rDNA-mediated multicopy integration based on the dynamic balance of rDNA in Saccharomyces cerevisiae. Microb. Biotechnol. 2022, 15, 1511–1524. [Google Scholar] [CrossRef]
- Claes, A.; Deparis, Q.; Foulquié-Moreno, M.R.; Thevelein, J.M. Simultaneous secretion of seven lignocellulolytic enzymes by an industrial second-generation yeast strain enables efficient ethanol production from multiple polymeric substrates. Metab. Eng. 2020, 59, 131–141. [Google Scholar] [CrossRef] [PubMed]
- Mikulski, D.; Kłosowski, G. Integration of First- and Second-generation Bioethanol Production from Beet molasses and Distillery Stillage After Dilute Sulfuric Acid Pretreatment. BioEnergy Res. 2022, 15, 454–465. [Google Scholar] [CrossRef]
- Zheng, D.; Zhang, K.; Gao, K.; Liu, Z.; Zhang, X.; Li, O.; Sun, J.; Zhang, X.; Du, F.; Sun, P.; et al. Construction of novel Saccharomyces cerevisiae strains for bioethanol active dry yeast (ADY) production. PLoS ONE 2013, 8, e85022. [Google Scholar] [CrossRef]
- Kont, R.; Kurašin, M.; Teugjas, H.; Väljamäe, P. Strong cellulase inhibitors from the hydrothermal pretreatment of wheat straw. Biotechnol. Biofuels 2013, 6, 135. [Google Scholar] [CrossRef]
- Andrić, P.; Meyer, A.S.; Jensen, P.A.; Dam-Johansen, K. Effect and Modeling of Glucose Inhibition and In Situ Glucose Removal During Enzymatic Hydrolysis of Pretreated Wheat Straw. Appl. Biochem. Biotechnol. 2010, 160, 280–297. [Google Scholar] [CrossRef]
- Zhang, J.; Tang, M.; Viikari, L. Xylans inhibit enzymatic hydrolysis of lignocellulosic materials by cellulases. Bioresour. Technol. 2012, 121, 8–12. [Google Scholar] [CrossRef] [PubMed]
- Qing, Q.; Yang, B.; Wyman, C.E. Xylooligomers are strong inhibitors of cellulose hydrolysis by enzymes. Bioresour. Technol. 2010, 101, 9624–9630. [Google Scholar] [CrossRef]
- Qing, Q.; Wyman, C.E. Supplementation with xylanase and β-xylosidase to reduce xylo-oligomer and xylan inhibition of enzymatic hydrolysis of cellulose and pretreated corn stover. Biotechnol. Biofuels 2011, 4, 18. [Google Scholar] [CrossRef]
- Shi, S.; Liang, Y.; Zhang, M.M.; Ang, E.L.; Zhao, H. A highly efficient single-step, markerless strategy for multi-copy chromosomal integration of large biochemical pathways in Saccharomyces cerevisiae. Metab. Eng. 2016, 33, 19–27. [Google Scholar] [CrossRef] [PubMed]
- Wang, L.; Deng, A.; Zhang, Y.; Liu, S.; Liang, Y.; Bai, H.; Cui, D.; Qiu, Q.; Shang, X.; Yang, Z.; et al. Efficient CRISPR-Cas9 mediated multiplex genome editing in yeasts. Biotechnol. Biofuels 2018, 11, 277. [Google Scholar] [CrossRef] [PubMed]
- Chen, N.; Yang, S.; You, D.; Shen, J.; Ruan, B.; Wu, M.; Zhang, J.; Luo, X.; Tang, H. Systematic genetic modifications of cell wall biosynthesis enhanced the secretion and surface-display of polysaccharide degrading enzymes in Saccharomyces cerevisiae. Metab. Eng. 2023, 77, 273–282. [Google Scholar] [CrossRef] [PubMed]
- Demeke, M.M.; Dumortier, F.; Li, Y.; Broeckx, T.; Foulquie-Moreno, M.R.; Thevelein, J.M. Combining inhibitor tolerance and D-xylose fermentation in industrial Saccharomyces cerevisiae for efficient lignocellulose-based bioethanol production. Biotechnol. Biofuels 2013, 6, 120. [Google Scholar] [CrossRef]
- Piškur, J.; Rozpędowska, E.; Polakova, S.; Merico, A.; Compagno, C. How did Saccharomyces evolve to become a good brewer? Trends Genet. 2006, 22, 183–186. [Google Scholar] [CrossRef]
- Xie, Z.X.; Mitchell, L.A.; Liu, H.M.; Li, B.Z.; Liu, D.; Agmon, N.; Wu, Y.; Li, X.; Zhou, X.; Li, B.; et al. Rapid and Efficient CRISPR/Cas9-Based Mating-Type Switching of Saccharomyces cerevisiae. G3 Genes|Genomes|Genetics 2018, 8, 173–183. [Google Scholar] [CrossRef]
