Abstract
Sterigmatocystins and aflatoxins are a group of mycotoxins mainly isolated from fungi of the genera Aspergillus. Since the discovery of sterigmatocystins in 1954 and aflatoxins in 1961, many scholars have conducted a series of studies on their structural identification, synthesis and biological activities. Studies have shown that sterigmatocystins and aflatoxins have a wide range of biological activities such as antitumour, antibacterial, anti-inflammatory, antiplasmodial, etc. The sterigmatocystins and aflatoxins had been shown to be hepatotoxic and nephrotoxic in animals. This review attempts to give a comprehensive summary of progress on the chemical structural features, synthesis, and bioactivity of sterigmatocystins and aflatoxins reported from 1954 to April 2024. A total of 72 sterigmatocystins and 20 aflatoxins are presented in this review. This paper reviews the chemical diversity and potential activity and toxicity of sterigmatocystins and aflatoxins, enhances the understanding of sterigmatocystins and aflatoxins that adversely affect humans and animals, and provides ideas for their prevention, research and development.
1. Introduction
Mycotoxins are a class of small molecular compounds produced by the secondary metabolism of fungi that cause toxic reactions, and there are more than 400 formally defined mycotoxins until 2006 [1]. Mycotoxins are toxic secondary metabolites synthesised by specific fungi belonging to Aspergillus, Alternaria, Fusarium and Penicillium species. These mycotoxins have the potential to contaminate produce at various points in the food supply chain [2,3,4]. Aspergillus mycotoxins, including sterigmatocystin (STC) and aflatoxin (AF), are the most important mycotoxins [5,6].
Sterigmatocystins (STCs) and Aflatoxins (AFs) are a class of compounds with similar chemical structures and are mycotoxins produced by Aspergillus [7], which are widely distributed in nature and are common contaminants in human food as well as animal feed [8,9]. AFs are a specific group of mycotoxins primarily produced by toxigenic Aspergillus species, particularly A. flavus and A. parasiticus [2]. STCs are produced by several fungal species belonging to the genera Aspergillus, Bipolaris, Botryotrichum, Humicola and Penicillium. The main producers are Aspergillus fungi, such as A. flavus, A. parasiticus, A. nidulans and A. versicolor [10,11]. These two classes of compounds have characteristic bifuran ring structural fragments, which is the active moiety of these two classes of compounds. These compounds have received extensive attention from researchers due to their abundant sources and diverse biological activities.
This reviews the current research progress in the isolation of STCs and AFs, including the biosynthetic pathway, source of isolation, structure identification process, chemical synthesis, and biological activity. SciFinder was used as the main search engine, and sterigmatocystins and aflatoxins were used as keywords to collect information about the chemical structure, biological activity, and synthesis of these two classes of compounds from 1954 to April 2024. In the study of bioactivity, the main components are antibacterial, anti-inflammatory activities and antitumour mechanisms.
2. Biosynthesis, Structural and Biological Activity Studies
2.1. Biosynthesis
The STCs and AFs are produced from acetyl coenzyme A through a complex branching pathway involving more than 25 enzymatic reactions. The outline of the proposed pathway is shown in Figure 1 [12].
Figure 1.
Outline of the biosynthetic pathway of STCs and AFs.
2.1.1. Biosynthesis of Sterigmatocystins
As early as 1968, Holker et al. [13] suggested a possible biological pathway for STC. In 1989–1990, Bhatnagar et al. [14] basically determined the synthesis pathway of STC in the bacterium with the help of radiotracer, gene conversion and metabolism inhibitor experiments. Acetic acid or acetate → desmethylsulphanilic acid → averantin → odoriferous flunaricin → heterochromatic trichothecene hemiacetal acetate → heterochromatic trichothecene A → STC.
In 2014, Alkhayyat et al. [15] found that aflR and aflS genes are adjacent in the aflatoxin/sterigmatocystin cluster and are involved in the regulation of aflatoxin/sterigmatocystin gene expression and that mutational inactivation of aflR abolished the expression of any biosynthetic genes in the cluster, and conversely, overexpression of aflR resulted in higher gene expression and AF/STC production (Figure 2).
Figure 2.
Biosynthesis pathway of STCs [16,17,18].
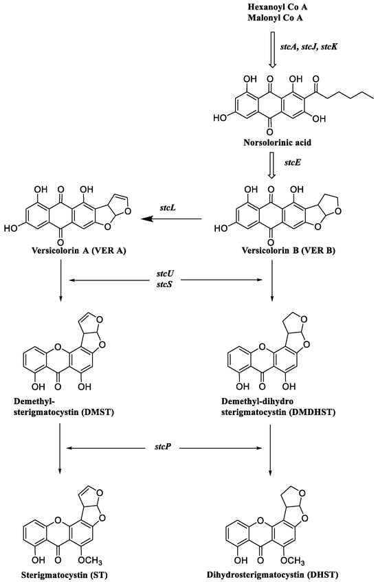
2.1.2. Biosynthesis of Aflatoxins
Molecular studies have shown that the synthesis of AFs is regulated by a complex cascade of transcriptional and post-transcriptional processes [19]. The biosynthesis of AFs involves a series of enzymatic and biotransformation reactions, as shown in Figure 3. The pathway is initiated by acetyl-CoA and malonyl-CoA to form hexyl-CoA, which is then further converted to produce norsolorinic acid [2]. The reduction process is facilitated by enzymes such as the gene aflF (norB) and dehydrogenase and NOR reductase encoded by the aflE (norA) gene, respectively. Another important enzyme, HypC, oxidises an intermediate to produce anthraquinone orthoformate (NA). In the third step, the gene aflG (avnA) encodes cytochrome P450 monooxygenase, which catalyses the hydroxylation of polyketide anthraquinone to an intermediate called 5′-oxoanthraquinone (OAVN) [19].
This conversion requires alcohol dehydrogenase encoded by the aflH (adhA) gene. The conversion of versicolorin B and OAVN to AVF (AVF) is attributed to the aflK (vbs) gene, which was initially associated with the conversion of versicolorin B to AVF [2,19,20]. AflV encodes the enzyme responsible for the conversion of AVF to vertical hemiacetal acetate (VHA). Subsequent steps include the conversion of VHA to versiconal (VAL) and versicolorin B (VER B) to versicolorin A (VER A) by specific enzymes. VER A is important because it represents the last metabolic conversion before the major branch, leading to the production of B- or G-type Afs (Figure 3) [2,21].
In the next step, DMST is converted to STC by the action of O-methyltransferase B encoded by the aflO (omtB) gene. DHST is converted to dihydromethylsterocystin (DHOMST) and ST to O-methylsterocystin (OMST) by the action of O-methyltransferase A encoded by the aflP (omtA) gene. OMST and DHDMST are further converted to AFB1/AFG1 and AFB2/AFG2, respectively, by cytochrome P450 monooxygenases encoded by the aflQ (ordA) gene [22,23]. AFB1 is a precursor of OMST, and the hypD gene encodes integral membrane proteins that are essential to produce AF B1 and AF G1 [20].
Figure 3.
Organisation of gene clusters of AFs biosynthesis pathway [22].
2.2. Sterigmatocystins
The STCs are a group of compounds with a bifuranic ring and an anthracenone skeleton, which are widely distributed in nature and are very diverse [24]. STC derivatives are based on STC with one or more substitutions on the bifuranic ring and the aromatic ring, and the main forms of substitution are hydroxylation, alkylation, esterification, halogenation, etc. Depending on the presence or absence of substitutions at their 3′ and 4′ positions and the presence or absence of double bonds, they can be classified into three types, including oxisterigmatocystins, sterigmatocystins, and dihydrosterigmatocystins. The basic skeleton of these three classes of compounds is shown in Figure 4.
