Hartmann Flow of Two-Layered Fluids in Horizontal and Inclined Channels
Abstract
1. Introduction
2. Two-Phase Horizontal Flow
3. Two-Phase Inclined Flow
4. Results and Discussion
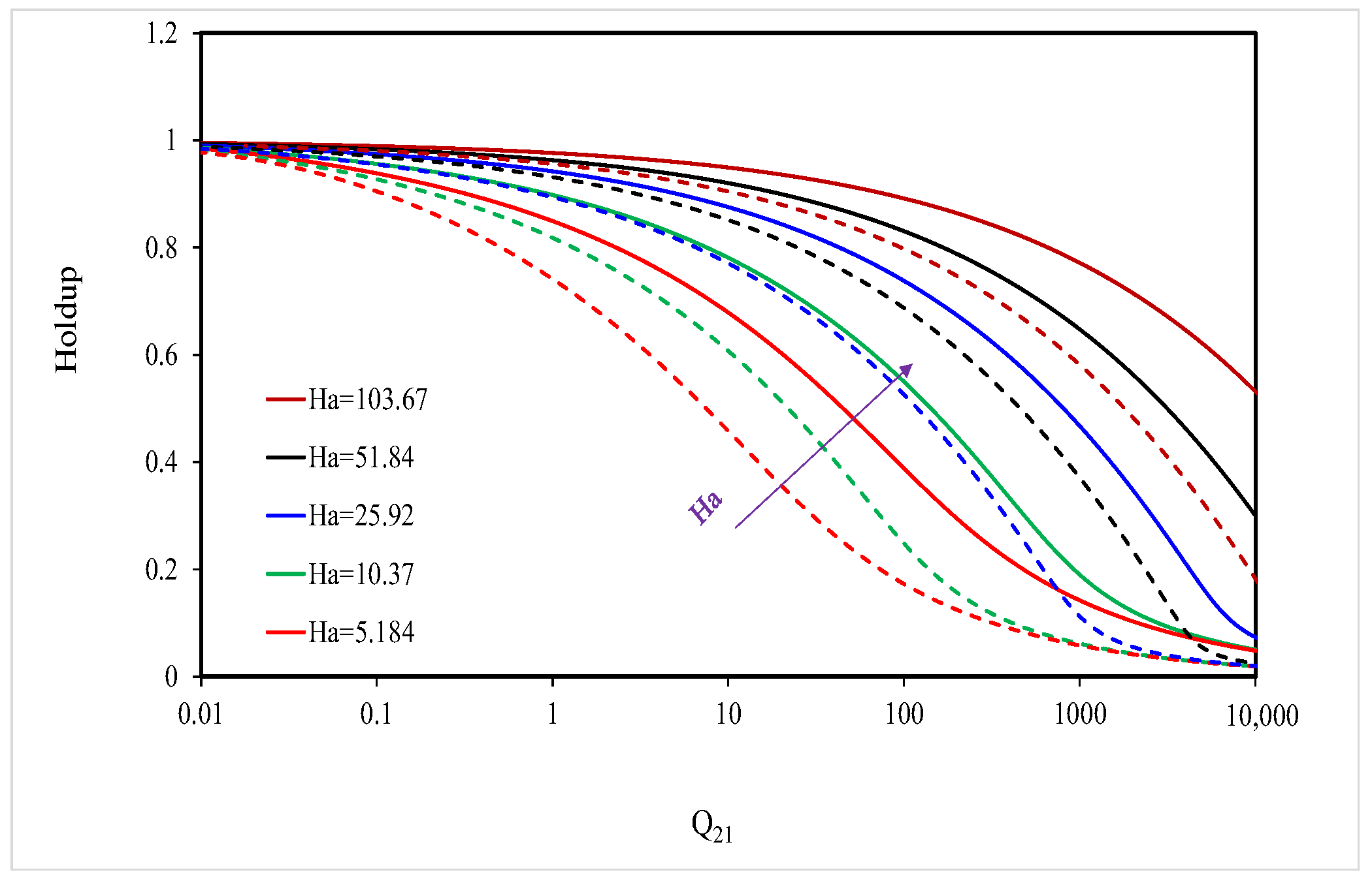
4.1. Horizontal Channel
4.2. Inclined Channel
4.2.1. Concurrent Upward Flow
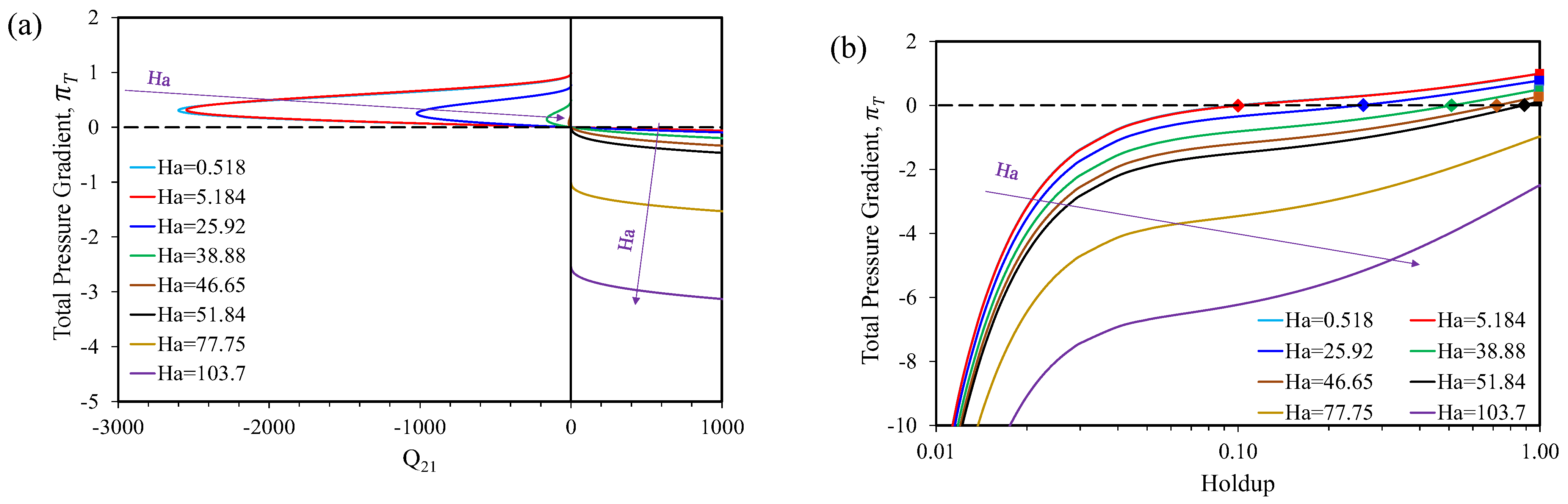
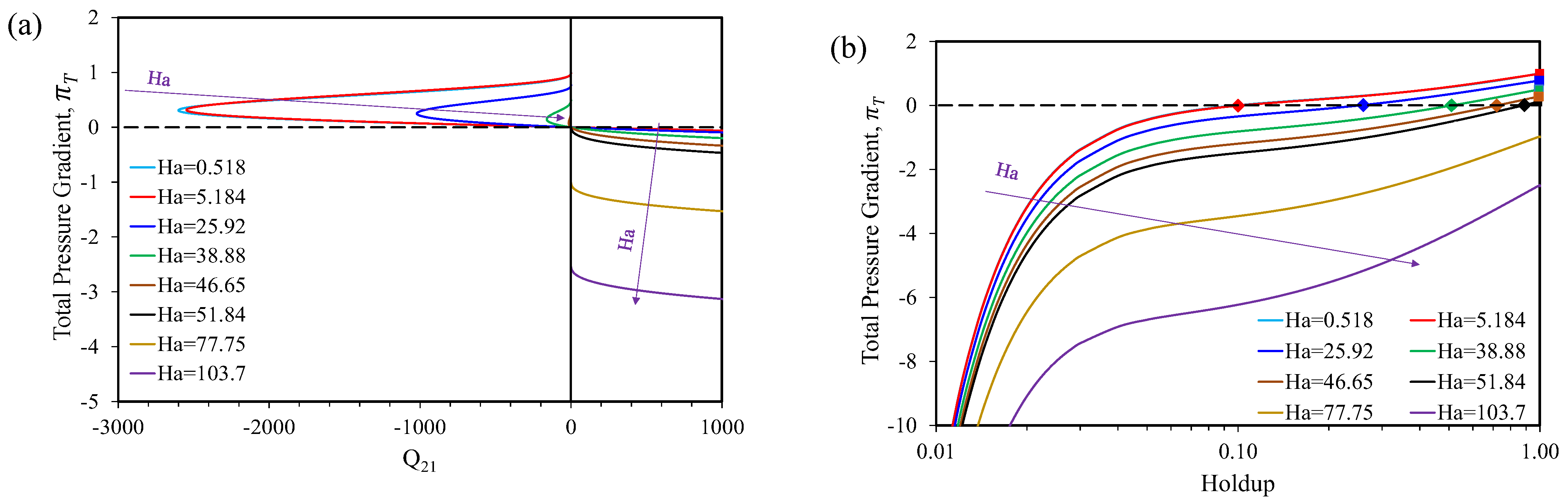
4.2.2. Countercurrent and Concurrent Downward Flows
4.3. Numerical Calculations
5. Concluding Remarks
- (a)
- The effect of the magnetic field on the liquid metal holdup and the pressure gradient driving the flow for prescribed flow rates of the fluids.
- (b)
- The effect of the magnetic field on the multiple states (i.e., different holdups, pressure gradients, etc., for the same operational conditions), which, under certain conditions, may exist in inclined stratified two-phase flows.
- (1)
