Impact of the Soundproofing in the Cavity of the Synthetic Jet Actuator on the Generated Noise
Abstract
1. Introduction
2. Materials and Methods
3. Results and Discussion
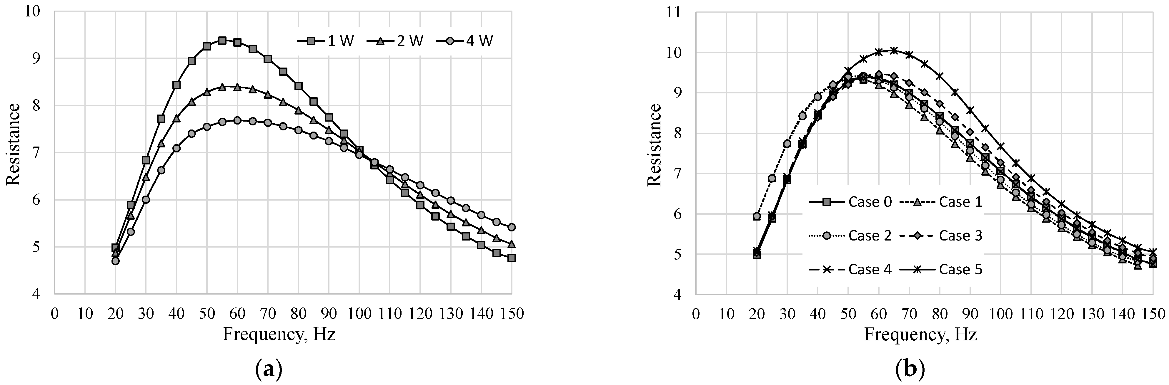
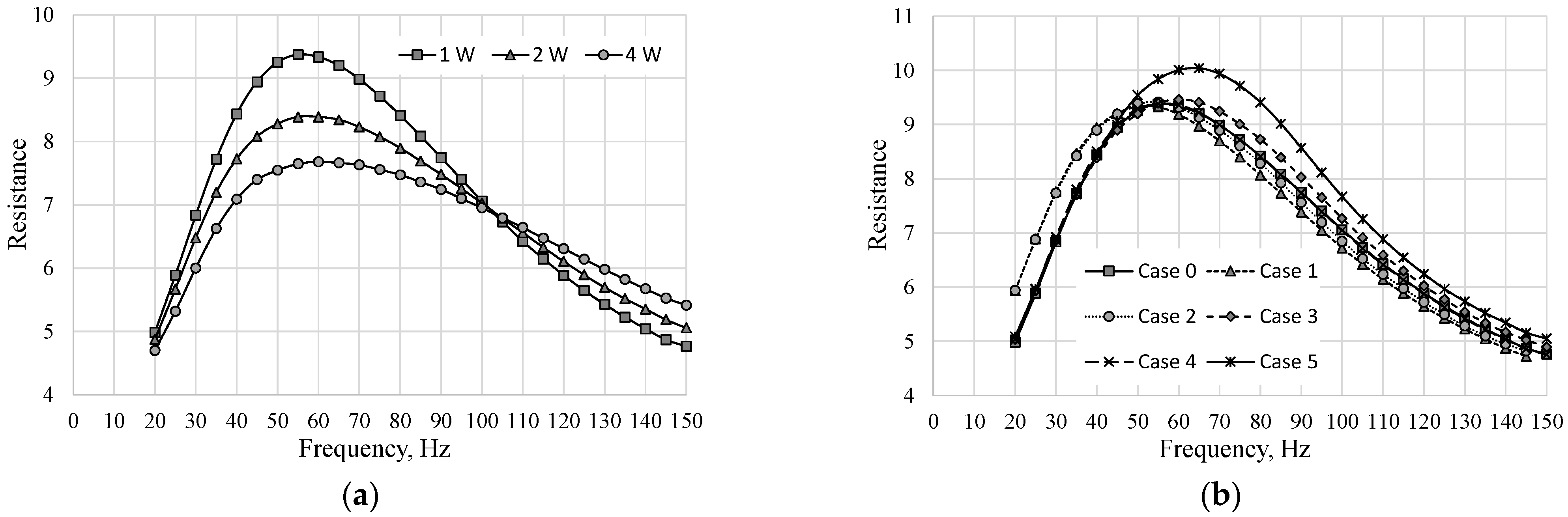
3.1. Resonant Frequency
3.2. Sound Pressure Level
4. Conclusions
Author Contributions
Funding
Data Availability Statement
Conflicts of Interest
References
- Smith, B.L.; Glezer, A. The formation and evolution of synthetic jets. Phys. Fluids 1998, 10, 2281–2297. [Google Scholar] [CrossRef]
- Singh, P.K.; Sahu, S.K.; Upadhyay, P.K. Experimental investigation of the thermal behavior a single-cavity and multiple-orifice synthetic jet impingement driven by electromagnetic actuator for electronics cooling. Exp. Heat Transf. 2022, 35, 132–158. [Google Scholar] [CrossRef]
- Singh, P.K.; Sahu, S.K.; Upadhyay, P.K.; Jain, A.K. Experimental investigation on thermal characteristics of hot surface by synthetic jet impingement. Appl. Therm. Eng. 2020, 165, 114596. [Google Scholar] [CrossRef]
- Gil, P.; Wilk, J. Heat transfer coefficients during the impingement cooling with the use of synthetic jet. Int. J. Therm. Sci. 2020, 147, 106132. [Google Scholar] [CrossRef]
- Strzelczyk, P.; Gil, P. Properties of velocity field in the vicinity of synthetic jet generator. J. Phys. Conf. Ser. 2016, 760, 012029. [Google Scholar] [CrossRef]
- Gil, P. Bluff body drag control using synthetic jet. J. Appl. Fluid Mech. 2019, 12, 293–302. [Google Scholar] [CrossRef]