Figure 4.
The basic skeleton of Oxisterigmatocystins, Sterigmatocystins, and Dihydrosterigmatocystins.
2.2.1. Oxisterigmatocystins
Four new oxisterigmatocystins 1,2,3a,12c-tetrabydro-2-(3-chlorobenzoyloxy)-1,8-dihydroxy-6,11-dimethoxy-7H-furo[3′,2′:4,5]furo[2,3-c]-xanthen-7-one (1), 1,2,3a,12c-tetrabydro-2,8-dihydroxy-6,11-dimethoxy- 7H-furo[3′,2′:4,5]furo[2,3-c]-xanthen-7-one (2), 1,2,3a,12c-tetrabydro-2,8-diacetoxy-6,11- dimethoxy-7H-furo[3′,2′:4,5]furo[2,3-c]-xanthen-7-one (3), 1,2,3a,12c-tetrabydro-5-bromo- 2,8-diacetoxy-6,11-dimethoxy-7H-furo[3′,2′:4,5]furo[2,3-c]-xanthen-7-one (4) (Figure 5) were discovered [25]. Three new compounds, including sterigmatocystin-hemiacetal (5), sterigmatocystin-ethoxyacetal (6) and O-methylsterigmatocystin-hemiacetal (7), were isolated from the Aspergillus sp. [26]. One new compound, acyl-hemiacetal sterigmatocystin A (8), was isolated from Aspergillus oryzae M395 of sponge origin [27]. One new compound was isolated from the secondary metabolites of an Aspergillus sp. fungus and identified as oxisterigmatocystin D (9) [28]. Four new compounds, sterigmatocystin-1,2-oxide (10), sterigmatocystin-1,2-dihydrodiol (11), methylsterigmatocystin-1,2-oxide (12) and methylsterigmatocystin-1,2-dihydrodiol (13) in the study of the metabolic pathways of ST and 11-methoxysterigmatocystin [29]. Two new compounds, Aspertenol A (14), B (15), were isolated from the secondary metabolites of the strain Aspergillus tennesseensis. [30]. Four oxisterigmatocystins analogues of oxisterigmatocystins E-H (16–19) were isolated from secondary metabolites of the fungus Botryotrichum piluliferum [31]. A new compound, oxisterigmatocystin I (20), was isolated from Aspergillus versicolor A-21-2-7 of South China Sea sediments [32]. Five new compounds, sterigmatocystin B (21), C (22) and oxisterigmatocystin A–C (23–25), were isolated from Aspergillus versicolor 15XS43ZD-1 [33]. Three new compounds, oxisterigmatocystin J–L (26–28), were isolated from the marine-derived fungus Aspergillus nomius NC06 [7,34]. One new compound, acyl-hemiacetal sterigmatocystin B (29), was isolated from Aspergillus nidulans of Nyctanthes arbor-tristis [35].

Figure 5.
Chemical structures of oxisterigmatocystins 1–29.
2.2.2. Sterigmatocystins
One new compound, O-methylsterigmatocystin (30), was isolated and identified from the secondary metabolites of the fungus Aspergillus flavus [36]. (Figure 6) Three new compounds, including sterigmatocystin (31), 5-methoxysterigmatocystin (32) and O-acetates (33), were isolated from a mutant strain of Aspergillus versicolor [37]. One new compound, aspertoxin acetate (34), was isolated from secondary metabolites of Aspergillus flavus [38]. Two new compounds O-methyl-5-methoxysterigmatocystin (35) and O-acetyl-5-methoxysterigmatocystin (36), were isolated from Aspergillus sp. [39]. Four new compounds, 5-methoxy-O-hydroxysterigmatocystin (37), 3a,12c-dihydro-9- allyl-8-hydroxy-6,11-dimethoxy-7H-furo[3′,2′:4,5]furo[2,3-c]xanthen-7-one (38), 3a,12c- dihydro-9-(or10)-nitro-8-hydroxy-6,11-dimethoxy-7H-furo[3′,2′:4,5]furo [2,3-c]xanth-en- 7-one (39), 3a,12c-dihydro-9-amino-8-hydroxy-6,11-dimethoxy-7H-furo [3′,2′:4,5]furo [2,3-c]xanthen-7-one (40), were isolated by the activity tracking method to obtain [25]. A new compound, 5,6-dimethoxysterigmatocystin, was isolated and identified from Aspergillus versicolor under the guidance of hepatocyte DNA repair assay and Salmonella assay (41) [40]. Seven new compounds, including O-ethylsterigmatocystin (42), O-propylsterigmatocystin (43), O-butylsterigmatocystin (44), O-penlylsterigmatocystin (45), O-propenylsterigmatocystin (46), O-acethlsterigmatocystin (47), O-benzoylsterigmatocystin (48), were isolated from Aspergillus sp. [41]. One new compound, 8-deoxysterigamoatocystin (49), was isolated from the secondary metabolite of the brown-black rotting mould fungus NRRL.22980 [42]. Three new compounds, 5-hydroxysterigmatocystin (50), 8-O-methoxysterigmatocystin (51), demethylsterigmatocystin-1-(4-O-methyl)-β-L-arabinopyranose (52), were isolated from the winged insect endophytic fungus Aschersonia coffeae Henn. BCC 28712 [43]. One new compound, 11-hydroxy-O-methylsterigmatocystin (53), was isolated from Aspergillus sp. [44]. Eight new compounds, including 9-hydroxy-sterigmatocystin (54), 12c-hydroxy-sterigmatocystin (55), 11-hydroxy-sterigmatocystin (56), 9,11-dihydroxy-sterigmatocystin (57), 9,12c-dihydroxy-sterigmatocystin (58), 11,12c-dihydroxy-sterigmatocystin (59), 9-hydroxy-methylsterigmatocystin (60), 9,12c-hydroxy-methylsterigmatocystin (61) have been isolated and identified [29]. Two new halogenated sterigmatocystins, N-0532B (62) and N-0532A (63), were isolated from the fermentation products. And the fungal strain, Botryotrichum piluliferum, was isolated from soil and cultured at 25–28 °C for 9 weeks [31]. A comparative study of the secondary metabolites of the sponge-derived endophytic fungus Aspergillus carneus was carried out using the OSMAC method, in which the strains were fermented and cultured in a solid medium with sea-salt rice, solid medium without sea-salt rice and modified Czapek’s medium, and a heterochromatic trichothecene analogue, O-demethyld-terigmatocystin (64), was isolated from the medium without sea-salt rice [45]. An endophytic fungus, Aspergillus nidulans, was isolated from the leaves of the plant (Nyctanthes arbortristis) and its secondary metabolite chemistry was investigated to isolate sterigmatocystin, which was acetylated to give a new heterochromatic trichothecene analogue, O-acetyl-sterigmatocystin (65) [45].

Figure 6.
Chemical structures of sterigmatocystins 30–65.
2.2.3. Dihydrosterigmatocystins
Isolation of the dihydrosterigmatocystin analogue dihydrosterigmatocystin (66) (Figure 7) from a secondary metabolite of Aspergillus versicolor and synthesis of the derivatives 5-O-methyoxydihydrosterigmatocystin (67) and 5-hydroxydihydrosterigmatocystin (68) via compound 66 [37]. One new compound, dihydrodemethylsterigmatocystin (69), was isolated from Aspergillus versicolor [46]. A new compound was isolated and identified as 5,6-dimethoxydihydrosterigmatocystin (70) from Aspergillus versicolor [40]. One new compound, 11-hydroxy-O-methyldihydrosterigmatocystin (71), was isolated from Aspergillus versicolor [44]. One new compound, 8-O-methyldihydrosterigmatocystin (72), was isolated from Aschersonia coffeae Henn. BCC 28712 [43].
