Dataset for the Heat-Up and Heat Transfer towards Single Particles and Synthetic Particle Clusters from Particle-Resolved CFD Simulations
Abstract
:1. Summary
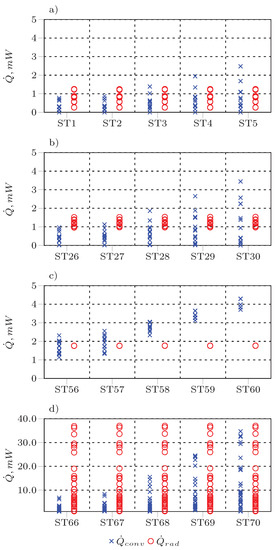
2. Data Description
2.1. Primary Dataset
- Steady-state simulations (ST) of the flow around particle clusters (dataset 1, Table 1);
- Transient simulations (T) of the flow around particle clusters, including particle heat-up (dataset 2);
- Transient simulation of the flow around single spheres, including particle heat up (dataset 3).
2.2. Secondary Dataset
3. Methods
3.1. Simulation Setup and Conditions
- A size equivalent sphere (SE): The single-sphere diameter is equal to the size of the particles in the cluster (d = 60 m);
- A mass equivalent sphere (ME): The single-sphere mass is equal to the mass of the cluster (d = 211.8 m);
- A surface area equivalent sphere (AE): The single-sphere surface area is equal to the surface area of the cluster (d = 397.8 m);
- A surface and mass equivalent sphere (AME): The single-sphere surface area and mass are equal to the cluster. The sphere diameter is equal to the AE case, but the particle density is reduced to 165.8 kg/m.
3.2. Data Collection
Author Contributions
Funding
Institutional Review Board Statement
Informed Consent Statement
Data Availability Statement
Acknowledgments
Conflicts of Interest
Abbreviations
| AE | Surface area equivalent |
| AME | Surface area and mass equivalent |
| CFD | Computational fluid dynamics |
| fvDOM | Finite volume discrete ordinates model |
| ME | Mass equivalent |
| PSD | Particle size distribution |
| SE | Size equivalent |
| ST | Steady-state simulation |
| T | Transient simulation |
References
- Prokhorov, D.A.; Piralishvili, S.A. Numerical simulation of pulverized coal combustion and comparison with in-furnace measurements. AIP Conf. Proc. 2020, 2211, 040008. [Google Scholar] [CrossRef]
- Zheng, J.; Liu, P.; Shen, Z. Simulation of Turbulent Combustion in a Large Pulverized Coal Boiler Based on Turbulent Radiation Interaction and the Modified Soot Model. ACS Omega 2020, 5, 23822–23835. [Google Scholar] [CrossRef] [PubMed]
- Kuang, S.; Li, Z.; Yu, A. Review on Modeling and Simulation of Blast Furnace. Steel Res. Int. 2018, 89, 1700071. [Google Scholar] [CrossRef]
- Abhale, P.B.; Viswanathan, N.N.; Saxén, H. Numerical modelling of blast furnace—Evolution and recent trends. Miner. Process. Extr. Metall. 2020, 129, 166–183. [Google Scholar] [CrossRef]
- Zhong, W.; Yu, A.; Zhou, G.; Xie, J.; Zhang, H. CFD simulation of dense particulate reaction system: Approaches, recent advances and applications. Chem. Eng. Sci. 2016, 140, 16–43. [Google Scholar] [CrossRef]
- Zhou, L. Theory and Modeling of Dispersed Multiphase Turbulent Reacting Flows; Butterworth-Heinemann: Oxford, UK, 2018. [Google Scholar]
- Haugen, N.E.L.; Mitchell, R.E. Modeling radiation in particle clouds: On the importance of inter-particle radiation for pulverized solid fuel combustion. Heat Mass Transf. 2015, 51, 991–999. [Google Scholar] [CrossRef] [Green Version]
- Banko, A.J.; Villafañe, L.; Kim, J.H.; Esmaily, M.; Eaton, J.K. Stochastic modeling of direct radiation transmission in particle-laden turbulent flow. J. Quant. Spectrosc. Radiat. Transf. 2019, 226, 1–18. [Google Scholar] [CrossRef]
- Forgber, T.; Radl, S. A novel approach to calculate radiative thermal exchange in coupled particle simulations. Powder Technol. 2018, 323, 24–44. [Google Scholar] [CrossRef]
- Liberman, M.A.; Kleeorin, N.; Rogachevskii, I.; Haugen, N.E.L. Multipoint radiation induced ignition of dust explosions: Turbulent clustering of particles and increased transparency. Combust. Theory Model. 2018, 22, 1084–1102. [Google Scholar] [CrossRef] [Green Version]
- Bermúdez, A.; Ferrín, J.; Liñán, A.; Saavedra, L. Numerical simulation of group combustion of pulverized coal. Combust. Flame 2011, 158, 1852–1865. [Google Scholar] [CrossRef] [Green Version]
