In Vitro and Ex Vivo Evaluation of Fluocinolone Acetonide–Acitretin-Coloaded Nanostructured Lipid Carriers for Topical Treatment of Psoriasis
Abstract
1. Introduction
2. Results and Discussion
2.1. Preparation and Optimization of FLU–ACT-Coloaded NLCs
2.2. Characterization of FLU–ACT–Coloaded NLCs
2.2.1. Effects of Variables on Particle Size
2.2.2. Effects of Variables on Zeta Potential
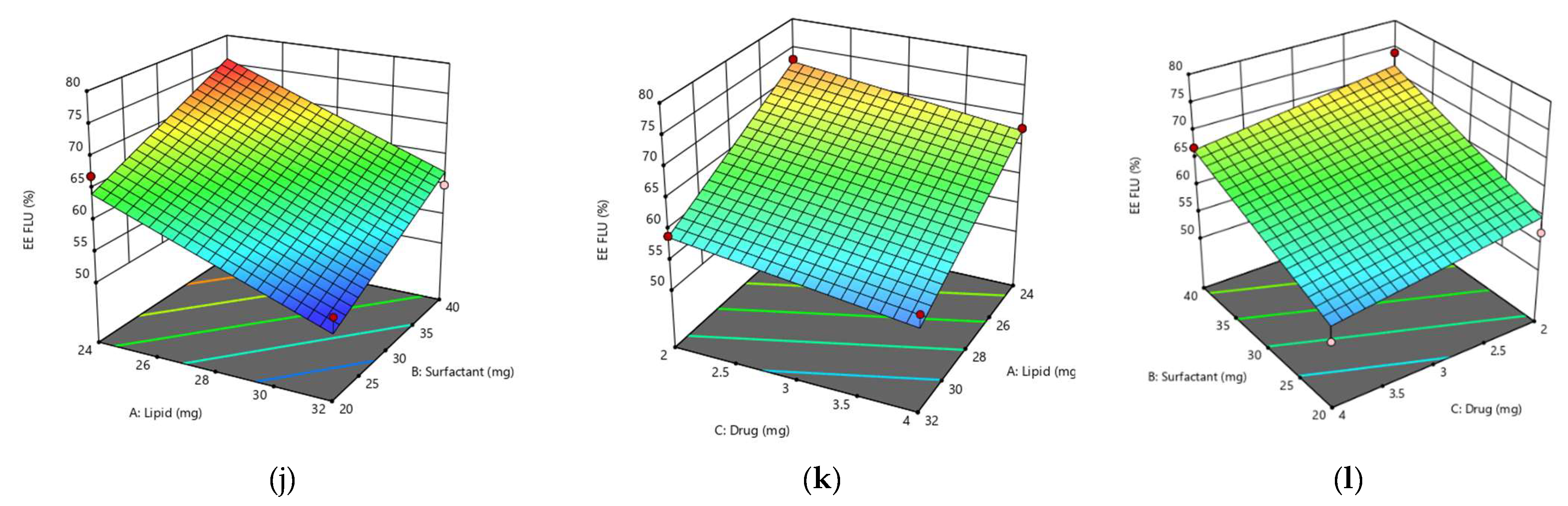
2.2.3. Effect of Variables on Entrapment Efficiency
2.3. Characterization of FLU–ACT–Coloaded NLCs
2.3.1. Particle Size, Zeta Potential, Polydispersity Index (PDI) and Entrapment Efficiency
2.3.2. Transmission Electron Microscope (TEM) Analysis
2.3.3. Powder X-ray Diffractometry (PXRD) Analysis
2.3.4. Differential Scanning Calorimetry (DSC) Analysis
2.3.5. Fourier-Transform Infrared Spectroscopy (FTIR) Analysis
2.3.6. Preparation and Characterization of FLU–ACT-Coloaded NLC Gel
2.3.7. Drug Content and Spreadability
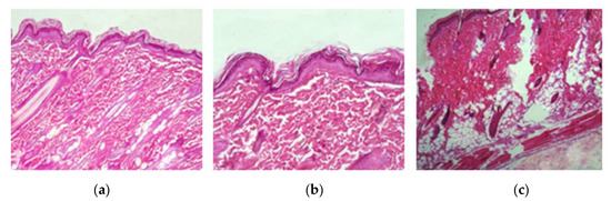
2.3.8. Skin Irritation Study
2.3.9. In Vitro Drug Release
2.3.10. Ex Vivo Permeability Study
2.3.11. Skin Deposition Study
2.3.12. Stability Study
3. Conclusions
4. Materials and Methods
4.1. Materials
4.2. Preparation of FLU–ACT-Coloaded NLCs
4.3. Optimization of FLU–ACT-Coloaded NLCs
4.4. Characterization of FLU–ACT NLCs
Particle Size, Zeta Potential and Polydispersity Index
4.5. Entrapment Efficiency (%EE) of FLU–ACT-Coloaded NLCs
4.5.1. Transmission Electron Microscopy (TEM)
4.5.2. Powder X-ray Diffractometry (PXRD)
4.5.3. Fourier-Transform Infrared Spectroscopy (FTIR)
4.5.4. Diffraction Scanning Calorimetry (DSC)
4.6. In Vitro Release Study
4.7. Preparation of Gel
4.7.1. Gel Characterization
Homogeneity and pH Determination
4.7.2. Drug Content
4.7.3. Rheological Study
4.7.4. Spreadability Study
4.8. Skin Irritation Study
4.9. Skin Permeability Study
4.10. Skin Deposition Study
Stability Studies
Author Contributions
Funding
Institutional Review Board Statement
Informed Consent Statement
Data Availability Statement
Acknowledgments
Conflicts of Interest
References
- Pradhan, M.; Singh, D.; Singh, M.R. Novel colloidal carriers for psoriasis: Current issues, mechanistic insight and novel delivery approaches. J. Control. Release 2013, 170, 380–395. [Google Scholar] [CrossRef]
- Lomholt, G. Prevalence of skin diseases in a population; a census study from the Faroe Islands. Dan. Med. Bull. 1964, 11, 1–7. [Google Scholar]
- Silverberg, N.B. Pediatric psoriasis: An update. Ther. Clin. Risk Manag. 2009, 5, 849. [Google Scholar] [CrossRef]
- Langley, R.; Krueger, G.; Griffiths, C. Psoriasis: Epidemiology, clinical features, and quality of life. Ann. Rheum. Dis. 2005, 64 (Suppl. S2), ii18–ii23. [Google Scholar] [CrossRef]
- Agrawal, Y.; Petkar, K.C.; Sawant, K.K. Development, evaluation and clinical studies of Acitretin loaded nanostructured lipid carriers for topical treatment of psoriasis. Int. J. Pharm. 2010, 401, 93–102. [Google Scholar] [CrossRef]
