Chromophore-Assisted Light Inactivation for Protein Degradation and Its Application in Biomedicine
Abstract
1. Introduction

2. Mechanism of CALI Targeting Inactivated Proteins

3. Photosensitizers of CALI
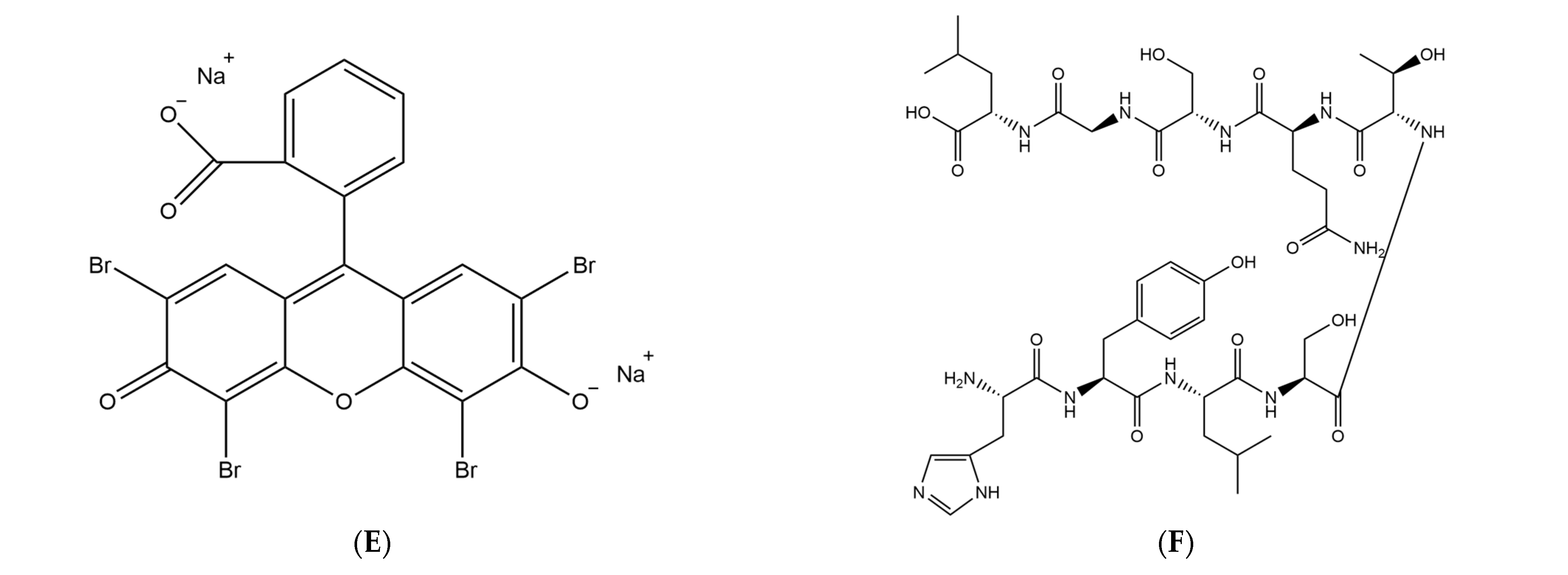
3.1. Chemical Photosensitizers (CPSs)
3.2. Genetically Encoded Photosensitizers (GEPSs)


4. CALI Photosensitizer Labeling Targeted Protein Technology
4.1. CPS Protein Labeling
4.2. GEPS Protein Labeling
5. Recent Applications of CALI in the Field of Biomedicine


6. Future Perspective of CALI
Author Contributions
Funding
Conflicts of Interest
References
- Xie, H.; Ding, X. The Intriguing Landscape of Single-Cell Protein Analysis. Adv. Sci. 2022, 9, e2105932. [Google Scholar] [CrossRef] [PubMed]
- Xue, V.W.; Wong, S.C.C.; Cho, W.C. From proteomic landscape to single-cell oncoproteomics. Expert Rev. Proteom. 2021, 18, 1–6. [Google Scholar] [CrossRef]
- Rodriguez, H.; Zenklusen, J.C.; Staudt, L.M.; Doroshow, J.H.; Lowy, D.R. The next horizon in precision oncology: Proteogenomics to inform cancer diagnosis and treatment. Cell 2021, 184, 1661–1670. [Google Scholar] [CrossRef]
- Lai, A.C.; Crews, C.M. Induced protein degradation: An emerging drug discovery paradigm. Nat. Rev. Drug Discov. 2017, 16, 101–114. [Google Scholar] [CrossRef]
- Reynders, M.; Trauner, D. PHOTACs Enable Optical Control of Protein Degradation. Methods Mol. Biol. 2021, 2365, 315–329. [Google Scholar] [CrossRef]
- Jay, D.G. Selective destruction of protein function by chromophore-assisted laser inactivation. Proc. Natl. Acad. Sci. USA 1988, 85, 5454–5458. [Google Scholar] [CrossRef] [PubMed]
- Diamond, P.; Mallavarapu, A.; Schnipper, J.; Booth, J.; Park, L.; O’Connor, T.P.; Jay, D.G. Fasciclin I and II have distinct roles in the development of grasshopper pioneer neurons. Neuron 1993, 11, 409–421. [Google Scholar] [CrossRef]
- Castelo, L.; Jay, D.G. Radixin is involved in lamellipodial stability during nerve growth cone motility. Mol. Biol. Cell 1999, 10, 1511–1520. [Google Scholar] [CrossRef][Green Version]
- Vitriol, E.A.; Wise, A.L.; Berginski, M.E.; Bamburg, J.R.; Zheng, J.Q. Instantaneous inactivation of cofilin reveals its function of F-actin disassembly in lamellipodia. Mol. Biol. Cell 2013, 24, 2238–2247. [Google Scholar] [CrossRef]
- Ishimoto, T.; Mori, H. A new bioluminescence-based tool for modulating target proteins in live cells. Sci. Rep. 2019, 9, 18239. [Google Scholar] [CrossRef]
- Ishimoto, T.; Mori, H. Manipulation of Actin Cytoskeleton by Intracellular-Targeted ROS Generation. Methods Mol. Biol. (Clifton N. J.) 2021, 2274, 271–279. [Google Scholar] [CrossRef]
- Ishimoto, T.; Mori, H. Control of actin polymerization via reactive oxygen species generation using light or radiation. Front. Cell Dev. Biol. 2022, 10, 1014008. [Google Scholar] [CrossRef] [PubMed]