Figure 7.
Chemical structures of dihydrosterigmatocystins 66–72.
The majority of all published STCs isolated and identified in various filamentous fungi were produced by Aspergillus sp. (76%), including Aspergillus versicolor (76%) and other Aspergillus species (24%) (Figure 8).
Figure 8.
The source of STCs.
2.2.4. Activity of Sterigmatocystins
Antitumour Activity of Sterigmatocystins
Compound 15 showed better inhibitory activity against K-562 cells [30]. Compounds 16–19 showed better inhibitory activity against KB, MCF-7 and NCl-H187 cell lines with IC50 values ranging from 0.38–78.6 µM [31]. Compounds 31 and 32 have broad-spectrum antitumour activity. Compounds 31 and 32 showed significant inhibitory effects on transplanted mouse leukaemia P-388 and L-1210 cells, which is the first report of antitumour activity of this class of compounds [39]. In addition, compound 31 exhibited significant cytotoxicity against human solid tumour cell lines (A549, SK-OV-3, SK-MEL-2, XF-498 and HCT-15) with IC50 values ranging from 0.41–4.61 µg/mL [47]. Meanwhile, compound 31 showed strong cytotoxicity against L5178Y, BT-549, HepG2, HGC-27, UMUC-3, MCF-7, Hela, HT-29, HCT-116 and other cell lines, with IC50 values ranging from 0.3–58 µM [45,48,49,50,51]. There are many studies on the antitumour activity of compound 31, and the mechanism of action of compound 31 mainly focuses on the induction of the G2 phase block in GES-1 cells. Studies have shown that the activation of the ATM/Chk2 signalling pathway by 31 may be one of the molecular mechanisms by which 31 induces G2 phase block in GES-1 cells and that compound 31 is capable of activating the JNK, ERK, PI3K pathways, etc. [48,51,52,53,54]. Compound 36 showed significant inhibitory effects on transplanted mouse leukaemia P-388 and L-1210 cells [39]. Compounds 50–52 showed good cytotoxic activity against NCl-187 cells with IC50 values of 1.17, 12.93, and 2.86 µg/mL, respectively. [43]. Compound 64 exhibited some antibacterial activity against Fusarium oxysporum [55]. Compound 66 showed strong antimicrobial activity against Bacillus cereus with a MIC value of 38.3 µM and weak inhibitory activity against Fusarium oxysporum [55,56].
Antimicrobial Activity of Sterigmatocystins
Compound 20 showed moderate bacteriostatic activity against Staphylococcus aureus ATCC25923 and Vibrio parahaemolyticus ATCC17802 [57]. The results of antimicrobial activity studies showed that compounds 31 and 32 showed some antimicrobial activity against Staphylococcus aureus, Bacillus subtilis, Pseudomonas aeruginosa, Escherichia coli and Candida albicans, with MIC values ranging from 3.06–12.5 µg/mL [27,58]. In addition, 32 has good bacteriostatic activity against Streptococcus pyogenes, Branchiostoma circumcisionale, and Micrococcus garciniae, all with MIC value of 5 µg/mL [59].
Anti-Inflammatory Activity of Sterigmatocystins
Compounds 31 and 32 had a significant effect on NO production in their anti-inflammatory activity and a slight inhibitory effect on THF-α and IL-6 expression. Both compounds inhibited NO production by down-regulating the expression of inducible nitric oxide synthase (iNOS) and also reduced the nuclear translocation of NF-κB. These experimental results suggested that these two compounds are promising candidates for the treatment of neuroinflammatory diseases [60].
Antiplasmodial Activity of Sterigmatocystins
In the antiplasmodial activity screen against Plasmodium falciparum, compounds 16–19 were found to possess good antimalarial activity with IC50 values of 7.9–23.9 µM [31]. Compound 52 showed good antiplasmodial activity with an IC50 value of 4.39 µg/mL [43].
2.3. Aflatoxins
AFs are a class of fungal secondary metabolites with similar structural and physicochemical properties and are the stable class of mycotoxins with physicochemical properties found in nature [61]. It is a class of compounds containing a difuran ring and coumarin (oxonaphthoquinone) in their basic structure. It produces blue-violet or yellow-green fluorescence under the wavelength of 365 nm ultraviolet light. There are about 20 AF derivatives, which are named B1, B2, G1, G2, M1, M2, P1, GM and toxinol based on fluorescent colours, RF values and different structures [62]. The four main types of AFs (AFB1, AFB2, AFG1 and AFG2) are the best-known and best-studied of the 20 different types and metabolites identified so far [61].
The discovery of AF came about as a result of the first occurrence of “Turkey X Disease” (the cause of which was unknown at the time, hence the name) in 1960 in a suburb of London, England [63]. In 1961, it was found that peanut cake contaminated with Aspergillus flavus could induce liver cancer in rats, and in 1962, AF was identified and proved to be a strong carcinogen. AF, with a double bond at the end of the difuran ring in its structure, is prone to form epoxidation metabolites that enhance its toxicity, carcinogenicity, and mutagenicity [64].
Depending on whether the E-ring in the AF structure is a five-membered or six-membered ring, AFs can be classified into two groups: Difurocoumarocyclopentenone aflatoxins, Difurocoumarolactone aflatoxins. The basic skeleton of these two classes of compounds is shown in Figure 9.
Figure 9.
The basic skeleton of Difurocoumarocyclopentenone aflatoxins, Difurocoumarolactone aflatoxins.
2.3.1. Difurocoumarocyclopentenone Aflatoxins
There are 14 difurocoumarocyclopentenone aflatoxins in total, namely AF B1 (73), AFB2 (74), AFB2a (75), AFM1 (76), AFM2 (77), AFM2a (78), AFP1 (79), AFQ1 (80), AFQ2a (81), aflatoxicol M1 (82), aflatoxicol B1 (83), aflatoxicol H1 (84), AFB2b (85), 8-acetyloxyaflatoxin B1 (86) (Figure 10).
Figure 10.
Chemical structures of difurocoumarocyclopentenone aflatoxins 73–86.
In 1964, the structure of AFB1 (73) was elucidated [65]. In 1967, the absolute configuration of AFB1 (73) and B2 (74) was determined by an X-ray single crystal diffraction test [66]. AFB2a (75) was discovered while testing the ability of various microbes to detoxify AFB1 [67]. AFM1 (76), isolated from AFB1 metabolites hydroxylated by the hepatic microsomal mixed-function oxidase system (MFO), mainly cytochromes, in the liver of mammals [68]. AFM2 (77) was isolated from A. parasiticus [69]. AFM2a (78) was the hydration of the terminal furan ring of AFM1 in dilute acid to yield a hemiketal derivative [70]. AFP1 (79) was a demethylated metabolite of aflatoxin B1 by liver microsomal oxidase–catalysed O-demethylase [71]. AFQ1 (80) was a hydroxylated metabolite of aflatoxin B1 by microsomal enzymes in the liver of higher vertebrates and poultry [72]. AFQ2a (81), acid hydration of AFQ1 (80) [73]. Aflatoxicol M1 (82) was a reduced metabolite of AFB1, AFR0, or AFM1 catalysed by soluble NADPH-dependent reductases in the liver [68]. Aflatoxicol B1 (83) a metabolite of AFB1 (73) formed by a reversible reduction of the pentanone group in humans, animals and numerous bacteria and moulds [74]. Aflatoxicol H1 (84) was a reduced metabolite of AFB1 and AFQ1 (80) catalysed by soluble NADPH-dependent reductases in the liver [75]. Two difurocoumarocyclopentenone aflatoxins, AFB2b (85) and 8-acetyloxyaflatoxin B1 (86), were isolated from the marine-derived fungus Aspergillus flavus 092008 [76].