- Pradhan, M.; Yadav, K.; Singh, D.; Singh, M.R. Topical delivery of fluocinolone acetonide integrated NLCs and salicylic acid enriched gel: A potential and synergistic approach in the management of psoriasis. J. Drug Deliv. Sci. Technol. 2021, 61, 102282. [Google Scholar] [CrossRef]
- Gordon, K.B.; Armstrong, A.W.; Menter, M.A.; Wu, J.J. Treating to target—A realistic goal in psoriasis. Semin. Cutan. Med. Surg. 2018, 37, S44–S47. [Google Scholar] [CrossRef]
- Yentzer, B.A.; Ade, R.A.; Fountain, J.M.; Clark, A.R.; Taylor, S.L.; Fleischer, A.B., Jr.; Feldman, S.R. Simplifying regimens promotes greater adherence and outcomes with topical acne medications: A randomized controlled trial. Cutis 2010, 86, 103–108. [Google Scholar]
- Thongprasom, K. Pregled učinkovitosti i nuspojava 0, 1%-tnog fluocinolon acetonida u liječenju bolesti oralne sluznice. Acta Stomatol. Croat. 2017, 51, 240–247. [Google Scholar] [CrossRef]
- Pauporte, M.; Maibach, H.; Lowe, N.; Pugliese, M.; Friedman, D.J.; Mendelsohn, H.; Cargill, I.; Ramirez, R. Fluocinolone acetonide topical oil for scalp psoriasis. J. Dermatol. Treat. 2004, 15, 360–364. [Google Scholar] [CrossRef]
- Pradhan, M.; Singh, D.; Murthy, S.N.; Singh, M.R. Design, characterization and skin permeating potential of Fluocinolone acetonide loaded nanostructured lipid carriers for topical treatment of psoriasis. Steroids 2015, 101, 56–63. [Google Scholar] [CrossRef]
- Badıllı, U.; Şen, T.; Tarımcı, N. Microparticulate based topical delivery system of clobetasol propionate. AAPS PharmSciTech 2011, 12, 949–957. [Google Scholar] [CrossRef]
- Gautam, M.; Tahiliani, H.; Nadkarni, N.; Patil, S.; Godse, K. Acitretin in pediatric dermatoses. Indian J. Paediatr. Dermatol. 2016, 17, 87. [Google Scholar] [CrossRef]
- Sue Lee, C.; Koo, J. A review of acitretin, a systemic retinoid for the treatment of psoriasis. Expert Opin. Pharmacother. 2005, 6, 1725–1734. [Google Scholar] [CrossRef]
- Kaushik, S.B.; Lebwohl, M.G. Review of safety and efficacy of approved systemic psoriasis therapies. Int. J. Dermatol. 2019, 58, 649–658. [Google Scholar] [CrossRef]
- Mahajan, M.; Kaur, M.; Thakur, S.; Singh, A.; Shahtaghi, N.R.; Shivgotra, R.; Bhardwaj, N.; Saini, S.; Jain, S.K. Solid Lipid Nanoparticles as Carrier to Increase Local Bioavailability of Acitretin After Topical Administration in Psoriasis Treatment. J. Pharm. Innov. 2022, 17, 1–18. [Google Scholar]
- Souto, E.B.; Wissing, S.A.; Barbosa, C.M.; Müller, R.H. Development of a controlled release formulation based on SLN and NLC for topical clotrimazole delivery. Int. J. Pharm. 2004, 278, 71–77. [Google Scholar] [CrossRef]
- Ferreira, M.; Chaves, L.L.; Lima, S.A.C.; Reis, S. Optimization of nanostructured lipid carriers loaded with methotrexate: A tool for inflammatory and cancer therapy. Int. J. Pharm. 2015, 492, 65–72. [Google Scholar] [CrossRef]