- Liao, J.C.; Roider, J.; Jay, D.G. Chromophore-assisted laser inactivation of proteins is mediated by the photogeneration of free radicals. Proc. Natl. Acad. Sci. USA 1994, 91, 2659–2663. [Google Scholar] [CrossRef] [PubMed]
- Aziz, B.; Aziz, I.; Khurshid, A.; Raoufi, E.; Esfahani, F.N.; Jalilian, Z.; Mozafari, M.R.; Taghavi, E.; Ikram, M. An Overview of Potential Natural Photosensitizers in Cancer Photodynamic Therapy. Biomedicines 2023, 11, 224. [Google Scholar] [CrossRef] [PubMed]
- Agostinis, P.; Berg, K.; Cengel, K.A.; Foster, T.H.; Girotti, A.W.; Gollnick, S.O.; Hahn, S.M.; Hamblin, M.R.; Juzeniene, A.; Kessel, D.; et al. Photodynamic therapy of cancer: An update. CA A Cancer J. Clin. 2011, 61, 250–281. [Google Scholar] [CrossRef] [PubMed]
- Dolmans, D.E.; Fukumura, D.; Jain, R.K. Photodynamic therapy for cancer. Nat. Rev. Cancer 2003, 3, 380–387. [Google Scholar] [CrossRef] [PubMed]
- Quinn, J.C.; Kessell, A.; Weston, L.A. Secondary plant products causing photosensitization in grazing herbivores: Their structure, activity and regulation. Int. J. Mol. Sci. 2014, 15, 1441–1465. [Google Scholar] [CrossRef] [PubMed]
- Takemoto, K.; Matsuda, T.; McDougall, M.; Klaubert, D.H.; Hasegawa, A.; Los, G.V.; Wood, K.V.; Miyawaki, A.; Nagai, T. Chromophore-assisted light inactivation of HaloTag fusion proteins labeled with eosin in living cells. ACS Chem. Biol. 2011, 6, 401–406. [Google Scholar] [CrossRef]
- Tour, O.; Meijer, R.M.; Zacharias, D.A.; Adams, S.R.; Tsien, R.Y. Genetically targeted chromophore-assisted light inactivation. Nat. Biotechnol. 2003, 21, 1505–1508. [Google Scholar] [CrossRef]
- Jacobson, K.; Rajfur, Z.; Vitriol, E.; Hahn, K. Chromophore-assisted laser inactivation in cell biology. Trends Cell Biol. 2008, 18, 443–450. [Google Scholar] [CrossRef]
- Linden, K.G.; Liao, J.C.; Jay, D.G. Spatial specificity of chromophore assisted laser inactivation of protein function. Biophys. J. 1992, 61, 956–962. [Google Scholar] [CrossRef] [PubMed]
- Takemoto, K. Optical manipulation of molecular function by chromophore-assisted light inactivation. Proc. Jpn. Acad. Ser. B Phys. Biol. Sci. 2021, 97, 197–209. [Google Scholar] [CrossRef] [PubMed]
- Das, S.; Tiwari, M.; Mondal, D.; Sahoo, B.R.; Tiwari, D.K. Growing tool-kit of photosensitizers for clinical and non-clinical applications. J. Mater. Chem. B 2020, 8, 10897–10940. [Google Scholar] [CrossRef] [PubMed]
- Fambrough, D.M.; Engel, A.G.; Rosenberry, T.L. Acetylcholinesterase of human erythrocytes and neuromuscular junctions: Homologies revealed by monoclonal antibodies. Proc. Natl. Acad. Sci. USA 1982, 79, 1078–1082. [Google Scholar] [CrossRef] [PubMed]
