Mutational Analysis of Aspergillus fumigatus Volatile Oxylipins in a Drosophila Eclosion Assay
Abstract
1. Introduction
2. Materials and Methods
2.1. Fungal Strains and Media
2.2. Aspergillus fumigatus Mutant Construction
2.3. Drosophila melanogaster Strains and Eclosion Assay
2.4. Gas Chromatography–Mass Spectrometry (GC–MS) Analyses of VOCs Emitted by Wild-Type and the Triple Ppo Mutant of A. fumigatus
2.5. Statistical Analysis
3. Results
3.1. Aspergillus fumigatus Triple Mutant Construction
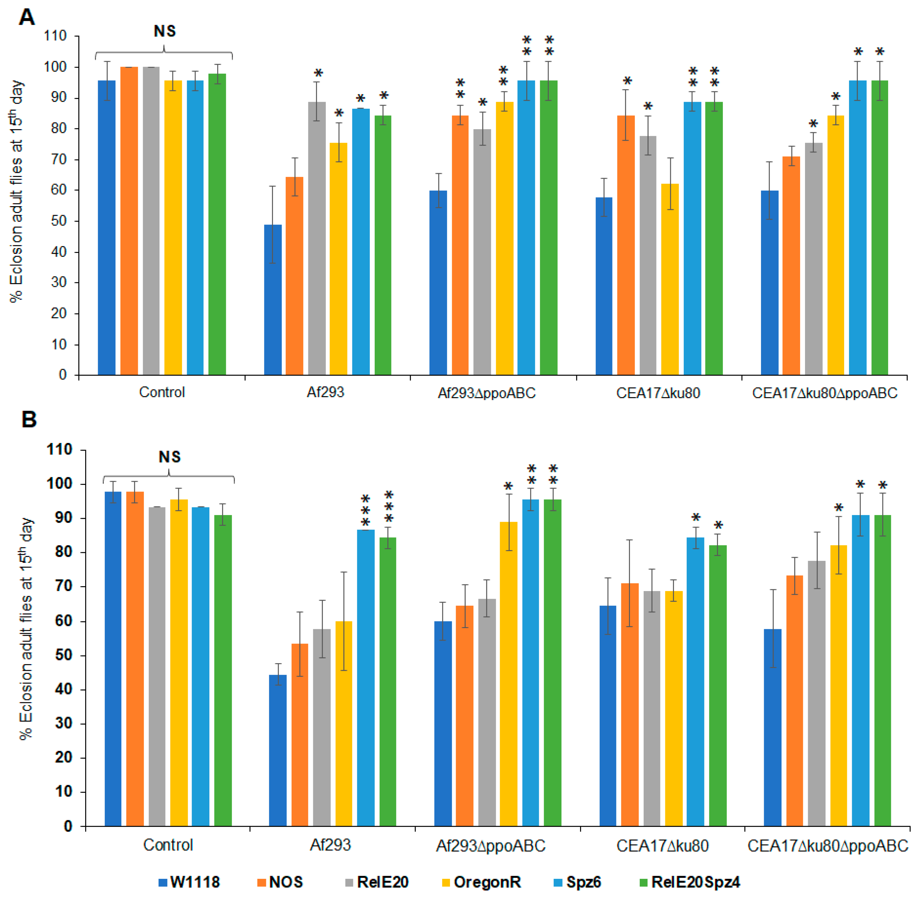
3.2. Effects of Aspergillus VOCs on the Metamorphic Stages of the White-Eyed w1118, Nitric Acid Synthase Mutation (NOS), and the Imd Pathway Drosophila mutant (RelE20)
3.3. Effects of VOCs Emitted by Wild-Type and Mutant A. fumigatus on the Metamorphic Stages of the Red-Eyed OregonR, Toll Pathway Mutant (spz6), and Imd and Toll Pathway Drosophila Mutant (RelE20spz4)
3.4. Comparison of Eclosion Rates of the White-Eyed and Red-Eyed Drosophila Flies Exposed to VOCs from Wild-Type and A. fumigatus Mutants
3.5. GC–MS Analyses of A. fumigatus Wild-Type Af293 and Its Triple Mutant
4. Discussion
Supplementary Materials
Author Contributions
Funding
Acknowledgments
Conflicts of Interest
References
- Latge, J.-P.; Chamilos, G. Aspergillus fumigatus and aspergillosis in 2019. Clin. Microbiol. Rev. 2019, 33, e00140-18. [Google Scholar] [CrossRef] [PubMed]
- Latgé, J.-P. Aspergillus fumigatus and aspergillosis. Clin. Microbiol. Rev. 1999, 12, 310–350. [Google Scholar] [CrossRef] [PubMed]
- Gregg, K.S.; Kauffman, C.A. Invasive aspergillosis: Epidemiology, clinical aspects, and treatment. Semin. Respir. Crit. Care Med. 2015, 36, 662–672. [Google Scholar] [PubMed]
- Dagenais, T.R.; Keller, N.P. Pathogenesis of Aspergillus fumigatus in invasive aspergillosis. Clin. Microbiol. Rev. 2009, 22, 447–465. [Google Scholar] [CrossRef] [PubMed]
- Koehler, P.; Bassetti, M.; Chakrabarti, A.; Chen, S.C.; Colombo, A.L.; Hoenigl, M.; Klimko, N.; Lass-Flörl, C.; Oladele, R.O.; Vinh, D.C. Defining and managing COVID-19-associated pulmonary aspergillosis: The 2020 ECMM/ISHAM consensus criteria for research and clinical guidance. Lancet Infect. Dis. 2020, 21, e149–e162. [Google Scholar] [CrossRef] [PubMed]
- Chamilos, G.; Lionakis, M.S.; Lewis, R.E.; Kontoyiannis, D.P. Role of mini-host models in the study of medically important fungi. Lancet Infect. Dis. 2007, 7, 42–55. [Google Scholar] [CrossRef]
- Ben-Ami, R.; Lamaris, G.A.; Lewis, R.E.; Kontoyiannis, D.P. Interstrain variability in the virulence of Aspergillus fumigatus and Aspergillus terreus in a Toll-deficient Drosophila fly model of invasive aspergillosis. Med. Mycol. 2010, 48, 310–317. [Google Scholar] [CrossRef]