- Fang, J.-Y.; Fang, C.-L.; Liu, C.-H.; Su, Y.-H. Lipid nanoparticles as vehicles for topical psoralen delivery: Solid lipid nanoparticles (SLN) versus nanostructured lipid carriers (NLC). Eur. J. Pharm. Biopharm. 2008, 70, 633–640. [Google Scholar] [CrossRef]
- Na, Y.-G.; Huh, H.W.; Kim, M.-K.; Byeon, J.-J.; Han, M.-G.; Lee, H.-K.; Cho, C.-W. Development and evaluation of a film-forming system hybridized with econazole-loaded nanostructured lipid carriers for enhanced antifungal activity against dermatophytes. Acta Biomater. 2020, 101, 507–518. [Google Scholar] [CrossRef]
- Dadwal, A.; Mishra, N.; Rawal, R.K.; Narang, R.K. Development and characterisation of clobetasol propionate loaded Squarticles as a lipid nanocarrier for treatment of plaque psoriasis. J. Microencaps. 2020, 37, 341–354. [Google Scholar] [CrossRef]
- Yadav, K.; Chauhan, N.S.; Saraf, S.; Singh, D.; Singh, M.R. Challenges and need of delivery carriers for bioactives and biological agents: An introduction. In Advances and Avenues in the Development of Novel Carriers for Bioactives and Biological Agents; Elsevier: Amsterdam, The Netherlands, 2020; pp. 1–36. [Google Scholar]
- Dunn, L.K.; Gaar, L.R.; Yentzer, B.A.; O’Neill, J.L.; Feldman, S.R. Acitretin in dermatology: A review. J. Drugs Dermatol. JDD 2011, 10, 772–782. [Google Scholar]
- Ormerod, A.; Campalani, E.; Goodfield, M. British Association of Dermatologists guidelines on the efficacy and use of acitretin in dermatology. Br. J. Dermatol. 2010, 162, 952–963. [Google Scholar] [CrossRef]
- Pinto, J.; Ahmad, M.; Guru, B.R. Enhancing the efficacy of fluocinolone acetonide by encapsulating with PLGA nanoparticles and conjugating with linear PEG polymer. J. Biomater. Sci. Polym. Ed. 2019, 30, 1188–1211. [Google Scholar] [CrossRef]
- Khan, A.S.; ud Din, F.; Ali, Z.; Bibi, M.; Zahid, F.; Zeb, A.; Khan, G.M. Development, in vitro and in vivo evaluation of miltefosine loaded nanostructured lipid carriers for the treatment of Cutaneous Leishmaniasis. Int. J. Pharm. 2021, 593, 120109. [Google Scholar] [CrossRef]
- Yu, G.; Ali, Z.; Khan, A.S.; Ullah, K.; Jamshaid, H.; Zeb, A.; Imran, M.; Sarwar, S.; Choi, H.-G.; ud Din, F. Preparation, pharmacokinetics, and antitumor potential of miltefosine-loaded nanostructured lipid carriers. Int. J. Nanomed. 2021, 16, 3255. [Google Scholar] [CrossRef]
- Hu, F.-Q.; Jiang, S.-P.; Du, Y.-Z.; Yuan, H.; Ye, Y.-Q.; Zeng, S. Preparation and characterization of stearic acid nanostructured lipid carriers by solvent diffusion method in an aqueous system. Colloids Surf. B: Biointerfaces 2005, 45, 167–173. [Google Scholar] [CrossRef]
- Sanad, R.A.; AbdelMalak, N.S.; Elbayoomy, T.S.; Badawi, A.A. Formulation of a novel oxybenzone-loaded nanostructured lipid carriers (NLCs). AAPS PharmSciTech 2010, 11, 1684–1694. [Google Scholar] [CrossRef]