- Peris, D.; Alexander, W.G.; Fisher, K.J.; Moriarty, R.V.; Basuino, M.G.; Ubbelohde, E.J.; Wrobel, R.L.; Hittinger, C.T. Synthetic hybrids of six yeast species. Nat. Commun. 2020, 11, 2085. [Google Scholar] [CrossRef]
- Xin, Y.; Yang, M.; Yin, H.; Yang, J. Improvement of Ethanol Tolerance by Inactive Protoplast Fusion in Saccharomyces cerevisiae. BioMed Res. Int. 2020, 2020, 1979318. [Google Scholar] [CrossRef]
- Mittermeier, F.; Bäumler, M.; Arulrajah, P.; García Lima, J.d.J.; Hauke, S.; Stock, A.; Weuster-Botz, D. Artificial microbial consortia for bioproduction processes. Eng. Life Sci. 2023, 23, e2100152. [Google Scholar] [CrossRef] [PubMed]
- Zou, L.; Jin, X.; Tao, Y.; Zheng, Z.; Ouyang, J. Recent advances in the exploitation and application of coculture systems for the bioconversion of lignocellulosic feedstocks. Ind. Crops Prod. 2023, 203, 117117. [Google Scholar] [CrossRef]
- Lin, L. Bottom-up synthetic ecology study of microbial consortia to enhance lignocellulose bioconversion. Biotechnol. Biofuels Bioprod. 2022, 15, 14. [Google Scholar] [CrossRef] [PubMed]
- Zuroff, T.R.; Curtis, W.R. Developing symbiotic consortia for lignocellulosic biofuel production. Appl. Microbiol. Biotechnol. 2012, 93, 1423–1435. [Google Scholar] [CrossRef] [PubMed]
- Xia, T.; Altman, E.; Eiteman, M.A. Succinate production from xylose-glucose mixtures using a consortium of engineered Escherichia coli. Eng. Life Sci. 2015, 15, 65–72. [Google Scholar] [CrossRef]
- Wang, L.; York, S.W.; Ingram, L.O.; Shanmugam, K.T. Simultaneous fermentation of biomass-derived sugars to ethanol by a co-culture of an engineered Escherichia coli and Saccharomyces cerevisiae. Bioresour. Technol. 2019, 273, 269–276. [Google Scholar] [CrossRef] [PubMed]
- Xia, T.; Eiteman, M.A.; Altman, E. Simultaneous utilization of glucose, xylose and arabinose in the presence of acetate by a consortium of Escherichia coli strains. Microb. Cell Fact. 2012, 11, 77. [Google Scholar] [CrossRef] [PubMed]
- Zhang, J.; Zhu, Z.; Wang, X.; Wang, N.; Wang, W.; Bao, J. Biodetoxification of toxins generated from lignocellulose pretreatment using a newly isolated fungus, Amorphotheca resinae ZN1, and the consequent ethanol fermentation. Biotechnol. Biofuels 2010, 3, 26. [Google Scholar] [CrossRef]









| Strains and Plasmids | Description | Source/Reference |
|---|---|---|
| Strains | ||
| NAN27 | Used in starch-based ethanol production | Laboratory reserved |
| RC212 | Isolated from grape or wine production regions | Laboratory reserved |
| LSF | Diploid S. cerevisiae strain separated from commercially available products (Lesaffre Yeast Corporation) | Laboratory reserved |
| RedStar | Diploid S. cerevisiae strain separated from commercially available products | Laboratory reserved |
| BSIF | Diploid S. cerevisiae strain isolated from a tropical fruit in Thailand | Laboratory reserved [35] |
| 6508 | Used in starch-based ethanol production | Laboratory reserved [35] |
| SQ | Diploid S. cerevisiae strain separated from commercially available products | Laboratory reserved |
| CEN.PK102-5B | Diploid S. cerevisiae strain MATa; URA3-52, HIS3Δ1, LEU2-3,112 | Laboratory reserved [36,37] |
| LF1 | Recombinant glucose/xylose cofermenting strain derived from BSIF (pho13::XI, 3δ::XI, gre3::PPP, XK, AE-PCS, N360F, AE) | Laboratory preserved [16] |
| RBK | RC212 derivative; (δ::BGL& KanMX) | This work |
| RB | RBK derivative; (δ::BGL) | This work |
| BLN26 | RB derivative; (δ::BGL& KanMX, ADH2::IBX, δ::IBX) | This work |
| BSGIBX | BSPXO42 derivative; pJXIHIBX | Laboratory preserved [21] |
| 102SB | 102-ΔTPI derivative; CPOTSB | Laboratory preserved [12] |
| Plasmids | ||