- Haugen, N.E.L.; Krüger, J.; Mitra, D.; Løvås, T. The effect of turbulence on mass transfer rates of small inertial particles with surface reactions. J. Fluid Mech. 2018, 836, 932–951. [Google Scholar] [CrossRef] [Green Version]
- Krüger, J.; Haugen, N.E.L.; Løvås, T. Correlation effects between turbulence and the conversion rate of pulverized char particles. Combust. Flame 2017, 185, 160–172. [Google Scholar] [CrossRef]
- Krüger, J.; Haugen, N.E.; Mitra, D.; Løvås, T. The effect of turbulent clustering on particle reactivity. Proc. Combust. Inst. 2017, 36, 2333–2340. [Google Scholar] [CrossRef] [Green Version]
- Lu, J.; Zhu, X.; Peters, E.; Verzicco, R.; Lohse, D.; Kuipers, J. Moving from momentum transfer to heat transfer—A comparative study of an advanced Graetz-Nusselt problem using immersed boundary methods. Chem. Eng. Sci. 2019, 198, 317–333. [Google Scholar] [CrossRef]
- Chadil, M.A.; Vincent, S.; Estivalèzes, J.L. Gas-Solid Heat Transfer Computation from Particle-Resolved Direct Numerical Simulations. Fluids 2022, 7, 15. [Google Scholar] [CrossRef]
- Tavassoli, H.; Kriebitzsch, S.; van der Hoef, M.; Peters, E.; Kuipers, J. Direct numerical simulation of particulate flow with heat transfer. Int. J. Multiph. Flow 2013, 57, 29–37. [Google Scholar] [CrossRef]
- Tavassoli, H.; Peters, E.; Kuipers, J. Direct numerical simulation of fluid-particle heat transfer in fixed random arrays of non-spherical particles. Chem. Eng. Sci. 2015, 129, 42–48. [Google Scholar] [CrossRef]
- Yin, C. On gas and particle radiation in pulverized fuel combustion furnaces. Appl. Energy 2015, 157, 554–561. [Google Scholar] [CrossRef]
- Bösenhofer, M.; Pichler, M.; Harasek, M. Heat Transfer Models for Dense Pulverized Particle Jets. Processes 2022, 10, 238. [Google Scholar] [CrossRef]
- Pichler, M.; Bösenhofer, M.; Harasek, M. Dataset for the heat-up and heat transfer towards single particles and synthetic particle clusters from particle resolved CFD simulations. Mendeley Data 2022. [Google Scholar] [CrossRef]
- Papoulis, A.; Pillai, S.U. Probability, Random Variables, and Stochastic Processes, 4th ed.; McGraw-Hill Series in Electrical and Computer Engineering; McGraw-Hill: Boston, MA, USA, 2002. [Google Scholar]
- Konrad, K. Dense-phase pneumatic conveying: A review. Powder Technol. 1986, 49, 1–35. [Google Scholar] [CrossRef]
- Cai, L.; Liu, S.; Pan, X.; Guiling, X.; Xiaoping, C.; Changsui, Z. Influence of carbonaceous powders on flow characteristics of dense-phase pneumatic conveying at high pressure. Exp. Therm. Fluid Sci. 2014, 58, 121–130. [Google Scholar] [CrossRef]
- Liang, C.; Xu, P.; Xu, G.; Chen, X.; Zhao, C.; Duan, L. Comparison on Flow Characteristics of Dense-phase Pneumatic Conveying of Biomass Powder and Pulverized coal at High Pressure. Energy Sources Part A Recover. Util. Environ. Eff. 2015, 37, 583–589. [Google Scholar] [CrossRef]
- Jin, Y.; Lu, H.; Guo, X.; Gong, X. Application of CPFD method in the simulation of vertical dense phase pneumatic conveying of pulverized coal. Powder Technol. 2019, 357, 343–351. [Google Scholar] [CrossRef]
- Squires, K.D.; Eaton, J.K. Preferential concentration of particles by turbulence. Phys. Fluids A Fluid Dyn. 1991, 3, 1169–1178. [Google Scholar] [CrossRef]
- Balachandar, S.; Eaton, J.K. Turbulent Dispersed Multiphase Flow. Annu. Rev. Fluid Mech. 2010, 42, 111–133. [Google Scholar] [CrossRef]
- Weller, H.G.; Tabor, G.; Jasak, H.; Fureby, C. A tensorial approach to computational continuum mechanics using object-oriented techniques. Comput. Phys. 1998, 12, 620–631. [Google Scholar] [CrossRef]
- Modest, M.F. Radiative Heat Transfer, 3rd ed.; Academic Press: New York, NY, USA, 2013. [Google Scholar]
- Grosshandler, W.L. RADCAL: A Narrow-Band Model for Radiation—Calculations in a Combustion Environment; Technical Note 1402; National Institute of Standards and Technology (NIST): Gaithersburg, MD, USA, 1993.