- Lionakis, M.S.; Kontoyiannis, D.P. Drosophila melanogaster as a model organism for invasive aspergillosis. In Host-Fungus Interactions; Springer: Cham, Switzerland, 2012; pp. 455–468. [Google Scholar]
- Jahn, B.; Boukhallouk, F.; Lotz, J.; Langfelder, K.; Wanner, G.; Brakhage, A.A. Interaction of human phagocytes with pigmentless Aspergillus conidia. Infect. Immun. 2000, 68, 3736–3739. [Google Scholar] [CrossRef]
- Raffa, N.; Keller, N.P. A call to arms: Mustering secondary metabolites for success and survival of an opportunistic pathogen. PLoS Pathog. 2019, 15, e1007606. [Google Scholar] [CrossRef]
- Almaliki, H.S.; Martinez, S.; Piszczatowski, P.; Bennett, J.W. Drosophila melanogaster as a model for studying Aspergillus fumigatus. Mycobiology 2017, 45, 233–239. [Google Scholar] [CrossRef]
- Kowalski, C.H.; Kerkaert, J.D.; Liu, K.-W.; Bond, M.C.; Hartmann, R.; Nadell, C.D.; Stajich, J.E.; Cramer, R.A. Fungal biofilm morphology impacts hypoxia fitness and disease progression. Nat. Microbiol. 2019, 4, 2430–2441. [Google Scholar] [CrossRef] [PubMed]
- Bhabhra, R.; Miley, M.D.; Mylonakis, E.; Boettner, D.; Fortwendel, J.; Panepinto, J.C.; Postow, M.; Rhodes, J.C.; Askew, D.S. Disruption of the Aspergillus fumigatus gene encoding nucleolar protein CgrA impairs thermotolerant growth and reduces virulence. Infect. Immun. 2004, 72, 4731–4740. [Google Scholar] [CrossRef] [PubMed]
- Lionakis, M.S.; Kontoyiannis, D.P. The growing promise of Toll-deficient Drosophila melanogaster as a model for studying Aspergillus pathogenesis and treatment. Virulence 2010, 1, 488–499. [Google Scholar] [CrossRef] [PubMed]
- Zhao, G.; Yin, G.; Inamdar, A.A.; Luo, J.; Zhang, N.; Yang, I.; Buckley, B.; Bennett, J.W. Volatile organic compounds emitted by filamentous fungi isolated from flooded homes after Hurricane Sandy show toxicity in a Drosophila bioassay. Indoor Air 2017, 27, 518–528. [Google Scholar] [CrossRef]
- Inamdar, A.A.; Bennett, J.W. Volatile organic compounds from fungi isolated after Hurricane Katrina induce developmental defects and apoptosis in a Drosophila melanogaster model. Environ. Toxicol. 2015, 30, 614–620. [Google Scholar] [CrossRef]
- Almaliki, H.S.; Angela, A.; Goraya, N.J.; Yin, G.; Bennett, J.W. Volatile organic compounds produced by human pathogenic fungi are toxic to Drosophila melanogaster. Front. Fungal Biol. 2021, 1, 1–11. [Google Scholar] [CrossRef]
- Fischer, G.J.; Bacon, W.; Yang, J.; Palmer, J.M.; Dagenais, T.; Hammock, B.D.; Keller, N.P. Lipoxygenase activity accelerates programmed spore germination in Aspergillus fumigatus. Front. Microbiol. 2017, 8, 831. [Google Scholar] [CrossRef]
- Niu, M.; Steffan, B.N.; Fischer, G.J.; Venkatesh, N.; Raffa, N.L.; Wettstein, M.A.; Bok, J.W.; Greco, C.; Zhao, C.; Berthier, E. Fungal oxylipins direct programmed developmental switches in filamentous fungi. Nat. Commun. 2020, 11, 5158. [Google Scholar] [CrossRef] [PubMed]