- Liu, J.-F.; Luo, Z.-B.; Deng, X.; Zhao, Z.-J.; Li, S.-Q.; Liu, Q.; Zhu, Y.-X. Dual Synthetic Jets Actuator and Its Applications—Part II: Novel Fluidic Thrust-Vectoring Method Based on Dual. Actuators 2022, 11, 209. [Google Scholar] [CrossRef]
- Trávníček, Z.; Dancova, P.; Lam, J.H.; Timochenko, V.; Reizes, J. Numerical and experimental studies of a channel flow with multiple circular synthetic jets. EPJ Web Conf. 2012, 25, 01094. [Google Scholar] [CrossRef]
- Xia, Q.; Zhong, S. Enhancement of laminar flow mixing using a pair of staggered lateral synthetic jets. Sens. Actuators A Phys. 2014, 207, 75–83. [Google Scholar] [CrossRef]
- Wang, L.; Feng, L.H.; Wang, J.J.; Li, T. Characteristics and mechanism of mixing enhancement for noncircular synthetic jets at low Reynolds number. Exp. Therm. Fluid Sci. 2018, 98, 731–743. [Google Scholar] [CrossRef]
- Zhang, B.; Liu, H.; Li, Y.; Liu, H.; Dong, J. Experimental study of coaxial jets mixing enhancement using synthetic jets. Appl. Sci. 2021, 11, 803. [Google Scholar] [CrossRef]
- Ikhlaq, M.; Yasir, M.; Ghaffari, O.; Arik, M. Acoustics and Heat Transfer Characteristics of Piezoelectric Driven Central Orifice Synthetic Jet Actuators. Exp. Heat Transf. 2021, 35, 758–779. [Google Scholar] [CrossRef]
- ISO 9241-6:1999; Ergonomic Requirements for Office Work with Visual Display Terminals (VDTs)-Part 6: Guidance on the Work Environment. ISO: Geneva, Switzerland, 1999; p. 32.