2.3.2. Difurocoumarolactone Aflatoxins
Difurocoumarolactone aflatoxins have a total of seven compounds, namely AFG1 (87), AFG2 (88), AFG2a (89), AFGM1 (90), AFGM2 (91), AFGM2a (92) (Figure 11).
Figure 11.
Chemical structures of difurocoumarolactone aflatoxins 87–92.
Two difurocoumarolactone aflatoxins, including AFG1 (87) and AFG2 (88), were isolated from A. flavus [77]. AFG2a (89) was a hydroxylated metabolite of AFG1 obtained by catalytic addition of water to the double bond of the terminal furan under acidic conditions in the liver, the stomach or soil [78]. AFGM1 (90) was a hydroxylated metabolite of AFG1 by MFO in the liver of mammals [79]. AFGM2 (91) was a hydroxylated derivative of AFG2 by MFO in the liver of mammals produced in vitro by A. parasiticus from dihydro-O-methylsterigmatocystin (DHOMST) [80]. AFGM2a (92) was hydration of the terminal furan ring of AFM1 in dilute acid to yield a hemiketal in vitro in liver homogenates [80].
2.3.3. Activity of Aflatoxins
AFB1 (73), B2 (74) and G1 (87) modulate cytokine secretion and cell surface marker expression in J774A.1 mouse macrophages [81]. AFB1 (73) has better activity against A549 cells [82]. Liver microsomal metabolites of AFB1 (73) induce mutations in DNA repair-deficient bacteria [83]. Compound 73 showed good activity against Hep G2 cells with an IC50 value of 16.9 µM. When the cell cycle was arrested at the G0/G1 phase by 73, the experimental results from the flow cytometry assay demonstrated that the rate of cell apoptosis and mitochondrial membrane potential was also additively increased in a dose-dependent manner. Thus, the integrity of mitochondria (MMP and membrane potential) which was the central component of cell apoptosis, is disrupted by AFB1 and sterigmatocystin in an additive manner. With the immunocytochemistry analysis showing increased expression of apoptosis-related proteins of Bax, Caspase-3 and p53 and decreased expression of Bcl-2 protein, the additive nature of the co-proapoptotic activity of AFB1 was revealed [84,85]. Relaxant effects of AFs: B1, B2, G1 and G2 and their major metabolites (M1, M2, P1, Q1 and G2a) on carbachol-preconstricted guinea-pig trachea [86]. AFB2b (85) exhibited moderate antimicrobial activity against Escherichia coli, Bacillus subtilis and Enterobacter aerogenes, with MIC values of 22.5, 1.7 and 1.1 µM, respectively. Compound 85 also showed weak cytotoxicity against A549, K562 and L-02 cell lines, with IC50 values of 8.1, 2.0 and 4.2 µM, respectively. The results showed that hydration and hydrogenation of the ∆8-double bond significantly reduce the cytotoxicity of aflatoxins, while the esterification at C-8 increases the cytotoxicity [76].
2.4. The Mechanism of Action of STC and AF
Based on studies of in vitro models and in vivo studies, the reported metabolic transformations of STC and its ability to form DNA adducts and cause DNA damage appear to play a key role in STC-induced carcinogenesis. In addition, STC has been associated with diminished immune responses and dysregulation of adaptive immune system homeostasis, as well as with the induction of oxidative stress, apoptosis, mitochondrial dysfunction and the induction of oxidative stress, apoptosis, mitochondrial dysfunction and activation of specific pathways [24] (Figure 12).
Figure 12.
STC-induced molecular mechanisms of action [24].
This metabolite of AF is the major mutagen and carcinogen among the derived metabolites of AFs. Metabolic activation of AFB1, which occurs mainly in the liver. This compound forms covalent bonds with guanine residues in DNA, especially at N-7 guanine, leading to depurination and, hence, cancer. This active form binds to DNA and albumin in the serum, forming adducts that ultimately cause DNA damage [2,21,24].
3. Synthesis
3.1. Chemical Synthesis
Due to the unique skeletons of AFs and their risk to human health, numerous teams have been working on their total synthesis over the last 60 years. However, up to now, no reports have been found on the total synthesis of STCs.
3.1.1. Total Synthesis of (±)-Aflatoxin B1
The first total synthesis of AFB1 was completed in 1966, as shown in Figure 13 [87,88]. Compound A-2 was obtained from A-1 by a 5-step reaction including acylation, methylation and selective benzylation. In the presence of Zn/AcOH, the tricyclic skeleton A-4 was efficiently constructed. The construction of the tricyclic framework was then completed by esterification, followed by the removal of the benzyl-protecting group, resulting in the tricyclic intermediate A-5.
Figure 13.
The total synthesis of (±)-Aflatoxin B1 [88].
Next, the D-ring was constructed by Peckman condensation reaction with β-keto ester A-6. Subsequently, in the presence of hydrochloric and acetic acids, the two ester groups underwent acetylmethyl hydrolysis, leading to the recycling of the C-ring. After activation of the carboxyl group, the E-ring was constructed by the Friedel-crafts reaction catalysed by AlCl3. AF B1 was synthesised by selective reduction of the C-ring, acylation of the hemiacetyl hydroxyl group and pyrolysis at 240 °C. The first total synthesis of AF B1 was accomplished in 13 steps with an overall yield of 0.9%.
3.1.2. Total Synthesis of (±)-Aflatoxin B2
In 1967, the first 10-step total synthesis of AFB2 was reported, as shown in Figure 14 [89,90]. Starting from B-1, coumarin intermediates A-2 containing aldehyde groups were obtained by selective methylation, benzylation and allyl oxidation in the presence of SeO2. After the protection of the aldehyde group, the benzyl-protecting group was removed, and the double bond was hydrogenated in the presence of Adam’s catalyst. Subsequently, the ester group was reduced to alcohol in the presence of LiAlH4, and the aldehyde group was released in the presence of hydrochloric acid. Intramolecular acetals B-4 were generated spontaneously and synthesised. The first synthesis of AFB2 was achieved by Peckman condensation and Friedel-process acylation.
Figure 14.
The total synthesis of (±)-Aflatoxin B2 [88].
3.1.3. Total Synthesis of (±)-Aflatoxin M1
In 1969, the first chemical total synthesis of AFM1 was reported, as shown in Figure 15 [88,90]. Based on the structural features of AFM1, dihydroxybenzofuranone C-1 with a B-ring structure was used as a starting material to create conditions for the introduction of hydroxyl groups and to avoid the problem of constructing a B-ring. After dimethylation, selective demethylation and benzylation, the hydroxyl-protected benzofuranone C-2 was obtained. The aldehyde C-4 was then obtained by bromination (α-carbonyl), benzyl alcohol substitution, the addition of allyl magnesium bromide to the keto carbonyl group, and oxidative breakage of the double bond using osmium tetroxide. Removal of the two phenyl-protecting groups by hydrogenation, followed by acylation of the phenol and hemiacetyl hydroxyl groups and high-temperature pyrolysis (450 °C) to form a C-ring double bond.
Figure 15.
The total synthesis of (±)-Aflatoxin M1 [88].
The free phenolic hydroxyl group in the A-ring was released by hydrolysis in the presence of a weak base. In the presence of ZnCO3, the free phenolic compound C-6 was reacted with chlorinated unsaturated cyclopentanone C-7 to effectively construct the D, E-bicyclic compound. The specific reaction process was as follows. First, a 1, 4- addition reaction between the neighbouring phenolic hydroxyl group and the unsaturated carbon-based substrate C-7 occurred smoothly under the catalysis of Zn ions. Next, the chloride anion was left as the leaving group to form the unsaturated carbonyl intermediate. Finally, in the presence of ZnCO3, the phenolic hydroxyl groups were esterified to form ethyl esters, thus completing the first total synthesis of AFM1. This method is a novel approach to the synthesis of AF.