- Jean, B.; Schmolz, M.W.; Schöllhorn, V.G. Selective laser-induced inactivation of proteins (SLIP) by labelling with chromophores. Med. Biol. Eng. Comput. 1998, 30, Ce17–Ce20. [Google Scholar] [CrossRef] [PubMed]
- Surrey, T.; Elowitz, M.B.; Wolf, P.E.; Yang, F.; Nédélec, F.; Shokat, K.; Leibler, S. Chromophore-assisted light inactivation and self-organization of microtubules and motors. Proc. Natl. Acad. Sci. USA 2011, 95, 4293–4298. [Google Scholar] [CrossRef] [PubMed]
- Beck, S.; Sakurai, T.; Eustace, B.K.; Beste, G.; Schier, R.; Rudert, F.; Jay, D.G. Fluorophore-assisted light inactivation: A high-throughput tool for direct target validation of proteins. Proteomics 2002, 2, 247–255. [Google Scholar] [CrossRef] [PubMed]
- Zhang, L.; Gurskaya, N.G.; Merzlyak, E.M.; Staroverov, D.B.; Mudrik, N.N.; Samarkina, O.N.; Vinokurov, L.M.; Lukyanov, S.; Lukyanov, K.A. Method for real-time monitoring of protein degradation at the single cell level. BioTechniques 2007, 42, 446–450. [Google Scholar] [CrossRef] [PubMed]
- Shu, X.; Lev-Ram, V.; Deerinck, T.J.; Qi, Y.; Ramko, E.B.; Davidson, M.W.; Jin, Y.; Ellisman, M.H.; Tsien, R.Y. A genetically encoded tag for correlated light and electron microscopy of intact cells, tissues, and organisms. PLoS Biol. 2011, 9, e1001041. [Google Scholar] [CrossRef]
- Bulina, M.E.; Chudakov, D.M.; Britanova, O.V.; Yanushevich, Y.G.; Staroverov, D.B.; Chepurnykh, T.V.; Merzlyak, E.M.; Shkrob, M.A.; Lukyanov, S.; Lukyanov, K.A. A genetically encoded photosensitizer. Nat. Biotechnol. 2006, 24, 95–99. [Google Scholar] [CrossRef]
- Bulina, M.E.; Lukyanov, K.A.; Britanova, O.V.; Onichtchouk, D.; Lukyanov, S.; Chudakov, D.M. Chromophore-assisted light inactivation (CALI) using the phototoxic fluorescent protein KillerRed. Nat. Protoc. 2006, 1, 947–953. [Google Scholar] [CrossRef] [PubMed]
- Serebrovskaya, E.O.; Gorodnicheva, T.V.; Ermakova, G.V.; Solovieva, E.A.; Sharonov, G.V.; Zagaynova, E.V.; Chudakov, D.M.; Lukyanov, S.; Zaraisky, A.G.; Lukyanov, K.A. Light-induced blockage of cell division with a chromatin-targeted phototoxic fluorescent protein. Biochem. J. 2011, 435, 65–71. [Google Scholar] [CrossRef] [PubMed]
- Lan, L.; Nakajima, S.; Wei, L.; Sun, L.; Hsieh, C.L.; Sobol, R.W.; Bruchez, M.; Van Houten, B.; Yasui, A.; Levine, A.S. Novel method for site-specific induction of oxidative DNA damage reveals differences in recruitment of repair proteins to heterochromatin and euchromatin. Nucleic Acids Res. 2014, 42, 2330–2345. [Google Scholar] [CrossRef] [PubMed]
- Takemoto, K.; Matsuda, T.; Sakai, N.; Fu, D.; Noda, M.; Uchiyama, S.; Kotera, I.; Arai, Y.; Horiuchi, M.; Fukui, K.; et al. SuperNova, a monomeric photosensitizing fluorescent protein for chromophore-assisted light inactivation. Sci. Rep. 2013, 3, 2629. [Google Scholar] [CrossRef] [PubMed]