- In horizontal flow, there exists a single state whose holdup increases with the increase in magnetic field strength. This increase is explained by the slowing down of the flow by the magnetic damping force. This effect is also valid in concurrent upward and downward flows for operational conditions that correspond to a single holdup solution of the flow governing equations.
- (2)
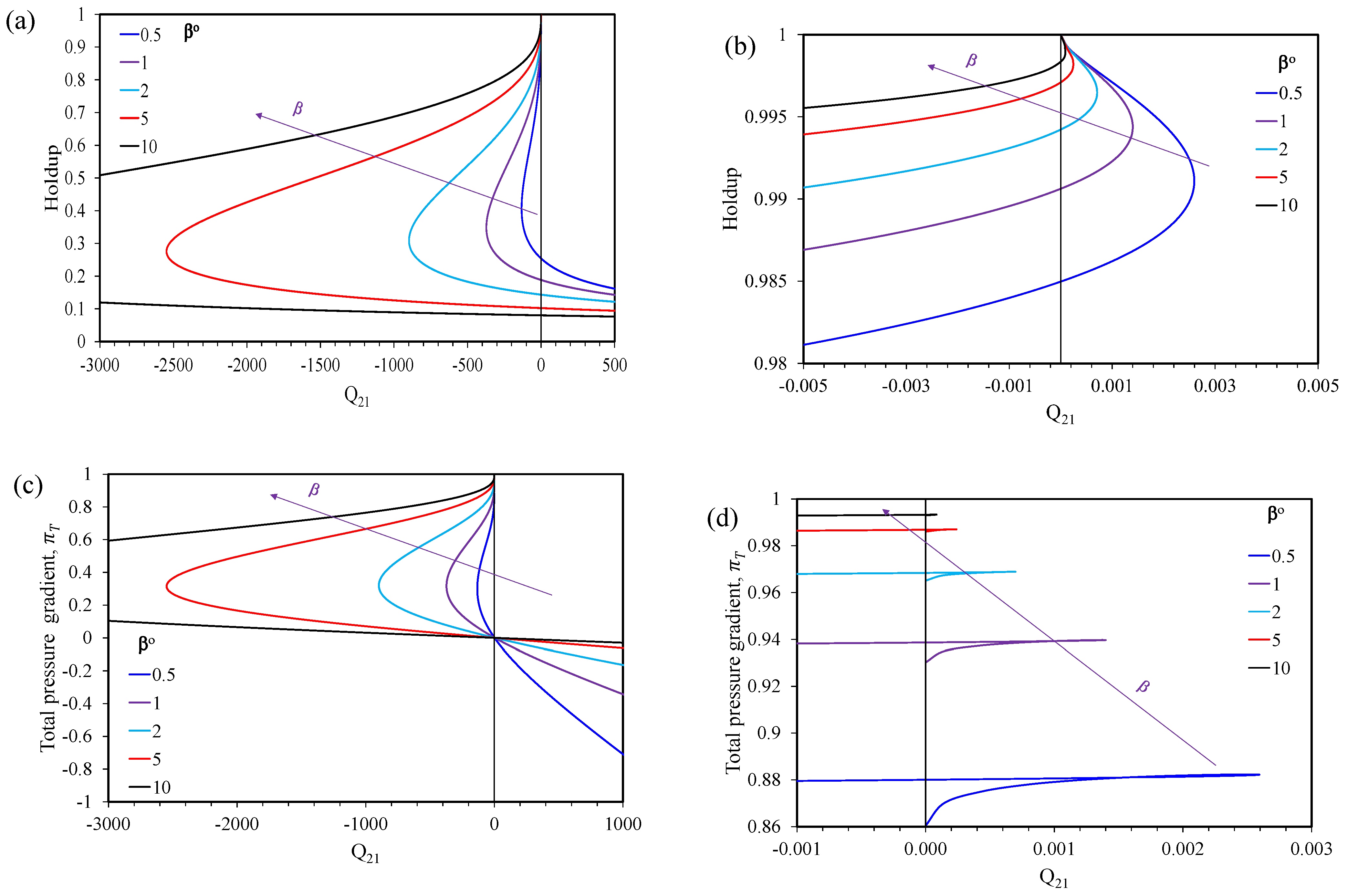
- In inclined concurrent flows, the high-density difference between the liquid metal and the gas results in high sensitivity of the flow configuration to the channel inclination, which allows for multiple states (three) for fixed flow rates under low-to-moderate magnetic field intensities.
- (3)
- In the triple-solution region, growth of the magnetic field strength leads to an increase in the lower and upper holdup values, but to a decrease in the holdup of the middle solution.
- (4)