- Niu, M.; Keller, N.P. Co-opting oxylipin signals in microbial disease. Cell. Microbiol. 2019, 21, e13025. [Google Scholar] [CrossRef]
- Tsitsigiannis, D.I.; Kowieski, T.M.; Zarnowski, R.; Keller, N.P. Three putative oxylipin biosynthetic genes integrate sexual and asexual development in Aspergillus nidulans. Microbiology 2005, 151, 1809–1821. [Google Scholar] [CrossRef]
- Fischer, G.J.; Keller, N.P. Production of cross-kingdom oxylipins by pathogenic fungi: An update on their role in development and pathogenicity. J. Microbiol. 2016, 54, 254–264. [Google Scholar] [CrossRef] [PubMed]
- Davis, T.S.; Crippen, T.L.; Hofstetter, R.W.; Tomberlin, J.K. Microbial volatile emissions as insect semiochemicals. J. Chem. Ecol. 2013, 39, 840–859. [Google Scholar] [CrossRef] [PubMed]
- Wålinder, R.; Ernstgård, L.; Norbäck, D.; Wieslander, G.; Johanson, G. Acute effects of 1-octen-3-ol, a microbial volatile organic compound (MVOC)-An experimental study. Toxicol. Lett. 2008, 181, 141–147. [Google Scholar] [CrossRef] [PubMed]
- Douwes, J. Building dampness and its effect on indoor exposure to biological and non-biological pollutants. In Who Guidelines for Indoor Air Quality: Dampness and Mould; World Health Organization: Geneva, Switzerland, 2009. [Google Scholar]
- Mølhave, L. Volatile organic compounds and sick building syndrome: Chapt 8. In Environmental Toxicants, Human Exposures and Their Health Effects; John Wiley & Sons Ltd.: Hoboken, NJ, USA, 2009; pp. 241–256. [Google Scholar]
- Bennett, J.W.; Inamdar, A.A. Are some fungal volatile organic compounds (VOCs) mycotoxins? Toxins 2015, 7, 3785–3804. [Google Scholar] [CrossRef]
- Combet, E.; Henderson, J.; Eastwood, D.C.; Burton, K.S. Eight-carbon volatiles in mushrooms and fungi: Properties, analysis, and biosynthesis. Mycoscience 2006, 47, 317–326. [Google Scholar] [CrossRef]
- Korpi, A.; Jarnberg, J.; Pasanen, A.L. Microbial volatile organic compounds. Crit. Rev. Toxicol. 2009, 39, 139–193. [Google Scholar] [CrossRef]
- Hung, R.; Lee, S.; Bennett, J.W. Fungal volatile organic compounds and their role in ecosystems. Appl. Microbiol. Biotechnol. 2015, 99, 3395–3405. [Google Scholar] [CrossRef]
- Pennerman, K.; Al-Maliki, H.; Lee, S.; Bennett, J. Fungal volatile organic compounds (VOCs) and the genus Aspergillus. In New and Future Developments in Microbial Biotechnology and Bioengineering; Elsevier: Amsterdam, The Netherlands, 2016; pp. 95–115. [Google Scholar]
- Inamdar, A.A.; Morath, S.; Bennett, J.W. Fungal volatile organic compounds: More than just a funky smell? Annu. Rev. Microbiol. 2020, 74, 101–116. [Google Scholar] [CrossRef]
- Elmassry, M.M.; Farag, M.A.; Preissner, R.; Gohlke, B.-O.; Piechulla, B.; Lemfack, M.C. Sixty-one volatiles have phylogenetic signals across bacterial domain and fungal kingdom. Front. Microbiol. 2020, 11, 557253. [Google Scholar] [CrossRef]