- Huang, T.Y.; DerMardirossian, C.; Bokoch, G.M. Cofilin phosphatases and regulation of actin dynamics. Curr. Opin. Cell Biol. 2006, 18, 26–31. [Google Scholar] [CrossRef]
- Kim, K.; Lakhanpal, G.; Lu, H.E.; Khan, M.; Suzuki, A.; Hayashi, M.K.; Narayanan, R.; Luyben, T.T.; Matsuda, T.; Nagai, T.; et al. A Temporary Gating of Actin Remodeling during Synaptic Plasticity Consists of the Interplay between the Kinase and Structural Functions of CaMKII. Neuron 2015, 87, 813–826. [Google Scholar] [CrossRef] [PubMed]
- Sarkisyan, K.S.; Zlobovskaya, O.A.; Gorbachev, D.A.; Bozhanova, N.G.; Sharonov, G.V.; Staroverov, D.B.; Egorov, E.S.; Ryabova, A.V.; Solntsev, K.M.; Mishin, A.S.; et al. KillerOrange, a Genetically Encoded Photosensitizer Activated by Blue and Green Light. PLoS ONE 2015, 10, e0145287. [Google Scholar] [CrossRef] [PubMed]
- Riani, Y.D.; Matsuda, T.; Takemoto, K.; Nagai, T. Green monomeric photosensitizing fluorescent protein for photo-inducible protein inactivation and cell ablation. BMC Biol. 2018, 16, 50. [Google Scholar] [CrossRef]
- Gorbachev, D.A.; Staroverov, D.B.; Lukyanov, K.A.; Sarkisyan, K.S. Genetically Encoded Red Photosensitizers with Enhanced Phototoxicity. Int. J. Mol. Sci. 2020, 21, 8800. [Google Scholar] [CrossRef]
- Jarillo, J.A.; Gabrys, H.; Capel, J.; Alonso, J.M.; Ecker, J.R.; Cashmore, A.R. Phototropin-related NPL1 controls chloroplast relocation induced by blue light. Nature 2001, 410, 952–954. [Google Scholar] [CrossRef]
- Kagawa, T.; Sakai, T.; Suetsugu, N.; Oikawa, K.; Ishiguro, S.; Kato, T.; Tabata, S.; Okada, K.; Wada, M. Arabidopsis NPL1: A phototropin homolog controlling the chloroplast high-light avoidance response. Science 2001, 291, 2138–2141. [Google Scholar] [CrossRef]
- Baier, J.; Maisch, T.; Maier, M.; Engel, E.; Landthaler, M.; Bäumler, W. Singlet oxygen generation by UVA light exposure of endogenous photosensitizers. Biophys. J. 2006, 91, 1452–1459. [Google Scholar] [CrossRef] [PubMed]
- Ruiz-González, R.; Cortajarena, A.L.; Mejias, S.H.; Agut, M.; Nonell, S.; Flors, C. Singlet oxygen generation by the genetically encoded tag miniSOG. J. Am. Chem. Soc. 2013, 135, 9564–9567. [Google Scholar] [CrossRef] [PubMed]
- Lin, J.Y.; Sann, S.B.; Zhou, K.; Nabavi, S.; Proulx, C.D.; Malinow, R.; Jin, Y.; Tsien, R.Y. Optogenetic inhibition of synaptic release with chromophore-assisted light inactivation (CALI). Neuron 2013, 79, 241–253. [Google Scholar] [CrossRef]
- Diefenbach, T.J.; Latham, V.M.; Yimlamai, D.; Liu, C.A.; Herman, I.M.; Jay, D.G. Myosin 1c and myosin IIB serve opposing roles in lamellipodial dynamics of the neuronal growth cone. J. Cell Biol. 2002, 158, 1207–1217. [Google Scholar] [CrossRef]