- The triple-solution regions are associated with the possibility of a back-flow region (downward) of the heavy phase near the lower wall in upward flow, and a back-flow region (upward) of the gas near the upper wall. However, back-flow is not exclusively associated with multiple solutions and can also be obtained under conditions where a single solution exists.
- (5)
- Back-flow is a source of instability of the stratified flow configuration, as it introduces a large disturbance at the inlet, where the fluids are introduced into the channel. It can result in the formation of liquid metal slugs in an upward flow or entrainment of the gas into the liquid in a downward flow.
- (6)
- The magnetic field weakens the back-flow, and the velocity profile of the liquid metal flattens. Consequently, the ranges of flow rates where multiple solutions exist narrow, and then disappear in strong magnetic fields. In this respect, a magnetic field stabilizes the single holdup flow configuration.
- (7)
- In countercurrent flow, two distinct states exist up to a certain value of the phase’s flow-rate ratio, beyond which countercurrent flow is impossible. In most cases, in the state of the smaller holdup, the heavier liquid metal drags the lighter one near the interface, while in the other state of a larger holdup, the thinner gas layer drags the liquid metal near the interface.
- (8)
- With the increase in magnetic field strength, the countercurrent region diminishes, and beyond a certain Hartmann number, countercurrent flow is not feasible.
- (9)
- Compared to the classical single-phase Poiseuille flow, the magnetic field damping force increases the pressure gradient needed to reach the same flow rate. In liquid metal–gas horizontal stratified flows, the addition of a gas layer may yield a lubrication effect so that, compared to the single-phase Hartmann flow, the same flow rate of the metal liquid can be reached with a smaller pressure gradient.