3.1.4. Total Synthesis of (±)-Aflatoxin G1
The first total synthesis of AFG1 was accomplished in 1971 by a series of 1,4 addition, elimination and ester exchange reactions, as shown in Figure 16 [88,91]. Intermediate D-1 was synthesised from intermediate A-4 in six steps: DIBAL-H reduction, acylation, benzyl hydrogenation, phenolic hydroxyl acylation, hyperthermic decomposition, acylation of phenolic hydroxyl groups, high temperature (400 °C) pyrolysis and deacetylation. Finally, the D, E-bicyclic compound was formed in one step under reflux of ZnCO3 using the more active bromo-unsaturated caprolactone D-2.
Figure 16.
The total synthesis of (±)-Aflatoxin G1 [88].
4. Comprehensive Overview and Conclusions
STCs and AFs are the most important mycotoxins. Biologically, AFs are of concern to human health as they can be present as contaminants in food products [2]. AFs and STCs have attracted much attention in the last 70 years due to their unique skeletons and their risk to human health. This paper reviews the structures, biological activities, biosynthetic pathways, and chemical total synthesis of AFs and STCs.
Aflatoxins (AFs) are a specific group of mycotoxins primarily produced by toxigenic Aspergillus species, particularly A. flavus and A. parasiticus. They are highly toxic, mutagenic, carcinogenic, immunosuppressive compounds with severe detrimental effects on the human liver [2]. A better understanding of the mechanisms of gene regulation on aflatoxin biosynthesis will help us to identify natural inhibitors of fungal growth and aflatoxin formation.
A sample of STCs and their biological activities, sources are summarized in Table 1. Available data in the literature suggest that the cellular mechanisms of STC-induced toxicity include the induction of oxidative stress, mitochondrial dysfunction, apoptosis, and cell cycle arrest, as well as alteration of immune system function and activation of different signalling pathways. In addition, STC is genotoxic, forming DNA adducts and inducing DNA damage. Despite its high cytotoxicity, STC has not been subjected to risk assessment due to a lack of toxicity data, and studies on the toxicological effects of STC are continuing.
Table 1.
The compounds of Sterigmatocystins.
Author Contributions
Data curation, W.L., Z.C., X.L. (Xize Li) and X.L. (Xinrui Li); writing—original draft preparation, W.L.; writing—review and editing, W.L. and Y.H.; project administration, W.C.; funding acquisition, W.C. and Y.H. All authors have read and agreed to the published version of the manuscript.
Funding
This work was supported by the National Natural Science Foundation of China (22167013), the Hainan Provincial Natural Science Foundation of China (823MS043 and 221RC541), and the Specific Research Fund of the Innovation Platform for Academicians of Hainan Province (YSPTZX202309).
Institutional Review Board Statement
Not applicable.
Informed Consent Statement
Not applicable.
Data Availability Statement
Not applicable.
Conflicts of Interest
The authors declare no conflict of interest.
References
- Zhang, Y.B.; Bao, L.; Chu, Q.H. Detection and Analysis of Mycotoxins in Agricultural Products; Chemical Industry Press: Beijing, China, 2006. [Google Scholar]
- Okechukwu, V.O.; Adelusi, O.A.; Kappo, A.P.; Njobeh, P.B.; Mamo, M.A. Aflatoxins: Occurrence, biosynthesis, mechanism of action and effects, conventional/emerging detection techniques. Food Chem. 2024, 436, 137775. [Google Scholar] [CrossRef] [PubMed]
- Adelusi, O.A.; Gbashi, S.; Adebo, J.A.; Aasa, A.O.; Oladeji, O.M.; Kah, G.; Adebo, O.A.; Changwa, R.; Njobeh, P.B. Seasonal and geographical impact on the mycotoxigenicity of Aspergillus and Fusarium species isolated from smallholder dairy cattle feeds and feedstuffs in free state and limpopo provinces of South Africa. Toxins 2023, 15, 128. [Google Scholar] [CrossRef] [PubMed]
- Gruber-Dorninger, C.; Novak, B.; Nagl, V.; Berthiller, F. Emerging mycotoxins: Beyond traditionally determined food contaminants. J. Agric. Food Chem. 2017, 65, 7052–7070. [Google Scholar] [CrossRef] [PubMed]
- Jin, H.Y.; Wang, Y.; Sun, L. Current situation and suggestions on control of extrinsic harmful residues in Chinese medicinal materials. Chin. Pharm. Aff. 2009, 23, 639–642. [Google Scholar]
- Turner, N.W.; Bramhmbhatt, H.; Szabo-Vezse, M.; Poma, A.; Coker, R.; Piletsky, S.A. Analytical methods for determination of mycotoxins: An update (2009–2014). Anal. Chim. Acta 2015, 901, 12. [Google Scholar] [CrossRef] [PubMed]
- Artasasta, M.A.; Yanwirasti, Y.; Taher, M.; Djamaan, A.; Ariantari, N.P.; Edrada-Ebel, R.A.; Handayani, D. Apoptotic activity of new oxisterigmatocystin derivatives from the marine-derived fungus Aspergillus nomius NC06. Mar. Drugs 2021, 19, 631. [Google Scholar] [CrossRef] [PubMed]
- Yu, C. Effects of ATM-Chk2 Signalling Pathway on Factors Related to G2 Phase Block Induced by Sterigmatocystin in Human Gastric Mucosal Epithelial Cells. Master’s Thesis, Hebei Medical University, Shijiazhuang, China, 2011. [Google Scholar]
- Sadhasivam, S.; Britzi, M.; Zakin, V.; Kostyukovsky, M.; Trostanetsky, A.; Quinn, E.; Sionov, E. Rapid detection, and identification of mycotoxigenic fungi and mycotoxins in stored wheat grain. Toxins 2017, 9, 302. [Google Scholar] [CrossRef]
- Rank, C.; Nielsen, K.F.; Larsen, T.O.; Varga, J.; Samson, R.A.; Frisvad, J.C. Distribution of sterigmatocystin in filamentous fungi. Fungal. Biol. 2011, 115, 406–420. [Google Scholar] [CrossRef]
- Zingales, V.; Fernández-Franzón, M.; Ruiz, M.J. Sterigmatocystin: Occurrence, toxicity and molecular mechanisms of action—A review. Food. Chem. Toxicol. 2020, 146, 111802. [Google Scholar] [CrossRef]
- Yabe, K.; Nakajima, H. Aflatoxin biosynthesis. Shokuhin Eiseigaku Zashi 2011, 52, 135–147. [Google Scholar] [CrossRef]