- Higurashi, M.; Iketani, M.; Takei, K.; Yamashita, N.; Aoki, R.; Kawahara, N.; Goshima, Y. Localized role of CRMP1 and CRMP2 in neurite outgrowth and growth cone steering. Dev. Neurobiol. 2012, 72, 1528–1540. [Google Scholar] [CrossRef]
- Rahmanzadeh, R.; Hüttmann, G.; Gerdes, J.; Scholzen, T. Chromophore-assisted light inactivation of pKi-67 leads to inhibition of ribosomal RNA synthesis. Cell Prolif. 2007, 40, 422–430. [Google Scholar] [CrossRef]
- Hoffman-Kim, D.; Kerner, J.A.; Chen, A.; Xu, A.; Wang, T.F.; Jay, D.G. pp60(c-src) is a negative regulator of laminin-1-mediated neurite outgrowth in chick sensory neurons. Mol. Cell. Neurosci. 2002, 21, 81–93. [Google Scholar] [CrossRef]
- Griffin, B.A.; Adams, S.R.; Tsien, R.Y. Specific covalent labeling of recombinant protein molecules inside live cells. Science 1998, 281, 269–272. [Google Scholar] [CrossRef] [PubMed]
- Martin, B.R.; Giepmans, B.N.; Adams, S.R.; Tsien, R.Y. Mammalian cell-based optimization of the biarsenical-binding tetracysteine motif for improved fluorescence and affinity. Nat. Biotechnol. 2005, 23, 1308–1314. [Google Scholar] [CrossRef]
- Stroffekova, K.; Proenza, C.; Beam, K.G. The protein-labeling reagent FLASH-EDT2 binds not only to CCXXCC motifs but also non-specifically to endogenous cysteine-rich proteins. Pflug. Arch. Eur. J. Physiol. 2001, 442, 859–866. [Google Scholar] [CrossRef] [PubMed]
- Keppler, A.; Gendreizig, S.; Gronemeyer, T.; Pick, H.; Vogel, H.; Johnsson, K. A general method for the covalent labeling of fusion proteins with small molecules in vivo. Nat. Biotechnol. 2003, 21, 86–89. [Google Scholar] [CrossRef] [PubMed]
- Keppler, A.; Pick, H.; Arrivoli, C.; Vogel, H.; Johnsson, K. Labeling of fusion proteins with synthetic fluorophores in live cells. Proc. Natl. Acad. Sci. USA 2004, 101, 9955–9959. [Google Scholar] [CrossRef] [PubMed]
- Los, G.V.; Encell, L.P.; McDougall, M.G.; Hartzell, D.D.; Karassina, N.; Zimprich, C.; Wood, M.G.; Learish, R.; Ohana, R.F.; Urh, M.; et al. HaloTag: A novel protein labeling technology for cell imaging and protein analysis. ACS Chem. Biol. 2008, 3, 373–382. [Google Scholar] [CrossRef] [PubMed]
- Vitriol, E.A.; Uetrecht, A.C.; Shen, F.; Jacobson, K.; Bear, J.E. Enhanced EGFP-chromophore-assisted laser inactivation using deficient cells rescued with functional EGFP-fusion proteins. Proc. Natl. Acad. Sci. USA 2007, 104, 6702–6707. [Google Scholar] [CrossRef] [PubMed]
- Qi, Y.B.; Garren, E.J.; Shu, X.; Tsien, R.Y.; Jin, Y. Photo-inducible cell ablation in Caenorhabditis elegans using the genetically encoded singlet oxygen generating protein miniSOG. Proc. Natl. Acad. Sci. USA 2012, 109, 7499–7504. [Google Scholar] [CrossRef] [PubMed]
