Empirical Law for the Magnetorheological Effect of Nanocomposite Hydrogels with Magnetite Microparticles
Abstract
1. Introduction
2. Materials and Methods
2.1. Materials
2.2. Sieving of Particles
2.3. Synthesis of Magnetorheological Nanocomposite Hydrogels
2.4. Storage of Gels
2.5. Determination of Degree of Swelling
2.6. Rheological Setup
2.7. Rheological Measurements
3. Results and Discussion
3.1. Magnetorheological Nanocomposite Hydrogels
3.2. Magnetorheological Measurements
3.2.1. Measurement Conditions
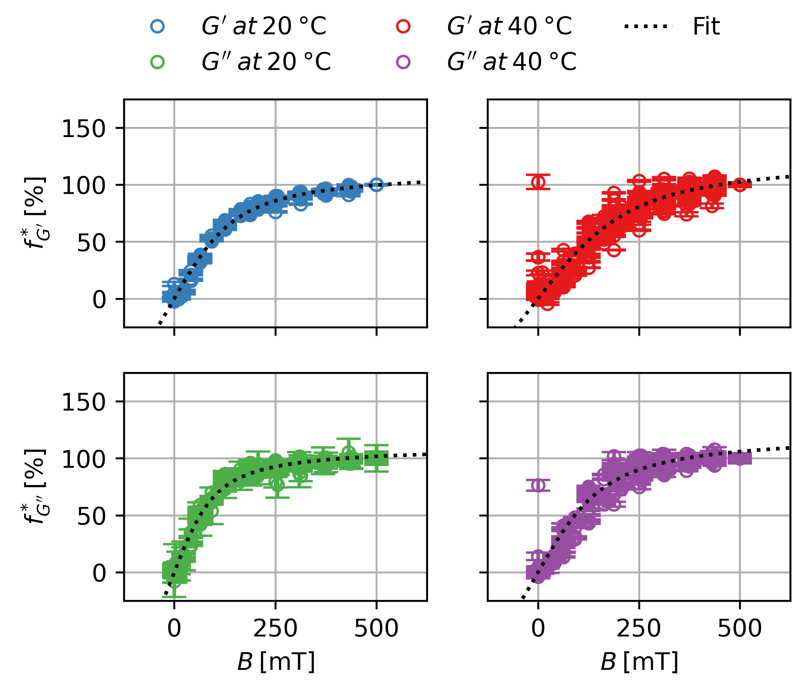
3.2.2. Evaluation Method
3.3. Nonmagnetic Influences on the Mechanical Properties
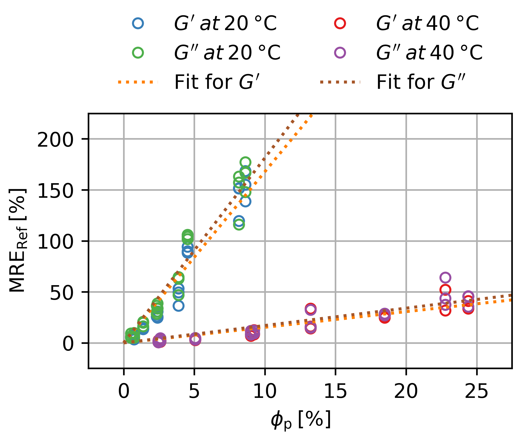
3.4. Regression Analysis for the Magnetorheological Effect
3.5. Degree of Swelling as a Parameter
3.6. Statistical Analysis
4. Conclusions
Supplementary Materials
Author Contributions
Funding
Data Availability Statement
Conflicts of Interest
Abbreviations
| LCST | Lower critical solution temperature |
| MRE | Magnetorheological effect |
| NIPAAm | N-isopropylacrylamide |
References
- Alemán, J.V.; Chadwick, A.V.; He, J.; Hess, M.; Horie, K.; Jones, R.G.; Kratochvíl, P.; Meisel, I.; Mita, I.; Moad, G.; et al. Definitions of Terms Relating to the Structure and Processing of Sols, Gels, Networks, and Inorganic-Organic Hybrid Materials (IUPAC Recommendations 2007). Pure Appl. Chem. 2007, 79, 1801–1829. [Google Scholar] [CrossRef]
- Peppas, N.A.; Hilt, J.Z.; Khademhosseini, A.; Langer, R. Hydrogels in Biology and Medicine: From Molecular Principles to Bionanotechnology. Adv. Mater. 2006, 18, 1345–1360. [Google Scholar] [CrossRef]
- Binder, S.; Zschoche, S.; Voit, B.; Gerlach, G. Semi-Interpenetrating Polymer Networks Based on N -Isopropylacrylamide and 2-Acrylamido-2-Methylpropane Sulfonic Acid for Intramolecular Force-Compensated Sensors. J. Electrochem. Soc. 2021, 167, 167521. [Google Scholar] [CrossRef]
- Che, Y.; Gaitzsch, J.; Liubimtsev, N.; Zschoche, S.; Bauer, T.; Appelhans, D.; Voit, B. Double Cross-Linked Supramolecular Hydrogels with Tunable Properties Based on Host—Guest Interactions. Soft Matter 2020, 16, 6733–6742. [Google Scholar] [CrossRef] [PubMed]
- Erfkamp, J.; Guenther, M.; Gerlach, G. Enzyme-Functionalized Piezoresistive Hydrogel Biosensors for the Detection of Urea. Sensors 2019, 19, 2858. [Google Scholar] [CrossRef] [PubMed]
- Qiu, Y.; Park, K. Environment-Sensitive Hydrogels for Drug Delivery. Adv. Drug Deliv. Rev. 2001, 53, 19. [Google Scholar] [CrossRef] [PubMed]