- Yu, Q.; Hu, X.; Ma, Y.; Xie, Y.; Lu, Y.; Qi, J.; Xiang, L.; Li, F.; Wu, W. Lipids-based nanostructured lipid carriers (NLCs) for improved oral bioavailability of sirolimus. Drug Deliv. 2016, 23, 1469–1475. [Google Scholar] [CrossRef]
- Yuan, H.; Wang, L.-L.; Du, Y.-Z.; You, J.; Hu, F.-Q.; Zeng, S. Preparation and characteristics of nanostructured lipid carriers for control-releasing progesterone by melt-emulsification. Colloids Surf. B. Biointerfaces 2007, 60, 174–179. [Google Scholar] [CrossRef]
- Aggarwal, N.; Goindi, S.; Khurana, R. Formulation, characterization and evaluation of an optimized microemulsion formulation of griseofulvin for topical application. Colloids Surf. B. Biointerfaces 2013, 105, 158–166. [Google Scholar] [CrossRef]
- ud Din, F.; Zeb, A.; Shah, K.U. Development, in-vitro and in-vivo evaluation of ezetimibe-loaded solid lipid nanoparticles and their comparison with marketed product. J. Drug Deliv. Sci. Technol. 2019, 51, 583–590. [Google Scholar] [CrossRef]
- Bahari, L.A.S.; Hamishehkar, H. The impact of variables on particle size of solid lipid nanoparticles and nanostructured lipid carriers; a comparative literature review. Adv. Pharm. Bull. 2016, 6, 143. [Google Scholar] [CrossRef]
- Das, S.; Khan, W.; Mohsin, S.; Kumar, N. Miltefosine loaded albumin microparticles for treatment of visceral leishmaniasis: Formulation development and in vitro evaluation. Polym. Adv. Technol. 2011, 22, 172–179. [Google Scholar] [CrossRef]
- Hashim, I.I.A.; El-Magd, N.F.A.; El-Sheakh, A.R.; Hamed, M.F.; Abd El, A.E.-G.H. Pivotal role of Acitretin nanovesicular gel for effective treatment of psoriasis: Ex vivo–in vivo evaluation study. Int. J. Nanomed. 2018, 13, 1059. [Google Scholar] [CrossRef]
- Dantas, I.L.; Bastos, K.T.S.; Machado, M.; Galvao, J.G.; Lima, A.D.; Gonsalves, J.K.M.C.; Almeida, E.D.P.; Araújo, A.A.S.; de Meneses, C.T.; Sarmento, V.H.V. Influence of stearic acid and beeswax as solid lipid matrix of lipid nanoparticles containing tacrolimus. J. Therm. Anal. Calorim. 2018, 132, 1557–1566. [Google Scholar] [CrossRef]
- Limsitthichaikoon, S.; Soontaranon, S.; Hanpramukkun, N.; Thumanu, K.; Priprem, A. Polymeric Micelles Enhance Mucosal Contact Time and Deposition of Fluocinolone Acetonide. Polymers 2022, 14, 2247. [Google Scholar] [CrossRef]
- Dhavale, R.P.; Nadaf, S.J.; Bhatia, M.S. Quantitative structure property relationship assisted development of Fluocinolone acetonide loaded transfersomes for targeted delivery. J. Drug Deliv. Sci. Technol. 2021, 65, 102758. [Google Scholar] [CrossRef]
- Kendre, P.N.; Borawake, N.; Jain, S.P.; Vibhute, S.K.; Pote, A.K. An effort to tailor the solid dispersion loaded, surface-modified, microporous-cryogel formulation of acitretin for the treatment of psoriasis. Mater. Technol. 2022, 37, 645–654. [Google Scholar] [CrossRef]