| YEp-CH | YEp24 derivative; GAL1p-Cre-CYC1t, TEF1p-hygB-TEF1t | Laboratory preserved [16] |
| CPOTSSB | CPOT with β-glucosidase gene BGL1 from Saccharomycopsis fibuligera; SUC2 signal peptide | Laboratory preserved [12] |
| pUC-N360F | pUC19-based yeast integration plasmid containing GRE3-targeting recombinant arms, an overexpression cassette for MGT05196N360F, the upstream activating sequence (UAS elements) UASCLB, and the selectable marker loxP-KanMX4-loxP | Laboratory preserved [16] |
| pUG6 | E. coli plasmid with segment LoxP-KanMX4-LoxP | [38] |
| pJXIHIBX | pJXIH-PC with β-xylosidase gene xyl3A from Penicillium oxalicum; signal peptide of Kluyveromyces INU | Laboratory preserved [21] |
| pXIδ | pUC19-based yeast integration plasmid containing the δ-sequence-targeting recombinant arms, three tandem expression cassettes of Ru-xylA, and the selectable marker loxP-KanMX4-loxP | Laboratory preserved [16] |
| pUCδBK | pUC19-based yeast integration plasmid containing the δ-sequence-targeting recombinant arms, an expression cassette of BGL, and the selectable marker loxP-KanMX4-loxP | This work |
| pIBXδ | pUC19-based yeast integration plasmid containing the δ-sequence-targeting recombinant arms, β-xylosidase gene xyl3A from P. oxalicum with signal peptide of Kluyveromyces INU, and the selectable marker loxP-KanMX4-loxP | This work |
| LSF | SQ | RC212 | NAN27 | CEN.PK102-5B | ||
|---|---|---|---|---|---|---|
| 1 | Trehalose content | +++ | ++ | ++ | ++ | +++ |
| 2 | GSH/GSSG | ++ | +++ | +++ | + | + |
| 3 | High temperature | / | / | +++ | ++ | + |
| 4 | Hyper-osmotic stress | + | ++ | ++ | + | +++ |
| 5 | Oxidative stress | + | ++ | ++ | + | +++ |
| 6 | High concentration of ethanol | + | ++ | +++ | +++ | ++ |
| 7 | Furfural stress | ++ | ++ | ++ | +++ | + |
Disclaimer/Publisher’s Note: The statements, opinions and data contained in all publications are solely those of the individual author(s) and contributor(s) and not of MDPI and/or the editor(s). MDPI and/or the editor(s) disclaim responsibility for any injury to people or property resulting from any ideas, methods, instructions or products referred to in the content. |
© 2023 by the authors. Licensee MDPI, Basel, Switzerland. This article is an open access article distributed under the terms and conditions of the Creative Commons Attribution (CC BY) license (https://creativecommons.org/licenses/by/4.0/).
Share and Cite
Yan, N.; Luan, T.; Yin, M.; Niu, Y.; Wu, L.; Yang, S.; Li, Z.; Li, H.; Zhao, J.; Bao, X. Co-Fermentation of Glucose–Xylose–Cellobiose–XOS Mixtures Using a Synthetic Consortium of Recombinant Saccharomyces cerevisiae Strains. Fermentation 2023, 9, 775. https://doi.org/10.3390/fermentation9080775
Yan N, Luan T, Yin M, Niu Y, Wu L, Yang S, Li Z, Li H, Zhao J, Bao X. Co-Fermentation of Glucose–Xylose–Cellobiose–XOS Mixtures Using a Synthetic Consortium of Recombinant Saccharomyces cerevisiae Strains. Fermentation. 2023; 9(8):775. https://doi.org/10.3390/fermentation9080775
Chicago/Turabian StyleYan, Ning, Tao Luan, Mengqi Yin, Yaping Niu, Longhao Wu, Shuo Yang, Zailu Li, Hongxing Li, Jianzhi Zhao, and Xiaoming Bao. 2023. "Co-Fermentation of Glucose–Xylose–Cellobiose–XOS Mixtures Using a Synthetic Consortium of Recombinant Saccharomyces cerevisiae Strains" Fermentation 9, no. 8: 775. https://doi.org/10.3390/fermentation9080775
APA StyleYan, N., Luan, T., Yin, M., Niu, Y., Wu, L., Yang, S., Li, Z., Li, H., Zhao, J., & Bao, X. (2023). Co-Fermentation of Glucose–Xylose–Cellobiose–XOS Mixtures Using a Synthetic Consortium of Recombinant Saccharomyces cerevisiae Strains. Fermentation, 9(8), 775. https://doi.org/10.3390/fermentation9080775