- Miyamoto, K.; Murakami, T.; Kakumyan, P.; Keller, N.P.; Matsui, K. Formation of 1-octen-3-ol from Aspergillus flavus conidia is accelerated after disruption of cells independently of Ppo oxygenases, and is not a main cause of inhibition of germination. PeerJ 2014, 2, e395. [Google Scholar] [CrossRef]
- Kataoka, R.; Watanabe, T.; Yano, S.; Mizutani, O.; Yamada, O.; Kasumi, T.; Ogihara, J. Aspergillus luchuensis fatty acid oxygenase ppoC is necessary for 1-octen-3-ol biosynthesis in rice koji. J. Biosci. Bioeng. 2020, 129, 192–198. [Google Scholar] [CrossRef] [PubMed]
- Lionakis, M.S.; Lewis, R.E.; May, G.S.; Wiederhold, N.P.; Albert, N.D.; Halder, G.; Kontoyiannis, D.P. Toll-deficient Drosophila flies as a fast, high-throughput model for the study of antifungal drug efficacy against invasive aspergillosis and Aspergillus virulence. J. Infect. Dis. 2005, 191, 1188–1195. [Google Scholar] [CrossRef] [PubMed]
- Rosowski, E.E.; Raffa, N.; Knox, B.P.; Golenberg, N.; Keller, N.P.; Huttenlocher, A. Macrophages inhibit Aspergillus fumigatus germination and neutrophil-mediated fungal killing. PLoS Pathog. 2018, 14, e1007229. [Google Scholar] [CrossRef] [PubMed]
- da Silva Ferreira, M.E.; Kress, M.R.; Savoldi, M.; Goldman, M.H.S.; Härtl, A.; Heinekamp, T.; Brakhage, A.A.; Goldman, G.H. The akuBKU80 mutant deficient for nonhomologous end joining is a powerful tool for analyzing pathogenicity in Aspergillus fumigatus. Eukaryot. Cell 2006, 5, 207–211. [Google Scholar] [CrossRef] [PubMed]
- Inamdar, A.A.; Hossain, M.M.; Bernstein, A.I.; Miller, G.W.; Richardson, J.R.; Bennett, J.W. Fungal-derived semiochemical 1-octen-3-ol disrupts dopamine packaging and causes neurodegeneration. Proc. Natl. Acad. Sci. USA 2013, 110, 19561–19566. [Google Scholar] [CrossRef]
- Bellen, H.J.; Levis, R.W.; He, Y.; Carlson, J.W.; Evans-Holm, M.; Bae, E.; Kim, J.; Metaxakis, A.; Savakis, C.; Schulze, K.L. The Drosophila gene disruption project: Progress using transposons with distinctive site specificities. Genetics 2011, 188, 731–743. [Google Scholar] [CrossRef]
- Yamamoto-Hino, M.; Goto, S. Spätzle-Processing Enzyme-independent activation of the Toll pathway in Drosophila innate immunity. Cell Struct. Funct. 2016, 41, 55–60. [Google Scholar] [CrossRef]
- De Gregorio, E.; Spellman, P.T.; Tzou, P.; Rubin, G.M.; Lemaitre, B. The Toll and Imd pathways are the major regulators of the immune response in Drosophila. EMBO J. 2002, 21, 2568–2579. [Google Scholar] [CrossRef]
- Thibault, S.T.; Singer, M.A.; Miyazaki, W.Y.; Milash, B.; Dompe, N.A.; Singh, C.M.; Buchholz, R.; Demsky, M.; Fawcett, R.; Francis-Lang, H.L. A complementary transposon tool kit for Drosophila melanogaster using P and piggyBac. Nat. Genet. 2004, 36, 283–287. [Google Scholar] [CrossRef]