- Niu, S.; Zhou, Y.; Yu, H.; Lu, C.; Han, K. Investigation on thermal degradation properties of oleic acid and its methyl and ethyl esters through TG-FTIR. Energy Convers. Manag. 2017, 149, 495–504. [Google Scholar] [CrossRef]
- Yi, H.; Zhan, W.; Zhao, Y.; Qu, S.; Wang, W.; Chen, P.; Song, S. A novel core-shell structural montmorillonite nanosheets/stearic acid composite PCM for great promotion of thermal energy storage properties. Sol. Energy Mater. Sol. Cells 2019, 192, 57–64. [Google Scholar] [CrossRef]
- Chandra, A.; Aggarwal, G.; Manchanda, S.; Narula, A. Development of topical gel of methotrexate incorporated ethosomes and salicylic acid for the treatment of psoriasis. Pharm. Nanotechnol. 2019, 7, 362–374. [Google Scholar] [CrossRef]
- Kaur, L.; Jain, S.K.; Manhas, R.K.; Sharma, D. Nanoethosomal formulation for skin targeting of amphotericin B: An in vitro and in vivo assessment. J. Liposome Res. 2015, 25, 294–307. [Google Scholar] [CrossRef]
- Batool, S.; Zahid, F.; Ud-Din, F.; Naz, S.S.; Dar, M.J.; Khan, M.W.; Zeb, A.; Khan, G.M. Macrophage targeting with the novel carbopol-based miltefosine-loaded transfersomal gel for the treatment of cutaneous leishmaniasis: In vitro and in vivo analyses. Drug Dev. Ind. Pharm. 2021, 47, 440–453. [Google Scholar] [CrossRef]
- Ueda, C.T., Shah, V.P., Derdzinski, K., Ewing, G., Flynn, G., Maibach, H., Marques, M., Rytting, H., Shaw, S., Thakker, K., Eds.; Topical and transdermal drug products. Pharmacop. Forum 2009, 35, 750–764. [Google Scholar]
- de Bitencourt Machado, D.; Braga Laskoski, P.; Trelles Severo, C.; Margareth Bassols, A.; Sfoggia, A.; Kowacs, C.; Valle Krieger, D.; Benetti Torres, M.; Bento Gastaud, M.; Stella Wellausen, R. A psychodynamic perspective on a systematic review of online psychotherapy for adults. Br. J. Psychother. 2016, 32, 79–108. [Google Scholar] [CrossRef]
- Gouda, R.; Baishya, H.; Qing, Z. Application of mathematical models in drug release kinetics of carbidopa and levodopa ER tablets. J. Dev. Drugs 2017, 6, 1–8. [Google Scholar]
- del Pozo-Rodríguez, A.; Solinís, M.; Gascón, A.; Pedraz, J. Short-and long-term stability study of lyophilized solid lipid nanoparticles for gene therapy. Eur. J. Pharm. Biopharm. 2009, 71, 181–189. [Google Scholar] [CrossRef]
- Li, Z.; Lin, X.; Yu, L.; Li, X.; Geng, F.; Zheng, L. Effects of chloramphenicol on the characterization of solid lipid nanoparticles and nanostructured lipid carriers. J. Dispers. Sci. Technol. 2009, 30, 1008–1014. [Google Scholar] [CrossRef]
- Yasir, M.; Chauhan, I.; Zafar, A.; Verma, M.; Noorulla, K.M.; Tura, A.J.; Alruwaili, N.K.; Haji, M.J.; Puri, D.; Gobena, W.G. Buspirone loaded solid lipid nanoparticles for amplification of nose to brain efficacy: Formulation development, optimization by Box-Behnken design, in-vitro characterization and in-vivo biological evaluation. J. Drug Deliv. Sci. Technol. 2021, 61, 102164. [Google Scholar] [CrossRef]