- (10)
- In horizontal flows, the lubrication effect increases with increasing the liquid–metal/gas viscosity ratio and can reach about 75% pressure gradient reduction with high viscosity liquid metal under low magnetic field strength. The maximal lubrication effect is reached by adding a few percent gas flow rate to that of the liquid metal flow rate, and therefore can also be associated with pumping power reduction. However, the lubrication effect diminishes with increasing the Hartmann number (e.g., for mercury–air flow, it becomes insignificant for Ha > 25).
- (11)
- In upward concurrent flow, the introduction of gas flow does not result in a lubrication effect and, in fact, increases the frictional pressure gradient. However, as the hydrostatic pressure gradient is reduced in the presence of a gas layer, the total pressure gradient can be significantly reduced. Indeed, a reduction in the total pressure gradient compared to the single-phase flow of the liquid metal is obtained in the triple-solution region and its vicinity. As this region is associated with high gas/liquid flow-rate ratios, power reduction may not be obtained. In any case, the potential for a pressure drop reduction in this region is reduced with the increase in the magnetic field strength.
- (12)
- In concurrent downward flow, the addition of the gas layer also has a small effect on the frictional pressure gradient in the triple-solution region. However, as the driving force of the hydrostatic pressure is reduced in the presence of a gas layer, there is no benefit to adding gas to the flow of the liquid metal.
- (13)
- In countercurrent flows, the frictional pressure gradient is higher in the state of the smaller holdup. In both states, it is larger than in single-phase mercury flow under the same magnetic field strength.
Author Contributions
Funding
Data Availability Statement
Conflicts of Interest
Nomenclature
| Latin Symbols | |||
| magnetic field flux | kg/(s2−A) | ||
| gravitational acceleration | m/s2 | ||
| Pa/m | |||
| height of interface plane | m/s | ||
| - | |||
| channel height | - | ||
| - | |||
| pressure | Pa | ||
| dimensionless pressure gradient | - | ||
| dimensionless pumping power | - | ||
| volumetric flow rate | m3/(m−s) | ||
| velocity | m/s | ||
| dimensionless velocity, | - | ||
| m/s | |||
| horizontal coordinate | m | ||
| inclination parameter, defined in Equation (39) | - | ||
| vertical coordinate | m | ||
| - | |||
| Greek letters | |||
| channel inclination angle to the horizontal | |||
| dynamic viscosity | kg/(m-s) | ||
| dimensionless pressure gradient normalized by the hydrostatic pressure gradient of single-phase flow | - | ||
| density | kg/m3 | ||
| electric conductivity | 1/(Ω-m) | ||
| Subscripts | |||
| lower phase (conductive fluid) | |||
| 2 | upper phase (gas) | ||
| 12, 21 | ) | ||
| frictional pressure | |||
| gravitational (hydrostatic) pressure | |||
| single phase | |||
| Superscripts | |||
| 0 | value without magnetic field is used for normalization | ||
| 1,2 | value in single-phase flow of fluid 1,2 is used for normalization | ||
| normalized by the total pressure gradient in single-phase flow | |||