- Tsitsigiannis, D.I.; Bok, J.-W.; Andes, D.; Nielsen, K.F.; Frisvad, J.C.; Keller, N.P. Aspergillus cyclooxygenase-like enzymes are associated with prostaglandin production and virulence. Infect. Immun. 2005, 73, 4548–4559. [Google Scholar] [CrossRef]
- Wiemann, P.; Perevitsky, A.; Lim, F.Y.; Shadkchan, Y.; Knox, B.P.; Figueora, J.A.L.; Choera, T.; Niu, M.; Steinberger, A.J.; Wüthrich, M. Aspergillus fumigatus copper export machinery and reactive oxygen intermediate defense counter host copper-mediated oxidative antimicrobial offense. Cell Rep. 2017, 19, 1008–1021. [Google Scholar] [CrossRef]
- Lim, F.Y.; Sanchez, J.F.; Wang, C.C.; Keller, N.P. Toward awakening cryptic secondary metabolite gene clusters in filamentous fungi. In Methods in Enzymology; Elsevier: Amsterdam, The Netherlands, 2012; Volume 517, pp. 303–324. [Google Scholar]
- Szewczyk, E.; Nayak, T.; Oakley, C.E.; Edgerton, H.; Xiong, Y.; Taheri-Talesh, N.; Osmani, S.A.; Oakley, B.R. Fusion PCR and gene targeting in Aspergillus nidulans. Nat. Protoc. 2006, 1, 3111. [Google Scholar] [CrossRef] [PubMed]
- Hartmann, T.; Dümig, M.; Jaber, B.M.; Szewczyk, E.; Olbermann, P.; Morschhäuser, J.; Krappmann, S. Validation of a self-excising marker in the human pathogen Aspergillus fumigatus by employing the β-rec/six site-specific recombination system. Appl. Environ. Microbiol. 2010, 76, 6313–6317. [Google Scholar] [CrossRef]
- Korpi, A.; Kasanen, J.; Pasanen, A. Sensory irritation of microbially produced volatile organic compounds in mice during repeated exposures. In Proceedings of the 3rd International Conference: Bioaerosols, Fungi and Mycotoxins: Health Effects, Assessment, Prevention and Control; Fungal Research Group Foundation, Inc.: Albany, NY, USA; Boyd Printing company: New York, NY, USA, 1999; pp. 106–111. [Google Scholar]
- Kreja, L.; Seidel, H.-J. Evaluation of the genotoxic potential of some microbial volatile organic compounds (MVOC) with the comet assay, the micronucleus assay and the HPRT gene mutation assay. Mutat. Res. /Genet. Toxicol. Environ. Mutagen. 2002, 513, 143–150. [Google Scholar] [CrossRef] [PubMed]
- Kreja, L.; Seidel, H.-J. On the cytotoxicity of some microbial volatile organic compounds as studied in the human lung cell line A549. Chemosphere 2002, 49, 105–110. [Google Scholar] [CrossRef] [PubMed]
- Herr, C.E.; zur Nieden, A.; Bödeker, R.H.; Gieler, U.; Eikmann, T.F. Ranking and frequency of somatic symptoms in residents near composting sites with odor annoyance. Int. J. Hyg. Environ. Health 2003, 206, 61–64. [Google Scholar] [CrossRef] [PubMed]
- Clark, N.; Ammann, H.; Brunekreef, B.; Eggleston, P.; Fisk, W.; Fullilove, R.; Guernsey, J.; Nevalainen, A.; Von Essen, S. Damp Indoor Spaces and Health; Institute of Medicine of the National Academies: Washington, DC, USA, 2004. [Google Scholar]