- ud Din, F.; Mustapha, O.; Kim, D.W.; Rashid, R.; Park, J.H.; Choi, J.Y.; Ku, S.K.; Yong, C.S.; Kim, J.O.; Choi, H.-G. Novel dual-reverse thermosensitive solid lipid nanoparticle-loaded hydrogel for rectal administration of flurbiprofen with improved bioavailability and reduced initial burst effect. Eur. J. Pharm. Biopharm. 2015, 94, 64–72. [Google Scholar] [CrossRef] [PubMed]
- Wan Ibrahim, W.A.; Nodeh, H.R.; Aboul-Enein, H.Y.; Sanagi, M.M. Magnetic solid-phase extraction based on modified ferum oxides for enrichment, preconcentration, and isolation of pesticides and selected pollutants. Crit. Rev. Anal. Chem. 2015, 45, 270–287. [Google Scholar] [CrossRef] [PubMed]
- Rana, I.; Khan, N.; Ansari, M.M.; Shah, F.A.; ud Din, F.; Sarwar, S.; Imran, M.; Qureshi, O.S.; Choi, H.-I.; Lee, C.-H. Solid lipid nanoparticles-mediated enhanced antidepressant activity of duloxetine in lipopolysaccharide-induced depressive model. Colloids Surf. B Biointerfaces 2020, 194, 111209. [Google Scholar] [CrossRef]
- Liu, X.; Lin, H.-S.; Thenmozhiyal, J.; Chan, S.Y.; Ho, P.C. Inclusion of acitretin into cyclodextrins: Phase solubility, photostability, and physicochemical characterization. J. Pharm. Sci. 2003, 92, 2449–2457. [Google Scholar] [CrossRef] [PubMed]
- Imran, B.; ud Din, F.; Ali, Z.; Fatima, A.; Khan, M.W.; Kim, D.W.; Malik, M.; Sohail, S.; Batool, S.; Jawad, M. Statistically designed dexibuprofen loaded solid lipid nanoparticles for enhanced oral bioavailability. J. Drug Deliv. Sci. Technol. 2022, 77, 103904. [Google Scholar] [CrossRef]
- Elmowafy, M.; Ibrahim, H.M.; Ahmed, M.A.; Shalaby, K.; Salama, A.; Hefesha, H. Atorvastatin-loaded nanostructured lipid carriers (NLCs): Strategy to overcome oral delivery drawbacks. Drug Deliv. 2017, 24, 932–941. [Google Scholar] [CrossRef] [PubMed]
- Ahad, A.; Al-Saleh, A.A.; Al-Mohizea, A.M.; Al-Jenoobi, F.I.; Raish, M.; Yassin, A.E.B.; Alam, M.A. Pharmacodynamic study of eprosartan mesylate-loaded transfersomes Carbopol® gel under Dermaroller® on rats with methyl prednisolone acetate-induced hypertension. Biomed. Pharm. 2017, 89, 177–184. [Google Scholar] [CrossRef]
- Pradhan, M.; Alexander, A.; Singh, M.R.; Singh, D.; Saraf, S.; Saraf, S.; Yadav, K. Statistically optimized calcipotriol fused nanostructured lipid carriers for effectual topical treatment of psoriasis. J. Drug Deliv. Sci. Technol. 2021, 61, 102168. [Google Scholar] [CrossRef]
- Hussain, A.; Samad, A.; Ramzan, M.; Ahsan, M.N.; Ur Rehman, Z.; Ahmad, F.J. Elastic liposome-based gel for topical delivery of 5-fluorouracil: In vitro and in vivo investigation. Drug Deliv. 2016, 23, 1115–1129. [Google Scholar] [CrossRef]
- Qindeel, M.; Ahmed, N.; Sabir, F.; Khan, S.; Ur-Rehman, A. Development of novel pH-sensitive nanoparticles loaded hydrogel for transdermal drug delivery. Drug Dev. Ind. Pharm. 2019, 45, 629–641. [Google Scholar] [CrossRef]
