Abstract
This dataset contains detailed information on student trajectories and dropout factors at a Spanish technological university offering Science, Technology, Engineering, Arts, and Mathematics programs. The data comprise demographic, socioeconomic, and academic variables for all enrolled students, including those in bachelor’s, master’s, doctoral, and lifelong learning programs, across three complete academic years, excluding periods affected by the SARS-CoV-2 pandemic. The data were collected and standardized from disjointed internal data sources, and fully anonymized. The dataset contains information about 39,364 students, 4989 courses in 163 degrees, and 77 variables related to admission pathways, academic performance indicators, socio-demographic background, digital activity in the Learning Management System, and Wi-Fi access records. Each of the 464,739 records corresponds to a course enrolment per student per year, enabling longitudinal analyses of academic progression and dropout. This data has the potential to be reused to support research on factors influencing student retention, allow for the development of predictive models to identify students at risk of leaving their studies, and offer a resource for comparative studies in higher education.
1. Summary
Student dropout in higher education remains a significant concern for universities worldwide, with substantial academic, economic, and social implications for both individuals and institutions []. Recent research [,,] has highlighted the importance of understanding the diverse factors that contribute to students discontinuing their studies, including academic performance, socio-demographic background, and patterns of engagement with university resources. Large, multi-year datasets from a single institution that integrate information from multiple sources are essential for advancing research in this area and developing effective interventions [].
Although recent open datasets [,,] have enabled advances in dropout prediction and academic success research, their scope remains limited. Datasets based on virtual learning environments, such as MOOCs, allow for the use of learning analytics derived from digital interaction []. In other cases, dropout is analyzed with a focus on many sociodemographic variables because tuition fees are relatively high []. However, current databases usually provide information on undergraduate students and generally focus on the first year or the first two semesters. These databases have a significant limitation in that they focus on the context where dropout tends to be the most prevalent, and rarely combine institutional data with digital engagement metrics such as LMS activity and Wi-Fi access patterns.
To help address these limitations and support more generalizable, longitudinal, and multi-dimensional analyses of student trajectories, this paper introduces a dataset compiled at Universitat Politècnica de València (UPV, Spain), which offers a wide range of STEAM (Science, Technology, Engineering, Arts, and Mathematics) programs with varying cohort sizes and shared core courses across degrees, where students information at bachelor’s, master’s, and doctoral levels, as well as lifelong learning degrees are considered. The consideration of dropout is approached from a micro-perspective, that is, at the institutional level. This means that internal transfers between degree programs are not considered as dropouts. Dropout is defined as students with pending credits to complete their degree who do not enroll at the university for two consecutive academic years. At UPV, almost all academic offerings are programs where in-person class attendance is the common denominator, at a rate of 10 h per ECTS. Recent advances in digitalization and teaching staff mean that the Learning Management System (LMS) employed is no longer limited to file storage, but is also used viewing reading and audiovisual materials, submitting assignments, or completing assessment activities. Although deployment is not uniform across all levels and courses, logs and events allow for real-time access to relevant information to detect potential situations of difficulty. Additionally, the use of two-factor authentication technologies to access virtual labs and online learning services makes it possible to detect the physical presence of students on campus through Wi-Fi access counts.
Due to the existence of transfers of academic records between degree programs or schools, of equivalent but not recognized courses, the occurrence of dropouts can take place at any stage, although a large proportion occurs during the first academic year through processes such as access to non-preferred degree programs, failing subjects, and non-attendance to classes. Consequently, the collected information is at the student level for each course-degree-school-campus combination. In the following figure, all the stages and information enabling the systematic and real-time collection of each student’s trajectory are presented in Figure 1.

Figure 1.
Multi-source Data Collection framework.
The dataset is available as a zip file, which contains three-comma-separated-values (CSV) file encoded as UTF-8. Each CSV file corresponds to a complete academic year, where a set of 77 attributes is present and can contain missing values. The dataset is freely available for download at https://doi.org/10.5281/zenodo.17239943.
The comprehensive and longitudinal nature of this dataset —spanning multiple academic years and pre-COVID and post-COVID periods— allows for the analysis of complete academic trajectories beyond first-year students and the identification of potential factors associated with student dropout. By providing detailed, anonymized records (the anonymization methodology and data protection measures are detailed in Section 3) at the enrolment level, the dataset supports a wide range of research applications, including the development of early warning systems that enable timely interventions such as recommending supplementary learning materials or conducting advisory interviews, the analysis of retention policies, and the creation of predictive models for students at risk of dropout. It also facilitates comparative studies and benchmarking in the field of higher education, with particular relevance for STEAM disciplines.