- Heseltine, E.; Rosen, J.E. WHO Guidelines for Indoor Air Quality: Dampness and Mould; World Health Organization: Geneva, Switzerland, 2009. [Google Scholar]
- Sahlberg, B.; Gunnbjörnsdottir, M.; Soon, A.; Jogi, R.; Gislason, T.; Wieslander, G.; Janson, C.; Norback, D. Airborne molds and bacteria, microbial volatile organic compounds (MVOC), plasticizers and formaldehyde in dwellings in three North European cities in relation to sick building syndrome (SBS). Sci. Total Environ. 2013, 444, 433–440. [Google Scholar] [CrossRef]
- Pantoja, L.D.M.; do Nascimento, R.F.; de Araújo Nunes, A.B. Investigation of fungal volatile organic compounds in hospital air. Atmos. Pollut. Res. 2016, 7, 659–663. [Google Scholar] [CrossRef]
- Wålinder, R.; Ernstgård, L.; Johanson, G.; Norbäck, D.; Venge, P.; Wieslander, G. Acute effects of a fungal volatile compound. Environ. Health Perspect. 2005, 113, 1775–1778. [Google Scholar] [CrossRef]
- Lemaitre, B.; Nicolas, E.; Michaut, L.; Reichhart, J.-M.; Hoffmann, J.A. The dorsoventral regulatory gene cassette spätzle/Toll/cactus controls the potent antifungal response in Drosophila adults. Cell 1996, 86, 973–983. [Google Scholar] [CrossRef]
- Lemaitre, B.; Hoffmann, J. The host defense of Drosophila melanogaster. Annu. Rev. Immunol. 2007, 25, 697–743. [Google Scholar] [CrossRef] [PubMed]
- Champe, S.P.; Rao, P.; Chang, A. An endogenous inducer of sexual development in Aspergillus nidulans. Microbiology 1987, 133, 1383–1387. [Google Scholar] [CrossRef] [PubMed]
- Tsitsigiannis, D.I.; Zarnowski, R.; Keller, N.P. The lipid body protein, PpoA, coordinates sexual and asexual sporulation in Aspergillus nidulans. J. Biol. Chem. 2004, 279, 11344–11353. [Google Scholar] [CrossRef]
- Brown, S.H.; Scott, J.B.; Bhaheetharan, J.; Sharpee, W.C.; Milde, L.; Wilson, R.A.; Keller, N.P. Oxygenase coordination is required for morphological transition and the host–fungus interaction of Aspergillus flavus. Mol. Plant-Microbe Interact. 2009, 22, 882–894. [Google Scholar] [CrossRef]
- Shin, K.-C.; Seo, M.-J.; Oh, D.-K. Characterization of a novel 8R, 11S-linoleate diol synthase from Penicillium chrysogenum by identification of its enzymatic products. J. Lipid Res. 2016, 57, 207–218. [Google Scholar] [CrossRef] [PubMed]
- Wadman, M.W.; De Vries, R.P.; Kalkhove, S.I.; Veldink, G.A.; Vliegenthart, J.F. Characterization of oxylipins and dioxygenase genes in the asexual fungus Aspergillus niger. BMC Microbiol. 2009, 9, 59. [Google Scholar] [CrossRef] [PubMed]
- Assaf, S.; Hadar, Y.; Dosoretz, C.G. 1-Octen-3-ol and 13-hydroperoxylinoleate are products of distinct pathways in the oxidative breakdown of linoleic acid by Pleurotus pulmonarius. Enzym. Microb. Technol. 1997, 21, 484–490. [Google Scholar] [CrossRef]