- Smith, G.P.; Golden, D.M.; Frenklach, M.; Moriarty, N.W.; Eiteneer, B.; Goldenberg, M.; Bowman, C.T.; Hanson, R.K.; Song, S.; Gardiner, W.C., Jr.; et al. GRI-Mech, Version 3.0; Software for Modelling Natural Gas Combustion; University of California: Berkeley, CA, USA, 2018; Available online: http://combustion.berkeley.edu/gri-mech/version30/text30.html (accessed on 10 January 2022).
- Karwa, R. Heat and Mass Transfer, 2nd ed.; Springer: Singapore, 2020. [Google Scholar] [CrossRef]
- Baehr, H.D.; Stephan, K. Wärme- und Stoffübertragung, 8th ed.; Springer: Berlin/Heidelberg, Germany, 2013. [Google Scholar] [CrossRef]






| Case | Distance | F | |||||||
|---|---|---|---|---|---|---|---|---|---|
| ID | (m/s) | 2·x () | () | () | () | (-) | (-) | (-) | (-) |
| ST1 | 0.5 | 95 | 12.44 | 33.67 | 0.107 | 0.477 | 0.29 | 0.208 | 9.937 |
| ST2 | 1 | 95 | 13.35 | 33.79 | 0.259 | 0.477 | 0.58 | 0.223 | 6.014 |
| ST3 | 5 | 95 | 18.26 | 33.98 | 1.890 | 0.477 | 2.88 | 0.305 | 1.753 |
| ST4 | 13 | 95 | 24.02 | 33.93 | 7.263 | 0.477 | 7.5 | 0.401 | 0.996 |
| ST5 | 25 | 95 | 29.88 | 33.93 | 19.467 | 0.477 | 14.42 | 0.499 | 0.722 |
| ST6 | 0.5 | 100 | 12.97 | 36.28 | 0.112 | 0.552 | 0.29 | 0.217 | 10.351 |
| ST7 | 1 | 100 | 13.91 | 36.48 | 0.272 | 0.552 | 0.58 | 0.232 | 6.312 |
| ST8 | 5 | 100 | 19.14 | 36.74 | 1.989 | 0.552 | 2.88 | 0.32 | 1.845 |
| ST9 | 13 | 100 | 25.23 | 36.74 | 7.685 | 0.552 | 7.5 | 0.422 | 1.054 |
| ST10 | 25 | 100 | 31.50 | 36.75 | 20.721 | 0.552 | 14.42 | 0.526 | 0.769 |
| ST11 | 0.5 | 110 | 13.91 | 41.07 | 0.120 | 0.663 | 0.29 | 0.232 | 11.104 |
| ST12 | 1 | 110 | 15.04 | 40.81 | 0.295 | 0.663 | 0.58 | 0.251 | 6.832 |
| ST13 | 5 | 110 | 20.88 | 41.04 | 2.186 | 0.663 | 2.88 | 0.349 | 2.027 |
| ST14 | 13 | 110 | 27.71 | 40.99 | 8.558 | 0.663 | 7.5 | 0.463 | 1.174 |
| ST15 | 25 | 110 | 34.95 | 41.00 | 23.360 | 0.663 | 14.42 | 0.584 | 0.867 |
| ST16 | 0.5 | 120 | 15.05 | 44.15 | 0.131 | 0.741 | 0.29 | 0.251 | 12.117 |
| ST17 | 1 | 120 | 16.21 | 44.04 | 0.319 | 0.741 | 0.58 | 0.271 | 7.394 |
| ST18 | 5 | 120 | 22.64 | 44.34 | 2.408 | 0.741 | 2.88 | 0.378 | 2.233 |
| ST19 | 13 | 120 | 30.32 | 44.32 | 9.539 | 0.741 | 7.5 | 0.507 | 1.309 |
| ST20 | 25 | 120 | 38.86 | 44.32 | 26.380 | 0.741 | 14.42 | 0.649 | 0.979 |
| ST21 | 0.5 | 130 | 15.91 | 46.80 | 0.136 | 0.796 | 0.29 | 0.266 | 12.622 |
| ST22 | 1 | 130 | 17.32 | 46.63 | 0.335 | 0.796 | 0.58 | 0.289 | 7.765 |
| ST23 | 5 | 130 | 24.50 | 46.82 | 2.595 | 0.796 | 2.88 | 0.409 | 2.407 |