All data were collected and processed in accordance with institutional guidelines and ethical standards, ensuring the privacy and confidentiality of individual students.
2. Data Description
Each file is named dataset_{year}.csv, where year is the academic year of the record. In each file, each row corresponds to the pair “student- enrolled course” of the given academic year. Variables include anonymized student and course identifiers, academic performance (grades, credits earned), engagement metrics (logins, assignment submissions, quiz completions in the learning management system), and Wi-Fi access records.
The file dataset_{year}.csv is built by integrating four separate CSV files (students_{year}.csv, programs_{year}.csv, courses_{year}.csv and dataset_logs_{year}.csv). In the integrated dataset, variables are grouped into six thematic categories: context, admission pathways, socio-economic and demographic background, academic data, digital logs and Wi-Fi access. Variables related to context, admission pathways and academic data are extracted from the Academic Information System, which contains all academic records; socio-economic and demographic variables are obtained from Personal Information Database; digital-log metrics come from the LMS and Wi-Fi access counts are sourced from Network Authentication System (this latter thematic category being present only in the datasets corresponding to the years 2021 and 2022). Appendix A provides a comprehensive overview of the dataset structure, detailing the position of variables within the dataset, variable names, data types, and value ranges for each attribute.
Class of context attribute. The following attributes are unique because they reflect the context of the learning process. A student is enrolled in a course of a specific academic program, at a particular campus, delivered by a certain school, during an academic year. It consists of 152,446 (2018), 153,120 (2021) and 159,173 (2022) rows with the following columns:
- asi_hash—Hash code for the course reference;
- tit_hash—Hash code for the academic degree reference;
- dni_hash—Hash code for the student identification reference;
- campus_hash—Hash code referring to the campus where the course is taught
- caca—Academic year of the data;
- grupos_por_tipocredito_hash—Hash code for the Group ID associated with a student’s enrollment in a specific course.
Class of admission pathways attribute. The following attributes provide information about the conditions under which the student entered the academic program. They consider not only the academic data at enrollment but also the preference for the chosen program. It consists of 152,446 (2018), 153,120 (2021) and 159,173 (2022) rows with the following columns:
- anyo_ingreso—The year the student enrolled in the degree for the first time;
- tipo_ingreso—Mode or pathway of university admission;
- nota10_hash—Modified entry grade out of 10, only for the mandatory “Evaluación de Acceso a la Universidad” (EvAU) phase;
- nota14_hash—Modified entry grade out of 14, including all EvAU parts;
- preferencia_seleccion—Position in which the student placed their current degree after the entrance exam selection.
Class of socio-economic and demographic background attribute. The following attributes provide information about the parents’ education level and other dimensions that could give insight into the economic situation of the students. It consists of 152,446 (2018), 153,120 (2021) and 159,173 (2022) rows with the following columns:
- estudios_p_hash—Hash code referring to the father’s education level;
- estudios_m_hash—Hash code referring to the mother’s education level;
- dedicacion—Student’s dedication to university studies;
- desplazado—Whether the student had to move provinces to attend university.