- Husson, F.; Bompas, D.; Kermasha, S.; Belin, J. Biogeneration of 1-octen-3-ol by lipoxygenase and hydroperoxide lyase activities of Agaricus bisporus. Process Biochem. 2001, 37, 177–182. [Google Scholar] [CrossRef]
- Brodhun, F.; Schneider, S.; Göbel, C.; Hornung, E.; Feussner, I. PpoC from Aspergillus nidulans is a fusion protein with only one active haem. Biochem. J. 2010, 425, 553–565. [Google Scholar] [CrossRef]
- Pohl, C.H.; Kock, J.L. Oxidized fatty acids as inter-kingdom signaling molecules. Molecules 2014, 19, 1273–1285. [Google Scholar] [CrossRef]
- Medzhitov, R.; Janeway, C., Jr. Innate immunity. N. Engl. J. Med. 2000, 343, 338–344. [Google Scholar] [CrossRef]
- El Chamy, L.; Leclerc, V.; Caldelari, I.; Reichhart, J.-M. Sensing of ‘danger signals’ and pathogen-associated molecular patterns defines binary signaling pathways’ upstream’ of Toll. Nat. Immunol. 2008, 9, 1165–1170. [Google Scholar] [CrossRef] [PubMed]
- Brennan, C.A.; Anderson, K.V. Drosophila: The genetics of innate immune recognition and response. Annu. Rev. Immunol. 2004, 22, 457–483. [Google Scholar] [CrossRef] [PubMed]
- Valanne, S.; Wang, J.-H.; Rämet, M. The Drosophila toll signaling pathway. J. Immunol. 2011, 186, 649–656. [Google Scholar] [CrossRef] [PubMed]
- Mukherjee, T.; Kim, W.S.; Mandal, L.; Banerjee, U. Interaction between Notch and Hif-α in development and survival of Drosophila blood cells. Science 2011, 332, 1210–1213. [Google Scholar] [CrossRef] [PubMed]
- Stasiv, Y.; Regulski, M.; Kuzin, B.; Tully, T.; Enikolopov, G. The Drosophila nitric-oxide synthase gene (dNOS) encodes a family of proteins that can modulate NOS activity by acting as dominant negative regulators. J. Biol. Chem. 2001, 276, 42241–42251. [Google Scholar] [CrossRef]
- Inamdar, A.A.; Bennett, J.W. A common fungal volatile organic compound induces a nitric oxide mediated inflammatory response in Drosophila melanogaster. Sci. Rep. 2014, 4, 3833. [Google Scholar] [CrossRef] [PubMed]
- Maitra, U.; Scaglione, M.N.; Chtarbanova, S.; O’Donnell, J.M. Innate immune responses to paraquat exposure in a Drosophila model of Parkinson’s disease. Sci. Rep. 2019, 9, 12714. [Google Scholar] [CrossRef]
- Salazar, F.; Brown, G.D. Antifungal innate immunity: A perspective from the last 10 years. J. Innate Immun. 2018, 10, 373–397. [Google Scholar] [CrossRef]






| A. fumigatus | Strains | Genotype | References |
|---|---|---|---|
| Af293 | Af293 | wild type | [37] |
| CEA17∆ku80 | CEA10 derivative | pyrG1, Δku80::A.fumi.pyrG | [38] |
| CEA17 Δku80∆argB∆ppoA | TMN19.1 | pyrG1, ∆akuB::pyrG, pyrG, ΔargB (AFUB_064280)::A.p.pyrG; ΔA.p.pyrG; ∆ppoA(AFUB_067850)::A.p.pyrG | this study |
| Af293 ∆ppoC∆ppoA | TMN20.11 | ∆ppoC::A. nidulans argB; argB1 pyrG1; ∆ppoA(Af4g10770)::A.p.pyrG | this study |