- Tiwari, R.; Tiwari, G.; Singh, R. Allopurinol loaded transferosomes for the alleviation of symptomatic after-effects of Gout: An Account of Pharmaceutical implications. Curr. Drug Ther. 2020, 15, 404–419. [Google Scholar] [CrossRef]
- Namdeo, A.; Jain, N.K. Liquid crystalline pharmacogel based enhanced transdermal delivery of propranolol hydrochloride. J. Control Release 2002, 82, 223–236. [Google Scholar] [CrossRef]
- Dar, M.J.; McElroy, C.A.; Khan, M.I.; Satoskar, A.R.; Khan, G.M. Development and evaluation of novel miltefosine-polyphenol co-loaded second generation nano-transfersomes for the topical treatment of cutaneous leishmaniasis. Expert Opin. Drug Deliv. 2020, 17, 97–110. [Google Scholar] [CrossRef] [PubMed]
- Bibi, M.; ud Din, F.; Anwar, Y.; Alkenani, N.A.; Zari, A.T.; Mukhtiar, M.; Zeid, I.M.A.; Althubaiti, E.H.; Nazish, H.; Zeb, A. Cilostazol-loaded solid lipid nanoparticles: Bioavailability and safety evaluation in an animal model. J. Drug Deliv. Sci. Technol. 2022, 74, 103581. [Google Scholar] [CrossRef]











| Factor 1 | Factor 2 | Factor 3 | Response 1 | Response 2 | Response 3 | Response 4 | |
|---|---|---|---|---|---|---|---|
| Run | Lipid | Surfactant | Drug | Particle Size | Zeta Potential | %EE ACT | %EE FLU |
| (mg) | (mg) | (mg) | (nm) | (mV) | (%) | (%) | |
| 1 | 28 | 30 | 3 | 341.7 ± 2.1 | −26.1 ± 1.3 | 68.2 ± 1.2 | 63.0 ± 1.6 |
| 2 | 32 | 30 | 4 | 391.4 ± 4.3 | −22.0 ± 2.1 | 61.3 ± 1.5 | 56.4 ± 2.1 |
| 3 | 24 | 40 | 3 | 288.2 ± 2.3 | −34.2 ± 1.0 | 81.6 ± 1.1 | 75.6 ± 1.3 |
| 4 | 28 | 40 | 4 | 323.9 ± 5.7 | −27.5 ± 4.1 | 73.1 ± 2.1 | 67.8 ± 2.1 |
| 5 | 24 | 30 | 2 | 301.2 ± 4.8 | −32.5 ± 3.2 | 77.0 ± 1.4 | 73.0 ± 1.8 |
| 6 | 28 | 20 | 4 | 385.1 ± 3.6 | −24.2 ± 5.1 | 57.1 ± 1.2 | 52.5 ± 1.7 |
| 7 | 24 | 30 | 4 | 325.3 ± 6.1 | −28.3 ± 2.5 | 71.8 ± 1.5 | 68.8 ± 1.1 |
| 8 | 32 | 40 | 3 | 348.1 ± 5.4 | −26.1 ± 4.0 | 65.9 ± 2.4 | 60.0 ± 2.4 |
| 9 | 32 | 20 | 3 | 401.0 ± 3.9 | −21.2 ± 2.5 | 56.7 ± 1.3 | 53.7 ± 1.4 |
| 10 | 28 | 40 | 2 | 295.8 ± 2.7 | −31 ± 2.9 | 77.04 ± 2.0 | 73.2 ± 3.1 |
| 11 | 28 | 30 | 3 | 345.4 ± 8.2 | −26.8 ± 4.8 | 69.7 ± 2.7 | 61.6 ± 2.2 |
| 12 | 28 | 20 | 2 | 355.7 ± 5.8 | −25.9 ± 2.3 | 61.09 ± 2.9 | 57.7 ± 1.5 |
| 13 | 24 | 20 | 3 | 342.5 ± 2.3 | −26.1 ± 7.2 | 73.8 ± 1.3 | 67.6 ± 1.78 |
| 14 | 32 | 30 | 2 | 360.9 ± 3.2 | −25.1 ± 6.1 | 67.06 ± 2.5 | 59.08 ± 1.3 |
| Time (h) | Positive Control | Negative Control | Treatment with NLCs | |
|---|---|---|---|---|
| Erythema | 1 | 0 | 3 | 1 |
| 12 | 0 | 3 | 0 | |
| 24 | 0 | 2 | 0 | |
| Edema | 1 | 0 | 1 | 0 |
| 12 | 0 | 3 | 0 | |
| 24 | 0 | 2 | 0 | |
| PDI | 1 | 0 | 4 | 1 |
| 12 | 0 | 5 | 0 | |
| 24 | 0 | 4 | 0 | |
| PDII | 0 | 4.66 | 0.33 |
| Zero Order | First Order | Higuchi | Hixon–Crowel | Korsmeyer–Peppas | ||||||
|---|---|---|---|---|---|---|---|---|---|---|
| R2 | Ko | R2 | K 1 | R2 | Kh | R2 | Khc | R2 | Kkp | |
| FLU F | 0.6977 | 3.516 | 0.9334 | 0.069 | 0.9757 | 14.689 | 0.8799 | 0.019 | 0.9770 | 13.889 |