Class of academic data attribute. The following attributes provide historical information about the academic record of the student at the beginning of an academic year. It consists of 152,446 (2018), 153,120 (2021) and 159,173 (2022) rows with the following columns:
- nota_asig_hash—Modified grade out of 10 for the subject in question;
- curso_mas_bajo—Lowest year the student is enrolled in for this academic year;
- curso_mas_alto—Highest year the student is enrolled in for this academic year;
- cred_mat1—Number of credits enrolled in 1st year for this academic year;
- cred_mat2—Number of credits enrolled in 2nd year for this academic year;
- cred_mat3—Number of credits enrolled in 3rd year for this academic year;
- cred_mat4—Number of credits enrolled in 4th year for this academic year;
- cred_mat5—Number of credits enrolled in 5th year for this academic year;
- cred_mat6—Number of credits enrolled in 6th year for this academic year;
- cred_sup_normal—Credits passed by examination for this academic year;
- cred_sup_espec—Credits passed by special means for this academic year;
- cred_sup—Total credits passed for this academic year;
- cred_mat_normal—Credits the student must take and pass (official) for this academic year;
- cred_mat_movilidad—Credits enrolled in mobility for this academic year;
- cred_ptes_acta—Credits pending official record for this academic year;
- cred_mat_practicas—Credits enrolled in internships for this academic year;
- cred_mat_sem_a—Credits enrolled in semester A for this academic year;
- cred_mat_sem_b—Credits enrolled in semester B for this academic year;
- cred_mat_anu—Credits enrolled in annual courses for this academic year;
- cred_mat_total—Total credits enrolled for this academic year;
- cred_sup_sem_a—Credits passed in semester A for this academic year;
- cred_sup_sem_b—Credits passed in semester B for this academic year;
- cred_sup_anu—Credits passed in annual courses for this academic year;
- cred_sup_total—Total credits passed in the academic year;
- rendimiento_cuat_a—Performance in semester A for this academic year;
- rendimiento_cuat_b—Performance in semester B for this academic year;
- rendimiento_total—Total performance for this academic year;
- exento_npp—Student has less than 25% of credits left to finish studies (excluding thesis);
- anyo_inicio_estudios—Year studies began;
- es_retitulado—The student has obtained a new degree;
- es_adaptado—The student has adapted studies;
- cred_sup_1o—Credits passed in 1st year;
- cred_sup_2o—Credits passed in 2nd year;
- cred_sup_3o—Credits passed in 3rd year;
- cred_sup_4o—Credits passed in 4th year;
- cred_sup_5o—Credits passed in 5th year;
- cred_sup_6o—Credits passed in 6th year;
- practicas—Credits passed in internships;
- actividades—Credits passed in activities;
- ajuste—Adjustment for credit recognition and/or adaptations;
- cred_sup_tit—Total credits passed;
- cred_pend_sup_tit—Credits remaining to pass;
- impagado_curso_mat—Whether tuition fees are unpaid;
- asig1—Credits passed in courses;
- pract1—Credits passed in internships;
- activ1—Credits passed in activities;
- ajuste1—Credit adjustment for recognitions, adaptations, etc.;
- total1—Total sum of credits passed;
- rend_total_ultimo—Credit completion rate in the previous academic year;
- rend_total_penultimo—Credit completion rate two years before the reference year;
- rend_total_antepenultimo—Credit completion rate three years before the reference year.
Class of digital logs attribute. The following attributes provide information about the digital activity performed by the student during each month of the academic year. It consists of 152,446 (2018), 153,120 (2021) and 159,173 (2022) rows with the following columns:
- pft_events_{year}_{month}—Number of events performed by the student recorded in the course’s Learning Management System (LMS) site;
- pft_visits_{year}_{month}—Number of visits by the student to the course’s LMS site;
- pft_days_logged_{year}_{month}—Number of days during the year the student accessed the course’s PoliformaT site;
- pft_assigment_submissions_{year}_{month}—Number of course assignments submitted via LMS;
- pft_test_submissions_{year}_{month}—Number of exams or tests taken and submitted on LMS;
- pft_total_minutes_{year}_{month}—Total minutes student spent logged into LMS for the course;
- resource_events_{year}_{month}—Total actions performed in the Resources section of LMS for the course;
- n_resource_days_{year}_{month}—Total days the student accessed the Resources section in LMS during the analyzed period.
Class of Wi-Fi access attribute. The following attributes provide information about the number of Wi-Fi access during each month of the academic year. It consists of 153,120 (2021) and 159,173 (2022) rows with the following columns:
- n_wifi_days_{year}_{month}—Number of days the student accessed the university’s Wi-Fi network during the analyzed period.
3. Methods
The construction of this dataset followed a multi-phase process designed to maximize data quality and relevance for the analysis of student dropout. The necessary information stems from various stages of the student lifecycle and involves data with different characteristics sourced from disconnected decentralized databases, therefore requiring a systematic approach for dataset creation, as illustrated in Figure 2.

Figure 2.
Workflow designed to create and publish the dataset.
3.1. Data Collection Process
An initial data extraction was conducted for the 2018–2019 academic year to identify inconsistencies, remove duplicate records, and define a standardized cleaning procedure applicable to all study years. A subsequent extraction incorporated historical data and added between six and ten new variables to the original dataset, followed by further data refinement to ensure accuracy.