- Abe, Y.; Shodai, T.; Muto, T.; Mihara, K.; Torii, H.; Nishikawa, S.; Endo, T.; Kohda, D. Structural basis of presequence recognition by the mitochondrial protein import receptor Tom20. Cell 2000, 100, 551–560. [Google Scholar] [CrossRef]
- Wojtovich, A.P.; Wei, A.Y.; Sherman, T.A.; Foster, T.H.; Nehrke, K. Chromophore-Assisted Light Inactivation of Mitochondrial Electron Transport Chain Complex II in Caenorhabditis elegans. Sci. Rep. 2016, 6, 29695. [Google Scholar] [CrossRef] [PubMed]
- Trewin, A.J.; Bahr, L.L.; Almast, A.; Berry, B.J.; Wei, A.Y.; Foster, T.H.; Wojtovich, A.P. Mitochondrial Reactive Oxygen Species Generated at the Complex-II Matrix or Intermembrane Space Microdomain Have Distinct Effects on Redox Signaling and Stress Sensitivity in Caenorhabditis elegans. Antioxid. Redox Signal. 2019, 31, 594–607. [Google Scholar] [CrossRef]
- Uechi, H.; Kuranaga, E. The Tricellular Junction Protein Sidekick Regulates Vertex Dynamics to Promote Bicellular Junction Extension. Dev. Cell 2019, 50, 327–338.e325. [Google Scholar] [CrossRef]
- Sato, K.; Hiraiwa, T.; Maekawa, E.; Isomura, A.; Shibata, T.; Kuranaga, E. Left-right asymmetric cell intercalation drives directional collective cell movement in epithelial morphogenesis. Nat. Commun. 2015, 6, 10074. [Google Scholar] [CrossRef] [PubMed]
- Takemoto, K.; Iwanari, H.; Tada, H.; Suyama, K.; Sano, A.; Nagai, T.; Hamakubo, T.; Takahashi, T. Optical inactivation of synaptic AMPA receptors erases fear memory. Nat. Biotechnol. 2017, 35, 38–47. [Google Scholar] [CrossRef] [PubMed]
- Rama, S.; Boumedine-Guignon, N.; Sangiardi, M.; Youssouf, F.; Maulet, Y.; Lévêque, C.; Belghazi, M.; Seagar, M.; Debanne, D.; El Far, O. Chromophore-Assisted Light Inactivation of the V-ATPase V0c Subunit Inhibits Neurotransmitter Release Downstream of Synaptic Vesicle Acidification. Mol. Neurobiol. 2019, 56, 3591–3602. [Google Scholar] [CrossRef] [PubMed]
- Wavreil, F.D.M.; Poon, J.; Wessel, G.M.; Yajima, M. Light-induced, spatiotemporal control of protein in the developing embryo of the sea urchin. Dev. Biol. 2021, 478, 13–24. [Google Scholar] [CrossRef] [PubMed]
- Miura, K.; Wen, Y.; Tsushima, M.; Nakamura, H. Photodynamic Therapy by Glucose Transporter 1-Selective Light Inactivation. ACS Omega 2022, 7, 34685–34692. [Google Scholar] [CrossRef] [PubMed]
- Koizumi, T.; Fujimoto, A.; Kawaguchi, H.; Kurosaki, T.; Kitamura, A. Stress Granule Dysfunction via Chromophore-Associated Light Inactivation. ACS Omega 2024, 9, 21298–21306. [Google Scholar] [CrossRef] [PubMed]
- Trewin, A.J.; Berry, B.J.; Wei, A.Y.; Bahr, L.L.; Foster, T.H.; Wojtovich, A.P. Light-induced oxidant production by fluorescent proteins. Free Radic. Biol. Med. 2018, 128, 157–164. [Google Scholar] [CrossRef] [PubMed]