- Colenberg, S.; Jylhä, T.; Arkesteijn, M. The relationship between interior office space and employee health and well-being—A literature review. Build. Res. Inf. 2021, 49, 352–366. [Google Scholar] [CrossRef]
- Bourikas, L.; Gauthier, S.; Khor Song En, N.; Xiong, P. Effect of Thermal, Acoustic and Air Quality Perception Interactions on the Comfort and Satisfaction of People in Office Buildings. Energies 2021, 14, 333. [Google Scholar] [CrossRef]
- Zaman, M.; Muslim, M.; Jehangir, A. Environmental noise-induced cardiovascular, metabolic and mental health disorders: A brief review. Environ. Sci. Pollut. Res. 2022, 1–16. [Google Scholar] [CrossRef]
- Arik, M. An investigation into feasibility of impingement heat transfer and acoustic abatement of meso scale synthetic jets. Appl. Therm. Eng. 2007, 27, 1483–1494. [Google Scholar] [CrossRef]
- Lasance, C.J.M.; Aarts, R.M.; Ouweltjes, O. Synthetic Jet Cooling Part II: Experimental Results of An Acoustic Dipole Cooler. In Proceedings of the 2008 Twenty-Fourth Annual IEEE Semiconductor Thermal Measurement and Management Symposium, San Jose, CA, USA, 16–20 March 2008; pp. 26–31. [Google Scholar]
- Bhapkar, U.S.; Srivastava, A.; Agrawal, A. Acoustic and heat transfer aspects of an inclined impinging synthetic jet. Int. J. Therm. Sci. 2013, 74, 145–155. [Google Scholar] [CrossRef]
- Kanase, M.M.; Mangate, L.D.; Chaudhari, M.B. Acoustic aspects of synthetic jet generated by acoustic actuator. J. Low Freq. Noise Vib. Act. Control. 2018, 37, 31–47. [Google Scholar] [CrossRef]
- Bhapkar, U.S.; Srivastava, A.; Agrawal, A. Acoustic and heat transfer characteristics of an impinging elliptical synthetic jet generated by acoustic actuator. Int. J. Heat Mass Transf. 2014, 79, 12–23. [Google Scholar] [CrossRef]
- Zhang, L.; Liu, S.; Lin, J.; Sun, A.; Gan, Z.; Zhang, X.; Liu, J. Effects of loudspeaker-driven synthetic jet actuator parameters on the characteristics of the synthetic jet. Appl. Acoust. 2022, 197, 108943. [Google Scholar] [CrossRef]
- Gil, P.; Smyk, E.; Gałek, R.; Przeszłowski, Ł. Thermal, flow and acoustic characteristics of the heat sink integrated inside the synthetic jet actuator cavity. Int. J. Therm. Sci. 2021, 170, 107171. [Google Scholar] [CrossRef]
- Jabbal, M.; Jeyalingam, J. Towards the noise reduction of piezoelectrical-driven synthetic jet actuators. Sens. Actuators A Phys. 2017, 266, 273–284. [Google Scholar] [CrossRef]
- Mangate, L.D.; Chaudhari, M.B. Heat transfer and acoustic study of impinging synthetic jet using diamond and oval shape orifice. Int. J. Therm. Sci. 2015, 89, 100–109. [Google Scholar] [CrossRef]
- Mangate, L.; Yadav, H.; Agrawal, A.; Chaudhari, M. Experimental investigation on thermal and flow characteristics of synthetic jet with multiple-orifice of different shapes. Int. J. Therm. Sci. 2019, 140, 344–357. [Google Scholar] [CrossRef]
- Smyk, E.; Markowicz, M. Acoustic and Flow Aspects of Synthetic Jet Actuators with Chevron Orifices. Appl. Sci. 2021, 11, 652. [Google Scholar] [CrossRef]
- Gil, P. Performance of special type heat sink with an integrated synthetic jet actuator. E3S Web Conf. 2019, 100, 00017. [Google Scholar]
- Smyk, E.; Gil, P.; Gałek, R.; Przeszłowski, Ł. Acoustic and Flow Aspects of Novel Synthetic Jet Actuator. Actuators 2020, 9, 100. [Google Scholar] [CrossRef]
- Gil, P.; Smyk, E. Synthetic jet actuator efficiency based on the reaction force measurement. Sens. Actuators A Phys. 2019, 295, 405–413. [Google Scholar] [CrossRef]
- Smyk, E.; Przeszłowski, Ł.; Strzelczyk, P.M. Impact of the confinement plate on the synthetic jet. AIP Adv. 2020, 10, 105204. [Google Scholar] [CrossRef]
- Smyk, E.; Smusz, R. Impact of the confinement plate on the velocity of synthetic jet. Actuators 2021, 10, 208. [Google Scholar] [CrossRef]
- Broučková, Z.; Trávníček, Z. Visualization study of hybrid synthetic jets. J. Vis. 2015, 18, 581–593. [Google Scholar] [CrossRef]
- ISO 3746:2010; Acoustics—Determination of Sound Power Levels and Sound Energy Levels of Noise Sources Using Sound Pressure—Survey Method Using an Enveloping Measurement Surface over a Reflecting Plane. ISO: Geneva, Switzerland, 2010; p. 48.