- Holker, J.S.; Mulheirn, L.J. The biosynthesis of sterigmatocystin. Chem. Commun. 1968, 1576–1577. [Google Scholar] [CrossRef]
- Zhao, B.Y.; Cao, G.G. Progress in the study of sterigmatocystin aspergillus toxins. Prog. Anim. Med. 1997, 2, 19–22. [Google Scholar]
- Alkhayyat, F.; Yu, J.H. Upstream regulation of mycotoxin biosynthesis. Adv. Appl. Microbiol. 2014, 86, 251–278. [Google Scholar]
- Kelkar, H.S.; Skloss, T.W.; Haw, J.F.; Keller, N.P.; Adams, T.H. Aspergillus nidulans stcL encodes a putative cytochrome P-450 monooxygenase required for bisfuran desaturation during aflatoxin/sterigmatocystin biosynthesis. J. Biol. Chem. 1997, 272, 1589–1594. [Google Scholar] [CrossRef] [PubMed]
- Kelkar, H.S.; Keller, N.P.; Adams, T.H. Aspergillus nidulans stcP encodes an O-methyltransferase that is required for sterigmatocystin biosynthesis. Appl. Environ. Microbiol. 1996, 62, 4296–4298. [Google Scholar] [CrossRef] [PubMed]
- Keller, N.P.; Segner, S.; Bhatnagar, D.; Adams, T.H. StcS, a putative P-450 monooxygenase, is required for the conversion of versicolorin A to sterigmatocystin in Aspergillus nidulans. Appl. Environ. Microbiol. 1995, 61, 3628–3632. [Google Scholar] [CrossRef]
- Caceres, I.; Khoury, A.; Khoury, R.; Lorber, S.P.; El Oswald, I.; Khoury, A.; Atoui, A.; Puel, O.; Bailly, J.D. Aflatoxin biosynthesis and genetic regulation: A review. Toxins 2020, 12, 150. [Google Scholar] [CrossRef]
- Liao, J.; He, Z.; Xia, Y.; Lei, Y.; Liao, B. A review on biosynthesis and genetic regulation of aflatoxin production by major Aspergillus fungi. Oil. Crop Sci. 2020, 5, 166–173. [Google Scholar] [CrossRef]
- Rushing, B.R.; Selim, M.I. Aflatoxin B1: A review on metabolism, toxicity, occurrence in food, occupational exposure, and detoxification methods. Food. Chem. Toxicol. 2019, 124, 81–100. [Google Scholar] [CrossRef]
- Khan, R.; Ghazali, F.M.; Mahyudin, N.A.; Samsudin, N.I.P. Aflatoxin biosynthesis, genetic regulation, toxicity, and control strategies: A review. J. Fungi 2021, 7, 606. [Google Scholar] [CrossRef]
- Ye, T.; Yan, H.; Wang, X.; Zhao, W.; Tao, F.; Zhou, Y. Determination of four aflatoxins on dark tea infusions and aflatoxin transfers evaluation during tea brewing. Food Chem. 2023, 405, 134969. [Google Scholar] [CrossRef] [PubMed]
- Awuchi, C.G.; Ondari, E.N.; Nwozo, S.; Odongo, G.A.; Eseoghene, I.J.; Twinomuhwezi, H.; Ogbonna, C.U.; Upadhyay, A.K.; Adeleye, A.O.; Okpala, C.O.R. Mycotoxins’ toxicological mechanisms involving humans, livestock and their associated health concerns: A review. Toxins 2022, 14, 167. [Google Scholar] [CrossRef] [PubMed]
- John, M.E.; Frances, A.O.; Donald, N.M. Preparation and antitumor activities of some derivatives of 5-methoxysterigmatocystin. J. Med. Chem. 1976, 19, 1339–1342. [Google Scholar]
- Paul, N.C.; David, G.I.; John, R.V. Reduction of sterigmatocystin and versicolorin A hemiacetals with sodium borohydride. J. Org. Chem. 1977, 42, 3599–3605. [Google Scholar]
- Song, F.; Ren, B.; Chen, C.; Yu, K.; Liu, X.; Zhang, Y.; Yang, N.; He, H.; Liu, X.; Dai, H.; et al. Three new sterigmatocystin analogues from marine- derived fungus Aspergillus versicolor MF359. Appl. Microbiol. Biotechnol. 2014, 98, 3753–3758. [Google Scholar] [CrossRef] [PubMed]
- Zhao, D.L.; Han, X.B.; Wang, M.; Zeng, Y.-T.; Li, Y.-Q.; Ma, G.-Y.; Liu, J.; Zheng, C.-J.; Wen, M.-X.; Zhang, Z.-F.; et al. Herbicidal and antifungal xanthone derivatives from the alga-derived fungus Aspergillus versicolor D5. J. Agric. Food. Chem. 2020, 68, 11207–11214. [Google Scholar] [CrossRef] [PubMed]
- Pfeiffer, E.; Fleck, S.C.; Metzler, M. Catechol formation: A novel pathway in the metabolism of sterigmatocystin and 11-methoxysterigmatocystin. Chem. Res. Toxicol. 2014, 27, 2093–2099. [Google Scholar] [CrossRef] [PubMed]
- Liu, L.; Liu, R.; Basnet, B.B.; Bao, L.; Han, J.; Wang, L.; Liu, H. New phenolic bisabolane sesquiterpenoid derivatives with cytotoxicity from Aspergillus tennesseensis. J. Antibiot. 2018, 71, 538–542. [Google Scholar] [CrossRef] [PubMed]
- Rajachan, O.A.; Kanokmedhakul, K.; Soytong, K.; Kanokmedhakul, S. Mycotoxins from the fungus Botryotrichum piluliferum. J. Agric. Food Chem. 2017, 65, 1337–1341. [Google Scholar] [CrossRef]
- Wu, Z.H.; Liu, D.; Xu, Y.; Chen, J.-L.; Lin, W.-H. Antioxidant xanthones and anthraquinones isolated from a marine-derived fungus Aspergillus versicolor. Chin. J. Nat. Med. 2018, 16, 219–224. [Google Scholar] [CrossRef]
- Tian, Q.; Lin, S.T.; Kumaravel, K. Polyketide-derived metabolites from the sponge-derived fungus Aspergillus sp. F40. Phytochem. Lett. 2018, 27, 74–77. [Google Scholar] [CrossRef]
- Capon, R.J.; Skene, C.; Stewart, M.; Ford, J.; O’Hair, R.A.J.; Williams, L.; Lacey, E.; Gill, J.H.; Heiland, K.; Friedel, T. Aspergillicins A–E: Five novel depsipeptides from the marine-derived fungus Aspergillus carneus. Org. Biomol. Chem. 2003, 1, 1856–1862. [Google Scholar] [CrossRef] [PubMed]
- Sana, T.; Khan, M.; Jabeen, A.; Shams, S.; Ben Hadda, T.; Begum, S.; Siddiqui, B.S. Urease and carbonic anhydrase inhibitory effect of xanthones from Aspergillus nidulans, an endophytic fungus of Nyctanthes arbor-tristis. Planta Med. 2023, 89, 377–384. [Google Scholar] [CrossRef] [PubMed]
- Burkhardt, H.J.; Forgacs, J. O-methylsterigmatocystin, a new metabolite from Aspergillus flavus, link ex fries. Tetrahedron 1968, 24, 717–720. [Google Scholar] [CrossRef]
- Holker, J.S.; Kagal, S.A. 5-methoxysterigmatocystin, a metabolite from a mutant strain of Aspergillus versicolor. Chem. Commun. 1968, 24, 1574–1575. [Google Scholar] [CrossRef]
- Rodricks, J.V.; Lustig, E.; Campbell, A.D. Aspertoxin, a hydroxy derivative of O-methylsterigmatocystin from aflatoxin-producing cultures of Aspergillus flavus. Tetrahedron Lett. 1968, 9, 2975–2978. [Google Scholar] [CrossRef] [PubMed]
- Bradner, W.T.; Bush, J.A.; Myllymaki, R.W.; Nettleton, D.E., Jr.; O’Herron, F.A. Fermentation, isolation, and antitumor activity of sterigmatocystins. Antimicrob. Agents 1975, 8, 159–163. [Google Scholar] [CrossRef] [PubMed]