- Tavakkoli Yaraki, M.; Liu, B.; Tan, Y.N. Emerging Strategies in Enhancing Singlet Oxygen Generation of Nano-Photosensitizers Toward Advanced Phototherapy. Nano-Micro Lett. 2022, 14, 123. [Google Scholar] [CrossRef] [PubMed]
- Feng, H.; Zhao, Q.; Zhang, B.; Hu, H.; Liu, M.; Wu, K.; Li, X.; Zhang, X.; Zhang, L.; Liu, Y. Enabling Photo-Crosslinking and Photo-Sensitizing Properties for Synthetic Fluorescent Protein Chromophores. Angew. Chem. 2023, 62, e202215215. [Google Scholar] [CrossRef]
- Krall, N.; da Cruz, F.P.; Boutureira, O.; Bernardes, G.J. Site-selective protein-modification chemistry for basic biology and drug development. Nat. Chem. 2016, 8, 103–113. [Google Scholar] [CrossRef]
- Spicer, C.D.; Davis, B.G. Selective chemical protein modification. Nat. Commun. 2014, 5, 4740. [Google Scholar] [CrossRef] [PubMed]
- Tan, W.; Donovan, M.J.; Jiang, J. Aptamers from cell-based selection for bioanalytical applications. Chem. Rev. 2013, 113, 2842–2862. [Google Scholar] [CrossRef] [PubMed]
- Wang, R.; Lu, D.; Bai, H.; Jin, C.; Yan, G.; Ye, M.; Qiu, L.; Chang, R.; Cui, C.; Liang, H.; et al. Using modified aptamers for site specific protein-aptamer conjugations. Chem. Sci. 2016, 7, 2157–2161. [Google Scholar] [CrossRef] [PubMed]
- Cui, C.; Zhang, H.; Wang, R.; Cansiz, S.; Pan, X.; Wan, S.; Hou, W.; Li, L.; Chen, M.; Liu, Y.; et al. Recognition-then-Reaction Enables Site-Selective Bioconjugation to Proteins on Live-Cell Surfaces. Angew. Chem. 2017, 56, 11954–11957. [Google Scholar] [CrossRef] [PubMed]
- Fryszkowska, A.; An, C.; Alvizo, O.; Banerjee, G.; Canada, K.A.; Cao, Y.; DeMong, D.; Devine, P.N.; Duan, D.; Elgart, D.M.; et al. A chemoenzymatic strategy for site-selective functionalization of native peptides and proteins. Science 2022, 376, 1321–1327. [Google Scholar] [CrossRef] [PubMed]
- Tantipanjaporn, A.; Wong, M.K. Development and Recent Advances in Lysine and N-Terminal Bioconjugation for Peptides and Proteins. Molecules 2023, 28, 1083. [Google Scholar] [CrossRef]
- Zhang, S.; De Leon Rodriguez, L.M.; Li, F.F.; Brimble, M.A. Recent developments in the cleavage, functionalization, and conjugation of proteins and peptides at tyrosine residues. Chem. Sci. 2023, 14, 7782–7817. [Google Scholar] [CrossRef]
| Category | Photosensitizer | Targeting | Characteristics |
|---|---|---|---|
| Chemical photosensitizers (CPSs) | Malachite green | Antibody | Laser and microinjection are needed. |
| Fluorescein | Antibody | Ordinary light and microscopes are sufficient, ROS production is not high enough. | |
| Eosin | HaloTag | Singlet oxygen is 11-fold higher than fluorescein, and it produces a large amount of detectable fluorescence. | |
| Genetically encoded photosensitizers (GEPSs) | Green fluorescent protein (GFP) | Fusion | ROS production is not high enough. |