| ST24 | 13 | 130 | 33.11 | 46.78 | 10.417 | 0.796 | 7.5 | 0.553 | 1.429 |
| ST25 | 25 | 130 | 43.36 | 46.79 | 29.175 | 0.796 | 14.42 | 0.725 | 1.082 |
| ST26 | 0.5 | 150 | 17.98 | 51.60 | 0.152 | 0.867 | 0.29 | 0.3 | 14.11 |
| ST27 | 1 | 150 | 19.68 | 51.87 | 0.371 | 0.867 | 0.58 | 0.329 | 8.599 |
| ST28 | 5 | 150 | 28.30 | 52.00 | 3.018 | 0.867 | 2.88 | 0.473 | 2.799 |
| ST29 | 13 | 150 | 39.53 | 51.96 | 12.437 | 0.867 | 7.5 | 0.661 | 1.706 |
| ST30 | 25 | 150 | 54.44 | 51.97 | 35.616 | 0.867 | 14.42 | 0.91 | 1.321 |
| ST31 | 0.5 | 170 | 20.02 | 56.19 | 0.168 | 0.909 | 0.29 | 0.335 | 15.543 |
| ST32 | 1 | 170 | 22.01 | 56.80 | 0.408 | 0.909 | 0.58 | 0.368 | 9.455 |
| ST33 | 5 | 170 | 32.26 | 56.91 | 3.454 | 0.909 | 2.88 | 0.539 | 3.203 |
| ST34 | 13 | 170 | 46.41 | 56.88 | 14.577 | 0.909 | 7.5 | 0.776 | 2 |
| ST35 | 25 | 170 | 68.67 | 56.89 | 42.449 | 0.909 | 14.42 | 1.147 | 1.575 |
| ST36 | 0.5 | 190 | 22.09 | 60.58 | 0.184 | 0.935 | 0.29 | 0.369 | 17.046 |
| ST37 | 1 | 190 | 24.36 | 61.27 | 0.450 | 0.935 | 0.58 | 0.407 | 10.425 |
| ST38 | 5 | 190 | 36.13 | 61.84 | 3.907 | 0.935 | 2.88 | 0.604 | 3.624 |
| ST39 | 13 | 190 | 54.56 | 61.82 | 16.840 | 0.935 | 7.5 | 0.912 | 2.311 |
| ST40 | 25 | 190 | 85.11 | 61.82 | 49.511 | 0.935 | 14.42 | 1.422 | 1.837 |
| ST41 | 0.5 | 243 | 27.13 | 69.11 | 0.226 | 0.969 | 0.29 | 0.453 | 20.925 |
| ST42 | 1 | 243 | 30.39 | 69.54 | 0.571 | 0.969 | 0.58 | 0.508 | 13.242 |
| ST43 | 5 | 243 | 48.25 | 69.78 | 5.138 | 0.969 | 2.88 | 0.806 | 4.765 |
| ST44 | 13 | 243 | 81.44 | 69.71 | 22.742 | 0.969 | 7.5 | 1.361 | 3.12 |
| ST45 | 25 | 243 | 126.84 | 69.75 | 65.175 | 0.969 | 14.42 | 2.12 | 2.418 |
| ST46 | 0.5 | 415 | 42.53 | 75.34 | 0.381 | 0.994 | 0.29 | 0.711 | 35.376 |
| ST47 | 1 | 415 | 47.25 | 72.91 | 0.924 | 0.994 | 0.58 | 0.817 | 21.421 |
| ST48 | 5 | 415 | 86.07 | 72.90 | 8.582 | 0.994 | 2.88 | 1.51 | 7.96 |
| ST49 | 13 | 415 | 123.93 | 72.98 | 33.143 | 0.994 | 7.5 | 2.269 | 4.547 |
| ST50 | 25 | 415 | 151.88 | 73.02 | 65.175 | 0.994 | 14.42 | 2.852 | 2.999 |
| ST51 | 0.5 | 523 | 50.73 | 76.45 | 0.464 | 0.997 | 0.29 | 0.848 | 43.021 |
| ST52 | 1 | 523 | 59.50 | 76.55 | 1.112 | 0.997 | 0.58 | 0.994 | 25.784 |
| ST53 | 5 | 523 | 107.17 | 76.80 | 9.788 | 0.997 | 2.88 | 1.791 | 9.079 |
| ST54 | 13 | 523 | 146.13 | 76.75 | 34.939 | 0.997 | 7.5 | 2.442 | 4.794 |
| ST55 | 25 | 523 | 176.33 | 76.77 | 82.860 | 0.997 | 14.42 | 2.947 | 3.074 |
| ST56 | 0.5 | 892 | 73.07 | 77.40 | 0.650 | 0.999 | 0.29 | 1.221 | 60.304 |
| ST57 | 1 | 892 | 86.13 | 77.46 | 1.541 | 0.999 | 0.58 | 1.439 | 35.732 |