- Filipcsei, G.; Csetneki, I.; Szilágyi, A.; Zrínyi, M. Magnetic Field-Responsive Smart Polymer Composites. In Oligomers # Polymer Composites Molecular Imprinting; Springer: Berlin/Heidelberg, Germany, 2006; Volume 206, pp. 137–189. [Google Scholar] [CrossRef]
- Zrínyi, M.; Barsi, L.; Büki, A. Ferrogel: A New Magneto-Controlled Elastic Medium. Polym. Gels Netw. 1997, 5, 415–427. [Google Scholar] [CrossRef]
- Sivudu, K.S.; Rhee, K. Preparation and Characterization of pH-responsive Hydrogel Magnetite Nanocomposite. Colloids Surfaces Physicochem. Eng. Asp. 2009, 349, 29–34. [Google Scholar] [CrossRef]
- Pérez-Ramírez, H.A.; Haro-Pérez, C.; Odriozola, G. Effect of Temperature on the Cononsolvency of Poly(N-Isopropylacrylamide) (PNIPAM) in Aqueous 1-Propanol. ACS Appl. Polym. Mater. 2019, 1, 2961–2972. [Google Scholar] [CrossRef]
- Hoffman, A.S. Applications of Thermally Reversible Polymers and Hydrogels in Therapeutics and Diagnostics. J. Control. Release 1987, 6, 297–305. [Google Scholar] [CrossRef]
- Haraguchi, K.; Takehisa, T.; Fan, S. Effects of Clay Content on the Properties of Nanocomposite Hydrogels Composed of Poly(N-Isopropylacrylamide) and Clay. Macromolecules 2002, 35, 10162–10171. [Google Scholar] [CrossRef]
- Haraguchi, K.; Li, H.J.; Matsuda, K.; Takehisa, T.; Elliott, E. Mechanism of Forming Organic/Inorganic Network Structures during In-situ Free-Radical Polymerization in PNIPA—Clay Nanocomposite Hydrogels. Macromolecules 2005, 38, 3482–3490. [Google Scholar] [CrossRef]
- Becher, T.B.; Braga, C.B.; Bertuzzi, D.L.; Ramos, M.D.; Hassan, A.; Crespilho, F.N.; Ornelas, C. The Structure—Property Relationship in LAPONITE® Materials: From Wigner Glasses to Strong Self-Healing Hydrogels Formed by Non-Covalent Interactions. Soft Matter 2019, 15, 1278–1289. [Google Scholar] [CrossRef] [PubMed]
- Liu, Y.; Zhu, M.; Liu, X.; Zhang, W.; Sun, B.; Chen, Y.; Adler, H.J.P. High Clay Content Nanocomposite Hydrogels with Surprising Mechanical Strength and Interesting Deswelling Kinetics. Polymer 2006, 47, 1–5. [Google Scholar] [CrossRef]
- Nowak, J. Magnetoviskose Effekte Blutverdünnter Ferrofluide. Ph.D. Thesis, Technische Universität Dresden, Dresden, Geymany, 2017. [Google Scholar]
- Walter, B.L.; Pelteret, J.P.; Kaschta, J.; Schubert, D.W.; Steinmann, P. On the Wall Slip Phenomenon of Elastomers in Oscillatory Shear Measurements Using Parallel-Plate Rotational Rheometry: I. Detecting Wall Slip. Polymer 2017, 61, 430–440. [Google Scholar] [CrossRef]
- Flory, P.J.; Rehner, J. Statistical Mechanics of Cross—Linked Polymer Networks II. Swelling. J. Chem. Phys. 1943, 11, 521–526. [Google Scholar] [CrossRef]