- Kordík, J.; Trávníček, Z. Optimal diameter of nozzles of synthetic jet actuators based on electrodynamic transducers. Exp. Therm. Fluid Sci. 2017, 86, 281–294. [Google Scholar] [CrossRef]
- Gil, P.; Strzelczyk, P. Performance and efficiency of loudspeaker driven synthetic jet actuator. Exp. Therm. Fluid Sci. 2016, 76, 163–174. [Google Scholar] [CrossRef]
- Bhapkar, U.S.; Srivastava, A.; Agrawal, A. Proper cavity shape can mitigate confinement effect in synthetic jet impingement cooling. Exp. Therm. Fluid Sci. 2015, 68, 392–401. [Google Scholar] [CrossRef]
- Gil, P.; Wilk, J.; Korzeniowski, M. Helmholtz Resonance Frequency of the Synthetic Jet Actuator. Appl. Sci. 2021, 11, 5666. [Google Scholar] [CrossRef]
- Chaudhari, M.; Verma, G.; Puranik, B.; Agrawal, A. Frequency response of a synthetic jet cavity. Exp. Therm. Fluid Sci. 2009, 33, 439–448. [Google Scholar] [CrossRef]
- De Luca, L.; Girfoglio, M.; Chiatto, M.; Coppola, G. Scaling properties of resonant cavities driven by piezo-electric actuators. Sens. Actuators A Phys. 2016, 247, 465–474. [Google Scholar] [CrossRef]




| Type of Soundproofing | The Thickness of Soundproofing, mm | |
|---|---|---|
| Case 0 | Non | - |
| Case 1 | cross-linked polyethylene foam (xlpe) | 10 |
| Case 2 | pyramid acoustic foam with 32 mm high ‘pyramids’ | 40 |
| Case 3 | pyramid acoustic foam with 38 mm high ‘pyramids’ | 55 |
| Case 4 | expanded polypropylene foam (EPP) | 50 |
| Case 5 | mineral wool | 100 |
Publisher’s Note: MDPI stays neutral with regard to jurisdictional claims in published maps and institutional affiliations. |
© 2022 by the authors. Licensee MDPI, Basel, Switzerland. This article is an open access article distributed under the terms and conditions of the Creative Commons Attribution (CC BY) license (https://creativecommons.org/licenses/by/4.0/).
Share and Cite
Smyk, E.; Markowicz, M. Impact of the Soundproofing in the Cavity of the Synthetic Jet Actuator on the Generated Noise. Fluids 2022, 7, 323. https://doi.org/10.3390/fluids7100323
Smyk E, Markowicz M. Impact of the Soundproofing in the Cavity of the Synthetic Jet Actuator on the Generated Noise. Fluids. 2022; 7(10):323. https://doi.org/10.3390/fluids7100323
Chicago/Turabian StyleSmyk, Emil, and Marek Markowicz. 2022. "Impact of the Soundproofing in the Cavity of the Synthetic Jet Actuator on the Generated Noise" Fluids 7, no. 10: 323. https://doi.org/10.3390/fluids7100323
APA StyleSmyk, E., & Markowicz, M. (2022). Impact of the Soundproofing in the Cavity of the Synthetic Jet Actuator on the Generated Noise. Fluids, 7(10), 323. https://doi.org/10.3390/fluids7100323