| ST58 | 5 | 892 | 126.38 | 77.60 | 11.153 | 0.999 | 2.88 | 2.112 | 10.345 |
| ST59 | 13 | 892 | 155.00 | 77.56 | 36.614 | 0.999 | 7.5 | 2.59 | 5.024 |
| ST60 | 25 | 892 | 181.95 | 77.63 | 85.594 | 0.999 | 14.42 | 3.041 | 3.176 |
| ST61 | 0.5 | - | 2.56 | 1.67 | 0.023 | 1.0 | 0.29 | 1.881 | 93.069 |
| ST62 | 1 | - | 2.67 | 1.71 | 0.046 | 1.0 | 0.58 | 1.96 | 46.797 |
| ST63 | 5 | - | 3.11 | 1.77 | 0.272 | 1.0 | 2.88 | 2.289 | 11.107 |
| ST64 | 13 | - | 3.70 | 1.77 | 0.877 | 1.0 | 7.5 | 2.718 | 5.293 |
| ST65 | 25 | - | 4.34 | 1.77 | 2.056 | 1.0 | 14.42 | 3.189 | 3.357 |
| ST66 | 0.5 | random | 69.191 | 424.35 | 0.479 | 0.935 | 0.55 | 0.337 | 6.79 |
| ST67 | 1 | random | 81.276 | 426.044 | 1.533 | 0.935 | 1.1 | 0.396 | 5.432 |
| ST68 | 5 | random | 148.308 | 426.835 | 16.824 | 0.935 | 5.5 | 0.723 | 2.385 |
| ST69 | 13 | random | 272.243 | 426.59 | 79.151 | 0.935 | 14.31 | 1.327 | 1.660 |
| ST70 | 25 | random | 414.315 | 426.671 | 231.505 | 0.935 | 27.51 | 2.020 | 1.313 |
| ST71 | 0.5 | random | 49.13 | 246.538 | 0.342 | 0.935 | 0.55 | 0.419 | 8.508 |
| ST72 | 1 | random | 56.543 | 246.799 | 1.078 | 0.935 | 1.1 | 0.482 | 6.694 |
| ST73 | 5 | random | 97.819 | 248.35 | 10.987 | 0.935 | 5.5 | 0.835 | 2.730 |
| ST74 | 13 | random | 173.922 | 248.247 | 50.813 | 0.935 | 14.31 | 1.484 | 1.868 |
| ST75 | 25 | random | 263.083 | 248.362 | 147.545 | 0.935 | 27.51 | 2.245 | 1.466 |
| ST76 | 0.5 | random | 53.215 | 269.667 | 0.388 | 0.935 | 0.55 | 0423 | 8.981 |
| ST77 | 1 | random | 61.628 | 270.173 | 1.142 | 0.935 | 1.1 | 0.490 | 6.602 |
| ST78 | 5 | random | 112.043 | 271.776 | 12.243 | 0.935 | 5.5 | 0.891 | 2.831 |
| ST79 | 13 | random | 198.243 | 271.734 | 55.261 | 0.935 | 14.31 | 1.576 | 1.890 |
| ST80 | 25 | random | 285.621 | 271.82 | 153.915 | 0.935 | 27.51 | 2.270 | 1.423 |
| ST81 | 0.5 | random | 53.154 | 291.935 | 0.360 | 0.935 | 0.55 | 0.372 | 7.328 |
| ST82 | 1 | random | 61.436 | 292.783 | 1.109 | 0.935 | 1.1 | 0.430 | 5.648 |
| ST83 | 5 | random | 105.758 | 294.213 | 11.465 | 0.935 | 5.5 | 0.741 | 2.336 |
| ST84 | 13 | random | 182.935 | 294.125 | 52.640 | 0.935 | 14.31 | 1.282 | 1.587 |
| ST85 | 25 | random | 283.918 | 294.176 | 154.529 | 0.935 | 27.51 | 1.989 | 1.260 |
| Case | Distance | |||
|---|---|---|---|---|
| ID | (m/s) | (-) | (-) | 2·x () |
| T1 | 0.5 | 0.29 | 0.552 | 100 |
| T2 | 13 | 7.50 | 0.552 | 100 |
| T3 | 0.5 | 0.29 | 0.741 | 120 |
| T4 | 13 | 7.50 | 0.741 | 120 |
| T5 | 0.5 | 0.29 | 0.935 | 190 |