Appendix A
| Finite Differences | Chebyshev Collocation | Analytical | |||
| Q12 | Number of Grid Nodes | Holdup | Number of Collocation Points | Holdup | Holdup |
| 10−6 | 20 | 0.2953 | 10 | 0.2067 | |
| 50 | 0.2944 | 20 | 0.2885 | ||
| 100 | 0.2942 | 50 | 0.2940 | ||
| 200 | 0.2941 | 100 | 0.2940 | ||
| 500 | 0.2941 | 150 | 0.2940 | ||
| 1000 | 0.2940 | 200 | 0.2940 | 0.2940 | |
| 10−4 | 20 | 0.8303 | 10 | 0.7694 | |
| 50 | 0.8296 | 20 | 0.8253 | ||
| 100 | 0.8294 | 50 | 0.8293 | ||
| 200 | 0.8293 | 100 | 0.8293 | ||
| 500 | 0.8293 | 150 | 0.8293 | ||
| 1000 | 0.8293 | 200 | 0.8293 | 0.8293 | |
| 10−2 | 20 | 0.9626 | 10 | 0.9582 | |
| 50 | 0.9624 | 20 | 0.9621 | ||
| 100 | 0.9624 | 50 | 0.9624 | ||
| 200 | 0.9624 | 100 | 0.9624 | ||
| 500 | 0.9624 | 150 | 0.9624 | ||
| 1000 | 0.9624 | 200 | 0.9624 | 0.9624 | |
| 1 | 20 | 0.9919 | 10 | 0.9918 | |
| 50 | 0.9919 | 20 | 0.9919 | ||
| 100 | 0.9919 | 50 | 0.9919 | ||
| 200 | 0.9919 | 100 | 0.9919 | ||
| 500 | 0.9919 | 150 | 0.9919 | ||
| 1000 | 0.9919 | 200 | 0.9919 | 0.9919 | |
References
- Branover, H. Magnetohydrodynamic Flow in Ducts; John Wiley: New York, NY, USA, 1978. [Google Scholar]
- Kadid, F.Z.; Drid, S.; Abdessemed, R. Simulation of magnetohydrodynamic and thermal coupling in the linear induction MHD pump. J. Appl. Fluid Mech. 2011, 4, 51–57. [Google Scholar]
- Nikodijević, D.; Stamenković, Ž.; Milenković, D.; Blagojević, B.; Nikodijevic, J. Flow and heat transfer of two immiscible fluids in the presence of uniform inclined magnetic field. Math. Probl. Eng. 2011, 2011, 132302. [Google Scholar] [CrossRef]
- Kim, S.-H.; Park, J.-H.; Choi, H.-S.; Lee, S.-H. Power Generation Properties of Flow Nanogenerator with Mixture of Magnetic Nanofluid and Bubbles in Circulating System. IEEE Trans. Magn. 2017, 53, 4600904. [Google Scholar] [CrossRef]
- Wang, Y.; Cheng, K.; Xu, J.; Jing, W.; Huang, H.; Qin, J. A rapid performance prediction method for Two-Phase liquid metal MHD generators based on Quasi-One-Dimensional model. Therm. Sci. Eng. Prog. 2024, 47, 102258. [Google Scholar] [CrossRef]
- Haim, H.B.; Jianzhong, Z.; Shizhi, Q.; Yu, X. A magneto-hydrodynamically controlled fluidic network. Sens. Actuators B Chem. 2003, 88, 205–216. [Google Scholar]
- Hussameddine, S.K.; Martin, J.M.; Sang, W.J. Analytical prediction of flow field in magnetohydrodynamic-based microfluidic devices. J. Fluids Eng. 2008, 130, 091204. [Google Scholar]
- Yi, M.; Qian, S.; Bau, H. A magnetohydrodynamic chaotic stirrer. J. Fluid Mech. 2002, 468, 153–177. [Google Scholar] [CrossRef]
- Weston, M.C.; Gerner, M.D.; Fritsch, I. Magnetic fields for fluid motion. Anal. Chem. 2010, 82, 3411–3418. [Google Scholar] [CrossRef] [PubMed]
- Lu, P.; Ye, Q.; Yan, X.; Wei, J.; Huang, H. Study on the gas-liquid two-phase flow regime in the power generation channel of a liquid metal MHD system. Int. Commun. Heat Mass Transf. 2022, 137, 106217. [Google Scholar] [CrossRef]
- Wang, Y.; Huang, H.; Lu, P.; Liu, Z. Numerical Investigation of Gas–Liquid Metal Two-Phase Flow in a Multiple-Entrance Magnetohydrodynamic Generator. Ind. Eng. Chem. Res. 2022, 61, 4980–4995. [Google Scholar] [CrossRef]