| KillerRed | Fusion | Severalfold more active than GFP, prone to homodimer molecules, may cause damage to mitochondria, cell membranes, and DNA and interfere with cell mitosis, eventually causing cell cycle arrest or cell death. | |
| SuperNova | Fusion | Same structural features and photosensitizing activity as KillerRed, but has higher folding and maturation efficiency in vitro, manifesting as monomeric proteins under physiological conditions. | |
| KillerOrange | Fusion | Another orange dimer variant obtained through random mutagenesis in KillerRed; prone to homodimer molecules. | |
| SuperNova-Green | Fusion | First green photosensitizer protein derived from KillerRed, a green monomer variant. | |
| SuperNova 2 | Fusion | Produces enhanced brightness, chromophore maturity, and phototoxicity in bacterial and mammalian cell cultures. | |
| KillerRed 2 | Fusion | Produces enhanced brightness, chromophore maturity, and phototoxicity in bacterial and mammalian cell cultures. | |
| MiniSOG | Fusion | Smallest green-emitting monomeric protein, a higher singlet oxygen production rate than the SuperNova, and it is a monomeric fluorescent protein that does not cause abnormal cell division. |
Disclaimer/Publisher’s Note: The statements, opinions and data contained in all publications are solely those of the individual author(s) and contributor(s) and not of MDPI and/or the editor(s). MDPI and/or the editor(s) disclaim responsibility for any injury to people or property resulting from any ideas, methods, instructions or products referred to in the content. |
© 2024 by the authors. Licensee MDPI, Basel, Switzerland. This article is an open access article distributed under the terms and conditions of the Creative Commons Attribution (CC BY) license (https://creativecommons.org/licenses/by/4.0/).
Share and Cite
Zhou, L.; Na, J.; Liu, X.; Wu, P. Chromophore-Assisted Light Inactivation for Protein Degradation and Its Application in Biomedicine. Bioengineering 2024, 11, 651. https://doi.org/10.3390/bioengineering11070651
Zhou L, Na J, Liu X, Wu P. Chromophore-Assisted Light Inactivation for Protein Degradation and Its Application in Biomedicine. Bioengineering. 2024; 11(7):651. https://doi.org/10.3390/bioengineering11070651
Chicago/Turabian StyleZhou, Lvjia, Jintong Na, Xiyu Liu, and Pan Wu. 2024. "Chromophore-Assisted Light Inactivation for Protein Degradation and Its Application in Biomedicine" Bioengineering 11, no. 7: 651. https://doi.org/10.3390/bioengineering11070651
APA StyleZhou, L., Na, J., Liu, X., & Wu, P. (2024). Chromophore-Assisted Light Inactivation for Protein Degradation and Its Application in Biomedicine. Bioengineering, 11(7), 651. https://doi.org/10.3390/bioengineering11070651