- Mori, H.; Sugie, S.; Yoshimi, N.; Kitamura, J.; Niwa, M.; Hamasaki, T.; Kawai, K. Genotoxic effects of a variety of sterigmatocystin related compounds in the hepatocyte/DNA-repair test and the salmonella microsome assay. Mutat. Res. 1986, 173, 217–222. [Google Scholar] [CrossRef] [PubMed]
- Gengan, R.M.; Chuturgoon, A.A.; Mulholland, D.A.; Dutton, M.F. Synthesis of sterigmatocystin derivatives and their biotransformation to aflatoxins by a blocked mutant of Aspergillus parasiticus. Mycopathologia 1999, 144, 115–122. [Google Scholar] [CrossRef] [PubMed]
- Joshi, B.K.; Gloer, J.B.; Wicklow, D.T. Bioactive natural products from a sclerotium colonizing isolate of Humicola fuscoatra. J. Nat. Prod. 2002, 65, 1734–1737. [Google Scholar] [CrossRef]
- Jittra, K.; Siriporn, S.; Kitlada, S. New mycotoxins from the scale insect fungus Aschersonia coffeae Henn. BCC 28712. Tetrahedron 2012, 68, 8480–8486. [Google Scholar]
- Zeng, H.; Hatabayashi, H.; Nakagawa, H.; Cai, J.; Suzuki, R.; Sakuno, E.; Tanaka, T.; Ito, Y.; Ehrlich, K.C.; Nakajima, H.; et al. Conversion of 11-hydroxy-O-methylsterigmatocystin to aflatoxin G1 in Aspergillus parasiticus. Appl. Microbiol. Biotechnol. 2011, 90, 635–650. [Google Scholar] [CrossRef] [PubMed]
- Ferhat, C.; Weaam, E.; Mona, E. Induction of new metabolites from sponge-associated fungus Aspergillus carneus by OSMAC approach. Fitoterapia 2018, 131, 9–14. [Google Scholar]
- Hatsuda, Y.; Hamasaki, T.; Ishida, M. Dihydrosterigmatocystin and dihydrodemethylsterigmatocystin, new metabolites from Aspiergillus versicolor. Agric. Biol. Chem. 1972, 36, 521–522. [Google Scholar] [CrossRef]
- Lee, Y.M.; Li, H.; Hong, J.; Cho, H.Y.; Bae, K.S.; Kim, M.A.; Kim, D.-K.; Jung, J.H. Bioactive metabolites from the sponge-derived fungus Aspergillus versicolor. Arch. Pharm. Res. 2010, 33, 231–235. [Google Scholar] [CrossRef] [PubMed]
- Xing, X. Study on the Possible Mechanism of GES-1 Cell Cycle G2 Phase Block Induced by Sterigmatocystin. Ph.D. Thesis, Hebei Medical University, Shijiazhuang, China, 2009. [Google Scholar]
- Li, X.Q.; Dong, Q.J.; Xu, K. Cytotoxic xanthones from the plant endophytic fungus Paecilamyces sp. TE-540. Nat. Prod. Res. 2021, 35, 6134–6140. [Google Scholar] [CrossRef] [PubMed]
- Gao, S.; Tian, W.J.; Liao, Z.J. Chemical constituents from endophytic fungus Annulohypoxylon cf. stygium in leaves of Anoectochilus roxburghii (wall.) Lindl. Chem. Biodivers. 2020, 17, e2000424. [Google Scholar] [CrossRef] [PubMed]
- Elsayed, H.E.; Kamel, R.A.; Ibrahim, R.R.; Abdel-Razek, A.S.; Shaaban, M.A.; Frese, M.; Sewald, N.; Ebrahim, H.Y.; Moharram, F.A. Cytotoxicity, antimicrobial, and in silico studies of secondary metabolites from Aspergillus sp. isolated from Tecoma stans (L.) Juss. Ex Kunth leaves. Front. Chem. 2021, 9, 760083. [Google Scholar] [CrossRef] [PubMed]
- Lv, H.; Zhang, J.; Xue, Y. Two new austocystin analogs from the marine-derived fungus Aspergillus sp. WHUF05236. Chem. Biodivers. 2022, 19, e202200207. [Google Scholar] [CrossRef]
- Yu, J. Current understanding on aflatoxin biosynthesis and future perspective in reducing aflatoxin contamination. Toxins 2012, 4, 1024–1057. [Google Scholar] [CrossRef]
- Chen, X. Study on Apoptosis and Autophagy of Sterigmatocystin Carcinoma Cells Induced by Stalkin through Regulating XIAP. Master’s Thesis, Chongqing University, Chongqing, China, 2021. [Google Scholar]
- Liu, K.; Zheng, Y.; Miao, C. The antifungal metabolites obtained from the rhizospheric Aspergillus sp. YIM PH30001 against pathogenic fungi of Panax notoginseng. Nat. Prod. Res. 2014, 28, 2334–2337. [Google Scholar] [CrossRef] [PubMed]
- Zeng, H.; Cai, J.; Hatabayashi, H.; Nakagawa, H.; Nakajima, H.; Yabe, K. VerA gene is involved in the step to make the xanthone structure of demethylsterigmatocystin in aflatoxin biosynthesis. Int. J. Mol. Sci. 2020, 21, 6389. [Google Scholar] [CrossRef] [PubMed]
- Jiang, X.J. Sterigmatocystin Induces Human Gastric Mucosal Epithelial Cells (GES-1) to Undergo G2 Phase Detection Point Adaptation and Possible Mechanisms. Ph.D. Thesis, Hebei Medical University, Shijiazhuang, China, 2015. [Google Scholar]
- Zhang, S.S.; Zhu, A.; Bai, X.; Zhu, H.-J.; Cao, F. Alkaloids and polyketides from the marine-derived fungus Aspergillus versicolor. Chem. Nat. Compd. 2020, 56, 964–967. [Google Scholar] [CrossRef]
- Hu, S.S.; Jiang, N.; Wang, X.L.; Chen, C.-J.; Fan, J.-Y.; Wurin, G.; Ge, H.-M.; Tan, R.-X.; Jiao, R.-H. Prenylated diphenyl ethers from the mantis-associated fungus Aspergillus versicolor GH-2. Tetrahedron Lett. 2015, 56, 3894–3897. [Google Scholar] [CrossRef]
- Cao, T.Q.; Liu, Z.; Dong, L. Identification of potential anti-neuroinflammatory inhibitors from antarctic fungal strain Aspergillus sp. SF-7402 via regulating the NF-κB signaling pathway in microglia. Molecules 2022, 27, 2851. [Google Scholar] [CrossRef] [PubMed]
- Benkerroum, N. Aflatoxins: Producing-molds, structure, health issues and incidence in southeast asian and sub-saharan african countries. Int. J. Environ. Res. Public Health 2020, 17, 1215. [Google Scholar] [CrossRef] [PubMed]
- Frisvad, J.C.; Hubka, V.; Ezekiel, C.N.; Hong, S.B.; Nováková, A.; Chen, A.J.; Arzanlou, M.; Larsen, T.O.; Sklenár, F.; Mahakarnchanakul, W. Taxonomy of Aspergillus section flavi and their production of aflatoxins, ochratoxins and other mycotoxins. Stud. Mycol. 2019, 93, 1–63. [Google Scholar] [CrossRef] [PubMed]
- Wu, Z.F. Research progress of aflatoxin. Gansu Sci. Technol. 2010, 26, 89–93. [Google Scholar]
- Wang, X.P.; Wang, Y.T.; Li, J.S. Dictionary of Hygiene; Qingdao Press: Qingdao, China, 2000; pp. 323–324. [Google Scholar]
- Asao, T.; Buechi, G.; Abdel-Kade, M.M.; Chang, S.B.; Wick, E.L.; Wogan, G.N. The structures of aflatoxins B and G1. J. Am. Chem. Soc. 1965, 87, 882–886. [Google Scholar] [CrossRef]