- Lee, C.; Ho Kim, H. Velocity measurement of magnetic particles simultaneously affected by two-phase flow and an external magnetic field using dual-sided SPIM-mPIV. Chem. Eng. Sci. 2022, 252, 11727. [Google Scholar] [CrossRef]
- Khan, H.A.; Goharzadeh, A.; Jarrar, F. Effect of a uniform magnetic field on a two-phase air-ferrofluid slug flow. J. Magn. Magn. Mater. 2023, 580, 170944. [Google Scholar] [CrossRef]
- He, Y.; Wen, G.; Li, Q.; Jiao, F. Field-induced interfacial instabilities in a two-phase ferrofluid flow. Chem. Eng. J. 2024, 485, 14995. [Google Scholar] [CrossRef]
- Hartmann, J.; Lazarus, F. Experimental investigations on the flow of mercury in a homogeneous magnetic field. K. Dan. Vidensk. Selsk. Math. Fys. Medd. 1937, 15, 1–45. [Google Scholar]
- Davidson, P.A. An Introduction to Magnetohydrodynamics; Cambridge University Press: Cambridge, UK, 2001. [Google Scholar]
- Molokov, S.; Moreau, R.; Moffatt, K. Magnetohydrodynamics Historical Evolution and Trends Fluid Mechanics and Its Applications; Springer: Berlin/Heidelberg, Germany, 2007; FMIA; Volume 80. [Google Scholar]
- Qian, S.; Bau, H.H. Magneto-hydrodynamics based microfluidics. Mech. Res. Commun. 2009, 36, 10–21. [Google Scholar] [CrossRef] [PubMed]
- Kundu, B.; Saha, S. Review and Analysis of Electro-Magnetohydrodynamic Flow and Heat Transport in Microchannels. Energies 2022, 15, 7017. [Google Scholar] [CrossRef]
- Hartmann, J. Theory of the laminar flow of an electrically conductive liquid in a homogeneous magnetic field. K. Dan. Vidensk. Selsk. Mat. Fys. Medd. 1937, 15, 1–28. [Google Scholar]
- Shail, R. On laminar two-phase flow in magnetohydrodynamics. Int. J. Eng. Sci. 1973, 11, 1103–1108. [Google Scholar] [CrossRef]
- Owen, R.G.; Hunt, J.C.R.; Collier, J.G. Magnetohydrodynamic pressure drop in ducted two-phase flows. Int. J. Multiph. Flow 1976, 3, 23–33. [Google Scholar] [CrossRef]
- Lohrasbi, J.; Sahai, V. Magnetohydrodynamic heat transfer in two-phase flow between parallel plates. Appl. Sci. Res. 1988, 45, 53–66. [Google Scholar] [CrossRef]
- Malashetty, M.S.; Umavathi, J.C. Two-phase magnetohydrodynamic flow and heat transfer in an inclined channel. Int. J. Multiph. Flow 1997, 23, 545–560. [Google Scholar] [CrossRef]
- Umavathi, J.C.; Liu, I.-C.; Prathap Kumar, J. Magnetohydrodynamic Poiseuille-Couette flow and heat transfer in an inclined channel. J. Mech. 2010, 26, 525–532. [Google Scholar] [CrossRef]
- Shah, N.A.; Alrabaiah, H.; Vieru, D.; Yook, S.-J. Induced magnetic field and viscous dissipation on flows of two immiscible fluids in a rectangular channel. Sci. Rep. 2022, 12, 39. [Google Scholar] [CrossRef] [PubMed]
- Landman, M.J. Non-unique holdup and pressure drop in two-phase stratified inclined pipe flow. Int. J. Multiph. Flow 1991, 17, 377–394. [Google Scholar] [CrossRef]
- Ullmann, A.; Zamir, M.; Ludmer, Z.; Brauner, N. Stratified laminar countercurrent flow of two liquid phases in inclined tubes. Int. J. Multiph. Flow 2003, 29, 1583–1604. [Google Scholar] [CrossRef]
- Ullmann, A.; Zamir, M.; Gat, S.; Brauner, N. Multi-holdups in co-current stratified flow in inclined tubes. Int. J. Multiph. Flow 2003, 29, 1565–1581. [Google Scholar] [CrossRef]