In June 2023, a meeting was held with academic coordinators, sub-directors, and representatives of the university’s student support program “Plan Integral de Acompañamiento al Estudiante” (PIAE+ []), to identify key indicators related to dropout. Additional variables suggested by these stakeholders were integrated into the dataset at this stage (Wi-Fi access, LMS digital activity, etc.).
After collecting several years of data and detecting anomalous behaviors during the COVID-19 period, the academic years in which there was stability in both the teaching delivered and the student experience in recent years have been selected.
3.2. Data Selection
Data collection included all students enrolled at the university, regardless of their known and public dropout rates. The process was coordinated by the Information Systems and Computing Area (ASIC) of the university, under the Vice-Rectorate for Academic Planning and Digital Transformation. The data were extracted from various institutional databases and filtered to include all the relevant student groups enrolled for at least a 1-year period.
Since almost all courses at UPV are offered in two different semesters and there are both final and extraordinary exams, digital activity in the LMS and in the institutional Wi-Fi network has been measured in monthly time windows.
Data cleaning and integration were carried out using a combination of automated scripts and manual review, including validation with academic and technical staff. Sensitive variables were kept separate and only provided in aggregated or anonymized form in the main dataset. The entire process was supervised by a multidisciplinary team comprising experts in student support, academic quality, digital transformation, and data management, who met regularly to review indicators and data quality.
3.3. Data Anonymisation
To ensure the privacy and confidentiality of individual students, in accordance with institutional, national, and European data protection regulations, the anonymization process involved several steps. Firstly, all the direct identifiers (student, course, campus, degree, school, etc.) were removed and replaced by unique hashes. Some information, like quasi-information variables (grades, campus, etc.), was generalized into broader categories to reduce re-identification risk, particularly for small subgroups. Several outliers were deleted where combinations of variables could potentially identify individuals (e.g., scholarship, handicap, unpaid fees, international mobility) or categories were aggregated. Additionally, gender and age variables were excluded from the dataset to minimize potential bias in the analysis. As the university holds the right to gather and use the information, the dataset is in compliance with Spanish GDPR and internal regulations.
4. Technical Validation
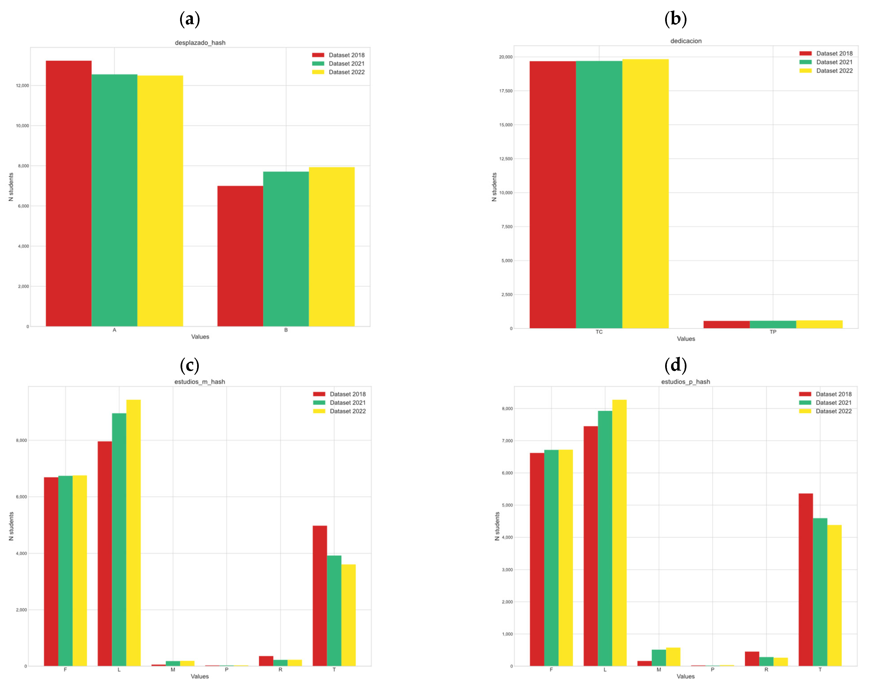
To ensure data quality, temporal consistency validation was performed across all three academic years, verifying that data types remained consistent between datasets and value ranges showed similar distributions. For instance, (Figure 3g) illustrates comparable dropout rates across the three datasets and similar temporal patterns of student attrition following enrolment.