| ACT F | 0.8858 | 2.912 | 0.9761 | 0.045 | 0.9484 | 11.685 | 0.9557 | 0.013 | 0.9850 | 7.926 |
| Drug Retained in Skin | Conventional Gel | NLC-Loaded Gel |
|---|---|---|
| % FLU retained in skin | 4.02 ± 0.06% | 21.01 ± 0.5% |
| % ACT retained in skin | 3.13 ± 0.04% | 18.89 ± 0.3% |
| 25 ± 2 °C at 60% RH ± 5% RH | 40 ± 2 °C at 75% RH ± 5% RH | |||||||
|---|---|---|---|---|---|---|---|---|
| Time (Months) | 0 | 1 | 3 | 6 | 0 | 1 | 3 | 6 |
| PS (nm) | 288.2 ± 2.3 | 289.5 ± 5.4 | 291.2 ± 5.8 | 292.3 ± 1.5 | 288.2 ± 2.3 | 289.8 ± 5.5 | 291.1 ± 5.2 | 292.8 ± 3.2 |
| ZP (mV) | −34.2 ± 1.0 | −33.9 ± 2.2 | −32.1.8 ± 1.8 | −30.7 ± 1.0 | −34.2 ± 1.0 | −33.4 ± 2.0 | −31.9 ± 1.5 | −31.1 ± 1.7 |
| PDI | 0.345 ± 0.02 | 0.346 ± 0.02 | 0.348 ± 0.03 | 0.349 ± 0.04 | 0.345 ± 0.02 | 0.346 ± 0.01 | 0.347 ± 0.02 | 0.349 ± 0.05 |
| ACT %EE | 81.6 ± 1.1 | 79.0 ± 1.4 | 78.7 ± 1.5 | 76.1 ± 1.9 | 81.6 ± 1.1 | 78.8 ± 1.4 | 76.7 ± 1.7 | 75.9 ± 1.1 |
| FLU %EE | 75.6 ± 1.3 | 73.3 ± 1.1 | 69.9 ± 1.6 | 68.3 ± 1.0 | 75.6 ± 1.3 | 72.7 ± 1.2 | 68.8 ± 1.6 | 66.2 ± 1.5 |
Publisher’s Note: MDPI stays neutral with regard to jurisdictional claims in published maps and institutional affiliations. |
© 2022 by the authors. Licensee MDPI, Basel, Switzerland. This article is an open access article distributed under the terms and conditions of the Creative Commons Attribution (CC BY) license (https://creativecommons.org/licenses/by/4.0/).
Share and Cite
Raza, H.; Shah, S.U.; Ali, Z.; Khan, A.U.; Rajput, I.B.; Farid, A.; Mohaini, M.A.; Alsalman, A.J.; Al Hawaj, M.A.; Mahmood, S.; et al. In Vitro and Ex Vivo Evaluation of Fluocinolone Acetonide–Acitretin-Coloaded Nanostructured Lipid Carriers for Topical Treatment of Psoriasis. Gels 2022, 8, 746. https://doi.org/10.3390/gels8110746
Raza H, Shah SU, Ali Z, Khan AU, Rajput IB, Farid A, Mohaini MA, Alsalman AJ, Al Hawaj MA, Mahmood S, et al. In Vitro and Ex Vivo Evaluation of Fluocinolone Acetonide–Acitretin-Coloaded Nanostructured Lipid Carriers for Topical Treatment of Psoriasis. Gels. 2022; 8(11):746. https://doi.org/10.3390/gels8110746
Chicago/Turabian StyleRaza, Hassan, Shefaat Ullah Shah, Zakir Ali, Atif Ullah Khan, Irfa Basharat Rajput, Arshad Farid, Mohammed Al Mohaini, Abdulkhaliq J. Alsalman, Maitham A. Al Hawaj, Saima Mahmood, and et al. 2022. "In Vitro and Ex Vivo Evaluation of Fluocinolone Acetonide–Acitretin-Coloaded Nanostructured Lipid Carriers for Topical Treatment of Psoriasis" Gels 8, no. 11: 746. https://doi.org/10.3390/gels8110746
APA StyleRaza, H., Shah, S. U., Ali, Z., Khan, A. U., Rajput, I. B., Farid, A., Mohaini, M. A., Alsalman, A. J., Al Hawaj, M. A., Mahmood, S., Hussain, A., & Shah, K. U. (2022). In Vitro and Ex Vivo Evaluation of Fluocinolone Acetonide–Acitretin-Coloaded Nanostructured Lipid Carriers for Topical Treatment of Psoriasis. Gels, 8(11), 746. https://doi.org/10.3390/gels8110746