- Brechbühler, S.; Büchi, G.; Milne, G. The absolute configuration of the aflatoxins. J. Org. Chem. 1967, 32, 2641–2642. [Google Scholar] [CrossRef]
- Rushing, B.R.; Selim, M.I. Effect of dietary acids on the formation of aflatoxin B2a as a means to detoxify aflatoxin B1. Food. Addit. Contam. 2016, 33, 1456–1467. [Google Scholar] [CrossRef] [PubMed]
- Hayes, J.R.; Polan, C.E.; Campbell, T.C. Bovine liver metabolism and tissue distribution of aflatoxin B1. J. Agric. Food Chem. 1977, 25, 1189–1193. [Google Scholar] [CrossRef] [PubMed]
- Yabe, K.; Chihaya, N.; Hatabayashi, H.; Kito, M.; Hoshino, S.; Zeng, H.; Cai, J.; Nakajima, H. Production of M-/GM-group aflatoxins catalyzed by the OrdA enzyme in aflatoxin biosynthesis. Fungal Genet. Biol. 2012, 49, 744–754. [Google Scholar] [CrossRef] [PubMed]
- Benkerroum, N. Chronic and acute toxicities of aflatoxins: Mechanisms of action. Int. J. Environ. Res. Public Health 2020, 17, 423. [Google Scholar] [CrossRef] [PubMed]
- Trucksess, M.W.; Stoloff, L.; Brumley, W.C.; Wilson, D.M.; Hale, O.M.; Sangster, L.T.; Miller, D.M. Aflatoxicol and aflatoxins B1 and M1 in the tissues of pigs receiving aflatoxin. J. Assoc. Off. Anal. Chem. 1982, 65, 884–887. [Google Scholar] [CrossRef] [PubMed]
- Rawal, S.; Coulombe, R.A., Jr. Metabolism of aflatoxin B1 in turkey liver microsomes: The relative roles of cytochromes P450 1A5 and 3A37. Toxicol. Appl. Pharmacol. 2011, 254, 349–354. [Google Scholar] [CrossRef] [PubMed]
- Fan, T.S.; Zhang, G.S.; Chu, F.S. Production and characterization of antibody against aflatoxin Q1. Appl. Environ. Microbiol. 1984, 47, 526–532. [Google Scholar] [CrossRef] [PubMed]
- Doyle, M.P.; Applebaum, R.S.; Brackett, R.E.; Marth, E.H. Physical, chemical and biological degradation of mycotoxins in foods and agricultural commodities. J. Food Prot. 1982, 45, 964–971. [Google Scholar] [CrossRef] [PubMed]
- Salhab, A.S.; Hsieh, D.P. Aflatoxicol H1: A major metabolite of aflatoxin B1 produced by human and rhesus monkey livers in vitro. Res. Commun. Chem. Pathol. Pharmacol. 1975, 10, 419–429. [Google Scholar]
- Wang, H.; Lu, Z.; Qu, H.J.; Liu, P.; Miao, C.; Zhu, T.; Li, J.; Hong, K.; Zhu, W. Antimicrobial aflatoxins from the marine-derived fungus Aspergillus flavus 092008. Arch. Pharm. Res. 2012, 35, 1387–1392. [Google Scholar] [CrossRef]
- Pildain, M.B.; Frisvad, J.C.; Vaamonde, G.; Cabral, D.; Varga, J.; Samson, R.A. Two novel aflatoxin-producing Aspergillus species from Argentinean peanuts. Int. J. Syst. Evol. Microbiol. 2008, 58, 725–735. [Google Scholar] [CrossRef] [PubMed]
- Starr, J.M.; Rushing, B.R.; Selim, M.I. Solvent-dependent transformation of aflatoxin B1 in soil. Mycotoxin Res. 2017, 33, 197–205. [Google Scholar] [CrossRef] [PubMed]
- Heathcote, J.G.; Dutton, M.F. New metabolites of Aspergillus flavus. Tetrahedron 1969, 25, 1497–1500. [Google Scholar] [CrossRef]
- Applebaum, R.S.; Brackett, R.E.; Wiseman, D.W.; Marth, E.H. Aflatoxin: Toxicity to dairy cattle and occurrencein milk and milk products—A review. J. Food Prot. 1982, 45, 752–777. [Google Scholar] [CrossRef] [PubMed]
- Bruneau, J.C.; Stack, E.; O’Kennedy, R.; Loscher, C.E. Aflatoxins B(1), B(2) and G(1) modulate cytokine secretion and cell surface marker expression in J774A.1 murine macrophages. Toxicol. In Vitro 2012, 26, 686–693. [Google Scholar] [CrossRef] [PubMed]
- Jakšić, D.; Puel, O.; Canlet, C.; Kopjar, N.; Kosalec, I.; Klarić, M.Š. Cytotoxicity and genotoxicity of versicolorins and 5-methoxysterigmatocystin in A549 cells. Arch. Toxicol. 2012, 86, 1583–1591. [Google Scholar] [CrossRef] [PubMed]
- Garner, R.C.; Wright, C.M. Induction of mutations in DNA-repair deficient bacteria by a liver microsomal metabolite of aflatoxin B1. Br. J. Cancer 1973, 28, 544–551. [Google Scholar] [CrossRef] [PubMed]
- Liu, Y.; Du, M.; Zhang, G. Proapoptotic activity of aflatoxin B1 and sterigmatocystin in HepG2 cells. Toxicol. Rep. 2014, 1, 1076–1086. [Google Scholar] [CrossRef] [PubMed]
- Feng, Z. Mechanism Study of Aflatoxin B1 Blocking Autophagic Flow and Inducing Apoptosis in HepG2 Cells. Master’s Thesis, Jilin University, Changchun, China, 2020. [Google Scholar]
- Abdel-Haq, H.; Palmery, M.; Leone, M.G.; Saso, L.; Silvestrini, B. Relaxant effects of aflatoxins on isolated guinea pig trachea. Toxicol. Sci. 2000, 55, 162–170. [Google Scholar] [CrossRef]
- Büchi, G.; Foulkes, D.M.; Kurono, M.; Mitchell, G.F. The total synthesis of racemic Aflatoxin B1. J. Am. Chem. Soc. 1966, 88, 4534–4536. [Google Scholar] [CrossRef]
- Yang, L.; Wang, Z. Advances in the total synthesis of Aflatoxins. Front. Chem. 2021, 9, 779765. [Google Scholar] [CrossRef] [PubMed]
- Roberts, J.C.; Sheppard, A.H.; Knight, J.A.; Roffey, P. Studies in mycological chemistry. Part XXII. Total synthesis of (±)-Aflatoxin-B2. J. Chem. Soc. C 1968, 1, 22–24. [Google Scholar] [CrossRef] [PubMed]
- Büchi, G.; Weinreb, S.M. Total synthesis of racemic Aflatoxin-M1 (Milk Toxin). J. Am. Chem. Soc. 1969, 91, 5408–5409. [Google Scholar] [CrossRef]
- Büchi, G.; Weinreb, S.M. Total syntheses of Aflatoxins M1 and G1 and an improved synthesis of Aflatoxin B1. J. Am. Chem. Soc. 1971, 93, 746–752. [Google Scholar] [CrossRef] [PubMed]
Disclaimer/Publisher’s Note: The statements, opinions and data contained in all publications are solely those of the individual author(s) and contributor(s) and not of MDPI and/or the editor(s). MDPI and/or the editor(s) disclaim responsibility for any injury to people or property resulting from any ideas, methods, instructions or products referred to in the content. |
© 2024 by the authors. Licensee MDPI, Basel, Switzerland. This article is an open access article distributed under the terms and conditions of the Creative Commons Attribution (CC BY) license (https://creativecommons.org/licenses/by/4.0/).