Figure 3.
Variable value comparison across three datasets: 2018 (red), 2021 (green), and 2022 (yellow). (a–h) Minor variations are evident between the three academic cohorts. (c,d) Several of these variables represent pre-enrollment achievement measures gathered before the academic year begins. (i) Comparable grades (nota_asig_hash) are observed across the three datasets (j) Notable differences include the nota14_hash metric between 2018 and the 2021–2022 period, resulting from changes to the assessment evaluation methodology.
Cross-source validation was conducted by comparing overlapping variables from the four integrated databases (Personal Information Database, Academic Information System, LMS, and Network Authentication System). Academic coordinators and PIAE+ representatives reviewed grade distributions and performance metrics for logical consistency. The validation process identified and corrected duplicate records, standardized inconsistent categorical values, and documented missing data patterns.
Regarding the patterns of missing data, significant missing values are observed in digital records attributes and Wi-Fi access attributes due to two main factors. First, the university offers both semester-based and annual courses; consequently, certain courses lack activity records during specific months, a pattern further influenced by the academic calendar. Second, the use of the LMS depends on the individual practices of faculty members. Some instructors make extensive use of the platform, posting assignments, conducting tests, and sharing resources, while others adopt teaching methodologies based on lectures that require minimal or no interaction with the LMS.
Another source of missing data arises from students who access the university through alternative pathways, i.e., without taking the standard Spanish university entrance exam. This includes transfers from other universities, graduates pursuing a second degree, or students entering through credit recognition and adaptation processes. These cases do not go through the pre-registration phase for new students, resulting in missing values for certain variables due to the absence of such records in the system.
Records excluded during data cleaning fall into two categories. First, students simultaneously enrolled in two independent degree programs were excluded, as they exhibit atypical patterns of enrolled credits and academic performance due to the combined workload of both programs being pursued in parallel. Second, shared courses across different degree programs were removed to avoid mixing heterogeneous student populations; although these courses may have the same content, they belong to different curricula and may be positioned in different academic years depending on each degree program. For example, Bachelors’ Double degree programs are specific programs in which a small group of students simultaneously pursues two degrees through an integrated curricular adaptation, earning both degrees after five academic years. Although these programs may share resources (courses, classrooms, faculty) with the corresponding individual degrees, they operate under entirely distinct curricula.
5. Usage Notes
Gender, age, scholarship status, and disability attributes were excluded from the analysis for several reasons. First, their exclusion ensures complete anonymization and protects sensitive personal information. Second, it mitigates potential bias in model predictions. Third, these variables exhibit significant imbalances across different degree programs and courses. Although this approach precludes demographic-specific modeling—such as gender-based analyses that some researchers may find valuable—it prioritizes a homogeneous, privacy-preserving analytical framework that is broadly applicable across diverse academic contexts.
Author Contributions
Conceptualization, A.I.-S. and J.P.G.-S.; methodology, A.I.-S. and J.P.G.-S.; software, S.P.G., C.T. and I.D.; validation, M.A., J.V.B.-D. and P.P.S.J.; formal analysis, J.M. and J.A.M.-G.; investigation, A.I.-S. and J.P.G.-S.; resources, S.P.G., C.T. and I.D.; data curation, S.P.G., C.T. and I.D.; writing—original draft preparation, J.M. and A.I.-S.; writing—review and editing, A.I.-S., J.P.G.-S., J.M., J.A.M.-G., S.P.G., C.T., I.D., M.A., J.V.B.-D. and P.P.S.J.; visualization, A.I.-S. and J.M.; supervision, A.I.-S. and J.P.G.-S. All authors have read and agreed to the published version of the manuscript.
Funding
This research did not receive any external funding.
Institutional Review Board Statement
Privacy issues related to the collection, curation, and publication of student data were validated with Universitat Politècnica de València’s Data Owners and the Data Security and Information Management Department (ASIC).
Informed Consent Statement
Not applicable.
Data Availability Statement
The data presented in this study are publicly available at https://doi.org/10.5281/zenodo.17239943 (uploaded on 1 October 2025).