- Haraguchi, K.; Xu, Y.; Li, G. Molecular Characteristics of Poly (N-isopropylacrylamide) Separated from Nanocomposite Gels by Removal of Clay from the Polymer/Clay Network. Macromol. Rapid Commun. 2010, 31, 718–723. [Google Scholar] [CrossRef] [PubMed]
- Schild, H. Poly(N-isopropylacrylamide): Experiment, Theory and Application. Prog. Polym. Sci. 1992, 17, 163–249. [Google Scholar] [CrossRef]
- Jia, D.; Muthukumar, M. Theory of Charged Gels: Swelling, Elasticity, and Dynamics. Gels 2021, 7, 49. [Google Scholar] [CrossRef] [PubMed]
- Schümann, M.; Morich, J.; Günther, S.; Odenbach, S. The Evaluation of Anisotropic Particle Structures of Magnetorheological Elastomers by Means of Pair Correlation Function. J. Magn. Magn. Mater. 2020, 502, 166537. [Google Scholar] [CrossRef]












| [%] | [%] | |||
|---|---|---|---|---|
| 10 | 2.1 | 5 | 0.45 | 0.61 |
| 20 | 4.6 | 5 | 0.45 | 1.36 |
| 30 | 7.7 | 5 | 0.45 | 2.34 |
| 40 | 11.5 | 5 | 0.45 | 3.63 |
| 50 | 16.3 | 5 | 0.45 | 5.45 |
| 60 | 22.6 | 5 | 0.45 | 8.18 |
Disclaimer/Publisher’s Note: The statements, opinions and data contained in all publications are solely those of the individual author(s) and contributor(s) and not of MDPI and/or the editor(s). MDPI and/or the editor(s) disclaim responsibility for any injury to people or property resulting from any ideas, methods, instructions or products referred to in the content. |
© 2023 by the authors. Licensee MDPI, Basel, Switzerland. This article is an open access article distributed under the terms and conditions of the Creative Commons Attribution (CC BY) license (https://creativecommons.org/licenses/by/4.0/).
Share and Cite
Selzer, L.; Odenbach, S. Empirical Law for the Magnetorheological Effect of Nanocomposite Hydrogels with Magnetite Microparticles. Gels 2023, 9, 182. https://doi.org/10.3390/gels9030182
Selzer L, Odenbach S. Empirical Law for the Magnetorheological Effect of Nanocomposite Hydrogels with Magnetite Microparticles. Gels. 2023; 9(3):182. https://doi.org/10.3390/gels9030182
Chicago/Turabian StyleSelzer, Lukas, and Stefan Odenbach. 2023. "Empirical Law for the Magnetorheological Effect of Nanocomposite Hydrogels with Magnetite Microparticles" Gels 9, no. 3: 182. https://doi.org/10.3390/gels9030182
APA StyleSelzer, L., & Odenbach, S. (2023). Empirical Law for the Magnetorheological Effect of Nanocomposite Hydrogels with Magnetite Microparticles. Gels, 9(3), 182. https://doi.org/10.3390/gels9030182