| T6 | 13 | 7.50 | 0.935 | 190 |
| Case | m | |||
|---|---|---|---|---|
| ID | (m/s) | () | (-) | (kg) |
| SE1 | 0.5 | 60 | 0.29 | 1.24 × 10−10 |
| SE2 | 13 | 60 | 7.50 | 1.24 × 10−10 |
| ME1 | 0.5 | 211.8 | 1.02 | 5.47 × 10−9 |
| ME2 | 13 | 211.8 | 26.46 | 5.47 × 10−9 |
| AE1 | 0.5 | 397.8 | 1.91 | 3.63 × 10−8 |
| AE2 | 13 | 397.8 | 49.70 | 3.63 × 10−8 |
| AME1 | 0.5 | 397.8 | 1.91 | 5.47 × 10−9 |
| AME2 | 13 | 397.8 | 49.70 | 5.47 × 10−9 |
| Patch | U | p | T | I |
|---|---|---|---|---|
| inlet | fixed value | zero gradient | fixed value | gray body |
| outlet | zero gradient | fixed value | zero gradient | gray body |
| wall | slip | zero gradient | zero gradient | gray body |
| fluid to solid | no slip | zero gradient | coupled | gray body |
| Bulk Gas Phase Thermo-Physical Properties | |
|---|---|
| density () | 0.69 kg/m3 |
| specific heat capacity () | 1300 J/(kg K) |
| thermal conductivity () | 0.133 W/(m K) |
| viscosity () | 7.213·10−5 Pa s |
| Solid Thermo-Physical Properties | |
| density () | 1100 kg/m3 |
| emissivity () | 1 |
| specific heat capacity () | 1660 J/(kg K) |
| thermal conductivity () | 1.241 W/(m K) |
Publisher’s Note: MDPI stays neutral with regard to jurisdictional claims in published maps and institutional affiliations. |
© 2022 by the authors. Licensee MDPI, Basel, Switzerland. This article is an open access article distributed under the terms and conditions of the Creative Commons Attribution (CC BY) license (https://creativecommons.org/licenses/by/4.0/).
Share and Cite
Pichler, M.; Bösenhofer, M.; Harasek, M. Dataset for the Heat-Up and Heat Transfer towards Single Particles and Synthetic Particle Clusters from Particle-Resolved CFD Simulations. Data 2022, 7, 23. https://doi.org/10.3390/data7020023
Pichler M, Bösenhofer M, Harasek M. Dataset for the Heat-Up and Heat Transfer towards Single Particles and Synthetic Particle Clusters from Particle-Resolved CFD Simulations. Data. 2022; 7(2):23. https://doi.org/10.3390/data7020023
Chicago/Turabian StylePichler, Mario, Markus Bösenhofer, and Michael Harasek. 2022. "Dataset for the Heat-Up and Heat Transfer towards Single Particles and Synthetic Particle Clusters from Particle-Resolved CFD Simulations" Data 7, no. 2: 23. https://doi.org/10.3390/data7020023
APA StylePichler, M., Bösenhofer, M., & Harasek, M. (2022). Dataset for the Heat-Up and Heat Transfer towards Single Particles and Synthetic Particle Clusters from Particle-Resolved CFD Simulations. Data, 7(2), 23. https://doi.org/10.3390/data7020023