Acknowledgments
A.I.-S. acknowledges the financial support of the European Union, Next GenerationEU, under the public subsidies of the “Programa Investigo”, within the framework of the Recovery, Transformation, and Resilience Plan (Reference INV/2023/25).
Conflicts of Interest
The authors declare no conflicts of interest.
Appendix A
Order | Variable | Type | Values |
1 | asi_hash | Identificative | Hash256 |
2 | tit_hash | Identificative | Hash256 |
3 | dni_hash | Identificative | Hash256 |
4 | anyo_ingreso | Integer | 2009–2021 |
5 | tipo_ingreso | Categorical | ‘NCF’, ‘NUE’, ‘ANT’, ‘BMA’, ‘NAC’, ‘NTE’, ‘NAI’, ‘NAE’, ‘NIE’, ‘NAD’, ‘NAP’, ‘NLE’, ‘NRO’, ‘NSC’, ‘NSA’, ‘ASA’, ‘NAS’, ‘NCA’ |
6 | nota10_hash | Numerical | 5–10 |
7 | nota14_hash | Numerical | 5–14 |
8 | campus_hash | Categorical | Hash256 |
9 | estudios_p_hash | Categorical | ‘F’, ‘L’, ‘M’, ‘P’, ‘R’, ‘T’ |
10 | estudios_m_hash | Categorical | ‘F’, ‘L’, ‘M’, ‘P’, ‘R’, ‘T’ |
11 | dedicacion | Categorical | TC: Full-Time TP: Part-Time |
12 | desplazado_hash | Categorical | ‘A’, ’B’ |
13 | abandono_hash | Categorical | ‘A’, ‘B’ |
14 | preferencia_seleccion | Integer | 1–20 |
15 | caca | Integer | 2018–2022 |
16 | grupos_por_tipocredito | Identificative | Hash256 |
17 | matricula_activa | Categorical | NA: No 1: Yes |
18 | nota_asig_hash | Numerical | 0–10 |
19 | fecha_datos | Integer | 28/06/2023 |
20 | curso_mas_bajo | Integer | 1–6 |
21 | curso_mas_alto | Integer | 1–6 |
22 | cred_mat1 | Numerical | 0–105 |
23 | cred_mat2 | Numerical | 0–99 |
24 | cred_mat3 | Numerical | 0–108 |
25 | cred_mat4 | Numerical | 0–108 |
26 | cred_mat5 | Numerical | 0–81 |
27 | cred_mat6 | Numerical | 0–30 |
28 | cred_sup_normal | Numerical | 0–144 |
29 | cred_sup_espec | Numerical | 0–339.75 |
30 | cred_sup | Numerical | 0–339.75 |
31 | cred_mat_normal | Numerical | 0–144 |
32 | cred_mat_movilidad | Numerical | 0–106.5 |
33 | cred_ptes_acta | Numerical | 0–85 |
34 | cred_mat_practicas | Numerical | 0–20 |
35 | cred_mat_sem_a | Numerical | 0–187.5 |
36 | cred_mat_sem_b | Numerical | 0–183.5 |
37 | cred_mat_anu | Numerical | 0–145 |
38 | cred_mat_total | Numerical | 0–370.5 |
39 | cred_sup_sem_a | Numerical | 0–79.5 |
40 | cred_sup_sem_b | Numerical | 0–64.5 |
41 | cred_sup_anu | Numerical | 0–75 |
42 | cred_sup_total | Numerical | 0–144 |
43 | rendimiento_cuat_a | Numerical | 0–100 |
44 | rendimiento_cuat_b | Numerical | 0–100 |
45 | rendimiento_total | Numerical | 0–100 |
46 | exento_npp | Categorical | NA: No 1: Yes |
47 | anyo_inicio_estudios | Integer | 2007–2022 |
48 | es_retitulado | Categorical | NA: No 1: Yes |
49 | es_adaptado | Categorical | NA: No 1: Yes |
50 | cred_sup_1o | Numerical | 0–90 |
51 | cred_sup_2o | Numerical | 0–91.5 |
52 | cred_sup_3o | Numerical | 0–115.5 |
53 | cred_sup_4o | Numerical | 0–108 |
54 | cred_sup_5o | Numerical | 0–82.5 |
55 | cred_sup_6o | Numerical | 0–30 |
56 | practicas | Numerical | 0–20 |
57 | actividades | Numerical | 0–18 |
58 | ajuste | Numerical | 0–67.5 |
59 | cred_sup_tit | Numerical | 0–373.5 |
60 | cred_pend_sup_tit | Numerical | 0–393 |
61 | impagado_curso_mat | Categorical | NA: No 1: Yes |