| CEA17 Δku80∆ppoA∆ppoC | TMN28.2 | pyrG1, ∆akuB::pyrG, pyrG1,ΔargB (AFUB_064280)::A.p.pyrG; ΔA.p.pyrG;∆ppoA(AFUB_067850)::A.p.pyrG; ∆ppoC(AFUB_037060)::A.f. argB | this study |
| Af293∆ppoABC (Af293∆ppoA∆ppoC∆ppoB) | TMN31.10 | ΔppoC::A. nidulans argB; argB1pyrG1;ΔppoA(Af4g10770)::A. p. pyrG; ΔppoB (Afu4g00180)::six | this study |
| CEA17∆ku80∆ppoABC (CEA17Δku80∆ppoA∆ppoC∆ppoB) | TMN32.1 | pyrG1, ΔakuB::pyrG, pyrG1,ΔargB (AFUB_064280)::A.p.pyrG; ΔA.p.pyrG; ΔppoA(AFUB_067850)::A.p.pyrG; ΔppoC(AFUB_037060)::A.fumi. argB; ΔppoB(AFUB_100690)::six | this study |
| D. melanogaster BDSC ID Type of mutations | Genotype | Human ortholog | References |
| 6598 white-eye, wild-type w1118 | y1 w1118 | [39] | |
| 24283 white-eye, NOS (nitrate oxide synthase) mutant | w1118; Mi{ET1}Nos[MB04018] | NOS1 (Nos) | [39,40] |
| 9457 white-eyed, RelE20 gene to induce Imd pathway | w1118; Rel[E20]e[s] | NF-kB (Rel) | [41] |
| 5 red-eyed, wild-type strain | Oregon-R-C | [42] | |
| 10719 red-eyed, spz6 gene to induce Toll pathway | w1118; PBac{w[+mC] = PB}spz6[c01763] | TNF-receptor | [41,43] |
| 55718 red-eyed, RelE20spz4 double mutant of Imd and Toll pathways | Rel[E20] spz [4]/TM6C, Sb [1] Tb [1] | TNF-receptor | [42] |
Disclaimer/Publisher’s Note: The statements, opinions and data contained in all publications are solely those of the individual author(s) and contributor(s) and not of MDPI and/or the editor(s). MDPI and/or the editor(s) disclaim responsibility for any injury to people or property resulting from any ideas, methods, instructions or products referred to in the content. |
© 2023 by the authors. Licensee MDPI, Basel, Switzerland. This article is an open access article distributed under the terms and conditions of the Creative Commons Attribution (CC BY) license (https://creativecommons.org/licenses/by/4.0/).
Share and Cite
Almaliki, H.S.; Niu, M.; Keller, N.P.; Yin, G.; Bennett, J.W. Mutational Analysis of Aspergillus fumigatus Volatile Oxylipins in a Drosophila Eclosion Assay. J. Fungi 2023, 9, 402. https://doi.org/10.3390/jof9040402
Almaliki HS, Niu M, Keller NP, Yin G, Bennett JW. Mutational Analysis of Aspergillus fumigatus Volatile Oxylipins in a Drosophila Eclosion Assay. Journal of Fungi. 2023; 9(4):402. https://doi.org/10.3390/jof9040402
Chicago/Turabian StyleAlmaliki, Hadeel S., Mengyao Niu, Nancy P. Keller, Guohua Yin, and Joan W. Bennett. 2023. "Mutational Analysis of Aspergillus fumigatus Volatile Oxylipins in a Drosophila Eclosion Assay" Journal of Fungi 9, no. 4: 402. https://doi.org/10.3390/jof9040402
APA StyleAlmaliki, H. S., Niu, M., Keller, N. P., Yin, G., & Bennett, J. W. (2023). Mutational Analysis of Aspergillus fumigatus Volatile Oxylipins in a Drosophila Eclosion Assay. Journal of Fungi, 9(4), 402. https://doi.org/10.3390/jof9040402