- Ullmann, A.; Goldstien, A.; Zamir, M.; Brauner, N. Closure relations for the shear stresses in two-fluid models for stratified laminar flows. Int. J. Multiph. Flow 2004, 30, 877–900. [Google Scholar] [CrossRef]
- Goldstein, A.; Ullmann, A.; Brauner, N. Characteristics of stratified laminar flows in inclined pipes. Int. J. Multiph. Flow 2015, 75, 267–287. [Google Scholar] [CrossRef]
- Barmak, I.; Gelfgat, A.; Vitoshkin, H.; Ullmann, A.; Brauner, N. Stability of stratified two-phase flows in horizontal channels. Phys. Fluids 2016, 28, 044101. [Google Scholar] [CrossRef]
- Barmak, I.; Gelfgat, A.Y.; Ullmann, A.; Brauner, N. Stability of stratified two-phase flows in inclined channels. Phys. Fluids 2016, 28, 084101. [Google Scholar] [CrossRef]
- Gelfgat, A.; Brauner, N. Instability of stratified two-phase flows in rectangular ducts. Int. J. Multiph. Flow 2020, 131, 103395. [Google Scholar] [CrossRef]
- Gelfgat, A.; Barmak, I.; Brauner, N. Instability of stratified two-phase flows in inclined rectangular ducts. Int. J. Multiph. Flow 2021, 138, 103586. [Google Scholar] [CrossRef]


















| Name | Notation | Mercury (Hg) | Air |
|---|---|---|---|
| Density | ρ | 13,534 kg/m3 | 1.2 kg/m3 |
| Dynamic viscosity | η | 0.00149 kg/(m∙s) | 1.8 × 10−5 kg/(m∙s) |
| Kinematic viscosity | ν = η/ρ | 1.1 × 10−7 m2/s | 1.8 × 10−5 m2/s |
| Electric conductivity | σ | 106 1/(Ω∙m) | |
| Surface tension | γ | 0.4589 N/m |
| Name | Notation | Sodium (Na) | Argon (Ar) |
|---|---|---|---|
| Density | ρ | 856 kg/m3 | 0.713 |
| Dynamic viscosity | η | 0.000284 kg/(m∙s) | 2.4 × 10−5 |
| Kinematic viscosity | ν = η/ρ | 3.32 × 10−7 m2/s | 3.37 × 10−5 |
| Electric conductivity | σ | 4.52 × 106 1/(Ω∙m) | |
| Surface tension | γ | 0.161 N/m |
Disclaimer/Publisher’s Note: The statements, opinions and data contained in all publications are solely those of the individual author(s) and contributor(s) and not of MDPI and/or the editor(s). MDPI and/or the editor(s) disclaim responsibility for any injury to people or property resulting from any ideas, methods, instructions or products referred to in the content. |
© 2024 by the authors. Licensee MDPI, Basel, Switzerland. This article is an open access article distributed under the terms and conditions of the Creative Commons Attribution (CC BY) license (https://creativecommons.org/licenses/by/4.0/).
Share and Cite
Parfenov, A.; Gelfgat, A.; Ullmann, A.; Brauner, N. Hartmann Flow of Two-Layered Fluids in Horizontal and Inclined Channels. Fluids 2024, 9, 129. https://doi.org/10.3390/fluids9060129
Parfenov A, Gelfgat A, Ullmann A, Brauner N. Hartmann Flow of Two-Layered Fluids in Horizontal and Inclined Channels. Fluids. 2024; 9(6):129. https://doi.org/10.3390/fluids9060129
Chicago/Turabian StyleParfenov, Arseniy, Alexander Gelfgat, Amos Ullmann, and Neima Brauner. 2024. "Hartmann Flow of Two-Layered Fluids in Horizontal and Inclined Channels" Fluids 9, no. 6: 129. https://doi.org/10.3390/fluids9060129
APA StyleParfenov, A., Gelfgat, A., Ullmann, A., & Brauner, N. (2024). Hartmann Flow of Two-Layered Fluids in Horizontal and Inclined Channels. Fluids, 9(6), 129. https://doi.org/10.3390/fluids9060129