62 | asig1 | Numerical | 0–144 |
63 | pract1 | Numerical | 0–20 |
64 | activ1 | Numerical | 0–6.85 |
65 | ajuste1 | Numerical | 0–0 |
66 | total1 | Numerical | 0–88.5 |
67 | rend_total_ultimo | Numerical | 0–100 |
68 | rend_total_penultimo | Numerical | 0–100 |
69 | rend_total_antepenultimo | Numerical | 0–100 |
70 | pft_events_{year}_{month} | Numerical | 0–1000 |
71 | pft_visits_{year}_{month} | Numerical | 1–334 |
72 | pft_days_logged_{year}_{month} | Integer | 1–31 |
73 | pft_assigment_submissions_{year}_{month} | Numerical | 1–105 |
74 | pft_test_submissions_{year}_{month} | Integer | 1–352 |
75 | pft_total_minutes_{year}_{month} | Numerical | 0–3000 |
76 | resource_events_{year}_{month} | Integer | 0–86 |
77 | n_resource_days_{year}_{month} | Integer | 0–24 |
References
- Latif, A.; Choudhary, A.I.; Hammayun, A.A. Economic effects of student dropouts: A comparative study. J. Glob. Econ. 2015, 3, 137. [Google Scholar]
- Nurmalitasari; Long, Z.A.; Noor, M.F.M. Factors Influencing Dropout Students in Higher Education. Educ. Res. Int. 2023, 2023, 7704142. [Google Scholar] [CrossRef]
- Barroso, P.C.F.; Oliveira, Í.M.; Noronha-Sousa, D.; Noronha, A.; Mateus, C.C.; Vázquez-Justo, E.; Costa-Lobo, C. Dropout factors in higher education: A literature review. Psicol. Esc. Educ. 2022, 26, e228736. [Google Scholar] [CrossRef]
- Tayebi, A.; Gomez, J.; Delgado, C. Analysis on the Lack of Motivation and Dropout in Engineering Students in Spain. IEEE Access 2021, 9, 66253–66265. [Google Scholar] [CrossRef]
- Marra, R.M.; Rodgers, K.A.; Shen, D.; Bogue, B. Leaving Engineering: A Multi-Year Single Institution Study. J. Eng. Educ. 2012, 101, 6–27. [Google Scholar] [CrossRef]
- Alvarado-Uribe, J.; Mejía-Almada, P.; Herrera, A.L.M.; Molontay, R.; Hilliger, I.; Hegde, V.; Gallegos, J.E.M.; Díaz, R.A.R.; Ceballos, H.G. Student Dataset from Tecnologico de Monterrey in Mexico to Predict Dropout in Higher Education. Data 2022, 7, 9. [Google Scholar] [CrossRef]
- Realinho, V.; Machado, J.; Baptista, L.; Martins, M.V. Predicting Student Dropout and Academic Success. Data 2022, 7, 146. [Google Scholar] [CrossRef]
- Kuzilek, J.; Hlosta, M.; Zdrahal, Z. Open University Learning Analytics dataset. Sci. Data 2017, 4, 170171. [Google Scholar] [CrossRef] [PubMed]
- Diaz, M.A.; Félix, V.E.G.; Monzonis, M.C.R.; Martin, M.E.G. PIAE+: An university project in student accompaniment. In Proceedings of the 15th International Conference on Education and New Learning Technologies, Palma, Spain, 3–5 July 2023; pp. 7191–7199. [Google Scholar]
Disclaimer/Publisher’s Note: The statements, opinions and data contained in all publications are solely those of the individual author(s) and contributor(s) and not of MDPI and/or the editor(s). MDPI and/or the editor(s) disclaim responsibility for any injury to people or property resulting from any ideas, methods, instructions or products referred to in the content. |
© 2025 by the authors. Licensee MDPI, Basel, Switzerland. This article is an open access article distributed under the terms and conditions of the Creative Commons Attribution (CC BY) license (https://creativecommons.org/licenses/by/4.0/).